Nancy L. Sicotte, MD; Barbara S. Giesser, MD; Vinita Tandon, MD; Ricki Klutch, RN; Barbara Steiner, RN; Ann E. Drain, BS; David W. Shattuck, PhD; Laura Hull, BS; He-Jing Wang, PhD; Robert M. Elashoff, PhD; Ronald S. Swerdloff, MD; Rhonda R. Voskuhl, MD.
Author Affiliations: Division of Brain Mapping (Dr Sicotte and Ms Drain), Departments of Neurology (Drs Sicotte, Giesser, and Voskuhl, and Mss Klutch and Drain) and Biomathematics (Drs Wang and Elashoff), and Laboratory of Neuro Imaging (Dr Shattuck), The David Geffen School of Medicine at UCLA, Los Angeles, Calif; and Division of Endocrinology, Department of Medicine, Harbor-UCLA Medical Center, Torrance, Calif (Drs Tandon and Swerdloff and Mss Steiner and Hull).
Abstract
Objective: To study the effect of testosterone supplementation on men with multiple sclerosis (MS).
Design, Setting, and Participants: Men are less susceptible to many autoimmune diseases, including MS. Possible causes for this include sex hormones and/or sex chromosome effects. Testosterone treatment ameliorates experimental allergic encephalomyelitis, an animal model of MS, but the effect of testosterone supplementation on men with MS is not known. Therefore, 10 men with relapsing-remitting MS were studied using a crossover design whereby each patient served as his own control. There was a 6-month pretreatment period followed by a 12-month period of daily treatment with 10 g of the gel containing 100 mg of testosterone.
Main Outcome Measures: Clinical measures of disability and cognition (the Multiple Sclerosis Functional Composite and the 7/24 Spatial Recall Test) and monthly magnetic resonance imaging measures of enhancing lesion activity and whole brain volumes.
Results: One year of treatment with testosterone gel was associated with improvement in cognitive performance (P = .008)anda slowing of brain atrophy (P < .001). There was no significant effect of testosterone treatment on gado-linium-enhancing lesion numbers (P = .31) or volumes (P = .94). Lean body mass (muscle mass) was increased (P = .02).
Conclusion: These exploratory findings suggest that tes-tosterone treatment is safe and well tolerated and has potential neuroprotective effects in men with relapsing- remitting MS.
DURING REPRODUCTIVE ages, there is a distinct female preponderance of autoimmune diseases, including multiple sclerosis (MS). Sex hormones and/or sex chromosomes may be responsible for this enhanced susceptibility. The female- male ratio is greater in patients presenting with MS before the age of 20 years (3.2: 1.0) compared with the ratio in the population with MS as a whole (2:1).2 In males, the onset of MS tends to be later in life (30s-40s), as bioavailable testosterone levels decline.3
Testosterone has a protective effect in many animal models of autoimmune dis- ease,1 including the most widely used animal model of MS, experimental autoimmune encephalomyelitis.4,5 Testosterone treatment has been shown to be immunomodulatory in vivo and in vitro,1,4,6 consistent with observations that testosterone treatment is protective not only for experimental autoimmune encephalomyelitis, but also for other autoimmune diseases, such as lupus, arthritis, and diabetes mellitus, which do not have the central nervous system as the target organ.7-9 In experimental autoimmune encephalomyelitis physiologic levels of endogenous testosterone were protective in some, but not all, genetic backgrounds, while treatment with exogenous testosterone was protective across various genetic back- grounds.10
In addition to being immunomodulatory, testosterone has been shown to be neuroprotective in several models of neu-rodegenerative disease.11 In humans, it may improve cognitive function in hypogo- nadal healthy men,12 and in men with Alzheimer disease.13 In light of the well- described neuroprotective effects of estrogens,14 mechanisms underlying the neuroprotective effects of testosterone treatment may involve its conversion to estrogen by aromatase.15 On the other hand, testosterone treatment has been shown to be toxic to cultured oligodendrocytes.16
Thus, it is unknown whether testosterone treatment would be beneficial or detrimental in those with MS.
