William McK. Jefferies, MD, Cleveland
An Appraisal of Its Safety and Mode of Action in Clinical Disorders, Including Rheumatoid Arthritis
Received for publication Sept 9, 1966; accepted Oct 24. From the Department of Medicine, University Hospitals and Western Reserve University School of Medicine, and the Infertility Clinic of the Maternal Health Association, Cleveland, Read in part before the Annual Meeting of the American College of Physicians, April 18, 1966, New York. Reprint requests to 3550 Wanensville Center Road, Shaker Heights, Ohio 44122.
Name: Glaser, Rebecca; Address: SOUTHVIEW (via Kettering Hosp.); Phone: 937-886-4555; Department: School of Medicine; E-mail: rglaser@woh.rr.com.
Such is the nature of medicine, that things which we have laid up in our minds as settled truths often require to be modified by our future experience.—Latham.1
In the 18 years since the introduction of cortisone into medical therapy by Hench and his associates,2 much has been learned about the effects of this and related steroids, but their basic mechanism of action remains obscure. In spite of their extensive clinical use, little has been added to the concept of their effects in the past 12 years3 and certain general impressions that prevailed then have persisted, including the following.
Clinical effects depend upon an excess of steroid in the tissues. Initial doses reported by Hench and his group were 300 mg of cortisone acetate daily, and subsequent early reports concerned starting dosages of 100 mg daily or greater. Because these doses produce an excess of steroid in the body, and because local injections of steroid into tissues have anti-inflammatory effects, it has been assumed that an excess is essential for anti-inflammatory and antirheumatic effects. Even in recent reports of the effectiveness of relatively small doses it has been postulated that a summation of activity with normal endogenous steroid production occurred, thereby providing an excess,4,5 or that the schedule of administration of the steroid might provide an excess during part of the 24-hour period due to diurnal variation.6
Patients with rheumatoid arthritis and other collagen disorders have normal adrenal function. Numerous studies have indicated that patients with rheumatic diseases respond to test doses of corticotropin with increases in excretion of 17-ketosteroids (17-KS) and 17-hydroxycorticosteroids (17-OHST) within normal limits. These have been summarized in reports by Hill and associates,7,8 who measured responses of aldosterone excretion as well as of 17-KS and 17-OHST. Although slight differences were observed in mean responses of patients with rheumatoid arthritis compared with normals, the changes were not significantly different from those observed in patients with nonrheumatic chronic diseases. In more detailed studies of steroid fractions in urine, abnormalities have been reported,7,9,10 but these have apparently not been confirmed and have received relatively little attention.
Glucocorticoids are dangerous at any dosage level. This impression presumably resulted from the many reports of serious side effects with glucocorticoid therapy. In recent years, the majority of reports of steroid therapy in rheumatoid arthritis have dealt with complications and side effects.11 Because of their potential hazards it has been recommended that the administration of glucocorticoids should be avoided altogether if possible, and if they are used, their administration should be terminated as soon as possible.
Although these impressions have been generally accepted, experience in our clinics with patients treated with low-dosage glucocorticoid therapy during the past 12 years indicates that they warrant careful reappraisal, and, in some aspects at least, should be revised.
Methods
This report includes observations made on 371 patients treated with low doses of cortisone acetate or hydrocortisone for periods of six months to nine years. It represents experience with a total of 9,279 months or 773 years of treatment, an average of slightly over two years of treatment per patient. Most of the patients had gonadal dysfunction, infertility, or hirsutism, but several have had other disorders, including endocrine ophthalmopathy, hyperthyroidism, rheumatoid arthritis, essential hypertension, diabetes mellitus, metastatic breast carcinoma, bronchial asthma, ulcerative colitis, multiple sclerosis, postural hypotension, and alopecia areata. The numbers of patients with each diagnosis are listed in Table 1. Their ages by decades and sexes appear in Table 2.
Table 1. Diagnoses of Patients Receiving Low-Dosage Glucocorticoid Therapy

Total neutral urinary 17-KS have been measured by a modification of the method of Callow described previously.12 Fractionation of urinary 17-KS from an aliquot of fresh or fresh-frozen 24-hour collection was performed by gradient elution from an alumina column after initial extraction of the conjugates, followed by hydrolysis of the glucuronides with β-glucuronidase and solvolysis of the sulfates with ethyl acetate, according to a standardized technique described earlier.13 Four fractions were measured, corresponding to dehydroepiandrosterone (DHA), androsterone (A), etiocholanolone (E), and the ll-oxygenated-17ketosteroids (11-oxy-17-KS). Although the composition of each fraction was not identified in every instance, the identities of fractions were checked in representative samples by paper chromatography of material from tubes at the peaks of the fractionation curves. In each instance, the material traveled as a single spot with the same mobility as the pure DHA, A, or E used as the reference steroid. Fractionations with this technique are reproducible with a satisfactory degree of accuracy, even after urine specimens have been frozen for over a year.14 Hydrocortisone (cortisol) metabolites (CM) were determined by an improved technique that measures cortols and cortolones as well as tetrahydrocortisone and tetrahydrocortisol,15 permitting a more accurate measurement of approximately 60% of the metabolites of this steroid.
Completeness of 24-hour urine collections was verified by creatinine determinations. Corticotropin gel (ACTHar gel) was administered intramuscularly in a single injection of 80 units at the beginning of the 24-hour collection period. Cortisone acetate or hydrocortisone was administered orally in divided doses at maximum intervals of eight hours because of previous evidence that such schedules are more effective in reducing 17-KS excretion.16
Observations
Definition of “Low-Dosage.”
