Hiroshi Ozasa, M.D.,1 Masato Kita, M.D., Takuya Inoue, M.D., and Takahide Mori, M.D.
Department of Gynecology and Obstetrics, Faculty of Medicine, Kyoto University, Sakyo-ku, Kyoto 606, Japan. Received April 24, 1989.
1To whom correspondence and requests for reprints should be addressed.
To evaluate the usefulness of the plasma dehydroepiandrosterone (DHEA)-to-cortisol ratio (D/C) and the plasma aldosterone-to-plasma renin activity ratio (ALDO/PRA) as indicators of stress, we first monitored changes in these ratios associated with surgery in 13 patients who were healthy except for their localized gynecologic diseases. D/C and ALDO/PRA ratios were reduced by 37 and 42%, respectively, 4-5 days postsurgery compared to those 3-4 days before surgery (P < 0.05 and P < 0.01, respectively) and returned to preoperative levels 11—13 days after surgery. In contrast, individual hormone levels showed no significant changes associated with surgery. Having documented that these ratios may serve as indicators of stress, we then sequentially measured D/C ratios in patients with gynecologic malignancy subjected to cytotoxic chemotherapy or radiation therapy and in patients in the terminal stage. Although such therapies did not affect D/C ratios to a measurable extent, patients in the terminal stage gave consistently low D/C ratios in spite of normal vital signs (a D/C ratio below 6 was deemed low). Such low ratios occurred only sporadically in other patients and, again, individual values for DHEA and cortisol showed no consistent pattern. We believe that use of D/C ratios as an indicator of stress warrants further investigation.
Introduction
Evidence accrued from recent studies indicates that stress induces alterations in adrenocortical steroid metabolism leading to a preferential production of glucocorticoids over that of androgens and mineralocorticoids [1-4]. Such changes in adrenocortical steroid metabolism are not necessarily reflected by circulating levels of these steroids except for cortisol, circulating as well as urinary levels of which are invariably elevated under stress [5]. As for adrenal androgens such as déhydroépiandrostérone (DHEA) and DHEA sulfate, significant changes in circulating levels compared to control subjects were identified in patients with severe burn trauma [4] but not in the critically ill [2] in whom only a tendency toward a decline was noted. With respect to aldosterone (ALDO) in critically ill patients, plasma concentrations per se were either normal [1] or elevated [3], but were only inappropriately low in view of elevated plasma renin activity (PRA) with resultant reduced ALDO/PRA ratios [3,6]. Similarly, alterations in adrenal androgen production in critical illness were rendered more apparent by introducing DHEA-to-control (D/C) or DHEA sulfateto-cortisol ratios, which were shown to be significantly decreased compared to controls [2]. These observations raise a possibility that such ratios might serve as indicators of stress. We explored this possibility through the assessment of these ratios in gynecologic patients who underwent surgery, in patients with gynecologic malignancy subjected to cytotoxic chemotherapy or radiation therapy, and in patients in the terminal stage of their malignancy who were treated only symptomatically.
Subjects and methods
Patients
In total, 23 inpatients were enrolled in this study, after giving informed consent. Thirteen, each healthy except for their localized gynecologic diseases, served to evaluate the impact of surgery as a stressor. Both D/C and ALDO/PRA ratios were measured 3-4 days before and 4-5 and 11-13 days after surgery. We inferred that postsurgical changes in these ratios would be appraisable on this time scale based on observations by Parker and Baxter [7] that changes in serum concentrations of DHEA sulfate and cortisol evoked by thermal injury were sustained for many days. All of these patients required no blood transfusion and had an uneventful postoperative course. Clinical information on surgical patients is summarized in Table 1.
Table 1. Summary of Surgical Patients

D/C ratios were measured sequentially on a weekly basis in the remaining 10 patients, each with gynecologic malignancy. These patients except for three in the terminal stage were subjected to cytotoxic chemotherapy or radiation therapy. D/C ratios were measured more frequently when such therapies were instituted so that the effect of therapy as a stressor could be evaluated. Patients in the terminal stage were treated only symptomatically until death. In addition, one patient, initially in a stable condition compatible with cytotoxic chemotherapy, succumbed eventually with the exacerbation of her malignancy. Patients in the terminal stage continued to have normal vital signs at least until a few days prior to death. We elected to use D/C ratios for these patients, since hypokalemia frequently associated with chemotherapy involving cisplatin [8] may compound the interpretation of ALDO/PRA ratios by affecting ALDO secretion [9].
D/C and ALDO/PRA ratios were measured under normal hepatic and renal function for all patients.
