Vincent Wong*, Tony Yan, Andrew Donald* and Mark McLean*
* Department of Diabetes and Endocrinology and Laboratory Endocrinology, ICPMR, Westmead Hospital, NSW, Australia
(Received 13 January 2004; returned for revision 16 February 2004; finally revised 10 March 2004; accepted 6 May 2004)
Correspondence: Dr Vincent Wong, Department of Diabetes and Endocrinology, Westmead Hospital, PO Box 533, Wentworthville, NSW 2145, Australia. Tel.: (612) 9845 6796; Fax: (612) 9635 5691; E-mail: vincentw@westgate.wh.usyd.edu.au.
Summary
BACKGROUND: In patients with hypoadrenalism, it is often difficult to assess the optimal dose of glucocorticoid replacement. Serial serum cortisol measurements for a cortisol day curve are sometimes used, but this has low acceptability for patients. In this study, we evaluate the reliability of saliva and capillary bloodspot cortisol as alternative methods in assessing cortisol profiles in hypoadrenal patients on hydrocortisone replacement. METHODS: We first examined the correlations between serum cortisol, saliva and bloodspot cortisol in inhospital patients not on glucocorticoid therapy. We then studied 18 hypoadrenal patients on hydrocortisone therapy and measured their serum, saliva and bloodspot cortisol concurrently at seven different time points in a single day. RESULTS: For in-hospital patients, a significant correlation exists between saliva and serum cortisol (R = 0·7121, P < 0·0001), but there is a stronger correlation between bloodspot and serum cortisol (R = 0·9494, P < 0·0001). The correlations were weaker in hypoadrenal patients on hydrocortisone (saliva and serum cortisol: R = 0·6262, P < 0·001; bloodspot and serum cortisol: R = 0·7871, P < 0·001). When we evaluated each measurement with respect to an arbitrary target range, there was a greater degree of agreement between serum and capillary bloodspot cortisol (85% agreement) than between serum and saliva cortisol (65% agreement) (P < 0·001). CONCLUSION: Bloodspot samplings provide a simple and convenient way for ambulant hypoadrenal patients on hydrocortisone replacement therapy to assess cortisol levels at multiple times in a single day. This may be useful in determining the optimal glucocorticoid dose for hypoadrenal patients.
One of the challenges for endocrinologists in managing hypoadrenal patients is to determine the appropriate dose for physiological glucocorticoid replacement. Differences in hydrocortisone absorption, variations in tissue sensitivity to cortisol and other medications that interfere with cortisol metabolism are all factors that may account for the wide range of dosage among individuals. While inadequate replacement leads to impairment of general well-being and can render the patient susceptible to adrenal crisis, overdosing may result in long-term morbidities such as weight gain and excess bone turnover (Peacey et al, 1997).
Various laboratory methods have been used to assess the adequacy of glucocorticoid replacement therapy, but none is satisfactory. For instance, 24-h urinary cortisol has limitations, as it does not account for the diurnal variation of glucocorticoid requirement or the peaks and troughs following dosing. Serum ACTH levels can fluctuate greatly, and it is of no value in patients with secondary hypoadrenalism. Most clinicians simply resort to empirical dosing and rely on patients’ symptomatology to adjust their dose. As symptoms of cortisol deficiency are often nonspecific, glucocorticoid overdosage is common (Peacey et al., 1997).
The cortisol ‘day curve’, which involves measurement of serum cortisol levels at various time points, is a useful tool for monitoring replacement therapy (Besser & Jeffcoate, 1976; Feek et al., 1981). Although this does not reflect end-organ response to glucocorticoid and is no substitute for clinical judgement, it nevertheless represents serum cortisol levels during the day and may assist the clinician in adjusting dosage. However, this method requires multiple blood tests at a pathology collection centre. It is timeconsuming, invasive and inconvenient for the patient. As a result, it has not been adopted routinely by clinicians.
The aim of this study was to explore alternative cortisol sampling methods that are less invasive and permit ambulatory testing by patients. Cortisol can be measured in saliva as well as in capillary blood in the form of bloodspots (Umeda et al, 1981; Hughes et al., 1987), and we sought to determine whether these sampling methods could be used as reliable alternatives to venepuncture. We first determined the correlation between serum and saliva or capillary bloodspot cortisol levels from people not taking glucocorticoids. Next, we assessed the cortisol day curve for hypoadrenal patients on hydrocortisone replacement therapy by simultaneously measuring serum, saliva and capillary blood cortisol levels at various time points in a day. We then derived an arbitrary ‘target range’ for saliva and bloodspot cortisol concentrations at different times of the day and assessed the level of agreement of the three tests with respect to those target ranges.