The term, “low-dosage,” with reference to glucocorticoid therapy has been used to refer to almost any amount of less than 60 mg of hydrocortisone daily or its therapeutic equivalent in other steroids. In this report it refers to much smaller doses for the following reason.
Endocrine glands such as the adrenal cortices, whose function is regulated by trophic pituitary hormones, exhibit certain characteristic relationships. When their output of hormone is deficient, a compensatory increase in trophic hormone (adrenocorticotropic hormone) ensues. When exogenous adrenocortical hormone is administered to a normal subject, a compensatry decrease in adrenocorticotropic hormone occurs. If the dosage of exogenous hormone is as great as, or greater than, the replacement dose necessary to maintain a normal endocrine status of an adrenalectomized patient, the output of adrenocorticotropic hormone will fall sufficiently for the adrenal cortices to become inactive. If the dosage of exogenous hormone is less than a replacement dose, a compensatory decrease in adrenocorticotropic hormone just sufficient to keep the total effective quantity of adrenocortical hormone in the body at a normal level should occur. This effective quantity of hormone should consist partly of exogenously administered hormone and partly of endogenously produced hormone.
Because hydrocortisone is the adrenocortical hormone whose levels regulate the pituitary output of adrenocorticotropic hormone, the exogenous administration of it, or of its derivatives that have similar inhibitory effects on adrenocorticotropic hormone production, will affect endogenous pituitary-adrenocortical function. If the amount of hydrocortisone administered is as great as, or greater than, the dose required to maintain an adrenalectomized patient in a normal state, adrenocorticotropic hormone production will cease and the adrenal cortices will become inactive. In our clinic, the optimum replacement dose has been 40 mg/day administered in four divided doses of 10 mg each. Because it has been reported that a normal person’s adrenals secrete only approximately 20 mg of hydrocortisone daily,17 it is apparent that tablets administered orally on this schedule are about 50% as efficient as the hormone secreted into the blood by the adrenals. An exogenous daily dose greater than 40 mg could, therefore, properly be termed an “excessive dose”; doses of 40 mg or greater could be termed “suppressive doses”; and doses of less than 40 mg daily would be "partially suppressive” doses. Such terminology must be distinguished from the application of “suppressive” and “partially suppressive” to the effects of the steroid upon the symptoms of the disease being treated.
In our clinics the term, “low-dosage” has referred to oral doses of cortisone or hydrocortisone totaling 20 mg or less daily administered in divided doses at maximum intervals of eight hours. It would be anticipated that a dose of 20 mg would depress normal adrenocortical function to approximately 50% of its previous level, and that smaller doses would depress normal function correspondingly less. The earlier observation that 20 mg of hydrocortisone daily decreases urinary 17-KS excretion to approximately 50% of its pretreatment level was consistent with this prediction.13
The validity of this concept was further tested in two ways. First, the ratios of ll-desoxy-17-KS (DHA + A + E) before and during treatment with cortisone acetate in doses of 5 mg four times daily in 21 subjects and 2.5 mg four times daily in 22 subjects have been measured. Such ratios should be more specific indicators of the degree of suppression of endogenous adrenocortical activity than those of total neutral 17-KS, because the method by which they are determined is more accurate and specific and because they do not include ll-oxy-17-KS, to which the administered glucocorticoid may contribute. If the dosage of 20 mg of glucocorticoid daily were suppressing endogenous adrenocortical activity by 50%, the ll-desoxy-17-KS excretion should decrease to half of its pretreatment level and the ratio of pretreatment to ontreatment levels should be 2:1. Although individual variation occurred, the mean ratio of the subjects receiving 20 mg daily was 2.26 (SE ± 0.23):1, indicating that this dosage was suppressing endogenous adrenocortical activity to an average of 44% of pretreatment levels. Similarly, if the dosage of 10 mg daily was suppressing endogenous activity by 25%, the ratio should be 4:3 or 1.33:1. The mean ratio of the subjects receiving 10 mg daily was 1.35 (SE ± 0.11) ;1, indicating suppression to an average of 74% of pretreatment levels.
Secondly, the 24-hour urinary excretions of CM before and during treatment with cortisone acetate in 41 subjects, 21 of whom received 5 mg four times daily and 20 of whom received 2.5 mg four times daily, were compared. Because 37.5 mg cortisone acetate by mouth daily contribute approximately 20 mg to the 24-hour CM excretion,15 20 mg should contribute approximately 11 mg and 10 mg should contribute approximately 5.5 mg. If no suppression of adrenocorticotropic hormone occurred, the administration of these dosages should, therefore, cause increases of 11 and 5.5 mg, respectively, over pretreatment 24-hour CM excretions. On the other hand, if these dosages cause partial suppression of endogenous adrenocorticotropic hormone, changes in CM excretions would be expected in accordance with the following calculations:
Increments above pretreatment CM excretions (12 mg) for the dosage of 20 mg daily should, therefore, be approximately 5 mg and for the dosage of 10 mg daily, 2.5 mg. Individual variations also occurred in these responses, but the mean increment in 24-hour CM excretion in the subjects treated with 20 mg daily was 3.8 (SE ± 0.72 mg), and in those treated with 10 mg daily, 1.5 (SE ± 0.47 mg), indicating that in the average subject these dosages were partly suppressing endogenous hydrocortisone production by 60% and 33% respectively.
It is, therefore, evident that low dosages of cortisone partly suppress endogenous adrenocortical production of both androgen and hydrocortisone to a degree proportional to the dosage. By extrapolation (Fig 1) it is apparent that total suppression of endogenous adrenocortical activity should occur with approximately 35 mg/day, a dose similar to the 40 mg that has proven to be a satisfactory replacement dose. These observations, therefore, support the concept that low dosages cause compensatory decreases in adrenocorticotropic hormone just sufficient to result in the maintenance of a normal total effective quantity of cortisol in the body and they provide evidence against the occurrence of a summation effect. Consequently, no symptoms or signs of hypercorticism would be expected with their use.