Previously, neuroimaging studies in 413 subjects, com-paring women and men with MS, have been conducted to reveal some insights into the effect of testosterone in MS. Men had fewer contrast-enhancing lesions than women, but had a higher likelihood for them to evolve into Tl-weighted “black holes.”17 These data were consistent with the observation that men are less likely to develop MS, but when they do, it tends to be more severe clinically.3,18,19 In a follow-up study20 of 35 women and 25 men with relapsing-remitting MS (RRMS), the finding of fewer enhancing lesions in men was confirmed, but the increased likelihood for lesions to evolve into T1- weighted black holes in men was not, perhaps because of the smaller sample size.
Finally, testosterone treatment is frequently used to improve muscle mass and bone mineral density in elderly hypogonadal men, and in men with various chronic diseases,21 but the effects in MS are not known. Thus, to investigate possible effects of testosterone treatment in those with MS, testosterone was administered via transdermal gel application (AndroGel; Solvay Pharmaceuticals, Inc, Marietta, Ga) to men with RRMS to investigate safety and tolerability, as well as effects on clinical disability and brain magnetic resonance imaging (MRI).
Materials
Men aged 18 to 65 years who met the Poser criteria for clinically definite RRMS, were not receiving disease-modifying treatment, and had an Expanded Disability Status Scale score of 0 to 5.0 were studied. Subjects had to have at least 1 clinical relapse (worsening of a preexisting symptom or appearance of a new symptom, each over 0-3 days) or the appearance of at least 1 greater than 3-mm gadolinium-enhancing lesion on brain MRI during the preceding 2 years. The protocol was approved by the University of California, Los Angeles (ULCA) Human Subjects Protection Committee and the institutional review board of the Los Angeles Biomedical Research Institute at Harbor- UCLA Medical Center.
Given the small sample size of this initial pilot study, each subject served as his own control, thereby minimizing the effect of interindividual heterogeneity of disease, as described.22 There was a 6-month pretreatment observation period (months -6 to 0), followed by a 12-month (months 1-12) treatment period with 10 g of the gel containing 100 mg of testosterone (AndroGel), applied to the upper arms once per day. The Table provides details regarding the timing of clinical and laboratory measures obtained.
Table 1. Testosterone Study Design.

Contrast-enhanced brain MRIs were obtained on an MRI unit (1.5-T Sonata unit; Siemens, Erlangen, Germany). Brain atrophy measures were obtained from the volumetric T1- weighted scans using fully automated software (SIENA)23 for each month compared with the initial baseline scan (month -6). Normalized brain volumes were calculated for the initial baseline scan using computer software (SIENA-X).23 Enhancing lesion numbers were determined once by a neuroradiologist blind to details of the study design and second by a single investigator (N.L.S.) blind to the study month. Consensus was reached by a third review by a trained neuroradiologist in cases of dif-fering initial counts. Enhancing volumes were determined using a semiautomated seed-growing technique using customized versions of existing software.24 T2-weighted lesion volumes were determined using a custom-automated threshold-based algorithm.
Spearman rank correlations were used to assess the relationship between baseline imaging and testosterone levels. Percentage change in the cognitive measures and mean changes in T2-weighted volumes and T1-enhancing lesion numbers and volumes were evaluated using the t test for means and the Wilcoxon signed rank test for medians. To assess brain volume changes, a percentage change in brain volume against time scatterplot with a Loess regression curve was produced, and a firstdegree spline model was developed. This model fitted line pieces for pretreatment and early treatment periods (months -6 to 3) and treatment response period (months 3-12), and these pieces were joined to achieve continuity. Slopes of these lines were estimated and compared. A random intercept was set in the model to allow the difference among subjects. Age, testosterone level, and baseline brain volume did not show significant correlation with the change of brain volume; therefore, these factors were not included in the model. Linear regressions were also used to determine slopes of brain volume changes for each 6-month interval during the 18-month study period. SAS statistical software (SAS Institute Inc, Cary, NC) was used to perform the analysis, and all tests were 2-sided, with type I error .05.
