P.J. KELLER, R. RIEDMANN, M. FISCHER and C. GERBER
Department of Obstetrics and Gynaecology, University of Zurich, Zurich, Switzerland.
Serum total oestrone, 17β-oestradiol and oestriol concentrations and FSH, LH and prolactin values were measured radioimmunologically in post-menopausal women before and after intra-vaginal application of 0.5 mg oestriol. While oestrone and oestradiol were not altered, there was a 3100% increase in the mean oestriol values within 1 or 2 h; pre-treatment levels were again reached 8 h later. Both gonadotropins were moderately decreased, the serum prolactin values appeared to be slightly elevated.
Repeated intra-vaginal application of oestriol resulted in a significant rise of the mean serum oestriol levels while the other oestrogens remained unchanged. The same was true for FSH and LH, a considerable negative feedback was therefore excluded. Again there seemed to be a slight rise of the prolactin secretion.
It was concluded that intra-vaginal administration of oestriol is a most suitable local and systemic oestrogen replacement therapy, which is more effective than the oral regimen.
Key words: Intra-vaginal administration of oestriol, Serum oestrogens, Post-menopause.
Introduction
For two decades orally administered oestriol and oestriol succinate has been used as a treatment of climacteric complaints. As far as the absence of considerable side-effects is concerned and on account of the excellent acceptance by the patient and the lack of significant endometrial stimulation, this compound has become a very valuable alternative to other oestrogen replacing therapies. However, as the trophic effect on the vagina and the external genitalia is limited, attempts have been made to use it locally. Pharmacokinetics and pharmacodynamics of orally administered oestrogens were extensively studied during the past 2 yr [1—5] and several reports have been published on the vaginal absorption of oestrone and 17β-oestradiol [6—8]. In contrast to this, there are only very few data on the distribution of intra-vaginally administered oestriol [9,10]. It seemed, therefore, to be worth investigating short- and long-term effects of such a regimen, i.e. the absorption rate, the serum levels of oestrone, oestradiol and oestriol and the possible effects on gonadotropin and prolactin secretion.
Materials and methods
Three healthy post-menopausal women with normal liver and kidney function volunteered for this study. Their age ranged from 62 to 72 yr. Each subject received one vaginal suppository per day containing 0.5 mg oestriol dissolved in Witepsol for a period of 10 days. Blood was drawn from a cubital vein immediately before and 1,2,4 and 8 h after the beginning of the treatment. Further samples were obtained after 2, 5 and 10 days of medication, they were all collected at 7 a.m., i.e. 8 h after introduction of oestriol into the vagina. The blood was centrifuged immediately upon arrival in the laboratory and stored at -25°C until assayed.
Total serum oestrone, 17β-oestradiol, oestriol, FSH, LH and prolactin were estimated in duplicate by radioimmunoassay. The methodological details are summarized in Table 1.
Table 1. Radioimmunoassay characteristics.

Results
Acute effects (Figs. 1 -3)
In all subjects there was a very impressive rise of circulating total oestriol from 35—70 (mean 50) pg/ml to 500—1950 (mean 1290) pg/ml within the first hour. In two women peak values were observed after 2 h, in one after 1 h. The mean maximal increase was 3310%. Thereafter, there was a continuous decrease and 8 h later the levels were approximately the same as the pre-treatment values (70—103, mean 87 pg/ml).

Figure 1. Total oestrone, oestradiol and oestiiol, and FSH, LH and prolactin after a single intra-vaginal application of 0.5 mg oestriol (A.R.: 67 yr).

Figure 2. Total oestrone, oestradiol and oestriol, and FSH, LH and prolactin after a single intra-vaginal application of 0.5 mg oestriol (L.Z.: 62 yr).

Figure 3. Total oestrone, oestradiol and oestriol, and FSH, LH and prolactin after a single intra-vaginal application of 0.5 mg oestriol (B.B.: 72 yr).
On the other hand the oestrone and oestradiol values showed no significant elevation during the observation period. Similarly the secretion of pituitary gonadotropins did not seem to be greatly influenced, although a slight suppression could not be fully excluded. The pre-treatment values were 29.0—54.5 (mean 44.8) mlU FSH and 32.5—47.5 (mean 38.5) mlU LH per ml; the values 8 h after the oestriol application ranged between 27.5 and 42.5 (mean 36.7) mlU FSH and 14.0 and 33.1 (mean 26.1) mlU LH per ml. Prolactin was not significantly influenced either; the pre-treatment levels were 10.5—11.9 (mean 11.4) ng/ml, the 8 h values 9.9—24.2 (mean 15.4) ng/ml.
Chronic effects (Figs. 4-6)
Due to the marked rise in circulating total oestriol within the first 4 h after intra- vaginal application of the compound all blood samples were obtained 8 h after introduction of a suppository.

