Anne-Sofie Furberg,1 Grazyna Jasienska,3 Nils Bjurstam,2 Peter A. Torjesen,4 Aina Emaus,1 Susan F. Lipson,6 Peter T. Ellison,6 and Inger Thune1,5
1Institute of Community Medicine, Faculty of Medicine, University of Tromso; 2Department of Radiology, Centre of Breast Imaging, University Hospital of North Norway, Tromso, Norway; 3Department of Upidemiology and Population Studies, Institute of Public Health, Jagiellonian University, Krakow, Poland; 4Hormone Laboratory, Aker and the 5Ulleval University Hospital, Oslo, Norway, and 6Department of Anthropology. Harvard University, Cambridge, Massachusetts
Requests for reprints: Anne-Sofie Furberg, Institute of Community Medicine,Faculty of Medicine. University of Tromso, N-9037 Tromso, Norway Phone: 477-7646351: Fax: 477-764-4831. E-mail: anne-sofie.furberg@ism.uit.no.
Abstract
Low serum high-density lipoprotein cholesterol (HDL-C) is an important component of the metabolic syndrome and has recently been related to increased breast cancer risk in overweight and obese women. We therefore questioned whether serum HDL-C might be a biologically sound marker of breast cancer risk. We obtained cross-sectional data among 206 healthy women ages 25 to 35 years who participated in the Norwegian EBBA study. We included salivary ovarian steroid concentrations assessed by daily samples throughout one entire menstrual cycle, metabolic profile with measures of adiposity [body mass index (BMI) and truncal fat percentage], serum concentrations of lipids and hormones (insulin, leptin, testosterone, dehydroepiandrostendione sulfate, insulin-like growth factor-I, and its principal binding protein), and mammographic parenchymal pattern. We examined how components of the metabolic syndrome, including low serum HDL-C, were related to levels of hormones, and free estradiol concentration in particular, and studied predictors of mammographic parenchymal patterns in regression models. In women with BMI ≥ 23.6 kg/m2 (median), overall average salivary estradiol concentration dropped by 2.4 pmol/L (0.7 pg/mL; 13.2% change in mean for the total population) by each 0.33 mmol/L (12.8 mg/dl; 1 SD) increase in serum HDL-C (P = 0.03; Pinteraction = 0.03). A subgroup of women characterized by both relatively high BMI (≥23.6 kg/m2) and high serum LDL-C/HDL-C ratio (≥2.08; 75 percentile) had substantially higher levels of salivary estradiol by cycle day than other women (P = 0.001). BMI was the strongest predictor of overall average estradiol with a direct relationship (P < 0.001). Serum HDL-C was inversely related to serum leptin, insulin, and dehydroepiandrostendione sulfate (P < 0.001, P < 0.01, and P < 0.05, respectively). There was a direct relationship between breast density and healthy metabolic profiles (low BMI, high serum HDL-C; P < 0.001) and salivary progesterone concentrations (P < 0.05). Our findings support the hypothesis that low serum HDL-C might reflect an unfavorable hormonal profile with, in particular, increased levels of estrogens and gives further clues to biomarkers of breast cancer risk especially in overweight and obese women. (Cancer Epidemiol Biomarkers Prev 2005;14(l):33-40)
Introduction
The prevalence of obesity [body mass index (BMI) ≥ 30 kg/m2] is increasing worldwide, and obese women and women with adult weight gain seem to be at increased risk of breast cancer (1). Moreover, obese women, are susceptible to the metabolic syndrome [i.e., glucose intolerance, low serum high-density lipoprotein cholesterol (HDL-C), high serum triglycerides, and hypertension], and this, in turn, seems to put women at an even higher risk of breast cancer (2-5). In a prospective study in Norway (2), we recently observed that serum HDL-C was inversely related to risk of postmenopausal breast cancer in overweight (BMI = 25-30 kg/m2) and obese women. Thus, we hypothesized that low serum HDL-C might reflect an unfavorable hormonal profile with increased levels of breast mitogens, mainly of estrogens, but also of androgens, insulin, and insulin-like growth factor I (IGF-I; ref. 2).
The aim of the present study was to test whether the different components of the metabolic syndrome including low serum HDL-C, are associated with levels of endogenous hormones, a major physiologic link between obesity and risk of breast cancer (6) and with breast parenchymal density, a surrogate measure of breast cancer risk (7). Evidence from population-based studies might suggest reliable biomarkers of breast cancer risk among conventional clinical variables, as serum lipids, that could provide a strategy for identifying high-risk individuals who might benefit from preventative intervention. Furthermore, as metabolic profile has also been related to endometrial cancer risk in epidemiologic studies (8, 0), including a study from our group (10), learning about obesity-related biomarkers may not be limited to breast cancer.
We examined daily concentrations of estradiol and progesterone during one entire menstrual cycle using a salivary R1A, serum concentrations of lipids, glucose, insulin, leptin, androgens, SHBG, IGF-I, and IGFBP-3, and measures of adiposity (BMI and truncal fat percentage), and mammographic parenchymal patterns in 206 healthy Norwegian women ages 25 to 35 years.
Material and Methods
Subjects and Study Design.
Subjects for the present study participated in the Norwegian EBBA study.[7] A total of 206 women living in North Norway entered the study from 2000 to 2002. The women were invited to participate by announcements in newspapers and locally. Study subjects had to meet the following criteria: 25 to 35 years of age; self-reported regular cycles (cycle length, 22-38 days) within the previous 3 months; no use of hormonal contraceptives and no pregnancy or breast-feeding over the previous 6 months; no infertility, gynecologic disorders, chronic disorders (i.e., diabetes, hypothyroidism/hyperthyroidism) or abnormally high BMI (>30 kg/m2). All clinical procedures were conducted by trained nurses at the Department of Clinical Research, University Hospital of North Norway, Tromso. All the participating women signed an informed consent form. The study was approved by7 the Regional Committee for Medical Research Ethics and the Norwegian Data Inspectorate.