Figure 1. Effects of low dosages of cortisone acetate upon urinary excretion of 11-desoxy-17-KS and hydrocortisone (cortisol) metabolites (CM) from endogenous sources.
Safety of Low-Dosage Therapy
In Table 3 are listed the symptoms encountered in the 371 patients treated for periods of six months to nine years with doses not exceeding 20 mg of cortisone acetate or hydrocortisone daily. No signs of hypercorticism occurred in any patient. Two women, one of whom had a previously diagnosed peptic ulcer, noted mild aggravation of symptoms of gastritis after each 5 mg tablet of hydrocortisone, but these could be controlled by the simultaneous administration of antacid. No new ulcers developed. It is possible that tablets of cortisone or hydrocortisone may have a local irritative effect similar to that of aspirin on gastric mucosa and, hence, may require concomitant administration of antacid in some cases. The absence of signs or symptoms of hypercorticism is especially impressive in view of the high percentage in this series of women, who seem to be more susceptible than men to such complications (Table 2).
Table 2. Ages and Sexes of Patients Receiving Low-Dosage Glucocorticoid Therapy

Table 3. Symptoms Encountered With LowDosage Glucocorticoid Therapy in 371 Patients Treated for Periods of Six Months

The vaginal spotting occurred only in women with previous ovarian dysfunction, and presumably was a reflection of a change in ovarian function, as dilatation and curettage failed to reveal any evidence of pathology of the endometrium. The three women who complained of dizziness and hot flashes were all apprehensive regarding glucocorticoid therapy and none had evidence of ovarian deficiency, so it is difficult to evaluate the significance of these symptoms. After reassurance they were able to continue low-dosage glucocorticoid therapy without further difficulty.
There has been no evidence of impairment of resistance to stress, patients having withstood major surgical procedures and acute severe illnesses uneventfully without change in dosage.12 Resistance to minor infections such as common respiratory diseases also was not impaired; on the contrary, many patients commented that they seemed to have a greater resistance to respiratory infections while receiving low-dosage glucocorticoid therapy.
In order to obtain more specific information regarding the effects of this therapy upon the hypothalamic-pituitary-adrenal relationship, the following studies were performed.
A 32-year-old woman with ovarian dysfunction, whose adrenals demonstrated a normal base line excretion of HCM with a slightly elevated excretion of 17-KS and a hyperresponsiveness to corticotropin (Fig 2), was given cortisone acetate, 5 mg four times daily. Three months later, while treatment was continued, a repeat corticotropin and a mepyrapone test18 were administered. At this time the response to corticotropin was within normal range14 with respect to all 17-KS fractions and CM. With the administration of mepyrapone, 750 mg orally every four hours for six doses, the excretion of ll-desoxy-17-KS increased significantly. If this dosage of cortisone were completely suppressing adrenocortical function, this increase would not have occurred, because mepyrapone causes an increase in 17-KS excretion only through a decrease in circulating hydrocortisone levels below normal with a resulting stimulus to the hypothalamic-pituitary mechanism to produce a compensatory increase in adrenocorticotropic hormone. Mepyrapone decreases circulating hydrocortisone levels by inhibiting endogenous production of this steroid; hence, if the exogenously administered cortisone were completely suppressing endogenous production, mepyrapone could not have further depressed this. The failure of 11-oxy17-KS excretion to decrease after mepyrapone, as would be expected from its inhibitory effect on 11β-hydroxylation, presumably resulted from the contribution of the excretory products of the administered cortisone. The absence of a rise in CM excretion also probably resulted from the contribution of the administered cortisone plus the fact that the CM technique only partly measures the excretion of cortodoxone.15 This study, therefore, demonstrated in another way that the ingestion of 20 mg of cortisone acetate daily only partly suppressed endogenous cortisol production, and it revealed no evidence of impairment of the hypothalamic-pituitary-adrenal response mechanism. Of coincidental interest was the observation that the corticotropin response indicated a more normal state of adrenocortical activity while this patient was taking the cortisone than had been present prior to its administration.

Figure 2. Effects of corticotropin and mepyrapone upon urinary steroid fractions of a 32-year-old woman prior to and after three months of separate 24-hour urine collection are connected by lines to facilitate comparison.
The effect of the partial inhibition of endogenous steroid production for a prolonged period upon the hypothalamic-pituitary-adrenal response mechanism was studied in a slightly different manner in a woman who had been receiving 20 mg of hydrocortisone daily for three years (Fig 3). While taking the steroid, her response to the standard corticotropin test was well within normal limits except for her failure to excrete DHA, presumably due to an intrinsic difference in steroid metabolism. Several months later the steroid was stopped and 24 hours later a mepyrapone test was administered. Here also, except for the failure to excrete DHA, her response was completely normal, with a characteristic decrease in 11-oxy17-KS due to inhibition of llj8-hydroxylation, a rise in CM due to increased excretion of metabolites of cortodoxone (Reichsteins Compound S) which contribute to this fraction with this test, and the moderate rise in A and brisk rise in E. There was, therefore, no evidence of impairment of the response mechanism after prolonged low-dosage therapy.

Figure 3. Effects of corticotropin and mepyrapone upon urinary steroid fractions of a 40-year old woman after three years' therapy with hydrocortisone (F), 5 mg four times daily, In the legends, 17-KS refers to total neutral 17-KS, and hence, may differ from the sum of the 17-KS fractions obtained by more gentle hydrolysis and gradient elution.