Figure 4. Total oestrone, oestradiol and oestriol, and FSH, LH and prolactin after continued daily application of 0.5 mg oestriol over 10 days (A.R.: 67 yr).

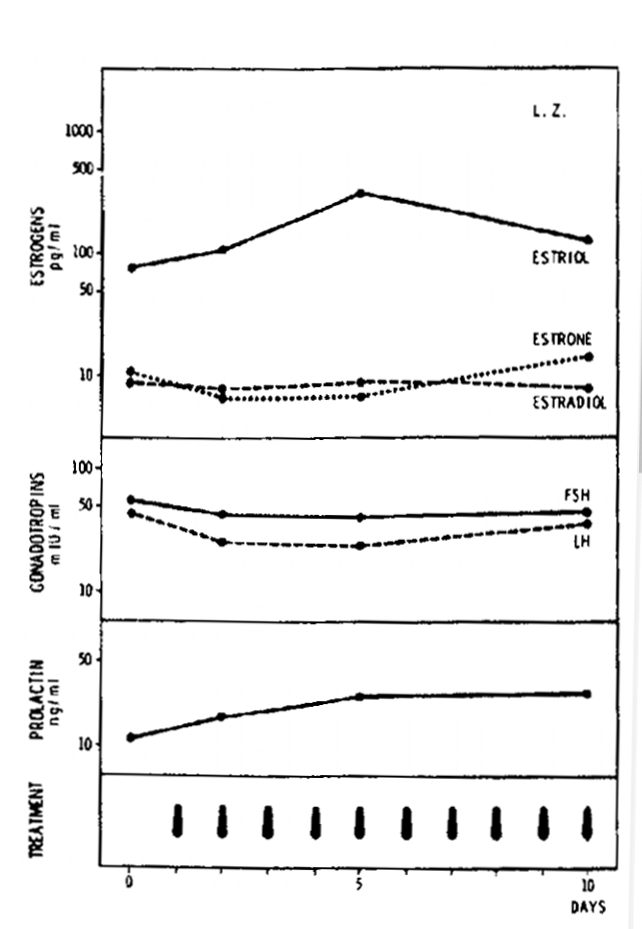
Figure 5. Total oestrone, and oestriole, and FSH, LH and prolactin after continued daily application of 0.5 mg oestriol over 10 days (L.Z.:62 yr)