7I Thune, et al. Body composition (height, weight, BMI, WHR, tat percentage) influences estradiol and progesterone levels throughout a menstrual cycle among women aged 25-35 years. The Norwegian EBBA-studv. In preparation.
Questionnaires
We used a general questionnaire (selfadministered and by interview) to collect information on ethnicity, education, reproductive history, and past and current lifestyle including physical activity (type, frequency, and duration), use of hormonal contraceptives, tobacco, and alcohol. Total average energy expenditure per week during the past y'ear was estimated by multiplying the average number of hours per week spent at each activity by the energy cost of that particular activity expressed in metabolic rates (METs 11).
The women were asked to record the type and the portion size of every food item consumed during 24 hours in a precoded food diary developed for the EBBA study on seven selected days in the menstrual cycle (days 3-6 and days 21-23). Average daily intake of energy and nutrients were computed by using a food database and software system developed at the Institute for Nutrition Research, University of Oslo, Norway (12).
Clinical Variables and Mammogram.
On the first possible day after onset of the menstrual bleeding, participants met for clinical examinations, including height, weight, and blood pressure measurement and blood collection. The majority of the W’omen met on day 1 or day 2 of their menstrual cycle, but some women had to w7ait until days 3 to 5 because the medical facilities were closed during holidays and weekends. Height was measured to the nearest half centimeter and weight was measured to the nearest 0.1 kg on an electronic scale with subjects wearing light clothing and no footwear. BMI (kg/m2) was used to estimate relative weight.
The women came in once during midcycle (days 7-12) for a whole body scan and mammography. The whole body scan was obtained by DEXA (DPX-L 2288, Lunar Radiation Co., Madison, WI) operated by one skilled nurse and percentage of fat tissue in the trunk was estimated by Lunar software. Mammograms were taken w'ith Siemens Mammomat 3000 at the Centre of Breast Imaging, University Hospital of North Norway. The mammographic parenchymal pattern in bilateral craniocaudal and mediolateral oblique projections was categorized by radiologist N. Bjurstam using a modified Wolfe's classification (7) w7ith four categories: I = essentially7 normal breast tissue with parenchyma composed primarily of fat; II = prominent ductal pattern in up to one fourth ol the breast volume; III = prominent ductal pattern in more than one fourth of the breast volume; and IV = extremely dense parenchyma, which usually denotes connective tissue hyperplasia.
Serum and Saliva Samples.
Blood samples were drawn after overnight fasting. Serum concentrations of glucose, triglycerides, total cholesterol, HDL-C, testosterone, DHEA-SO4, and SHBG w7ere measured in fresh sera at the Department of Clinical Chemistry, University Hospital of North Norway, during the study period of 26 months. Serum glucose was measured enzymatically by the hexokinase method. Serum triglycerides were assayed by enzymatic hydrolysis with lipase. Serum cholesterol was determined enzymatically using cholesterol esterase and cholesterol oxidase. HDL-C' was quantified by a direct assay using polyethylene glycolmodified enzy7mes and dextran sulfat. Serum low-density lipoprotein cholesterol (LDL-C) w7as estimated according to Friedewnlds formula (total cholesterol HDL-C — 0.46 x triglycerides). Serum testosterone was measured by an enhanced chemiluminescence immunoassay, serum DHEA-SO4 was measured by a competitive immunometric assay, and serum SHBG was measured by an immunometric assay. Serum glucose and lipids were measured by kits from Roche Diagnostics GmbH, Mannheim, Germany, and serum DHEA-SO4 and SHBG were measured by kits from DiagnosticProducts Co. (DPC)-Bierman GmbH, Bad Nauheim, Germany. The serum testosterone measurement was made using Elecsys 2010 from Roche Diagnostics, in 153 samples (74%), whereas for the remaining samples Immuno 1 from Bayer Diagnostics (Tarrytown, NY) was used. The correlation coefficient was 0.97 in parallel runs of the testosterone assays and no correction formula was developed to adjust for the change of assay. Serum concentrations of insulin, leptin, IGF-I, and 1CFBP-3 were measured at the Hormone Laboratory, Aker University Hospital, Oslo, in serum that were stored at 70oC for up to 3 years until analysis; all samples were assayed during a time period of 2 months. Serum insulin and leptin were measured by RIA using kits from Linco Research, Inc., St. Charles, MO. The levels of IGF-I and 1GFBP-3 were determined by ILMA using Immuiite 2000 from Diagnostic Products Co. (DPC), Los Angeles, CA. Apart from the described change in assay for serum testosterone, there was no marked drift m any scrum variable during the study period at any of the laboratories. The coefficients of variation derived from the laboratories were as follows: 2% glucose, 2% triglycerides, 2.5% cholesterol, 3% HDL-C, <5% testosterone, <10% DHEA-SO4, 5% to 10% SHBG, 8% to 12% insulin, 7% to 10% IGF-I, 6% IGEBP-3, and 10% to 12% leptin.
The participants collected samples of their own saliva at home once a day, preferentially in the morning, for the complete menstrual cycle. Collection of saliva followed previously established protocols (13) from the Reproductive Ecology Laboratory at Harvard University, where the saliva samples were analyzed. Estradiol was assayed in saliva samples from 20 days (reverse cycle days —5 to —24) and progesterone was assayed in saliva samples from the last 14 days of each cycle (reverse cycle days -1 to -14). Salivary estradiol measurements were made using a I-125 based RIA kit (Diagnostic Systems Laboratories, Webster, TX) with the following modifications to the manufacturer's protocol to shift the location of the standard curve: Standards were prepared in assay buffer and run in six concentrations from 0.33 to 10 pg/mL. Samples were added in 100-μL amounts together with 200 μL, of assay buffer. First antibody was diluted 1:4. Labeled steroid was diluted 1:3. First antibod}' and labeled steroid were added to each tube in 100-μL, amounts to yield a total reaction volume of 500 μL per tube. Similarly, salivary progesterone measurements were made using an 1-125 based RIA kit (Diagnostic Systems Laboratories) with the following modifications: Standards were prepared in assay buffer and run at six concentrations from 2 to 200 pg/mL. Samples were added in 100-μL amounts together with 100 gL of assay buffer. First antibody was diluted 1:4. First antibody and labeled steroid were added to each tube in 100-μL. amounts to yield a total reaction volume of 400 μL per tube.