Because the derivatives of hydrocortisone and cortisone were developed primarily to avoid the sodium-retaining effects of large doses of the natural steroids, they would have little advantage in the low-dosage range if low doses of hydrocortisone and cortisone do not cause sodium retention. The effect of 5 mg of cortisone acetate every eight hours upon electrolyte excretion in an anovulatory 32-year-old woman maintained on a constant diet and fluid intake is seen in Fig 4. A transient mild sodium retention occurred through the fourth day of therapy, but the retained sodium was then excreted although treatment was continued. Instead of potassium loss, there was a slight transient potassium retention. This study suggests that it takes about eight to ten days for the body to adjust to the exogenous steroid.

Figure 4. Effects of administration of a single dose of 5 mg of cortisone acetate and of 5 mg every eight hours for eight days upon urinary sodium, potassium, fluid, and total neutral 17-KS excretion in an anovulatory 32-year-old woman. Results are charted as differences from the base line (zero) levels of excretion of sodium, potassium, and fluid.
A similar study of the effect of the administration of hydrocortisone, 5 mg four times daily, for six days to a 37-year-old woman with essential hypertension revealed no evidence of sodium retention; the average daily urinary sodium excretion during the control period being 86 mEq, and during cortisol administration, 89 mEq. No patients on prolonged low-dosage therapy have developed edema, hypertension, or other evidence of sodium retention, nor has any evidence of potassium loss occurred. Congestive heart failure has not been present in any of the patients so far treated, but unless the slight sodium retention in the first few days of administration caused difficulty, it is unlikely that more prolonged therapy would be harmful in such cases.
Because low doses do not produce hyper corticism, no impairment of glucose tolerance would be expected. Two patients with diabetes mellitus have received low-dosage glucocorticoid therapy, and neither has had an increase in insulin requirement or any other evidence of harmful effect. One, whose diabetes was labile, was impressively benefited by the therapy, with fewer hypoglycemic reactions and an improved sense of well-being, suggesting that further studies of the possible benefit of low-dosage glucocorticoid therapy in labile diabetes should be performed. The other had relatively stable diabetes and received steroid therapy for ovarian dysfunction.
The evidence that several days are required for the body to adjust to the initiation of low-dosage steroid therapy noted in Fig 4 is supported by the interval that occurs between the start of therapy and the attainment of a new stable level of steroid excretion. In a previous report14 it was noted that the decrease in urinary 17-KS excretion, though evident on the fourth day of a dosage of 5 mg cortisol four times daily, was lower after four weeks of therapy, following which it remained stable. A subsequent study has demonstrated that the decrease in urinary 17-KS fractions with this dosage of cortisone was progressive to the tenth day of therapy. The compensatory decrease in adrenocorticotropic hormone release by the pituitary is apparently not immediate, but progressive over a period of several days.
These observations, therefore, provide further evidence that low-dosage glucocorticoid therapy only partly suppresses endogenous adrenocortical activity, that it doesnot produce hypercorticism or a summation effect, except possibly to a slight extent for the first few days of treatment while the hypothalamic-pituitary-adrenal mechanism is adjusting, and that it does not lower resistance to stress. It is consequently not accompanied by the hazards that attend the use of larger doses.
Effectiveness of Low-Dosage Therapy
The clinical capabilities of low-dosage therapy in disorders of gonadal function are well documented. In women with infertility associated with ovarian dysfunction, 62% have had normal, live babies with low-dosage glucocorticoid therapy and over 80% have had improvement in ovarian function.16,19 Many of the patients had acne, hirsutism, or chronic cystic mastitis, and improvement often occurred in these related conditions.12
A few of the women had associated rheumatic disorders, and when they reported benefit in these as well as in ovarian dysfunction while receiving low-dosage glucocorticoid therapy, this aspect was investigated farther. The potential effectiveness and safety of such therapy is exemplified in the cases of two adolescent girls with arthritis.
Report of Cases
Case 1
The first patient developed migratory pains in the hips, elbows, metatarsal, and temporomandibular joints at age 13 shortly after the menarche. After she had been unable to attend school for over a month, intensive studies in the hospital resulted in a diagnosis of “probable rheumatoid arthritis,” according to the criteria of the American Rheumatism Association.20 The administration of cortisone acetate, 5 mg four times daily, resulted in complete relief of pain and swelling in approximately two weeks, and she was able to return to school. A month later the dosage was reduced to 2.5 mg four times daily and she remained asymtomatie for four months. A recurrence of pain and swelling in the joints then occurred, so the dosage was returned to 5 mg four times daily. Subsequently, the dosage has been decreased to 2.5 mg four times daily twice, but on both occasions joint pain and swelling recurred, once after a three-month interval and the last time after only a two-week interval, so she is now taking 5 mg four times daily, a dosage upon which she remains asymptomatic. Her menses, which had occurred at intervals of thxee to five weeks since the menarche, became regular at four-week intervals after cortisone therapy was started. She has now been receiving cortisone for 24 months.
In Fig 5, her steroid excretions before and after a test dose of corticotropin, both prior to treatment and while she was asymptomatic on treatment, are presented. Of special interest were the findings that her CM and ll-oxy-17KS were no higher while she was asymptomatic on treatment than they were before steroid was started. On the contrary, they were actually lower during therapy. Her 24-hour CM excretion before treatment was 14.1 mg; while receiving cortisone acetate, 5 mg four times daily, 8.2 mg; and while receiving 2.5 mg four times daily, 11.7 mg. There was, therefore, no evidence in urinary steroid excretion of a summation effect of the exogenously administered cortisone.