Figure 6. Total oestrone, oestradiol and oestriol, and FSH, LH and prolactin after continued daily application of 0.5 mg oestriol over 10 days (B.B.: 72 yr).
The oestriol values showed a moderate rise during the observation period of 10 days. The values were 105-143 (mean 123) pg/ml on the 2nd day and 125—495 (mean 293) pg/ml on the 10th day. Thus a slight cumulative effect appeared to be probable. The oestrone and oestradiol values remained unchanged and the same is true for the gonadotropins. The FSH values were 29.0—42.5 (mean 36.7) mlU/ml on the 2nd day and 29.0— 44.0 (mean 37.7) mlU/ml on the 10th day of the treatment. The LH values were 14.0-33.1 (mean 24.4) mlU/ml and 21.0—38.5 (mean 29.3) mlU/ml, respectively. The prolactin increased very slightly from 11.0-17.1 (mean 14.6) ng/ml on the 2nd day to 11.2-23.2 (mean 17.7) ng/ml at the end of the study.
Discussion
In view of these results there is no doubt that intra-vaginally administered oestriol is absorbed very quickly and thus exerts local and systemic effects. The serum levels increased about 30-fold within 1 to 2 h, the peak values, however, were not maintained for a longer period, which is probably due to a rapid uptake of the whole bolus. After 8 h the serum values were again very close to the pre-treatment levels. When therapy was continued, the circulating oestriol was slightly increasing and the titers became similar to those observed in fertile women. Apparently there was no transformation into biologically more active oestrogens, a finding which is in agreement with our theoretical knowledge of steroid pathways. Very recently similar results were reported by Genazzani et al. [9], who found an increase in conjugated serum oestriol from 34 to 397 pg/ml within 2 h after vaginal administration of 0.5 mg oestriol. A prompt rise was also observed by Kicovic et al. [10}.
The present findings compare favourably with those obtained after oral medication of oestriol. Englund and Johansson [11] applied 6 and 12 mg of oestriol; the peak values of unconjugated serum oestriol were 80-200 and 150—490 pg/ml, respectively, after 1 h. The pre-treatment levels of 30 pg/ml were reached again within 3 h. From the physiological point of view the intra-vaginal route seems therefore to provide a more consistent pattern.
It is well known that oestriol is rather ineffective in suppressing pituitary gonadotropins [11]. Although a slight influence could not be excluded, the central effect was negligible. Under similar conditions Genazzani et al. [9] found a mean decrease of 7% in FSH and of 13% in LH within 4 h. In contrast to this, there seemed to be a slight elevation of prolactin secretion, which remained, however, within physiological limits and could not be ascertained statistically. Comparable findings were reported by Robyn et al. [13], who observed a 2.5-fold rise of the basal prolactin levels in post-menopausal women after daily administration of 0.025 mg ethyl oestradiol. On the other hand most authors, e.g. Kicovic et al. [10] , L’Hermite et al. [14], Lind et al. [15] and Luisi et al. [16], were unable to confirm these results with oral or vaginal medication of oestriol.
In summary intra-vaginal application of oestriol will not only provide the well-known trophic effects on the mucosa of cervix and vagina, but also exerts a considerable systemic action. On the grounds of the present results a daily dose of 0.25 mg should be sufficient for a long-term oestrogen supplementation in the post-menopause.
References
Yen, S.S.C., Martin, P.L., Burnier, A.M., Czekala, N.M., Greaney, M.O. Jr. and Callantine, M.R. (1975) Circulating estradiol, estrone and gonadotropin levels following the administration of orally active 17(5-estradiol in postmenopausal women. J. Clin. Endocrinol. Metab. 40, 518-521.
Englund, D.E. and Johansson, E.D.B. (1977) Pharmacokinetic and pharmacodynamic studies on oestradiol valerianate administered orally to postmenopausal women. Acta Obstet. Gynecol. Scand. Suppl. 65, 27-31.
Rauranio, L., Punnonen, R., Kaihola, H.-L. and Gronroos, M. (1978) Serum oestriol, oestrone and oestradiol concentrations during oral oestriol succinate treatment in ovariectomized women. Maturitas 1, 71-78.
Rauramo, L., Punnonen, R. and Gronroos, M. (1978) Serum oestrone, oestradiol and oestriol concentrations during oral oestradiol valerate and oestriol succinate therapy in overiectomized women. Maturitas 1,79-85.
Strecker, J.R., Lauritzen, Ch. and Goessens, L. (1979) Plasma concentrations of unconjugated and conjugated estrogens and gonadotrophins following application of various estrogen preparations after oophorectomy and in the menopause. Maturitas 1, 183-190.
Widholm, O. and Vartiainen, E. (1974) The absorption of conjugated oestrogen and sodium oestrone sulphate from the vagina. Ann. Chir. Gynaecol. Fenn. 63, 186-190.
Rigg, L.A..M ilanes, B., Villanueva, B. and Yen, S.S.C. (1977) Efficacy of intravaginal and intranasal administration of micronized estradiol-17. J. Clin. Endocrinol. Metab. 45, 1261-1264.
Schiff, 1., Tulchinsky, D. and Ryan, K.J. (1977) Vaginal absorption of estrone and 17β-estra- diol. American Fertility Society, Vol. 28, No. 10.
Genazzani, A.R., Inaudi, P„ La Rosa, R., De Leo, V., Ricci-Danero, M.G. and Danero, S. (1980) Estriol and Menopause. Clinical and endocrinological results of vaginal administration. International Symposium on the Menopause, Viareggio.
Kicovic, P.M.. Cortes-Prieto, J., Milojevic, S., Haspels, A.A. and Aljinovic, A. (1980) The treatment of postmenopausal vaginal atrophy with ovestin vaginal cream or suppositoria: clinical, endocrinological and safety aspects. International Symposium on the Menopause, Viareggio.
Englund, D.E. and Johansson, E.D.B. (1979) A pharmacokinetic study on oestriol. Endometrial effect of estriol treatment in postmenopausal women. Acta Endocrinol. (Copenhagen), Suppl. 225, 109.
Keller, F.J. ( 1970) The effect of natural sex steroids on the excretion of follicle-stimulating and luteinizing hormones in postmenopausal women. Acta Endocrinol. (Copenhagen) 64, 479-488.
Robyn, C., Deluoye, P., Van Exter, C., Vekemans, M„ Caufriez, A., Demayer, P., Delogue- Desnoeck, T. and L’Hermite, M. (1976) Prolactin and human reproduction, p. 32. Editors: P.G. Crosignani and C. Robyn. Academic Press, London.
L’Hermite, M., Badawi, M.M., Michaux-Duchene, A. and Robyn, C. (1979) Unaltered basal pro¬lactin secretion during short-term oestriol treatment in post-menopausal women. Clin. Endo¬crinol. 11, 173-177.
Lind, T., Cameron, E.H.D. and Hunter, W.M. (1978) Serum prolactin, gonadotrophin and oestrogen levels in women receiving hormone replacement therapy. Br. J. Obstet. Gynaecol. 85,138-141.
Luisi, M., Franchi, F. and Kicovic, P.M. (1980) A group comparative study of effects of Ovestin cream versus Premarin cream in postmenopausal women with vaginal atrophy. International Symposium on the Menopause, Viareggio.