In both assays, after overnight incubation at 4°C, 500 μL of second antibody was added to each reaction tube. Reaction tubes were subsequently centrifuged for 45 minutes; after aspiration of the supernatant, tubes were counted in a gamma counter for 2 minutes. There was a maximum of 60 samples per assay (representing three or four different subjects) and subjects were randomly assigned to assays. The sensitivity of the estradiol assay is 4 pmol/L (1.1 pg/mL). Average intra-assay variability was 9%, and interassay variability ranged from 23% for low pools to 13% for high pools. For progesterone, the sensitivity of the essay is 13 pmol/L (4.1 pg/mL). Average intra-assay variability was 10%; interassay variability ranged from 19% for low pools to 12% for high pools.
Statistical Analyses. To test whether components ot the metabolic syndrome including low serum HDL-C', are associated with higher levels of hormones, and free estradiol concentration in particular, and further are related to mammographic parenchymal patterns in premenopausal women, we estimated some indices of ovarian function and did a variety of statistical analyses by SAS statistical package version 8.2.
Alignment of the cycles for analysis was based on the identification of the day of the midcvcle estradiol drop, which provides a good estimate of tire dav of ovulation (14) and was designated as "day 0." Satisfactory identification of the midcycle estradiol drop could not be made for 14 women and their cycles were not aligned. Overall average salivary estradiol and progesterone were calculated for all the women, whereas a midluteal index (the average of the hormone concentrations on days + 5 to + 9) was calculated for the 192 women with aligned cycles. The midluteal index corresponds to the period of maximal progesterone secretion by the corpus luteum and a relatively high (i.e., in comparison with the follicular phase) and stable production of estradiol.
We used linear regression modeling to study the associations between measures of metabolic profile and average salivary estradiol and progesterone levels (overall and midluteal) throughout one entire menstrual cycle and adjusted for potential confounding factors in multivariate models We used a generalized linear model to compare average salivary estradiol concentrations by cycle day in the interval from days 10 to + 9 in subgroups of women defined bv both BMI and serum lipids. To study in more detail the importance of the biological variation in serum HDL-C level, we used the 75 percentile as cut point for this categorization: group A, BMI < 23.6 kg/m2 (median) and serum II )l C HDL-C ratio < 2.08 (75 percentile); group B, BMI ≥23.6 kg/ m2 and serum LDL-C/HDL-C ratio < 2.08; group C, BMI ≥23.6 kg/m2 and serum LDL-C/HDL-C ratio ≥ 2.08; group D, BMI ≥ 23.6 kg/m2 and serum LDL-C/HDL-C ratio ≥ 2.08. We controlled for dependencies between repeated observations in the same subject (MIXED procedure) and used the model with the best fit to our data (Toeplitz covariance structure). We included age as a covariate in the model and we did post hoc tests for multiple pair wise comparisons by Dunnett's method. There were no missing observations in the selected interval (days —10 to + 9) among women with aligned cycles. Differences in means of serum hormones in subgroups of women defined by both BMI and serum LDL, C/HDL-C ratio (groups A-D) were tested tor statistical significance in multiple linear regression models and post hoc tests for multiple pair wise comparisons were done by Bonferroni’s method.
We used ordinal logistic regression models to estimate the age-adjusted odds ratio (OR), with 95% confidence interval (95% Cl), of being in one higher category of breast density ; associated with an increase of 1 SD in measures of metabolic ( profile and indices of ovarian hormones. To examine whether each of the statistically significant predictors were independent of known or potential determinants of parenchymal patterns, we used multivariate ordinal logistic regression models.
We evaluated possible interactions between each measure of metabolic profile (measures of adiposity, serum lipids, and serum hormones) and categories (median split for all continuous variables) of age at menarche, age at entry, BMI, truncal fat percentage, energy intake, fat intake, total physical activity, parity (nullipara, 1+ children), current use of alcohol (yes, no) and tobacco (yes, no), and ever use of hormonal contraceptives (yes, no) by including multiplicative interaction terms between the explanatory variables and the category variables in the linear and logistic regression models. Plots of residuals were used to confirm that data fitted to the regression models. We considered results statistically significant when the two-sided P < 0.05.
Results
The 206 women included in our study were on average 30.7 years old and had mean age at menarche of 13.1 years (Table 1). Mean BMI was 24.4 kg/m2. Average length of menstrual cycle in the study was 28.3 days (range, 20-47 days), mean overall average salivary estradiol concentration was 18.2 pmol/L, (5.0 pg/mL), and mean overall average salivary progesterone concentration was 131.1 pmol/L (41.2 pg/mL).
Table 1. Means (SD) and proportions of selected characteristics in the study population

In correlation analyses (not presented in tables), serum HDL-C was inversely related to measures of adiposity (P < 0.001), serum insulin (P < 0.01), leptin (P < 0.001), and DHEA-SO4 (P < 0.05), whereas serum LDL-C was directly related to most of these variables (P < 0.001 for measures of adiposity; P < 0.05 for leptin and DHEA-SO4). Both BMI and truncal fat percentage wrere directly related to serum insulin and leptin (P < 0.001), and BMI was also directly related to serum DHEA-SO4 level (P < 0.05).