Results
Eleven subjects with RRMS were enrolled in the study. One subject discontinued participation after moving out of the area at study month -4, and no data from this subject were included in the analysis. The mean age of the subjects was 46 (range, 29-61) years. The median disease duration was 12.5 (range, 0.5-25.0) years. The median Expanded Disability Status Scale score was 2.0 (range, 1.5-2.5).
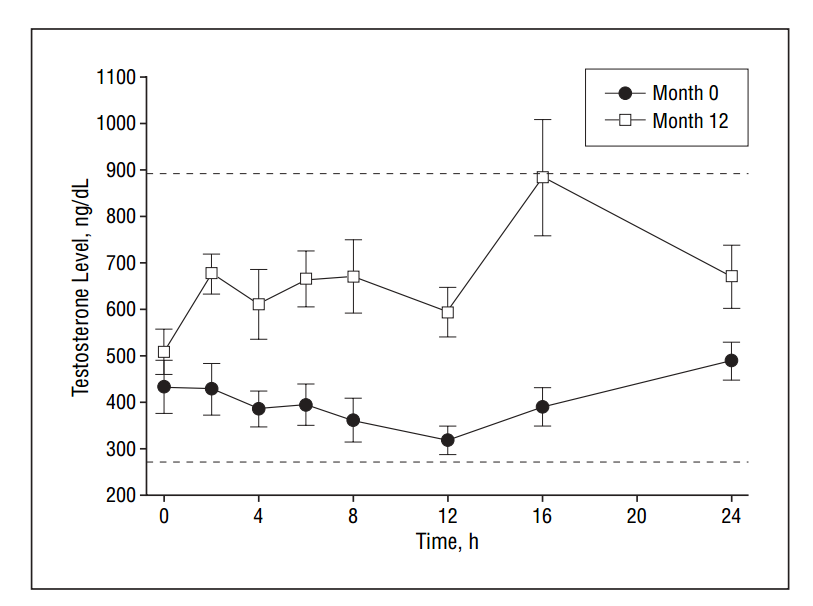
At baseline, all subjects had testosterone levels in the lower range of normal, with a mean of 493 ng/dL (17.1 nmol/L) (range, 321-732 ng/dL [11.1-25.4 nmol/L]). During daily treatment with 10 g of the gel containing 100 mg of testosterone, serum testosterone levels increased 50% on average to the higher range of normal (Figure 1).

Figure 1. Testosterone pharmacokinetics assessed over 24 hours during pretreatment baseline and at month 12 of treatment. Serum testosterone levels were determined at multiple time points throughout a 24-hour period, twice during the study. Compared with baseline measures that were obtained during the pretreatment period, which reflect the natural fluctuations of endogenous testosterone before treatment (month 0), the testosterone levels measured at month 12 of treatment were increased by approximately 50% by area under the curve analysis. For the month 12 treatment data, the first measure recorded at time 0 was obtained before the testosterone gel (AndroGel; Solvay Pharmaceuticals, Inc, Marietta, Ga) was applied. The dashed lines indicate the range of healthy adult male testosterone levels. To convert testosterone to nanomoles per liter, multiply by 0.0347.
Lean body mass (muscle mass) increased significantly during treatment, with a mean increase of 1.7 kg at month 12 of treatment compared with pretreatment levels (P=.02). Hip and spine bone density, as measured by the dual energy x-ray absorptiometry scan, were normal at baseline and remained unchanged during the study.
There were no subjective reports of adverse effects and no significant abnormalities in any blood test results. Prostate examination results were stable throughout the study. One subject necessitated placement of a cardiac stent, but this was not thought to be drug related because he had preexisting risk factors for coronary artery disease.
