C. Lippert, H. Seeger, A.O. Mueck*
Section of Endocrinology and Menopause, Department of Obstetrics and Gynecology, University of Tuebingen, Schleichstrasse 4, 72 076 Tuebingen, Germany.
*A.O. Mueck; E-mail: endo.meno@med.uni-tuebingen.de.
Abstract
Evidence is accumulating that estradiol metabolites may be involved in carcinogenesis as some metabolites exert proliferative and others anti-proliferative properties on human cancer cells. The present study is the first to investigate the effect of 14 endogenous estradiol metabolites on the proliferation of the human breast cancer cell line, MCF-7, in comparison with the effect of the parent substance 17β-estradiol with special concern on high pharmacological concentrations. The steroids were tested in the range from 10-8 to 10-5 M on MCF-7 cells which were incubated for nine days. Estradiol and almost all A-ring metabolites displayed biphasic reactions on cell proliferation, i.e. stimulatory at low concentrations and inhibitory at the highest concentration, 10-5 M. The D-ring metabolites did not show such clear biphasic patterns, in most of them the stimulatory effect prevailed at the highest dosage used. The strongest inhibitory effect was seen for the A-ring metabolite 2-methoxyestradiol at the concentrations of 10-6 and 10-5 M and the strongest stimulatory effect was noted for the D-ring metabolite estriol at the same concentrations.
The results indicate that some A-ring metabolites might be suitable for breast cancer treatment when used in high dosages. This is of special interest, since many of these metabolites have very weak estrogenic activity.
Keywords: Estradiol metabolites; Proliferation; Breast cancer cells
Introduction
An association between estrogens and hormone-dependent neoplasms was postulated as early as the 19th century, when Beatson demonstrated that bilateral ovarectomy was able to bring about a remission
of inoperable breast carcinomas in premenopausal women [1]. In the following decades the role of estrogens in tumor development was marked out as a promoting rather than an initiating one since estrogens are able to stimulate the proliferation of target cells such as breast epithelial cells. This can result in an increase in DNA-mutations due to the high mitotic rate. Apart from synthetic estrogens, 17β- estradiol (E2), the body’s own estrogen, has also been blamed for being responsible for hyperproliferation. Evidence is now accumulating that endogenous estradiol metabolites might play an important role in influencing the growth of estrogenic target cells, some stimulating and others inhibiting proliferation [2]. A shift in the metabolic pathways of the A and D-ring in favor of the D-ring is regarded by some as a biological marker of cancer risk, under the aspect that 16α-hydroxyestrone promotes carcinogenesis and 2-hydroxyestrone inhibits it [3]. Special interest emerged from studies in which a dominance of D-ring metabolism was associated with an increased breast cancer risk [3,4]. A prospective study indicated that postmenopausal women with a higher breast cancer risk had a lower 2-OHE1 to 16-OHE1 ratio than matched controls [5]. Another recent study investigating pre- and postmenopausal women supported the hypothesis that the metabolism pathway favouring 2-hydroxylation over 16α-hydroxylation is associated with a reduced breast cancer risk in premenopausal women [6].
of inoperable breast carcinomas in premenopausal women [1]. In the following decades the role of estrogens in tumor development was marked out as a promoting rather than an initiating one since estrogens are able to stimulate the proliferation of target cells such as breast epithelial cells. This can result in an increase in DNA-mutations due to the high mitotic rate. Apart from synthetic estrogens, 17β- estradiol (E2), the body’s own estrogen, has also been blamed for being responsible for hyperproliferation. Evidence is now accumulating that endogenous estradiol metabolites might play an important role in influencing the growth of estrogenic target cells, some stimulating and others inhibiting proliferation [2]. A shift in the metabolic pathways of the A and D-ring in favor of the D-ring is regarded by some as a biological marker of cancer risk, under the aspect that 16α-hydroxyestrone promotes carcinogenesis and 2-hydroxyestrone inhibits it [3]. Special interest emerged from studies in which a dominance of D-ring metabolism was associated with an increased breast cancer risk [3,4]. A prospective study indicated that postmenopausal women with a higher breast cancer risk had a lower 2-OHE1 to 16-OHE1 ratio than matched controls [5]. Another recent study investigating pre- and postmenopausal women supported the hypothesis that the metabolism pathway favouring 2-hydroxylation over 16α-hydroxylation is associated with a reduced breast cancer risk in premenopausal women [6].
