Replacement Therapy Has a Significant Influence on Urine Free Cortisol Excretion *
N. Bliesener, S. Steckelbroeck, L. Redel, D. Klingmiiller.
Abstract
We investigated the influence of dose distribution in hydrocortisone replacement therapy on urine free cortisol excretion. To this end, we measured 24-hour urine free cortisol (24-h UFC) in 13 patients with hypocortisolism. The patients took 25 mg hydrocortisone/day according to the following schedules: either a single 25 mg hydrocortisone dose at 8:00 a.m., or 15 mg hydrocortisone at 8:00 a.m. and 10 mg hydrocortisone at 2:00 p.m., or 5 mg hydrocortisone at 8:00 a.m., 10:00 a.m., 2:00 p.m., 6:00 p.m. and 10:00 p.m. 24-h UFC decreased significantly with increasing division of the daily 25 mg hydrocortisone dose. When taking 25 mg hydrocortisone in a single morning dose, the mean 24-h UFC was 649 ± 52 nmol/day (mean ± SEM). When the daily dose was divided into doses of 15 mg and 10 mg hydrocortisone, 24-h UFC was reduced by 28% to 466 ± 39 nmol/day (p < 0.002). After division into five doses of 5 mg, 24-h UFC was reduced by 42.8% to 371 ± 36 nmol/day (p < 0.001) compared to the single 25 mg dose. These data demonstrate that consideration of the dose distribution in hydrocortisone replacement therapy when analysing 24-h UFC is of clinical importance.
Key words: Urine free cortisol hydrocortisone replacement therapy dose distribution hypocortisolism.
Introduction
In the past, hydrocortisone substitution was generally implemented according to a uniform conventional treatment schedule; usually, the daily dose was 25-30 mg, divided into two doses. These recommendations were based on the daily circadian rhythm of cortisol production rates in healthy subjects. However, new examinations have shown that cortisol production is considerably lower (Esteban et al., 1991). Additionally, recent studies have demonstrated the potential risks of overtreatment, and in particular, the increased risk of osteoporosis (Zelissen et al., 1994; Peacey et al., 1997; Wichers et al., 1999). Therefore, it is assumed that measurements of cortisol may be necessary for individual adjustments of the hydrocortisone replacement dose (Peacey et al., 1997).
24-hour urine free cortisol (24-h UFC) closely correlates to serum cortisol (Trainer et al., 1993) and it shows little day-to-day variation (Burch, 1982). Therefore, it may be a useful tool in the assessment of hydrocortisone replacement therapy (Burch, 1982; Trainer et al., 1993; Peacey et al., 1997), at least in the assessment of individuals who might be judged to be at especial risk of osteoporosis Qeffcoate, 1999).
However, it is generally assumed that, following absorption of a high oral hydrocortisone dose, the binding capacity of cortisol binding globulin is exceeded, resulting in a rise of serum free cortisol with the consequence of elevated 24-h UFC (Peacey et al., 1997; James and Few, 1985). Thus, a daily hydrocortisone dose given in a single dose should produce a greater 24-h UFC compared to administration in multiple divided doses (Orth, 1998).
To our knowledge, the extent of this cITcct on 24-h UFC in the assessment of hydrocortisone replacement therapy has not yet been proven systematically. In order to quantify the influence of hydrocortisone dose distribution on 24-h UFC, we measured 24-h UFC in patients with hypocortisolism taking 25 mg hydrocortisone in three different dose distributions on three consecutive days.
Subjects and Methods
Patients
We studied 13 adults, mean age 60 years, range 24-74 years, four women (w. body weight 65-80 kg) and nine men (m, body weight 74 -106 kg) with complete primary adrenocortical insuf-ficiency, or with complete secondary adrenocortical insuffi-ciency (Table 1). Morning serum cortisol concentrations were below 55 nmol/l (normal range 221-690 nmol/l) in all patients 24 hours after the last administration of hydrocortisone. All patients had been on a constant hydrocortisone replacement therapy for more than six months plus, if necessary, thyroid and/or gonadal hormone replacement therapy and/or desmopressin (AVP) and/or fludrocortisone.

Table 1 Patient data. Abbreviations: BA = bilateral adrenalectomy; S = surgery; DA = dopamine agonist; F = fludrocortisone; E = oestrogen; T = testosterone; L-T4 = thyroxine, GH = growth hormone; V = arginine vasopressin.