In age-adjusted linear regression analyses, HDL-C was the only serum lipid that was associated with salivary estradiol concentration (Table 2). By each 0.33 mmoJ/L (12.8 mg/dl; 1 SD) increase in serum HDL-C overall average estradiol concentration dropped by 1.5 pmol/L, (0.4 pg/ml; P = 0.02), which equals an 8.2% change in mean overall average estradiol concentration in the study population, and there was a similar drop in average midluteal estradiol concentration (P = 0.04). We observed even stronger relationships between the ratio of serum total/HDL-C and LDL/HDL-C and salivary estradiol concentration (P < 0.01, for overall average and midluteal estradiol for both ratios). Both BMI and truncal fat percentage were positively associated with overall average and midluteal salivary estradiol concentration. BMI w'as the strongest predictor of overall average estradiol; bv each 3.8 kg/m2 (1 SD) increase in BMI the overall average estradiol concentration increased by 2.2 pmol/L (0.6 pg/mL), which equals a 12.1% change in mean overall average estradiol concentration in the study population (P < 0.001). Moreover, serum DHEA-SO4 was a predictor of average midluteal salivary estradiol concentration (P = 0.04), whereas serum insulin and leptin tended to predict overall average salivary estradiol concentration (P = 0.11 and P = 0.06, respectively). Serum variables and measures of adiposity were unrelated to salivary progesterone lev els. When we added age at menarche, parity, energy intake, total physical activity, average use of alcohol, current smoking status (yes/no), and accumulated number of years on hormonal contraceptives ft) the linear regression models, the associations remained statistically significant with only small modifications of the estimates (not presented in tables).
Table 2. Table 2. Estimated changes in salivary estradiol and progesterone concentrations (pmol/L) with 95% Cl by 1 SD increase in explanatory variables

In age-adjusted analysis of overall average salivary estradiol concentration, there w'as an interaction between BMI (median split: <23.6 kg/m2, ≥23.6 kg/m2) and serum HDL-C (Pinteraction = 0.03; Table 3). Among women with BMI above 23.6 kg/m2, overall average estradiol concentration dropped by 2.4 pmol/L (0.7 pg/mL; 13.2% change in mean for the total population P = 0.03) by each 0.33 mmol/L (12.8 mg/dl; 1 SD) increase in serum HDL-C. Serum total/HDL-C ratio and LDLC/IIDL-C ratio were positively associated with overall average estradiol concentration among the heaviest women (P = 0.02 for both), but tests of interaction were not statistically significant. In analysis adjusted for BMI (continuous term), the association between serum LDL-C/HDL-C ratio and overall average estradiol concentration in women with BMI above 23.6 kg/m2 remained (P = 0.04). There was an interaction between the dichotomised BMI variable and quartiles of serum total/HDL-C ratio (Rmteracirn = 0.02) and quartiles of serum LDL-C/HDL-C ratio (Pinter.ution = 0.007).
Table 3. Estimated changes in salivary overall average estradiol concentration (pmol/L) with 95% Cl by 1 SD increase in serum lipids according to BMI category

Women characterized by both relatively high BMI (≥23.6 kg/m2; median split) and high serum LDL-C/HDL-C ratio (≥2.08; 75 percentile) had markedly higher average salivary estradiol levels by cycle day than the rest of the study population from a graphical illustration (Fig. 1) and by generalized linear regression analysis (P = 0.001, ago adjusted). We examined how the average estradiol levels by cycle day in women with both high BIVU and high serum LDL-C/HDL-C ratio (group D) differed from the levels in each of the other groups of women described in Fig. 1 and observed significant differences for all comparisons (group A, P = 0.002; group B, P = 0.02; group C, P = 0.03). Among women with high serum LDL-C/HDL-C ratio (groups C and D), there was no significant difference in mean serum LDL-C/HDL-C ratio by BMI category (median split, 23.6 kg/m2; P = 0.07).

Figure 1. The Norwegian EBBA study (192 aligned cycles). Average salivary estradiol concentration by cycle day in cycles of women categorized by BMI and serum LDL-C/HDL-C ratio. P = 0.001 for difference in average estradiol concentration by cycle day between cycles of women characterized by BMI ≥ 23.6 kg/m2 and LDL-C/HDL-C ratio ≥ 2.08 (group D) and cycles of women in the other categories (groups A-C). Confidence intervals were omitted for clarity. The conversion factor from pmol/L to pg/mL is 0.272 for estradiol. O, Group A: BMI < 23.6 kg/m2 and LDLC/HDL-C ratio < 2.08; •, Group B: BMI ≥ 23.6 kg/m2 and LDL-C/ HDL-C ratio < 2.08: □, Group C: BMI < 23.6 kg/m2 and LDL-C/ HDL-C ratio ≥ 2.08; ■. Group D: BMI ≥ 23.6 kg/m2 and LDLC/HDL-C ratio ≥ 2.08.
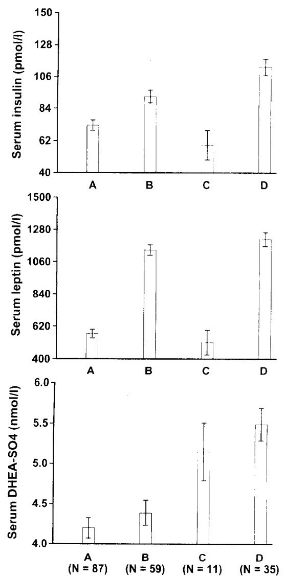
Women characterized by having the highest salivary estradiol levels (group D) had higher lewis of serum insulin, leptin and DHEA-SO4 compared with the rest of the study population as a whole (groups A-C, Fig. 2). However, mean serum insulin and leptin did not differ statistically significantly between the two groups of women with BMI above median (groups B and D). Furthermore, mean serum DHEA-SO4 did not differ statistically significantly between the two groups of women with serum LDL-C/HDL-C ratio in the highest quartile (groups C and D). The remaining comparisons of mean serum insulin, leptin, and DHEA-SO4 levels among group D women versus women in the other groups were statistically significant (results not shown).