Materials and methods
17β-estradiol and the A-ring metabolites 2-hydroxyestrone, 2-methoxyestrone, 2-hydroxyestradiol, 2-methoxyestradiol, 2-hydroxyestriol, 2-methoxyestriol, 4-hydroxyestrone, 4-methoxyestrone, 4- hydroxyestradiol, 4-methoxyestradiol and the D-ring metabolites estrone, estriol, estetrol and 16α- hydroxyestrone were purchased from Steraloids, USA. The steroids were dissolved in ethanol. The final steroid concentrations in the wells were 10-8 to 10-5 M, the final ethanol concentration in the wells as well as in the ethanol controls being 1%.
Dulbecco’s modified Eagle’s medium (DMEM) and phenol free DMEM were obtained from Gibco BRL, Eggenstein, Germany and fetal calf serum (FCS) from Seromed Biochrom KG, Berlin, Germany.
The MCF-7 cells were acquired from DSMZ, Braunschweig, Germany. Prior to the experiment, the MCF-7 cells were maintained in 5% FCS in DMEM supplemented with 0.3 mg/ml glutamine, 5 ng/ml bovine insulin and 100 U/ml penicillin plus 100 Ag/ml streptomycin. The cells were seeded and incubated for 24h in the above medium using 10% FCS. The cells were then washed with PBS, followed by incubation in 5% dextran-coated charcoal treated FCS (to remove any steroids) in phenol red free DMEM using the same supplements as described above for the maintenance medium.
MCF-7 cells were seeded at 500 cells per well into ninety-six well plates in 10% FCS-DMEM medium.
After 24 h, the cells were washed with PBS and replaced with 5% stripped FCS phenol red free DMEM medium, and pre-incubated for 3 days prior to treatment, to increase sensitivity of the cells to estradiol. The cells were then treated with estradiol and the metabolites in the concentration range from 10-8 to 10-5 M for nine days. Ethanol controls were performed containing the same final ethanol concentration as the test substances i.e. 1% ethanol.
The determination of proliferation of the MCF-7 was based on the crystal violet staining technique of Kueng et al. [7] which relies on the staining of the cell nuclei. In brief, the cells were fixed with 11 % glutaraldehyde, followed by washing of the cells with distilled water, and staining with a 0.1% crystal violet solution. The cells were then re-washed with distilled water, solubilised with a 10% acetic acid solution and shaken, prior to the reading of the plates at 600 nm using an enzyme-linked immunosorbent assay (ELISA) reader. Statistical analysis of the results was carried out using the Student’s t test of the logarithmated values which were normally distributed (triplicates of two different experiments).
Results
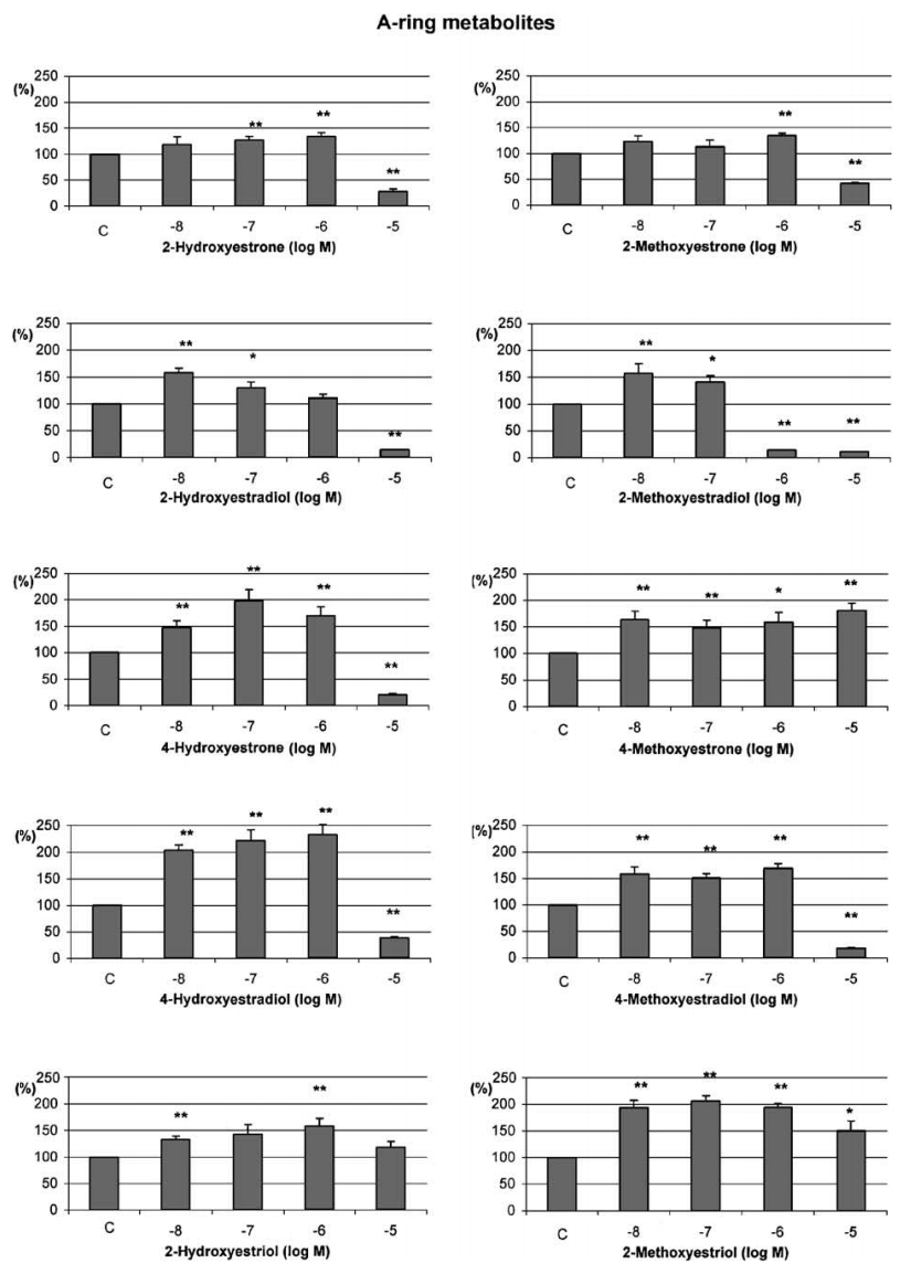