Methods
Patients
We first examined the correlation between saliva, bloodspot and serum cortisol concentrations in subjects with no known disorder of the pituitary-adrenal axis and who were not on any forms of glucocorticoid therapy. We obtained venous blood immediately followed by salivary samples from 29 in-patients (20 suffering from sepsis, seven were postoperative and two post-myocardial infarction) who were undergoing routine blood tests at 0-900 h. On a separate occasion, 24 in-patients (17 suffering from sepsis, five postoperative and two post-myocardial infarction) provided venous samples followed by capillary bloodspots. Hospitalized patients were chosen so that a wide range of cortisol levels was sampled.
We next studied 18 subjects with proven primary or secondary hypoadrenalism who were on hydrocortisone replacement therapy. Eight had primary hypoadrenalism (three had bilateral adrenalectomy and five suffered from Addison’s disease), while the remaining 10 were ACTH deficient (Table 1). The normal daily hydrocortisone dose of these subjects ranged from 10 to 50 mg. At the time of the study they were all feeling well and were on their usual maintenance dose of hydrocortisone.
Table 1. Characteristics of the 18 hypoadrenal patients on glucocorticoid replacement

On the day of the study, an intravenous catheter was inserted in the cubital fossa of the subject early in the morning. Throughout that day, they took their hydrocortisone doses at their usual times, and samples were collected at seven predefined time points. These were: (1) before morning dose; (2) 1 h after morning dose; (3) 2 h after morning dose; (4) before lunch dose; (5) 1 h after lunch dose; (6) 2 h after lunch dose; and (7) before dinner dose. Those who did not take hydrocortisone at lunchtime still had samples 4, 5 and 6 collected, but these were taken in relation to their time of lunch. At each time point, saliva, capillary and venous blood samples were collected almost simultaneously (within 2 min of each other).
The study was approved by the Western Sydney Area Health Human Research Ethics Committee.
Sample collection
Saliva was collected by absorption into a cotton bud, using the Salivette device (Sarstedt, Germany). The patient was asked to rinse the mouth to remove any residual food or glucocorticoid medication in the oral cavity before chewing on the cylindrical cotton bud. Once saturated, the cotton bud was placed in the upper compartment of the Salivette tube for transport to the laboratory, and the tubes were stored for up to 7 days at 20 °C. The whole device was centrifuged at 1500 g for 5 min to recover saliva from the cotton bud, collecting it in the lower compartment of the Salivette tube.
Capillary blood was obtained by pricking cleaned fingertips using a lancet. Capillary blood was transferred onto blotting paper (Schleicher & Schuell, Bogen 100, Germany) to fully saturate an area of at least 15 mm diameter, and then air-dried to form a bloodspot. Venous blood was collected via the previously placed intravenous catheter to minimize any distress from venepuncture. Serum was separated by centrifugation within 6 h. Serum and saliva samples were stored at -25 °C until assays were performed. Dried bloodspots were stored at room temperature.
Assays
Total cortisol concentrations in venous plasma, capillary blood and saliva were evaluated using a coated-tube radioimmunoassay technique (Orion Diagnostica, Finland). Briefly, 20 μl of serum, or 150 μl of saliva, was pipetted into the coated tube. For capillary blood, two discs (each 6 mm diameter) from within each dried bloodspot was obtained by a standard hole-puncher and inserted into the coated tubes. Then 500 μl of cortisol tracer was added to the samples in the tubes. The tubes containing the various cortisol samples and the tracer were then incubated for 30 min in a water-bath (37 °C). After decanting, each tube was counted with a gamma counter. The lower detection limits of the assay are 5 nmol/l for serum cortisol, 2·5 fmol/disc for capillary blood cortisol, and 0·8 nmol/l for saliva cortisol.
Statistical methods
Linear regression analysis was used to compare the relationship between different cortisol sampling methods. The correlation coefficient was represented by R. Concordance rate refers to the proportion of measurements where the cortisol levels from two sampling methods both fall either below, within or above the arbitrary target range at that particular sampling time. In comparing the concordance rate of serum-salivary cortisol with serumbloodspot cortisol for hypoadrenal patients, the X2-test was used. A P-value less than 0·05 is considered statistical significant.