Figure 5. Effects of same dose of corticotropin (Fig 4) administered to a 13-year-old girl with probable rheumatoid arthritis upon urinary steroid fractions before treatment and while in a symptomatic remission on cortisone acetate (E), 5 mg four times daily (4xd).
Serum 17-hydroxycorticosteroid levels during cortisone therapy were 14.8 μg/100 ml at 9 AM, before the first morning dose of cortisone; 18.1/ig/100 ml at 10 AM, one hour after the morning dose of 5 mg; and 1.4 μg/100 ml at 4 PM, three hours after the last previous dose. The normal range for morning values with this technique is 6 μg to 25 μg. There is, therefore, no evidence that serum levels exceeded the normal range at any time with this therapy, even one hour after a morning dose, the interval at which a maximum rise of 17-OHST in the blood would be expected.21 Furthermore, no apparent interference with diurnal variation occurred.
It is also evident from this figure that her response to the test dose of cortocotropin was not impaired by the steroid therapy. The fractionations of 17-KS reveal a relatively low excretion of DHA both before and after corticotropin.
Case 2
The second patient, in 1957, at age 14, had a diagnosis of classical rheumatoid arthritis complicated by hyperthyroidism with a diffuse goiter. For the arthritis, which was most severe in the knees, wrists, and elbows, with pain, swelling, and limitation of motion, she received salicylates and later cortisone acetate, 5 mg every eight hours. Her hyperthyroidism responded to propylthiouracil therapy, and has remained in remission after its discontinuance. Cortisone therapy has been continued for seven years, during which time she experienced a normal menarche, grew from 671/4 (169.7 cm) to 693/4 (171.7 cm) inches in height, graduated from high school and college, and is now teaching in elementary school. Although slight swelling and limitation of motion of the left knee and wrist have persisted, she has had no significant exacerbations of the arthritis while receiving the steroid, the dosage of which never exceeded 15 mg daily.
Her steroid excretion (Fig 6) in the seventh year of therapy revealed a CM level well within normal limits, again suggesting that therapeutic effects could not be attributed to an excess of steroid. She also had a normal CM and ll-oxy-17-KS response to a test dose of corticotropin after this prolonged therapy. Androsterone and E likewise responded normally, but DHA rose very little.

Figure 6. Response of urinary steroid fractions to corticotropin in a 21-year-old woman with classical rheumatoid arthritis after receiving cortisone acetate (E), 5 mg every eight hours (q8h), for six years. In the legend, 17-KS refers to the total neutral 17-KS, and, hence, may differ from the sum of the 17-KS fractions.
This patient, whose prognosis seemed poor at the time of the rather severe onset of rheumatoid arthritis complicated by Graves’ disease, has not only lived a relatively normal life during the subsequent seven years, but the steroid therapy has not interfered with normal growth or adolescence, nor has she had any symptoms or signs of hypercorticism or impairment of resistance to stress.
With this evidence that low-dosage glucocorticoid therapy is not only safe but capable of producing antirheumatic effects without any apparent excess of steroid in the body, questions regarding possible mechanisms of this action arise. If antirheumatic effects do not depend upon an excess of glucocorticoid, the possibility that they may result from changes in levels of one or more other steroids must be considered. The ability of 15 mg of hydrocortisone or cortisone daily to change the pattern of excretion of 17-KS fractions has been demonstrated.13 Low doses are, therefore, capable of altering steroid production or metabolism.

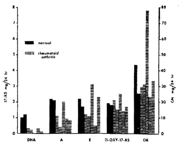
Figure 7. Base line urinary excretions of steroid fractions in five women with rheumatoid arthritis who had not received previous giuococorticoid therapy compared with two normal women in same age group.

Figure 8. Increases in urinary excretions of steroid fractions over base line levels after administration of a standard dose of 80 units of corticotropin gel intramuscularly in same patients and normal subjects as those in Fig 7.
If antirheumatic effects result from some unidentified change in steroid metabolism, the possibility that patients with rheumatoid arthritis may have an abnormality of steroid metabolism must be reconsidered. Because of the possible abnormality suggested by the pattern of steroid excretion and its response to corticotropin in case 1 before institution of cortisone therapy, similar studies were made on four additional women with probable or definite rheumatoid arthritis (Pigs 7 and 8). When the results are compared with those observed in two normal women, the base line excretion of DHA and its response to corticotropin are consistently low, and those of A were suggestively low, whereas those of E, of ll-oxy-17-KS, and of CM were relatively normal. Hill and Dempsey, in a preliminary report of urinary steroid fractionation patterns in rheumatoid arthritis,7 noted similar changes. Low or absent excretion of DHA before and after corticotropin are not characteristic of chronic disease in general, but they have been observed in patients with disorders other than rheumatoid arthritis, so they cannot be considered pathognomonic for this disease. Nevertheless, these observations suggest that an abnormality of steroid metabolism may exist in rheumatoid arthritis.
Comment
The use of low-dosage glucocorticoid therapy as maintenance treatment for patients with rheumatoid arthritis is not new. Most physicians treating this disease have encountered patients whose symptoms can be maintained in a satisfactory remission on 15 or 20 mg of cortisone acetate daily, whereas withdrawal of the steroid is followed by recurrence or exacerbation. In several reviews of steroid therapy in rheumatoid arthritis,22-24 maintenance doses in this range are recommended, especially in women with cases of only moderate severity; Rothermich25 stressed the advantages and relative safety of low doses in this disease. In a cooperative study conducted by a committee of the American Rheumatism Association26 it was reported that 43% of patients with rheumatoid arthritis treated with cortisone acetate received a daily dose of 50 mg or less after the third month of therapy.