The results are presented in Figs. 1 and 2 as changes in percent of the effect for each steroid concentration compared with the control value which was defined as 100%. The parent substance E2 exerted a significant proliferative effect at the concentration range of 10-8 to 10-6 M, but significantly inhibited cell growth at the highest concentration of 10-5 M.

Figure 1. Changes in proliferation of MCF-7 cells after addition of A-ring metabolites compared to control values = 100%. (mean + SD, triplicates from two different experiments, * p < 0.05 vs. control, ** p < 0.01 vs. control).
The dose-efficacy curves for some of the metabolites however differed from the parent substance. Whereas almost all A-Ring metabolites displayed similar biphasic reactions differing only in magnitude, D-Ring metabolites did not show such clear patterns. For most of them the stimulatory effect prevailed at the highest dosage used.

Figure 2. . Changes in proliferation of MCF-7 cells after addition of estradiol and D-ring metabolites compared to control values = 100%. (mean + SD, triplicates from two different experiments, * p < 0.05 vs. control, ** p < 0.01 vs. control).
In the concentration range from 10-8 to 10-6 M the only metabolite which significantly inhibited cell proliferation was 2-methoxyestradiol at 10-6 M, all others showed stimulating effects of varying degrees. Only 5 substances, comprising the following A-ring metabolites 4-hydroxyestrone, 4-hydroxyestradiol and 2-methoxyestriol and the D-ring metabolites estriol and estetrol, were able to attain twice or more of the value for stimulation seen in the controls, values the parent substance never reached.
At the highest concentration, 10-5 M, most A-ring metabolites brought about significant inhibitory effects; only 4-methoxyestrone and 2-methoxyestriol showed stimulation larger than the control value. The D-ring metabolites did not inhibit cell proliferation at the highest concentration. Estriol and estetrol even showed significant stimulatory effects.
Table 1 lists the metabolites with an inhibitory effect at the concentration of 10-5 M according to their potency. Of those, all metabolites with the exception of the parent substance 17β-estradiol are A- ring metabolites. 2-Methoxyestradiol, 2-hydroxyestrone, 4-methoxyestradiol as well as 4-hydroxyes- trone elicited similar inhibitory effects in the range of about 80%.
Table 1. Estrogen-induced changes in cell numbers in percent of MCF-7 cells at the pharmacological dosage of 10-5 M (means + SD, triplicates from two different experiments).

The results of the in vitro experiments presented show that many but not all endogenous estradiol metabolites elicit a biphasic pattern of proliferation in the receptor-positive breast cancer cell line, MCF-7 similar to estradiol, i.e. at low concentrations a stimulatory effect and at the highest concentration 10-5 M an inhibitory effect on cell growth.