Study design
The 13 patients collected 24-hour urine samples on three consecutive days while taking their substitution of 25 mg hydrocortisone/day according to the following schedules: either a single25 mg hydrocortisone dose at 8:00 a.m., or 15 mg hydrocortisone at 8:00 a.m. and 10 mg hydrocortisone at 2:00 p.m., or 5 mg hydrocortisone at 8:00 a.m., 10:00 a.m., 2:00 p.m, 6:00 p.m. and 10:00 p.m. Hydrocortisone was taken at least 30 min before any meals to prevent variation of absorption. Additional medical treatment remained unchanged during the study.
Analytical methods
24-hour urine samples were assayed for cortisol by fluorescence polarization immunoassay (TDx, Abbott, Wiesbaden, Germany). The assay sensitivity was 18 nmol/l, the intra- and interassay coefficients of variation were 6.5% and 12.3%, respectively (at mean urine cortisol of 285.7 nmol/dl). The normal range of cortisol in the urine of healthy individuals was determined to be 140-440 nmol/day.
Statistics
Statistical differences of the patients’ 24-h UFC due to the different dose distributions were calculated using the Wikoxon rank test for paired data. Results for statistical analysis were calculated as mean ±SEM. P<0.05 was considered to reflect statistical significance.
Results
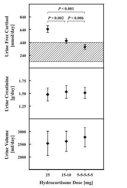
24-h UFC decreased significantly with increasing division of the daily 25 mg hydrocortisone dose. When taking 25 mg hydrocor-tisone in a single dose, the mean 24-h UFC was 649±52 nmol/ day (mean ± SEM). When the daily dose was divided into doses of 15 mg and 10 mg hydrocortisone, 24-h UFC was reduced by 28% to 466 ± 39 nmol/day (p < 0.002). After division into five doses of 5 mg, 24-h UFC was reduced by 42.8% to 371 ± 36 nmol/day (p < 0.001) compared to the single 25 mg dose (Fig. 1). Mean urine creatinine (first day: 1.48 ± 0.13 mg/day; second day: 1.53 ± 0.13 mg/day: third day: 151 ± 0.11 mg/day)and mean urine volume (first day: 2531 ± 478ml/day; second day: 2313 ± 399 ml/day; third day: 2777 ± 381 ml/day) did not change significantly during the period of investigation (Fig.1).

Figure 1. Urine free cortisol, urine creatinine and urine volume over a period of 24 hours at 25 mg hydrocorti- sone/day in 13 patients with hypocortisolism taken on three consecutive days according to the foflowing schedules: either a single 25 mg hydrocortisone dose at 8:00 a.m. (25), or 15 mg hydrocortisone at 8:00 a.m. and 10 mg hydrocortisone at 2:00 p.m. (15-10), or 5 mg hydrocortisone at 8:00 a.m., 10:00 a.m., 2:00 p.m., 6:00 p.m. and 10:00 p.m. (5-5-S-5-5). Shaded area: normal range (140-440 nmol/day) for urine cortisol excretion. Data represent mean values ± SEM.
Discussion
It is well known that 24-h UFC rises with increasing doses of hy-drocortisone (Wichers et al., 1999) as well as with increasing fluid intake (Mericq et al., 1998). 24-h UFC is also influenced by the rates of 11-dehydrogenation (to cortisone), hepatic conjugation and conversion to other cortisol breakdown products (Jeffcoate, 1999). Moreover, it is generally assumed that 24-h UFC depends on the distribution of a daily hydrocortisone dose (Orth, 1998). To our knowledge, no data about the extent of this effect has been published to date.
In the present investigation, the daily hydrocortisone dose was kept constant. The urine volume did not change significantly during the period of investigation. Therefore, these data demon-strate a highly significant influence of dose distribution in hydro-cortisone replacement therapy on 24-h UFC. 24-h UFC decreases with increasing division of the daily 25 mg hydrocortisone dose. This observation most likely reflects the saturation of cortisol binding globulin following a high oral hydrocortisone dose. The saturation of cortisol binding globulin leads to transient elevation of serum free cortisol with a consequent increase in 24-h UFC. This is in accordance with the observation of Peacey et al. (1997) who demonstrated a stronger correlation of 24-h UFC with peak rather than mean serum cortisol in cortisol day curves.