Hormones and statistics
Blood samples were obtained by venipuncture in the morning (between 0800 and 1000 hr). Plasma concentrations of DHEA were measured by RIA as described previously, using antisera raised against 11 α -succinoyloxy-DHEA-BSA [10]. Plasma cortisol was measured by RIA using a kit (Cortisol Eiken) purchased from Eiken Chemical Company, Ltd, Tokyo, Japan. Plasma aldosterone (Aldosterone-Riakit II) and PRA (Renin-Riabead) were measured by RIA using kits purchased from Dainabot Company Ltd, Tokyo, Japan. Intra- and interassay coefficient of variation were, respectively, 4.5 and 15.2% for DHEA, 6.3 and 5.5% for cortisol, 4.6 and 7.7% for aldosterone, and 5.2 and 7.1% for PR A. Statistical comparisons were made with the use of analysis of variance (multiple-way classification) followed by Duncan’s new multiple range test.
Results
The effect of surgery on D/C and ALDO/PRA ratios was studied in 13 patients. Plasma concentrations of cortisol and PRA tended to increase and plasma concentrations of DHEA and aldosterone tended to decrease 4-5 days postsurgery and appeared to have returned to the preoperative level 11-13 days postsurgery. When D/C and ALDO/PRA ratios were evaluated, however, each showed a significant decrease: 37 and 42%, respectively, 4-5 days after surgery (P < 0.05 and P < 0.01, respectively). The values of these ratios 11-13 postsurgery days were comparable to those before surgery (Fig. 1).

Figure 1. Effect of surgery on plasma concentrations of dehydroepiandrosterone, aldosterone, cortisol, and PRA and on dehydroepiandrosterone-to-cortisol (D/C) and aldosterone-to-PRA (ALDO/ PRA) ratios. Hormone concentrations and D/C and ALDO/PRA ratios were determined on the indicated days before and after surgery. While individual hormone concentrations or PRA did not show significant changes, both D/C and ALDO/PRA ratios were found to have decreased 4-5 days after surgery and to have returned to presurgical levels 11-13 days postsurgery.
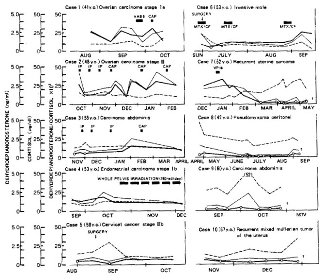
We then sequentially measured D/C ratios in patients with gynecologic malignancy (Fig. 2). Neither cytotoxic chemotherapy nor radiation therapy appeared to affect D/C ratios to a measurable extent. In contrast, however, patients in the terminal stage gave consistently low D/C ratios, whereas such low ratios occurred only 5 times among 48 determinations in an inconsistent manner in other patients. A D/C ratio below 6 (= the mean 3SD of values for 13 preoperative patients with localized disease) was arbitrarily designated low. In one patient (case 7), D/C ratios shifted to low levels as she entered the terminal stage, as judged retrospectively. All of the patients in the terminal stage continued to have normal vital signs at least until a few days prior to death. Here again, individual values for DHEA or cortisol showed no consistent pattern, although plasma concentrations of cortisol tended to be elevated and those of DHEA tended to be low in patients in the terminal stage.

Figure 2. Changes in plasma dehydroepiandrosterone (—) and cortisol (—) concentrations and in dehydroepiandrosterone-to-cortisol (D/C) ratios (—) monitored sequentially in oncologic patients subjected to various anticancer therapies and in those in the terminal stage treated only symptomatically. Neither individual hormone concentrations nor D/C ratios showed consistent changes with regard to chemotherapy or irradiation. However, patients in the terminal stage (cases 7-10) gave consistently low D/C ratios (<6; indicated by open circles) until death. Note the drop in the D/C ratio to low values when patient 7 entered the terminal stage, as judged retrospectively. VAB 6, combination chemotherapy consisting of vinblastine, actinomycin D, pepleomycin, and cisplatin; CAP, combination chemotherapy consisting of cyclophosphamide, doxorubicin, and cisplatin; IP, intraperitoneal chemotherapy using cisplatin; MTX/CF, chemotherapy using methotrexate with citrovorum factor; VP16, chemotherapy using etoposide.
Discussion
Recent studies indicate that adrenocortical response to stress may encompass all three major adrenal cortex hormones, i.e., glucocorticoids, androgens, and mineralocorticoids [1,2]. Under such stress as severe illness, there seems to occur a shift in adrenal pregnenolone metabolism away from the adrenal androgen and mineralocorticoid pathway toward the glucocorticoid pathway. As suggested by Parker et al., this may represent an adrenal adaptation to stress [2]. We considered that, inasmuch as such a shift is reflected in alterations in D/C and/or ALDO/PRA ratios, these ratios might, conversely, be exploited to monitor the impact of stress. We have shown in surgical patients that both D/C and ALDO/PRA ratios exhibited significant changes 4-5 days postsurgery, at a time when no definite alternations were discernible for individual hormone levels, and both ratios returned to the preoperative level on 11-13 days postsurgery. These observations may indicate the usefulness of these ratios as a monitor of stress.