The dose-efficacy curves of the metabolites frequently differed in intensity of effect from the parent substance.
Thus for some metabolites stronger stimulating effects were found in the concentration range from 10-8 to 10-6 M. The previous assumption that chemical metabolism of estradiol would lead to loss of pharmacodynamic actions cannot be upheld for most metabolites. Astonishingly the pharmacodynamic actions for most metabolites have not been studied so far.
However the high proliferation stimulating properties of the 4-hydroxyestrogens, i.e. 4-hydroxyes- trone and 4-hydroxyestradiol, were not surprising since a strong estrogenic effect has been reported for those in the past [8].
On the other hand 16α-hydroxyestrone had only a weak stimulatory effect in our experiments, although this metabolite is classified as a potent estrogen [9]. The efficacy of the D-ring metabolites estriol and estetrol was even more pronounced than that of 16α-hydroxyestrone.
Our experiments confirm the well-known anti-proliferative activity of 2-methoxyestradiol at a concentration as low as 10-6 M. So far several investigations have been carried out to study the mechanisms of the inhibitory effect of 2-methoxyestradiol. The anti-carcinogenic mechanism has been described as being multifactorial including for example the induction of wild-type p53 expression and inhibition of tubulin polymerization, yet seems independent of the presence of an estrogen receptor [10]. In addition, 2-methoxyestradiol has been shown to have distinct actions from the other metabolites by having an anti-proliferative and therefore anti-angiogenetic effect on vascular endothelial cells which has been shown in previous experiments of ours [11].
Of special pharmacological interest are the high dosages, since several metabolites presented here showed a strong inhibitory potency. However, some metabolites also displayed a strong stimulatory effect at the highest concentration tested. Of the latter compounds pharmacodynamic data are only available for estriol, which was initially classified as a weak estrogen. Later on, it was recognized to have a low receptor binding affinity, so that similar estrogenic activies were found compared with the parent substance as soon as estriol was given more time at the receptor site [12]. Recently other research groups have shown high proliferative activity in breast cancer cells [13,14].
The mechanism by which pharmacological estrogen dosages elicit anti-proliferative effects is postulated to be bifunctional i.e. a cell-cycle specific effect and cell-cycle independent cytotoxicity [15]. Recent data suggest that high estrogen dosages may activate the apoptotic Fas/FasL system [16]. These effects seem to be mediated by estrogen receptors. Both hitherto known estrogen receptors, type a and type ß are expressed in MCF-7 cells [17]. Little is known about binding properties of estradiol metabolites to these receptors. The results of some binding studies indicate that binding properties of estradiol metabolites may not differ very much concerning the two receptor types [18].
The fact that high estrogen dosages can bring about remissions of breast cancer has been known for a long time and has been used for therapeutic purposes [19]. The effects of synthetic estrogens such as diethylstilbestrol and ethinylestradiol, were of the same magnitude as the anti-estrogen tamoxifen, however, less side-effects were seen with tamoxifen [20,21]. Nevertheless, tumors that ceased to respond to tamoxifen underwent clinical regression with the use of synthetic estrogens, suggesting different mechanisms of inhibition [22]. The question arises as to why research work did not continue on the anti-carcinogenic effect of high estrogen dosages.
Our data reveal that the biological effect of the estrogen estradiol is composed of the sum of effects of the metabolites produced in the organism. The metabolism therefore seems to be an important factor in determining the resulting effect.
The use of estradiol in high dosages does not seem to be suitable for therapeutic purposes, since metabolites with high proliferative action may be present even at high dosages. Better results might be obtained by the selective usage of potent anti-proliferative metabolites. Animal studies, as have been carried out already by Fotsis et al. using 2-methoxyestradiol [23], might present the next step to answer the question as to whether the potent anti-proliferative estradiol metabolites found are suitable for therapeutic purposes. Advantages over synthetic estrogens can be seen in the fact that they present the body’s own hormones which are largely devoid of estrogenic activity.
References
Beatson GT. On the treatment of unoperable cases of carcinoma of the mamma: suggestions for a new method of treatment with illustrative cases. Lancet 1896;2:104-7.
Lippert TH, Seeger H, Mueck AO. The impact of endogenous estradiol metabolites on carcinogenesis. Steroids 2000; 65:357-69.
Osborne MP, Bradlow HL, Wong GY, Telang NT. Upregulation of estradiol 16α-hydroxylation in human breast tissue: Potential biomarker of breast cancer risk. Journal of the National Cancer Institute 1993;85:1917-20.