The possibility that these doses might act in any way other than as a summation effect has received little attention, however, and it has usually been implied that larger doses were necessary initially. Therapeutic effectiveness of comparable small doses of prednisone (5 mg or less daily)4,5 or dexamethasone (0.75 mg or less daily)27 have been reported, but unless the prednisteroids and other derivatives of cortisone and hydrocortisone prove to have an advantage of a longer duration of therapeutic effect with a resulting ability to use a schedule of less frequent doses, there would appear to be no reason to use them in this dosage. It is also possible that the derivatives might have undesirable side effects that are not encountered with the natural glucocorticoids at low-dosage levels. Rothermich23 encountered serious side effects in 4% of patients with rheumatoid arthritis treated for at least a year with 5 mg of prednisone or its equivalent daily, suggesting that the derivatives may be more toxic at lower dosages.
In presenting the effectiveness of low-dosage glucocorticoid therapy it is not meant to imply that all cases of rheumatoid arthritis will respond to such doses. The two girls discussed in this report are the only two cases of rheumatoid arthritis who have not had prior steroid treatment with larger doses whom we have had an opportunity to follow for a prolonged period. It, therefore, appears that therapeutic trials in a larger series of cases of initial doses in this range for at least 14 days before considering an increase is warranted, as are further studies to determine the nature of the antirheumatic effects.
In addition to the observations presented in this report, other considerations are consistent with the impression that the beneficial effects of glucocorticoid therapy cannot be completely explained by their producing an excess of steroid. For example, if the antirheumatic effect were primarily due to a summation effect, greatest improvement should occur during the first two weeks of treatment, with a subsequent tendency to relapse. Instead, clinical observations indicate that maximum beneficial effects do not occur until approximately two weeks after treatment has started, and they persist while the steroid is continued and for a variable length of time after its withdrawal. The delay in attainment of maximum antirheumatic effect coincides to some extent with the time required for the body to adjust to exogenous steroid and raises the question whether some aspect of the adjustment might be responsible for this effect.
Boland and Headley,28 early in their experience with cortisone therapy of rheumatoid arthritis, noted that maximum overall improvement usually occurred two to three weeks after treatment was started, and “was more frequently noted at or near the end of the period of gradual dose reduction.” The similarity in time interval with that observed with low-dosage therapy is interesting, and suggests that, even with larger doses, antirheumatic effect may depend upon some other factor than hypercortisonism.
Shuster and Williams4 reported that single doses of cortisone acetate as low as 12.5 mg daily administered to normal subjects caused increased excretion of 17-OHST, but the urine collections were made on the third day of administration. The discrepancy between their observations and those in this study might be due to two factors. (1) With the evidence that the pituitary-adrenal mechanism requires longer than three days to adjust to the administration of small doses, some degree of summation effect might be expected on the third day. (2) A single oral dose of 12.5 mg of cortisol acetate causes a transient rise in plasma 17OHST21; this might result in a greater increase in urinary steroid excretion than the same amount administered in divided doses.
These investigators also found that patients receiving 12.5 mg of cortisone acetate twice daily had normal basal plasma 17-OHST levels, indicating that such doses did not produce a persistent elevation of plasma cortisol. Nelson and co-workers21 had reported that a single oral dose of 12.5 mg of hydrocortisone acetate caused a peak rise in plasma 17-OHST in one hour with a return to the base line level by the fourth hour, but the effects of persistent administration of this dosage had not been studied.
A single daily dose of this magnitude might, therefore, have a different effect on the hypothalamic-pituitary mechanism from the same total amount administered in divided doses throughout the 24-hour period. For this reason, the administration of a single dose of 0.5 mg of dexamethasone29 or 5 mg of prednisolone5 in the evening, even though apparently effective in inhibiting adrenocorticotropic hormone and in producing anti-inflammatory effects, may be less physiologic and, therefore, less safe than the low-dosage schedule reported here. These doses, being equivalent to approximately 15 mg and 20 mg of hydrocortisone, respectively, represent individual doses three or four times as great as the 5 mg used in this study. Their action is probably more similar to that of larger doses administered every other day,30 wherein an intermittent excess of steroid is achieved. Furthermore, the duration of effectiveness of a single dose of the steroid derivatives appears to be longer than that of hydrocortisone or of cortisone, so observations of this nature made with derivatives may not be applicable to natural steroids.
The beneficial effect of low-dosage glucocorticoid therapy in itself is suggestive of a possible obscure abnormality of steroid metabolism contributing in some manner to the symptomatology. Although relative deficiencies of excretion of DHA are not pathognomonic of rheumatoid arthritis, nevertheless the finding that all five cases in this study had similar abnormalities and that their abnormalities were similar to those observed in patients with rheumatoid arthritis by Hill and Dempsey7 is impressive. Of further interest in this regard is a recent report31 that women destined to develop rheumatoid arthritis have subnormal fertility and a reduced menstrual span. It is tempting to speculate that the lowered fertility and the arthritis, both of which may improve with low-dosage glucocorticoid therapy, may be related to some underlying and as yet unidentified abnormality of steroid metabolism.
It is apparent from these studies that cortisone and hydrocortisone are remarkably safe when administered at low-dosage levels. This is not surprising when it is recalled that these agents are natural hormones, and that low doses imply doses that will diminish endogenous adrenocortical activity by only approximately 50%. This not only leaves a sufficient amount of functioning adrenal tissue to enable adequate responses to stress, but it also avoids the complete suppression of endogenous androgen production that probably causes the higher incidence in women of undesirable side effects with larger doses than in men.