Results
The interassay coefficients of variation for serum, saliva and bloodspot cortisol measurements were 8, 12 and 13%, respectively. The corresponding intra-assay coefficients were 6, 6 and 9%. The bloodspot cortisol values did not decline in dried blots stored at room temperature up to 4 weeks after sampling.
Correlation between serum, saliva and bloodspot cortisol
In patients who were not on glucocorticoid replacement therapy, total serum cortisol concentration correlated closely with saliva cortisol concentrations (R = 0·7121, P < 0·0001), and even more strongly with capillary bloodspot cortisol (R = 0·9494, P < 0·0001) (Fig. 1a,b). In hypoadrenal patients taking hydrocortisone there was a weaker correlation between saliva and total serum cortisol levels (R = 0-6262, P < 0·001) (Fig. 2). Capillary bloodspot cortisol also showed greater variance from serum cortisol in patients taking hydrocortisone (R = 0·7871, P < 0·0001) compared to normal subjects, but its correlation with total serum cortisol is closer than the serum-saliva cortisol relationship.

Figure 1. Correlation between (a) serum and saliva cortisol and (b) serum and capillary blood cortisol in hospital patients who were not normally on glucocorticoid therapy (P < 0·0001). Linear regression equation: capillary cortisol level (fmol/disc) = serum cortisol value (nmol/l)/5·0712.

Figure 2. Correlation between (a) saliva and serum total cortisol and (b) capillary bloodspot and serum total cortisol in hypoadrenal patients on hydrocortisone replacement therapy (P < 0·0001).
Cortisol day curves and arbitrary target ranges
We set arbitrary upper and lower limits for the ‘target range’ of blood and saliva cortisol concentrations at different times of the day. These were based on the 90% confidence limits of the reference range of the assay (provided by Orion Diagnostica based on serial samples obtained from healthy individuals; 219 subjects for serum cortisol, and 34 subjects for saliva cortisol). Because of the high level of correlation between capillary bloodspot and total serum cortisol levels in nonreplaced patients, we adopted the target ranges for serum cortisol and applied the linear regression equation obtained from Fig. 1b to calculate the capillary blood cortisol normal ranges. For patients on replacement therapy we evaluated whether the cortisol levels for each sample fell within, above or below the target range for replacement therapy at that particular time; and we then assessed the level of concordance of the three testing methods for each sample collected.

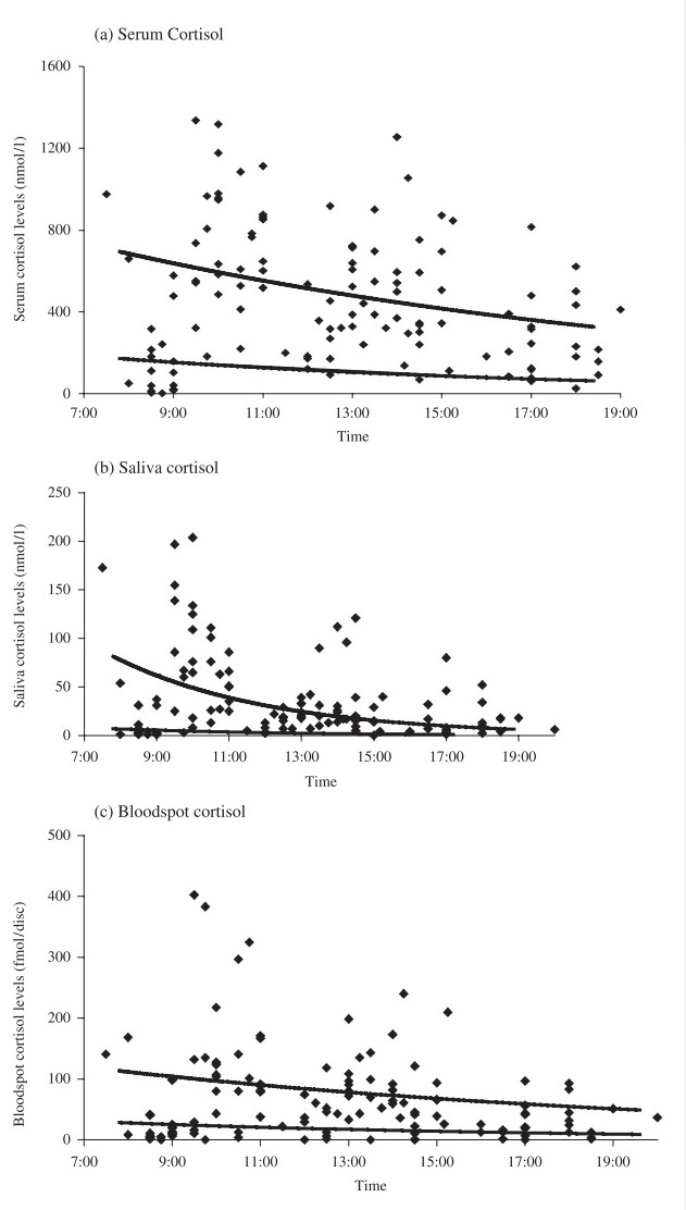
Figure 3. Distribution of cortisol values of hypoadrenal patients during the day together with the hypothetical target ranges. The range shown represents the 90% confidence interval. (a) Serum cortisol. (b) Saliva cortisol. (c) Bloodspot cortisol.