Kabat GC, Chang CJ, Sparano JA, Sepkovic DW, Hu XP, Khalil A, et al. Urinary estrogen metabolites and breast cancer: A case-control study. Cancer Epidemiology Biomarkers and Prevention 1997;6:505-9.
Meilahn EN, De Stavol B, Allen DS, Fentiman I, Bradlow HL, Stepkovic DW, et al. Do urinary oestrogen metabolites predict breast cancer? Guernsey III cohort follow-up. British Journal of Cancer 1998;78:1250-5.
Muti P, Bradlow HL, Micheli A, Krogh V, Freudenheim JL, Schunemann HJ, et al. Estrogen metabolism and risk of breast cancer: a prospective study of 2:16αlpha-hydroxyestrone ratio in premenopausal and postmenopausal women. Epidemiology 2000;11:635-40.
Kueng W, Silber E, Eppenberger U. Quantification of cells cultured on 96-well plates. Analytical Biochemistry 1989; 182:16-9.
Yager JD, Liehr JG. Molecular mechanisms of estrogen carcinogenesis. Annual Reviews in Pharmacology and Toxicology 1996;36:203-32.
Fishman J, Martucci C. Biological properties of 16α-hydroxyestrone: Implications in estrogen physiology and pathophysiology. Journal of Clinical Endocrinology and Metabolism 1980;51:611-5.
Zhu BT, Connery AH. Is 2-methoxyestradiol an endogenous metabolite that inhibits mammary carcinogenesis. Cancer Research 1998;58:2269-77.
Lippert C, Seeger H, Mueck AO, Lippert TH. The effects of A-ring and D-ring metabolites of estradiol on the proliferation of vascular endothelial cells. Life Sciences 2000;67:1653-8.
Clark JH, Paszko Z, Peck EJ. Nuclear binding and retention of the receptor estrogen complex: relation to the agonistic and antagonistic properties of estriol. Endocrinology 1977;100:91-6.
Jozan S, Kreitmann B, Bayard F. Different effects of oestradol, oestriol, oestetrol and of oestrone on human breast cancer cells (MCF-7) in long term tissue culture. Acta Endocrinology (Copenh) 1981;98:73-80.
Gupta M, McDougal A, Safe S. Estrogenic and antiestrogenic activities of 16αlpha- and 2-hydroxy metabolites of 17beta- estradiol in MCF-7 and T47D human breast cancer cells. Journal of Steroid Biochemistry and Molecular Biology 1998; 67:413-9.
Reddel RR, Sutherland RL. Effects of pharmacological concentrations of estrogens on proliferation and cell cycle kinetics of human breast cancer cell lines in vitro. Cancer Res 1987;47:5323-9.
Song RX-D, Mor G, Naftolin F, McPherson RA, Song J, Zhang Z, Yue W, Wang JP, Santen RJ. Effect of long-term estrogen deprivation on apoptotic responses of breast cancer cells to 17β-estradiol. Journal of the National Cancer Institute 2001;93:1714-23.
Vladusic EA, Hornby AE, Guerra-Vladusic FK, Lakins J, Lupu R. Expression and regulation of estrogen receptor beta in human breast tumors and cell lines. Oncology and Reproduction 2000;7:157-67.
Kuiper GGJM, Carlsson B, Grandien K, Enmark E, Haggblad J, Nilsson S, et al. Comparison of the ligand binding specificity and transcript tissue distribution of estrogen receptors a and h. Endocrinology 1997;138:863-70.
Nathanson IT. The effect of stilbestrol on advanced cancer of the breast. Cancer Research 1946;6:484.
Ingle JN, Ahman DL, Green SJ, Edmonson JH, Bisel HF, Kvols LK, et al. Randomized clinical trial of diethylstilbestrol versus tamoxifen in postmenopausal women with advanced breast cancer. New England Journal of Medicine 1981; 304:16-21.
Peethambaram PP, Ingle JN, Suman VJ, Hartmann LC, Loprinzi CL. Randomized trial of diethylstilbestrol vs. tamoxifen in postmenopausal women with metastatic breast cancer: An update analysis. Breast Cancer Research Treatment 1999; 54:117-22.
Boyer MJ, Tattersall MH. Diethylstilbestrol revisited in advanced breast cancer management. Medicine of Pediatric Oncology 1990;18:317-20.
Fotsis T, Zhang Y, Pepper MS, Adlercreutz H, Montesano R, Nawroth PP, Schweigerer L. The endogenous oestrogen metabolite 2-methoxyoestradiol inhibits angiogenesis and supresses tumor growth. Nature 1994;368:237-9.