Danowski and his associates32 observed no undesirable side effects of the administration of 20 mg of hydrocortisone daily for three years to 38 male volunteers, 13 of the subjects undergoing 15 major surgical procedures uneventfully without supplementary steroid therapy. Normal corticotropin responses were also found in these volunteers. Mepyrapone tests were performed while steroid administration was continued, and the failure to observe a normal rise in 17-OHST excretion was interpreted as evidence of impairment of the hypothalamicpituitary mechanism. It is more likely that this resulted from the ingestion of the exogenous steroid, as discussed above in the case presented in Fig 1. If the steroid had been discontinued 24 hours before the tests, as in the patient in Fig 2, a more accurate test of the response of the hypothalamicpituitary-adrenal mechanism would have been obtained. The failure of any signs of hypercorticism to occur in 339 women in this series indicates the safety of these dosages in women as well as men.
A careful review of the literature has failed to reveal any documented reports of the development of signs or symptoms of hypercorticism or failure to respond to stress in patients who have not received more than 30 mg of hydrocortisone or cortisone daily. Comparable doses of newer de rivatives of these steroids have been associated with the development of peptic ulcer in rare instances, however, suggesting that at lower dosage levels the natural steroids are safer. Any medication, including aspirin or vitamins, can be harmful when taken in excessive quantities for sufficient periods of time; even food itself in excessive quantities can produce serious and undesirable side effects such as obesity, increased incidence of heart disease, and diabetes. It would, therefore, be no more logical to conclude that, because they may be toxic at higher dosage, glucocorticoids should be avoided completely than to say that for the same reason the use of aspirin or any other medication should be discontinued altogether. Hollander33 discussed this point in a recent editorial regarding the calculated risk of arthritis treatment. The evidence that low doses of glucocorticoids are not toxic enhances the pertinence of his argument.
Furthermore, the impression that glucocorticoid therapy should be withdrawn as soon as possible is also no longer valid with respect to low doses. It is conceivable that at least some patients with collagen disorders or chronic allergic conditions might benefit from continuation of low-dosage glucocorticoid therapy indefinitely, even though they apparently achieve a complete remission. The practice of continuing some patients with arthritis on prolonged therapy with relatively low doses of glucocorticoid is well established in most clinics, but this is done, for the most part, with apprehension and with the intention of ultimately withdrawing the steroid. Because of this philosophy, when a patient achieves a complete symptomatic remission therapy is usually terminated in order to determine whether the remission will be maintained.
Because of these observations, the following revisions of earlier impressions regarding glucocorticoid therapy seem justified. (1) Antirheumatic effects may not necessarily depend upon an excess of steroid in the tissues. (2) Patients with rheumatoid arthritis may have an abnormality of steroid metabolism. (3) Cortisone and hydrocortisone are remarkably safe when administered at low-dosage levels.
Further studies of the effects of low dosages in rheumatic and other disorders benefited by glucocorticoids, therefore, seem warranted.
Summary
Experience during the past 12 years with the administration of cortisone acetate or hydrocortisone in doses not exceeding 5 mg four times daily has revealed the following.
Urinary excretions of metabolites of endogenous ll-desoxy-17-ketosteroids and of endogenous hydrocortisone were suppressed directly proportional to the dosage and in a manner consistent with the concept that small doses suppress endogenous steroid production to an extent that results in maintenance of a normal total effective level of glucocorticoid in the body. No evidence of summation effect could be detected.
In 371 patients treated for six months to nine years, no signs of hypercorticism developed, nor was there impairment of resistance to stress. No significant changes in urinary electrolyte excretion occurred, and representation subjects exhibited normal responses to adrenocorticotropic hormone and to mepyTapone.
Two cases of rheumatoid arthritis achieved symptomatic remissions without evidence of summation effect.
Five women with untreated rheumatoid arthritis had similar abnormalities in urinary excretion of ll-desoxy-17-ketosteroid fractions before and after a standard adrenocorticotropic hormone stimulus.
The administration of low doses of natural glucocorticoids is, therefore, not attended by the hazards characteristic of larger doses; antirheumatic effects do not necessarily depend upon the presence of an excess of glucocorticoid; and patients with rheumatoid arthritis may have an obscure disorder of steroid metabolism.
S. Csegazi; L. Faulkner; V. Reeder; and P. Disbro gave technical assistance in performing the steroid determinations. L. Du Pertuis gave assistance in the compilation of data.
Corticotropin gel was supplied as ACTHar gel, lot No. 62412, by the Armour Laboratories; cortisone acetate supplied as Cortone by Merck, Sharp & Dohme, cortisone acetate supplied by the Upjohn Company; hydrocortisone supplied as Cortef by the Upjohn Company; and mepyrapone supplied as Metopirone by the Ciba Pharmaceutical Company.
This investigation was supported by a grant from the Brush Foundation of Cleveland.
Summary
Cortisone acetate—Cortogen Acetate, Cortone Acetate. Hydrocortisone—Cortef, Cortifan, Cortril, Hycortole, Hydrocortone. Prednisone—Deltasone, Deltra, Meticorten, Paracort. Dexamethasone—Decadron, Deronil, Dexameth, Gammacorten, Hexadrol. Prednisolone—Delta-Cortef, Hydeltra, Meticortelone, Meti-Derm, Paracortol, Sterolone.
References
Bean, W.B.: Aphorisms From Latham, Iowa City: Prairie Press, 1962, p 33.
Hench, P.S., et al: Effect of Hormone of the Adrenal Cortex (17-Hydroxy-ll-Dehydrocorticosterone; Compound E) and of Pituitary Adrenocorticotropic Hormone on Rheumatoid Arthritis, Proc Mayo Clin 24:181, 1949.