Peak and trough levels after hydrocortisone dosing
In hypoadrenal patients on hydrocortisone replacement therapy, the total serum cortisol values during the day often fell outside the arbitrary target ranges (Fig. 3a). This pattern was similar for saliva and capillary blood cortisol day curves (Fig. 3b,c). In serum cortisol samples taken after receiving replacement hydrocortisone, 48%, 46% and 6% of the samples fell within, above or below these target ranges, respectively (Table 2). However, for any given sample there was not always concordance between different sampling methods in relation to the target ranges, as shown in Table 3. There was a significantly greater degree of concordance between serum and capillary bloodspot cortisol (85% agreement) than between serum and saliva cortisol (65% agreement) (P < 0·05) with respect to the arbitrary target range.
Table 2. Proportion of cortisol values for hypoadrenal patients on hydrocortisone that rested below, within and above the hypothetical normal ranges

Table 3. Concordance between (a) saliva and serum cortisol values and (b) capillary blood and serum cortisol values for hypoadrenal patients on hydrocortisone in relation to the hypothetical normal range

Discussion
In this study, we evaluated the accuracy of assessing cortisol status using samples of saliva and capillary blood. We also investigated these alternative methods in trying to obtain a cortisol day curve for hypoadrenal subjects on hydrocortisone replacement. We demonstrated that capillary blood cortisol correlated more closely to serum total cortisol levels than saliva cortisol, and is likely to be a more useful tool in determining cortisol day curves in hypoadrenal patients.
Saliva cortisol measurement has frequently been used to assess hypothalamic-pituitary-adrenal function, and this tool has been used to diagnose glucocorticoid excess (Umeda et al., 1981; Laudat et al, 1988; Raff et al, 1998; Castro et al, 1999; Putignano et al, 2001, 2003; Papanicolaou et al, 2002). As minimal amounts of albumin and corticosteroid-binding globulin (CBG) can diffuse through acinar cells in salivary glands, salivary cortisol more accurately reflects levels of circulating unbound cortisol, and is independent of salivary flow (Laudat et al., 1988). Several studies have reported a high degree of correlation between saliva cortisol and serum cortisol in subjects with endogenous glucocorticoid production (R > 0·75) (Umeda et al, 1981; Burke et al., 1985; Bolufer et al., 1989; McCracken & Poland, 1989). In our study, the relationship between saliva and total serum cortisol in inhospital patients who were not on glucocorticoid therapy was similarly high (R = 0·7121). However, CBG levels are often lower following conditions such as myocardial infarction and sepsis, and hence it is possible that saliva (free) cortisol levels in these patients may be relatively higher. On the other hand, for hypoadrenal patients on glucocorticoid replacement, this correlation is much weaker. The relatively low correlation between saliva and serum total cortisol concentrations after hydrocortisone dosing probably relates to rapid fluctuations in the concentration of free cortisol in the blood compartment. After oral administration of hydrocortisone serum unbound cortisol levels may rise sharply due to saturation of CBG binding. Full saturation of CBG is thought to occur at about 500 nmol/l total cortisol, and there may be a marked alteration in the bound : free ratio at higher concentrations (Tunn et al., 1992). Following a hydrocortisone dose, serum cortisol values often peak above 500 nmol/l. It has been reported that the relationship between saliva and total serum cortisol concentrations is linear until the total serum cortisol reaches 450 nmol/l, above which the correlation is less significant (Aardal & Holm, 1995). As a result, saliva cortisol testing may not be a useful tool in determining dose adequacy in subjects on glucocorticoid replacement therapy.