Scores from the Paced Auditory Serial Addition Task (PASAT) component of the Multiple Sclerosis Functional Composite remained stable during the first 6 months of treatment (months 3 and 6), trended upward after 9 months, and were significantly improved by month 12 of treatment (Figure 2). During the baseline pretreatment phase, there was clearly a practice effect, as previously described.25-27 Thus, to avoid the confound of this practice effect in interpreting the effect of treatment, PASAT performance during months 9 and 12 of treatment was compared with performance at month 0 of baseline, not month -6 or -3. Consistent with an improvement in the PASAT during month 12 of testosterone treatment, there was also a trend for improvement in spatial memory in immediate (P =.07) and delayed (P =.06) recall subtests of the 7/24 Spatial Recall Test at treatment month 12. No changes were observed in the Expanded Disability Status Scale score, the 9-Hole Peg Test, or the 25-ft timed walk.

Figure 2. Paced Auditory Serial Addition Task (PASAT) cognitive test scores improved with testosterone treatment in men with relapsing-remitting multiple sclerosis. The PASAT cognitive tests were administered every 3 months (pretreatment months -6, -3, and 0 and treatment months 3, 6, 9, and 12). As previously reported, "practice effects” resulted in PASAT performance improvement initially during baseline, which stabilized by the third trial,25 month 0 in our study. Accordingly, to evaluate the effect of testosterone treatment on PASAT performance, only scores at pretreatment month 0 (not months -6 and -3) were used to compare with scores during treatment. While there were no effects of testosterone treatment within the first 6 months of treatment (months 3 and 6), a trend for improvement began at treatment month 9, which became significant at month 12. The improvement was significant in the entire group of 10 subjects (P=.008). *Nonparametric Pvalues based on Wilcoxon signed rank tests.
The group had low levels of enhancing lesion activity at baseline (median number, 0; median volume, 0.04 cm3), which had no relationship to baseline testosterone levels and which was not significantly increased or decreased with treatment (numbers, P = .31; volumes, P = .94). T2-weighted lesion volumes were not significantly different comparing the observation and treatment periods (mean T2-weighted volume, 11.78 vs 12.51 cm3; P = .21).
At study onset, the mean normalized whole brain volume was 0.82 (range, 0.78-0.84) and was negatively correlated with age (P = .05); however, there was no relationship between baseline brain volumes and baseline testosterone levels (r =0.18). During the first 9 months of the study, brain volumes decreased at an annualized rate of-0.81% (P<.001). During the subsequent 9 months of testosterone treatment, brain atrophy slowed to an annualized rate of-0.26% (P=.10). This represented a 67% reduction in the rate of brain volume loss compared with the pretreatment period (Figure 3). Similarly, when linear regressions were used to estimate slopes at 6-month intervals, there was an annualized atrophy rate of -0.79% (P =.04) during the pretreatment period (study months -5 to 0), a rate of -0.58% (P = .02) during early treatment (study months 1-6), and a rate of -0.22% (P = .44) during later treatment (study months 7-12).

Figure 3. Brain volume loss stabilized during testosterone treatment. The percentage change in normalized brain volumes is shown during the baseline and treatment periods in men with relapsing multiple sclerosis. A steady decline in brain volume was observed during the 6-month pretreatment period (months -5 to 0), continuing into the first 3 months of treatment, before stabilizing. Slope change during this initial 9 months corresponded to a -0.81% annualized atrophy rate (P<.001, compared with no change). In contrast, no significant atrophy occurred during the last 9 months of treatment, when the annualized rate of atrophy slowed to -0.26% (P =.10). This difference represents a 67% reduction in the rate of brain atrophy after the initiation of testosterone treatment. Circles indicate individual results; solid line, Loess regression fit of the data; and dashed line, extrapolated atrophy rate based on the initial 9-month period.