Figure 2. Women with aligned cycles, Ihe Norwegian EBBA study (n = 192). Age-adjusted values of mean serum insulin, leptin, and DHEA-SO4 (±SE) in women categorized by BMI and serum LDL-C/HDL-C ratio. The conversion factor from pmol/L to milliunits/L is 0.17 lor insulin. The conversion factor from pmol/ l. to ng/dL is 1.5 for Leptin. The conversion factor from nmol/L to ng/mL is 36.8 for DHEA-SO4. Group A: BMI < 23.6 kg/m2 and LDL-C/HDL-C ratio < 2.08; Group B: BMI ≥ 23.6 kg/m2 and LDL-C/HDL-Cratio < 2.08;GroupC: BMl < 23.6kg/m2 andLDLC/HDL-C ratio ≥ 2.08; Group D: BMI ≥ 23.6kg/m2 andLDL-C/HDLC ratio > 2.08.
In multiple logistic regression analyses adjusted for age, age at menarche, parity (nulliparous, parous), and ever use of hormonal contraceptives (yes, no; Table 4), a 3.8 kg/m2 (1 SD) increase in BMI was associated with a decrease of 64% (OK, 0.36; 95% Cl, 0.26-0.49) in the odds of having breasts with density in one higher category, a 0.33 mmol/L (12.8 mg/dl; 1 SD) increase in serum HDL-C was associated with an increase of 63% (OR, 1.63; 95% Cl, 1.24-2.14) in the odds of having breasts with density in one higher category, and a 87.6 pmol/L (27.5 pg/mL; 1 SD) increase in average midluteal salivary progesterone concentration was associated with an increase of 36% (OR, 1.36; 95% Cl, 1.03-1.81) in the odds of having breasts with density in one higher category. We did not observe any associations between salivary estradiol levels and mammographie breast density.
Table 4. Estimated ORs (95% Cl) for being in one higher category of breast density (Modified Wolfe's classification) by 1 SD increase in explanatory variables estimated by sequential logistic regression analysis

Discussion
To our knowledge, this is the first report showing that a metabolic profile with low serum HDL-C is related to increased levels of free, biologically active estradiol throughout an entire menstrual cycle. Moreover, we observed that women with both a relatively high BMI (≥23.6 kg/m2; median split) and a relatively high serum LDL/HDL-C ratio (≥2.08; 75 percentile) were exposed to far higher levels of free estradiol than other women. In a large prospective study, we recently documented an increased risk of postmenopausal breast cancer by decreasing serum HDL-C among overweight and obese women (2); previous results from prospective studies are limited and not stratified by BMI categories (15-17). However, several studies have reported lower levels of serum HDL-C in breast cancer patients versus controls (18-20).
Thus, by analyzing the associations between metabolic profile and levels of free estradiol in the present cross-sectional data we had the possibility to identify hypothesized physiologic mechanisms (2) that may link overweight/obesity and dyslipidemia to breast cancer risk in women. As excessive exposure to estrogens is a major stimulus of breast carcinogensis, we suggest that low serum HDL-C is a true biomarker of breast cancer risk that may be most useful among overweight and obese women.
Circulating estrogen and progesterone are thought to play a major role in breast carcinogenesis as the risk of breast cancer increases with early menarche and late menopause (6). Bilateral oophorectomy before the age of 35 reduces the lifetime risk of breast cancer in a woman by nearly 75% (21). A reanalysis of nine prospective studies observed a 2.6 times increase in the risk of postmenopausal breast cancer among women with free serum estradiol in the highest quintile as compared with women with free serum estradiol in the lowest quintile (22). Results from studies of premenopausal breast cancer are less conclusive and are complicated by the cyclic hormonal variation occurring during the menstrual cycle. An increased risk of breast cancer in premenopausal women with relatively high levels of estradiol has been suggested (23-25). The mechanisms by which estrogens cause breast cancer have not been firmly established but the prevailing theory proposes that estrogens increase the rate of cell proliferation by stimulating estrogen receptormediated transcription and thereby the number of errors occurring during DNA replication (26, 27).
The sample sizes of previous studies that have examined estradiol levels in blood have been small. Thomson et al. (28; n = 24; 21 samples during one cycle), Shelley et al. (29; n = 363; one sample in early follicular phase), and Semmens et al. (30; n = 36; one sample) did not observe any association between serum HDL-C and estradiol. In contrast, Gorbach et al. (31; n = 24; one sample in follicular phase) and Lyons Wall et al. (32; a 12; 20 samples during one cycle) observed a positive association between serum HDL-C and estradiol.
Interestingly, there was a linear increase in salivary estradiol concentration related to increasing BMI and truncal fat percentage in our study[7]. Studies have generally found relatively stable and uniform estradiol levels among normal and overweight women, whereas obesity has been associated with impaired ovarian function and a decrease in serum estradiol (33-35). However, Kirschner et al. (36) and Leenen et al. (37) found that free estradiol levels in women with abdominal obesity were higher than in subjects with lowerbody (gluteal) obesity.