We then sequentially measured D/C ratios to gain insight into the stress experienced by patients with gynecologic malignancy subjected to cytotoxic chemotherapy or radiation therapy and by patients in the terminal stage. It has been claimed that these therapies by themselves might serve as a stressor [11]. Our data suggest that therapies such as those employed in our setting did not appear to wield a measurable impact on these patients as a stressor. In contrast, all patients in the terminal stage gave consistently low D/C ratios. One patient showed a shift to low D/C ratios as she entered the terminal stage. It should be noted that patients in the terminal stage, despite low D/C ratios, continued to have normal vital signs at least until a few days prior to death. Conversely, sporadic low D/C ratios were not associated with a poor prognosis. These observations suggest that consistently low D/C ratios may lead to an ominous outcome.
Relevant here is the fact that preadrenarchal children will have D/C ratios as low as those observed in patients in the terminal state [12]. Another entity associated with low D/C ratios, is anorexia nervosa, in which such low ratios has been claimed as evidence of the ontogenic regression associated with this condition [13]. It remains to be determined, however, whether such two divergent entities as severe illness and preadrenarchy have anything in common in the mechanism leading to low D/C ratios [14,15].
Whereas Parker et at. did not comment on the outcome of the critically ill with low D/C ratios [2], Findling et. reported an association between low ALDO/PRA ratios and poor prognosis in patients with severe illness [3]. However, these ratios were determined only on a single occasion, and another study was unable to find such an association [6]. Our observation that low D/C ratios that occur consecutively but not sporadically lead to an ominous outcome suggests that sequential monitoring might be important in certain clinical situations such as the terminal stage of malignant diseases.
References
Zisper, R. D., Davenport, M. W., Martin, K. L., Tuck, M. L., Warner, N. E., Swinney, R. R., Davis, C. L., and Horton, R. Hyperreninemic hypoaldosteronism in the critically ill: A new entity, J. Clin, Endocrinol. Metab. 53, 867-873 (1981).
Parker, L. N., Levin, E. R., and Lifrak, E. T. Evidence for adrenocortical adaptation to severe illness, J. Clin. Endocrinol. Metab. 60, 947-952 (1985).
Findling, J. W., Waters, V. O., and Raff, H. The dissociation of renin and aldosterone during critical illness, j. Clin. Endocrinol. Metab. 64, 592-595 (1987).
Lephart, E. D., Baxter, C, R., and Parker, C. R., Jr, Effect of burn trauma on adrenal and testicular steroid hormone production, L Clin. Endocrinol. Metab. 64 , 842-848 (1987).
Liddle, G. W., Island, D., and Meador, C. K. Normal and abnormal regulation of corticotropin secretion in man, Recent Prog. Mann. Res. 18, 125-166 (1962).
Davenport, M, W., and Zisper, R. D. Association of hypotension with hyperreninemic hypoaldosteronism in the critically ill patient, Arch. Intern. Med. 143, 735-737 (1983).
Parker, C. R., Jr., and Baxter, C. R. Divergence in adrenal steroid secretory pattern after thermal injury in adult patients, J. Trauma 25, 508-510 (1985).
Shilsky, R., and Anderson, T. Hypomagnesemia and renal magnesium wasting in patients receiving cis-platin, Ann. Intern. Med. 90, 929-931 (1979).
Liddle, G. W., Bartter, F. C., Duncan, L. E., Jr., Barber, J. K., and Delea, C. Mechanisms regulating aldosterone production in man, J. Clin. Invest. 34, 949-950 (1955).
Kokubu, T., Hisatomi, M., Ohuchi, R., Mori, H., and Kambegawa, A. The simple methods for radioimmunoassay of unconjugated and sulfate conjugated dehydroepiandrosterone, Folia Endocrinol. Japon. 54, 117-130 (1978).
Martin, R., and Blackburn, G. Nutritional support of the oncologic patient, in Gynecologic oncology (R. C. Knapp and R. S. Berkowitz, Eds.), Macmillan, New York, pp. 553-577 (1986).
Cutler, G. B., Jr., Davis, S. E., Johnsonbaugh, R. E., and Loriaux, D. L. Dissociation of cortisol and adrenal androgen secretion tn patients with secondary adrenal insufficiency. J. Clin. Endocrinol. Metab. 49, 604-609 (1979).
Zumoff. B., Walsh, B. T., Katz, J. L., Levin, J., Rosenfeld, R. S., Krearn, J., and Weiner, H. Subnormal plasma dehydroisoandrosterone to cortisol ratio in anorexia nervosa: A second hormonal parameter of ontogénie regression, J. Clin. Endocrinol. Metab. 56, 668-672 (1983).
Couch, R. M., Muller, J., and Winter, J. S. D. Regulation of the activities of 17-hydroxylase and 17,20-desmolase in the human adrenal cortex: Kinetic analysis and inhibition by endogenous steroids, J. Clin. Endocrinol. Metab. 63, 613-618 (1986).
Parker, L. N., Lifrak, E. T., and Odell, W. A. 60,000 molecular weight human pituitary glycopeptide stimulates adrenal androgen secretion, Endocrinology 113, 2092-2096 (1983).