Jefferies, W.McK.: The Present Status of ACTH, Cortisone, and Related Steroids in Clinical Medicine, New Éng J Med 253:441, 1955.
Shuster, S., and Williams, I.A.: Pituitary and Adrenal Function During Administration of Small Doses of Glucocorticoids, Lancet 2:674, 1961.
DeAnrade, J.R.: Pituitary-Adrenocortical Reserve During Corticosteroid Therapy: A Report on the Methopyrapone Test in Ten Patients Taking Long-Continued Small Doses, J Clin Endocr 24:261, 1964.
Forsham, P., in discussion, Ann Rheum Dis 14:417, 1955.
Hill, S.H., and Dempsey, H.: “Steroid Excretion Patterns in Rheumatoid Arthritis,” in Mills, L.C., and Moyer, J.H. (eds.): Inflammation and Diseases of Connective Tissues, Philadelphia: W. B. Saunders Company, 1961, p 529.
HUI, S.R., et al: Corticosteroids in Rheumatoid Arthritis, Arch Intern Med 112:603, 1963.
Dobriner, K.: Adrenal Function in Rheumatoid Arthritis, Bull Rheum Dis 2:5, 1951.
Kellie, A.E., and Wade, A.P.: Urinary Steroid Excretion in Rheumatoid Arthritis: Changes in Kctonic and Non-ketonic Fractions During Hormone Therapy, Brit Med J 2:594, 1953.
Smythe, C.J., ct al; Rheumatism and Arthritis: Review of American and English Literature of Recent Years, Ann Intern Med 61 (suppl 6):23, 1964.
Jefferies, W.MoK., and Levy, R.P.: Treatment of Ovarian Dysfunction With Small Doses of Cortisone or Hydrocortisone, J Clin Endocr 19:1069, 1959,
Jefferies, W.McK.: Effect of Small Doses of Cortisone Upon Urinary 17-Ketosteroid Fractions in Patients With Ovarian Dysfunction, J Clin Endocr 22:255, 1962,
U. Jefferies, W.McK., and Michelakis, A.M.: Individual Patterns of Urinary 17-Ketosteroid Fractions, Metabolism 12:1017, 1963.
Michelakis, A.M.: A New Method for Measuring Cortisol Metabolites, J Clin Endocr 22:1071, 1902.
Jefferies, W.McK.: “Glucocorticoids and Ovulation," in Cireenblntt, R.B. (ed.): Ovulation, Philadelphia: J. B. Lippincott Company, 1966, p 63.
Peterson, H.E., and Wyngaarden, J.B.: The Miscible Pool and Turnover Kale of Hydrocortisone in Man, J Clin Invest 35:552, 1956.
Liddle, G.W., et al: Clinical Application of a New Teat of Pituitary Reserve, J Clin Endocr 19:875, 1959.
Jefferies, W.McK.: Further Experience With Smalt Doses of Cortisone and Related Steroids in Infertility Associated With Ovarian Dysfunction, Fcnil Steril 11:100, 1960.
2(1. A committee of the American Rheumatism Association: 1958 Revision of Diagnostic Criteria for Rheumatoid Arthritis, Arthritis Rheum 2:16, 1959.
Nelson, D.H., et at: Blood Levels of 17-Hydroxycorticosteroids Following Administration of Adrenal Steroids and Their Relation to Levels of Circulating Leukocytes, J Clin Invest 31:843, 1952.
Boland, E.W.: Adrenal Cortical Steroids and Some of Their Synthetic Analogues in the Treatment of Rheumatoid Arthritis, in Talbot, J.H., and Lockie, L.M. (eds.): Progress in Arthritis, New York: Grune & Stratton, Inc., 1958, p 130.
Ensign, D.C.; Sigler, J.W.; and Wilson, G.M.: Steroids in Rheumatoid Arthritis, Arch Intern Med 104:949, 1959.
Slocumb, C.H.: Cortisone and Related Steroids in the Treatment of Rheumatoid Arthritis, Med Clin N Amer 45:1209, 1961.
Rothermich, N.O.: Corticosteroid Therapy in Rheumatoid Arthritis: Criteria and Results, Postgrad Med 36:117, 1964.
Report of a Cooperative Study Conducted by a Committee of the American Rheumatism Association: Experience With Cortisone in the Management of Rheumatoid Arthritis, Ann Rheum Dis 14:325, 1955.
Cohen, A., et al: Treatment of Rheumatoid Arthritis With Dexamethasone, JAMA 174:831, 1960.
Boland, E.W., and Headley, N.E.: Management of Rheumatoid Arthritis With Smaller (Maintenance) Doses of Cortisone Acetate, JAMA 144:365, 1950.
Nichols, T.; Nugent, C.A.; and Tyler, F.H.: Diurnal Variation in Suppression of Adrenal Function by Glucocorticoids, J Clin Endocr 25:343, 1965.
Harter, H.G.; Reddy, W.J.; and Thom, G.W.: Studies on an Intermittent Corticosteroid Dosage Regimen, New Eng J Med 269:591, 1963.
Kay, A., and Bach, F.: Subfertility Before and After the Development of Rheumatoid Arthritis in Women, Ann Rheum Dis 24:169, 1965.
Danowski, T.S., et al: Hydrocortisone and/or Desiccated Thyroid in Physiologic Dosage: VII. Pituitary-Adrenocortical and Thyroidal Function, Metabolism 11:705, 1962.
Hollander, J.L.: The Calculated Risk of Arthritis Treatment, editorial, Ann Intern Med 62:1062, 1965.