One explanation for the difference in findings between studies of both serum HDL-C and BMI and levels of estradiol may be the use of different estimates of endogenous estradiol exposure; as serum estradiol includes both the protein bound fraction and the free fraction of the hormone, salivary estradiol is probably a better predictor of free, biologically active estradiol level (38). furthermore, the association between estradiol and serum HDL-C may be dependent on metabolic profile (i.e., overweight/obesity) and the presence of other hormones (i.e., insulin); thus, stratified analysis may be most appropriate. Finally, our work is based on «datively young birth cohorts who in comparison to past generations have a more sedentary lifestyle that favors metabolic disturbances (39). Numerous studies have reported various patterns of cyclic fluctuations in serum HDL-C as a function of the phase of the menstrual cycle (32, 40); however, Reed et al. (41) found that the intraindividual variability for serum HDL-C in premenopausal women was similar to that found in men and postmenopausal women and differences between studies in timing of serum HDL-C assessment according to cycle phase are not likely to have influenced our results.
Our study shows that serum HDL-C is inversely related to level of serum DHEA-SO4 and is in agreement with others (28, 30). The observed associations between serum HDL-C and salivary estradiol and serum DHEA-SO4 are biologically plausible as sex steroids are physiologic regulators of serum lipids (42). The changes in serum HDL-C levels induced by sex steroids may be mediated, in part, by the lipolytic enzyme, hepatic lipase; the activity of this enzyme is regulated by sex steroids (43). The study of sex differences in cardiovascular disease has revealed that androgens are the key modulators of serum lipid levels and in particular, of serum HDL-C levels (44). Women with relative androgen excess (i.e., polycystic ovary syndrome) have lower levels of serum HDL-C than women with normal ovarian function (44). In the present study, serum DHEA-SO4 was directly related to average midluteal estradiol concentration; this supports the hypothesis (2) that the conversion of androgens to estrogens in adipose tissue might be an underlying mechanism for the increased risk of breast cancer by low HDL-C. The present study also suggests that other hormonal changes, particularly hyperinsulinemia, in the heaviest women (IBM ≥ 23.6 kg/m2) may he of importance; insulin enhances ovarian function and lowers the level of SHBG (45).
In this cross-sectional study, serum LDL-C/HDL-C ratio was the index of HDL-C level that was the strongest predictor of salivary estradiol concentration and this ratio may be a more sensitive marker of breast cancer risk than serum HDL-C alone. Higher levels of serum LD1..-C among breast cancer patients have been observed in retrospective studies (19, 46), hut not in prospective studies (15, 16). Serum LDL-C/HDL-C ratio may reflect aspects of the serum lipid profile that are especially strongly influenced by sex steroid levels.
The observed increase in levels of estradiol associated with potential markers of increased breast cancer risk (high BMI, low HDL-C, and high LDL-C/HDL-C ratio) was not accompanied by an increase in progesterone levels. This suggests that the markers may also be relevant for endometrial cancer as the balance of estrogens and progesterone largely influences endometrial cancer risk (10).
Our finding of a direct relationship between salivary progesterone levels and breast density is in accordance with studies of serum progesterone (47). This supports the role of progesterone in breast carcinogenesis, as mammographic density is an independent predictor of breast cancer risk, with increase in risk by increasing density (48, 49). The fact that estrogen plus progestin use increases both mammographic breast density and the incidence rate of breast cancer versus estrogen alone (50) or placebo (50, 51) underscores the biological significance of our result. Salivary estradiol concentration was not associated with breast density in our study as also reported by others (47).
In our study, breast density was negatively associated with measures of adiposity and positively associated with serum HDL-C, and, importantly, the associations were not influenced by parity. The impact of fat mass on breast density is well known from several studies in both premenopausal and postmenopausal women (52-54). A direct relationship between serum HDL-C and mammographic dysplasia was also observed by Boyd et al. (55) independently of percentage body fat. Thus, studies indicate that potential markers of breast cancer risk (high BMI, low serum HDL-C, and high serum LDL-C/HDL-C ratio) are negatively associated with high-risk mammographic parenchymal patterns. This negative confounding of potential markers of increased breast cancer risk may mean that the effect of parenchymal patterns on risk will tend to be underestimated unless adjusted for metabolic profile (BMI and serum HDL-C) and vice versa, as suggested hv Sala et al. (54).
Our study is strengthened by the estimation of daily estradiol and progesterone concentrations in saliva using well-developed and validated methods and assays to characterize the women's exposure to free, biologically active ovarian steroids, and the comparison of levels by aligned cycle days in the large majority of the population (13, 14). Furthermore, salivary levels of estradiol and progesterone are quite stable within subjects over time (38). We registered ail clinical variables, including mammogram, within the same narrow frame of the cycle in each participant to minimize any influence of cycle phases on parenchymal breast density, in particular (56). To limit potential influence of season, women did not participate during months with little daylight (December and January). Associations between BMI and serum lipids were comparable with our observations in a large prospective study of metabolic risk profiles among women of the same age and from the same geographic area (57). In our study, misclassification of mammographic density is likely to have been minimal, due to the stable work by one expert reader and as we also observed strong associations between mammographic parenchymal pattern and established risk factors for breast cancer (results not shown).
In our recent prospective study (2), from which the study hypothesis originated, the increased risk of postmenopausal breast cancer associated with low' serum HDL-C was found among overweight and obese women (BMI ≥ 25 kg/m2). In this cross-sectional study, we used another BMI cutoff (≥23.6 kg/m2) to define the heaviest women; the women were on average 13 years younger than in the follow-up study (2) and there is a physiologic increase in BMI by increasing age at least up to age 60 years in females (1, 58). Thus, il is reasonable that associations observed for younger women in lower BMI categories may be translated to older women in higher BMI categories.
In conclusion, our results support the hypothesis based on our recently published results from a large prospective study on breast cancer (2), that low serum HDL-C in overweight and obese women is associated with higher levels of breast mitogens and estrogens, in particular, and therefore is a biologically sound marker of breast cancer risk that may be used to identify high risk individuals that may be candidates for intervention.
Acknowledgments
Wc thank the women who participated in the Norwegian EBBA study. A special thank you to Gunn Kristin Knudsen for her work as trained nurse in the EBBA study, to Anne Kirsti Jenssen for her professional secretary assistance, and also to Heide Jacobsen for her technical support.