Capillary blood in the form of dried bloodspot has been previously used for hormonal assessment in infants or children (Hughes et al, 1987; Erhardt et al, 2000). However, our study is the first to demonstrate the correlation between bloodspot and total serum cortisol in hypoadrenal patients on replacement therapy. It would be expected that the true concentration of hormones in capillary and venous blood would be essentially identical, but the incomplete extraction of cortisol from blotting paper may potentially limit the reliability of the test. However, the extraction was found to be fairly consistent as shown in our paired samples for normal patients, allowing valid extrapolation from the measured capillary bloodspot cortisol concentration to the venous concentration.
It remains unclear why the correlation is weaker in patients on glucocorticoid therapy, but perhaps the extraction of cortisol from blotting paper becomes less reliable at the extremes of cortisol concentrations. The inability to completely saturate the defined area on the blotting paper with blood can also affect the accuracy of measurements. However, the good concordance rate between serum and bloodspot cortisol measurements in the daycurve study (85%) means that, for clinicians who want to use cortisol day-curves to assist in making dose adjustments, bloodspots can be an attractive alternative. We found collection of capillary bloodspot samples to be simple and highly acceptable to patients. The storage and assaying of dried bloodspot samples is also straightforward. Capillary bloodspot collection is less invasive than venepuncture and can be performed by ambulatory patients in their home or workplace, offering greater convenience for patients and at less cost. The stability of cortisol in dried bloodspots means that samples can be sent to the laboratory by ordinary post.
It must be stressed that the cortisol day curve is not the ultimate answer for glucocorticoid dose adjustment in hypoadrenal patients. For instance, individual variations of cortisol metabolism, variation in tissue sensitivity to glucocorticoid action and the wide normal range should be taken into consideration. Day curve measurements are only useful to subjects who take hydrocortisone or cortisone acetate as their replacement therapy. Synthetic glucocorticoids (prednisone or dexamethasone) are not reliably measured in cortisol immunoassays, and hence the dose adequacy cannot be evaluated from cortisol measurements. Furthermore, cortisol day curves are of little value in assessing dose adequacy for patients subjected to stress (such as myocardial infarction or major surgery), as the appropriate cortisol levels under those situations have not been defined. In any case, the cortisol day curves are no substitution for accurate clinical assessment of cortisol excess and deficiency.
Limitations
For hospitalized patients not receiving glucocorticoid therapy, the subjects recruited for evaluation of serum and saliva cortisol levels are different from those invited for serum and capillary bloodspot samplings. However, as both cohorts of patients have a similarly wide range of serum cortisol levels, our comparison should still be valid.
The target ranges for cortisol levels in this study were derived from the reference of normal subjects provided by the kit manufacturer (Orion Diagnostic). Because the purpose of this study was to investigate the reliability of using bloodspots to reflect serum cortisol in subjects on hydrocortisone replacement therapy, if bloodspot cortisol is to be adopted for clinical practice, the laboratory must derive its own normal ranges for the day curve by sampling a large number of healthy ambulatory hypoadrenal subjects on hydrocortisone replacement at various time points during the day.
In conclusion, we acknowledge that optimizing glucocorticoid replacement for hypoadrenal patients remains a challenge for the endocrinologist. The cortisol day curve is a useful tool to assist in the assessment of the adequacy of maintenance dose for an individual. Saliva and capillary blood sampling are both simple and noninvasive alternatives to venous blood in assessing cortisol levels. While saliva cortisol has been used more often to study the adrenal axis in the literature, we believe capillary blood is the more accurate method in reflecting total serum cortisol levels in patients taking replacement hydrocortisone for adrenal insufficiency.
Dedication
We would like to dedicate this paper to Dr Andrew Donald, who died tragically in a motor vehicle accident prior to the completion of this work.
References
Aardal, E. & Holm, A.C. (1995) Cortisol in saliva reference ranges and relation to cortisol in serum. European Journal of Clinical Chemistry and Clinical Biochemistry, 33, 927-932.