In this investigation, the regimen of 25 mg hydrocortisone/once daily and the regimen of 5 mg hydrocortisone/Five times daily were chosen to demonstrate the expected influence of hydrocor-tisone dose distribution on 24-h UFC Neither regimen is recom-mended in clinical practice. The former results in supraphysio- logical serum cortisol in the morning as well as under treatment in the afternoon, and the latter is obviously impractical for the patient. The most widely used regimen is a twice (2/3 in the morning, 1/3 in the early evening) or thrice (Vi in the morning, V4 at afternoon and 1/4 in the early evening) daily one (Groves et al., 1988; Howlett, 1997). An exact imitation of the natural circadian rhythm is not necessary, since the proteins induced by the ge-nomic effects of hydrocortisone probably have a much longer half life in the cell than hydrocortisone in the blood.
However, some patients prefer to take a single morning hydro-cortisone dose without having to experience an effect on their daily well-being and strength. In most cases of patients taking a single daily hydrocortisone dose, 24-h UFC excretion will be significantly above the upper limit of the reference value (440 nmol/day). Reducing the hydrocortisone dose to achieve “normal” 24-h UFC values might cause these patients to be insufficiently treated.
Altogether 24-h UFC excretion is influenced not only by the quantity of the daily hydrocortisone dose, but also by the amount of fluid intake, the hepatic metabolism of cortisol and the dose distribution of a daily hydrocortisone dose. Considering all these influencing factors, UFC appears to be an unreliable parameter for assessment of substitution quality in adrenal insufficiency.
In conclusion, a daily hydrocortisone dose given in a single dose produces 24-h UFC values up to twice as high compared to the 24-h UFC values following administration in multiple divided doses. Therefore dose distribution in hydrocortisone replacement therapy must be taken into consideration when analysing 24-h UFC. Especially when hydrocortisone is administered in a single daily dose, 24-h UFC should not be employed to adjust the substitution dose. As several additional factors influence UFC excretion, the usefulness of measuring 24-h UFC must be questioned in general.
Acknowledgements
This work is dedicated to Prof. Dr. Dr. Frank Bidlingmaier on the occasion of his 65th birthday. We thank Mrs. Ingrid Hufschmidt for excellent technical assistance.
References
Burch WM. Urine free-cortisol determination. A useful tool in the management of chronic hypoadrenal states. J Am Med Assoc 1982; 247: 2002-2004
Esteban NV, LonghlinT, Yergey AL, Zawadzki JK, BoothJD, WintererJC, Loriaux DL. Daily cortisol production rate in man determined by stable isotope dilution/mass spectrometry. J Clin Endocrinol Metab 1991;72:39-45
Groves RW, Toms GC, Houghton BJ, Monson JP. Corticosteroid replace-ment therapy: twice or thrice daily? J Royal Soc Med 1988; 81: 514- 516
Howlett TA. An assessment of optimal hydrocortisone replacement therapy. Clin Endocrinol 1997; 46: 263-268
James VH, Few JD. Adrenocorticosteroids: chemistry, synthesis and disturbances in disease. Clin Endocrinol Metab 1985; 14: 867-892
Jeffcoate W. Assessment of corticosteroid replacement therapy in adults with adrenal insufficiency. Ann Clin Biochem 1999; 36: 151 - 157
Mericq MV, Cutler GB Jr. High fluid intake increases urine free cortisol excretion in normal subjects. J Clin Endocrinol Metab 1998; 83: 682- 684
Orth DN. The adrenal cortex. In: Wilson JD, Foster DW, Kronenberg HM, Larsen PR (eds). Williams Textbook of Endocrinology. Philadelphia, Pennsylvania: WB Saunders Company, 1998: 517-664
Peacey SR, Guo CY, Robinson AM, Price A, Giles MA, Eastell R, Weet- man AP. Glucocorticoid replacement therapy: are patients overtreated and does it matter? Clin Endocrinol 1997; 46: 255-261
Trainer PJ, McHardy KC, Harvey RD, Reid IW. Urinary free cortisol in the assessment of hydrocortisone replacement therapy. Hormone Metab Res 1993; 25:117-120
Wichers M, Springer W, Bidlingmaier F, Klingmuller D. The influence of hydrocortisone substitution on the quality of life and parameters of bone metabolism in patients with secondary hypocortisolism. Clin Endocrinol 1999; 50: 759-765
Zelissen PM, Croughs RJ, van Rijk PP, Raymakers JA. Effect of glucocor-ticoid replacement therapy on bone mineral density in patients with Addison disease. Ann Intern Med 1994; 120: 207-210