References
IARC handbook of cancer prevention. Weight control and physical activity. Lyon, France: PARC; 2002.
Furberg A-S, Veierud MB, Wilsgaard T, Bernstein L, Thune I. Serum highdensity lipoprotein cholesterol, metabolic profile, and breast cancer risk. J Natl Cancer Inst 2004;96: 1152-60.
Michels KB, Solomon CG, Hu FB, et al. Type 2 diabetes and subsequent incidence of breast cancer in the Nurses’ Health Study. Diabetes Care 2003;26:1752-8.
Mink PI, Shahar E. Rosamond WD, Alborg AJ, Folsom AR. Serum insulin and glucose levels and breast cancer incidence: the atherosclerosis risk in communities study. Am J Fpidemiol 2002; 156:349-52.
Sinagra D, Amato C, Scarpilta AM, et al. Metabolic syndrome and breast cancer risk. Fur Rev Med Pharmacol Sci 2002;6:35-9.
McPherson K, Steel CM, Dixon JM. ABC of breast diseases. Breast cancerepidemiology, risk factors, and genetics. BMJ 2000;321:624-8.
Wolfe JN, Saftlas AF, Saiane M. Mammographie parenchymal patterns and quantitative evaluation of mammographic deiv-alies: a case-control studv. AJR Am J Roentgenol 1987;148:1087-92.
Anderson KE, Anderson E, Mink RJ, et al. Diabetes and endometrial cancer in the Iowa women's health study. Cancer Epidemiol Biomarkers Prev 2001;10:611-6.
Weiderpass E, Persson J, Adami HO, Magmissnn C. Lindgren A, Baron JA. Body si/o in different periods of life, diabetes mellitus, hypertension, and risk of postmenopausal endometrial cancer (Sweden). Canter Causes Control 2000:11:185-92.
Furberg AS, Thune I. Metabolic abnormalities (hypertension, hyperglycemia and overweight), lifestyle (high energy intake and physical inactivity) and endometrial cancer risk in a Norwegian cohort. Jnt J Cancer 2003;104:669-76.
Ainsworth BE, Haskell WL, Whitt MC, et al. Compendium of physical activities: an update of activity codes and MET intensities. Med Sci Sports Exert; 2000;32:S498-504.
Andersen LF, Overby N, Lillegaard ITL. Is there any difference in what children are eating during weekends and the rest of the week? Barn 2003, 2-3:89-98,
Lipson SF, Ellison PT. Development of protocols for the application ol salivary steroid analyses to field conditions. Am J Human Biol 1989;249-55.
Lipson SF, Ellison PT. Comparison of salivary steroid profiles in naturallyoccurring conception and non-conception cycles. Hum Reprod 1996; 11:2090-6.
Gaord J, Tretli S, Urdal P. Risk of breast cancer in relation to blood lipids: a prospective study of 31,209 Norwegian women. C ancer Causes Control 1994;5:501-9.
Hoyer AP, Engholm G. Serum lipids and breast cancer risk: a cohort study of 5,207 Danish women. Cancer Causes Control 1992;3:403-8.
Moorman PG, Huîka BS, Hiatt RA, et al. Association between high-densitv lipoprotein cholesterol and breast cancer varies bv menopausal status. Cancer Epidemiol Biomarkers Prev 1998;7:483-8.
Bani IA, Williams CM, Boulter PS, Dickerson JW. Plasma lipids and prolactin in patients with breast cancer. Br J Cancer 1986;54:434-46.
Ray G, Husain SA. Role of lipids, lipoproteins and vitamins in women with breast cancer. Clin Biochem 2001;34:71-6.
Schreier LE, Berg GA, Basilio EM, Lopez GI, Ftkin AE, Wikinski RL. Lipoprotein alterations, abdominal fat distribution and breast cancer. Biochem Mol Biol Int 1999:47:681-90.
Feinleib M. Breast cancer and artificial menopause: a cohort study. I Natl Cancer Inst 1968;41:315-29.
Endogenous Hormones and Breast Cancer Collaboration. I ndogenous sex hormones and breast cancer in postmenopausal women: reanaly-ns ol nine prospective studies, J Natl Cancer Inst 2002;94:606-16.
Rosenberg CR, Pasternack BS, Shore RE, Koenig KE, Toniolo PG. Premenopausal estradiol levels and the risk ol breast cancer: a now method of controlling for day of the menstrual cycle. Am J Epidemiol 1944; 140:518-25.
Thomas HV, Key TJ, Allen DS, et al. A prospective studv ol endogenous serum hormone concentrations and breast cancer risk in premenopausal women on the island of Guernsey. Br j Cancer 1997;75:1075-9.
Zaridze D, Kushlinskii N, Moore JW, Pifanova Y, Bassalyk I., Wang DY. Endogenous plasma sex hormones in proand postmenopau-.nl women with breast cancer: results from a case-control studv in Moscow. Fur J Cancer Prev 1992;1:225-30.
Key TJ. Serum oestradiol and breast earner risk. Endoer Relat Cancer 1999;6:175-80.
Yue W, Santen RJ, Wang JP, et al. Genotoxic metabolites oi eslradiol in breast: potential mechanism of estradiol induced carcinogenesis. J Steroid Biochem Mol Biol 2003;86:477-86.
Thompson DL, Snead DB, Seip RL, Weltman JY, Rogol AD, Weltmun A. Serum lipid levels and steroidal hormones in women runners with irregular menses. Can J Appl Physiol 1997;22:66-77.
Shelley JM, Green A, Smith AM, el al. Relationship of endogenous sex hormones to lipids and blood pressure in mid-aged women. Ann Epidemiol 1998;8:39-45.