Besser, G.M. & Jeffcoate, W.J. (1976) Endocrine and metabolic diseases. Adrenal diseases. British Medical Journal, 1, 448-451.
Bolufer, P., Gandia, A., Rodriguez, A. & Antonio, P. (1989) Salivary corticosteroids in the study of adrenal function. Clinica Chimica Acta, 183, 217-226.
Burke, PM., Reichler, R.J., Smith, E., Dugaw, K., McCauley, E. & Mitchell, J. (1985) Correlation between serum and salivary cortisol levels in depressed and nondepressed children and adolescents. American Journal of Psychiatry, 142, 1065-1067.
Castro, M., Elias, P.C.L., Quidute, A.R.P, Halah, F.P.B. & Moreira, A.C. (1999) Out-patient screening for Cushing’s syndrome: the sensitivity of the combination of circadian rhythm and overnight dexamethasone suppression salivary cortisol tests. Journal of Clinical Endocrinology and Metabolism, 84, 878-882.
Erhardt, E., Solyom, J., Homoki, J., Juricskay, S. & Soltesz, G. (2000) Correlation of blood-spot 17-hydroxyprogesterone daily profiles and urinary steroid profiles in congenital adrenal hyperplasia. Journal of Pediatric Endocrinology and Metabolism, 13, 205-210.
Feek, C.M., Ratcliffe, J.G., Seth, J., Gray, C.E., Toft, A.D. & Irvine, WJ. (1981) Patterns of plasma cortisol and ACTH concentrations in patients with Addison’s disease treated with conventional corticosteroid replacement. Clinical Endocrinology (Oxford), 14, 451-458.
Hughes, D., Murphy, J.F., Dyas, J., Robinson, J.A., Riad-Fahmy, D. & Hughes, I.A. (1987) Blood spot glucocorticoid concentrations in ill preterm infants. Archives of Childhood Disease, 62, 1014-1018. Laudat, M.H., Cerdas, S., Fournier, C., Guiban, D., Guilhaume, B. & Luton, J.P. (1988) Salivary cortisol measurement: a practical approach to assess pituitary-adrenal function. Journal of Clinical Endocrinology and Metabolism, 66, 343-348.
McCracken, J.T. & Poland, R.E. (1989) Saliva and serum cortisol dynamics following intravenous dexamethasone in normal volunteers. Life Sciences, 45, 1781-1785.
Papanicolaou, D.A., Mullen, N., Kyrou, I. & Nieman, L. (2002) Nighttime saliva cortisol: a useful test for the diagnosis of Cushing’s syndrome. Journal of Clinical Endocrinology and Metabolism, 87, 4515-4521. Peacey, S.R., Guo, C.Y., Robinson, A.M., Price, A., Giles, M.A., Eastell, R. & Weetman, A.P. (1997) Glucocorticoid replacement therapy: are patients overtreated and does it matter? Clinical Endocrinology (Oxford), 46, 255-261.
Putignano, P., Dubini, A., Toja, P., Invitti, C., Bonfanti, S., Redaelli, G.,
Zappulli, D. & Cavagnini, F. (2001) Salivary cortisol measurement in normal-weight, obese and anorexic women: comparison with plasma cortisol. European Journal of Endocrinology, 145, 165-171.
Putignano, P., Toja, P., Dubini, A., Giraldi, F.P., Corsello, S.M. & Cavagnini, F. (2003) Midnight salivary cortisol versus urinary free and midnight serum cortisol as screening tests for Cushing’s syndrome. Journal of Clinical Endocrinology and Metabolism., 88, 4153-4157.
Raff, H., Raff, J.L. & Findling, J.W. (1998) Late night salivary cortisol as a screening test for Cushing’s syndrome. Journal of Clinical Endocrinology and Metabolism, 83, 2681-2686.
Tunn, S., Mollmann, H., Barth, J., Derendorf, H. & Krieg, M. (1992) Simultaneous measurement of cortisol in serum and saliva after different forms of cortisol administration. Clinical Chemistry, 38, 1491-1494.
Umeda, T., Hiramatsu, R., Iwaoka, T., Shimada, T., Miura, F. & Sato, T. (1981) Use of saliva for monitoring unbound free cortisol levels in serum. Clinica Chimica Acta, 110, 245-253.