Semmens J, Rouse I, Beilin IJ, Masarei JR. Relationship of plasma HDI-cholesterol to testosterone, estradiol, and sex-hormone-binding globulin levels in men and women. Metabolism I983;32:428-32.
Gorbach SE, Schaefer EJ, Woods M, et al. Plasma lipoprotein cholesterol and endogenous sex hormones in healthy young women. Metabolism 1989;38:1077-81.
Lyons Wall PM, Choudhurv N, Gerbrandy EA, Trusvvell AS. Increase of high-density lipoprotein cholesterol at ovulation in heallhv women. Atherosclerosis 1994;105:171-8.
Manson JM, Sammel MD, Freeman EW, Grisso JA. Racial différences in sex hormone levels in women approaching the transition to menopause. Pertil Steril 2001;75:297-304.
Potischman N, Swanson CA, Siiteri P, Hoover RN. Reversal of relation between body mass and endogenous estrogen concentrations with menopausal status. J Natl Cancer Inst 1996;88:756-8.
Zumoff B. Relationship oi obesitv to blood estrogen-. Cancer Res 1982;42:3289 94s.
Kirschner MA, Samojlik E, Drejka M, Szmal E, Schneider G, Ertel N. Androgen-estrogen metabolism in women with upper bodv versus lower body obesity, J Clin Endocrinol Metab 1990;70:473-9.
Leenen R, van der KK, Seidell JC, Deurenberg P, Koppeschaar HP. Visceral fat accumulation in relation to sex hormones in obese men and women undergoing weight loss therapy. J Chin Endocrinol Metab 1994;78:1515-20.
Ellison PT, Upson SF. Salivary estradiol: a viable alternative? Pertil Steril 1999;72:951-2.
Midthjell K, Kruger O, Holmen J, et al. Rapid changes in the prevalence of obesitv and known diabetes in an adult Norwegian population. The Nord-Trondelag Health Surveys: 1984-1986 and 1995-1997. Diabetes Care 1999;22:1813-20.
Nduka EU, Agbedana EO. Total cholesterol, high density lipoprotein cholesterol and steroid hormone changes in normal weight women during the menstrual cycle. Int J Gynaecol Obstet 1993;41:265-8.
Reed RG, Kris-Etherton P, Stewart PW, Pearson TA. Variation of lipids and lipoproteins in premenopausal women compared with men and postmenopausal women. DELTA (Dietary Effects on Lipoproteins and Thrombogenic Activity J Investigators. Metabolism 2000:49:1101-5.
Bagatell CJ, Bremner WJ. Androgen and progestagen effects on plasma lipids. Prog Cardiovnsc Dis 1995;38:255-71.
Tikkanen MJ, Nikkila EA, Kuusi T, Sipinen SU. High density lipoprotein-2 and hepatic lipase: reciprocal changes produced by estrogen and norgestrel. I Clin Endos rinol Metab 1982;54:1113-7.
Gillmer MD. Mechanism of action/effects of androgens on lipid metabolism. Ini J Pertil 1992;37 Suppl 2:83-92.
Kaaks R. Nutrition, hormones, and breast cancer: is insulin the missing link? Cancer Causes Control 1996:7:605-25.
Kumar K. Saehdanandim P, Arivazhagan R. Studies on the changes in plasma lipids and lipoproteins in patients with benign and malignant breast cancer. Biochem Int 1991;23:581-9.
Boyd NF, Stone J, Martin LJ, et al. The association ol breast mitogen-with mammographie dendties. Br J Cancer 2002;87:876-82.
Oza AM, Boyd NF. Mammographie parenchymal patterns: a marker ol breast cancer risk. Epidemiol Rev 1993;15:196-208.
Warner E, Lockwood G, Tritchler D, Bovd NF. The risk of breast cancer associated with mammographie parenchymal patterns: a meta-analysis ot the published literature to examine the effect of method of classification. Cancer Detect Prev 1942; 16:67-72.
Greendale GA, Reboussin BA, Slone S, Wasilauskas C, Pike MC, Ursin G. Postmenopausal hormone therapy and change in mammographie density, J Nall Cancer Inst 2003;95:30-7.
Chlebowski RT, Hendrix SL, Tanger RD, et al. Influence’ of estrogen plus progestin on breast cancer and mammography in heallhv postmenopausal wollten: the Women's Health Initiative Randomized Trial. JAMA 2003;289:3243-53.
Beijerinck D. van Noord PA, Seidell JC, den TJ, Rombach JJ, Bruning PE Abdominal fat predominance in women is associated with a decreased prevalence of the high risk P2, DY mammographie breast patterns. Int I Obes 1941;15:89-93.'
Boyd NF, Lockwood GA, Byng JW, Little LE, Yalfe MJ, Fritehler DP. 'I he relationship ol anthropometric measure’s to radiological lea tu res et the breast in premenopausal women. Br J Cancer 1998;78:1233-8.
Sala P, Warren R, McCann J, Duffy S, I.uben R, Dav N. High-risk mammographie parenchymal patterns and anthropometric measures: a case-control study. Br I Cancer 1999;81:1257-61.
Boyd NF, McGuire V, Fisheil E, Kuriov V, Lockwood G, Tritchler D. Plasma lipids in premenopausal women with mammographie dvsplasia. Bi J Canter 1989;59:766-71.
Ursin G, Parisky YR, Pike MC, Spicer DV. Mammographie density changes during the menstrual cycle. Cancer Epidemiol Biomarkers Prev 21)01:10:141-2.
Thune I, Njolstad I, lochen ML, Horde OH. Physical activity improves I lie metabohe risk profiles in men and women: the Tromso Study. Arch Intern Med 1998; 158:1633-40.
Thune I, Olsen A, Albrektsen G, Tretli S. Cutaneous malignant melanoma: association with height, weight and body-surface area: a prospective studv in Norway. Int I Cancer 1993;55:555-61.