COMMENT
This is a small exploratory study of treatment of male patients with RRMS with testosterone gel for 1 year. A crossover design, using a within-arm comparison of pretreatment to treatment, was used to reduce the effect of disease heterogeneity given the small sample size, as previously described.22
The PASAT component of the Multiple Sclerosis Functional Composite showed significant improvement at month 12 of testosterone treatment. Practice effects are common when the PASAT is administered serially. Previous reports25,27 demonstrated that PASAT performance stabilizes after the third session, and this effect was evident when between-session timing was as brief as 1 week or as long as 6 months. In our study, PASAT performance was tested every 3 months and performance also stabilized after 3 trials, with these 3 trials all in the 6-month pretreatment baseline period. Subsequently, PASAT performance remained unchanged for the first 6 months of testosterone treatment. Then, a gradual improvement in performance was observed during the last 6 months of treatment, reaching significance at month 12. While it is theoretically possible that PASAT improvement at 9 and 12 months of treatment could reflect a second wave of practice effects, to our knowledge this has never been previously reported in placebo-treated arms of clinical trials, including those involving large cohorts of patients with MS followed up for up to 2 years.26 Our observed improvement in PASAT per-formance, combined with trends for improvements in the 7/24 Spatial Recall Test, is consistent with previous re-ports28,29 of testosterone-mediated improvements in working and spatial memory in healthy nonhypogonadal elderly men. Interestingly, the timing of these cognitive improvements coincided with a slowing of brain atrophy on MRI.
Measures of inflammatory activity on MRI did not decrease significantly after treatment with testosterone, which may be because of the relatively low levels of inflammatory activity present at baseline. Despite the fact that inclusion criteria required either a relapse or enhancing lesion activity in the 2 years prior to enrollment, the exclusion of subjects taking diseasemodifying treatments likely created a selection bias toward subjects with a relatively milder clinical disease and less inflammatory activity on MRI. Thus, in this subject group, we can only conclude that testosterone treatment did not significantly increase inflammatory activity on otherwise relatively quiescent MRIs.
Previous studies in noninflammatory conditions have shown that testosterone can affect brain volumes independent of effects on inflammation. Men with Klinefelter syndrome have androgen deficiency and smaller left temporal lobe volumes,30 and testosterone supplementation during development led to larger gray matter volumes in the left temporal lobe and improved verbal fluency scores in these patients.31 In our study, brain atrophy rates were determined by dividing the 18-month study period into 9-month intervals, which includes the first 3 months of treatment with the baseline period of observation. This approach is consistent with other reports assessing the effects of treatment on brain atro- phy,32 and takes into account the likelihood that neuroprotective effects are unlikely to be evident until several months of treatment have occurred. The mean annualized brain atrophy rate of -0.81% observed during the first 9 months of this study was consistent with previous rates observed in patients with MS.33 During the last 9 months of treatment, the rate of atrophy slowed to -0.26%, representing a decrease of 67%. Because the protective effect of testosterone treatment on brain atrophy was observed in the absence of an appreciable antiinflammatory effect, this protection may not be limited to MS, but may be applicable to those with noninflam-matory neurodegenerative diseases.
As is the case with any initial pilot clinical trial, conclusions from our study must be made with caution primarily because of the small sample size. Also, findings in our study may or may not be applicable to subjects with MS with more aggressive disease. Overall, in this first trial of testosterone treatment in men with RRMS, the treatment was shown to be safe and well tolerated, and led to increases in lean body mass. In addition, exploratory findings reported herein suggest a possible neu-roprotective effect of testosterone treatment in men, which warrants further investigation.
References
Whitacre CC, Reingold SC, O’Looney PA. A gender gap in autoimmunity. Science. 1999;283:1277-1278.
Duquette P, Pleines J, Girard M, Charest L, Senecal-Quevillon M, Masse C. The increased susceptibility of women to multiple sclerosis. Can J Neurol Sci. 1992;19:466-471.
Weinshenker BG. Natural history of multiple sclerosis. Ann Neurol. 1994;36(suppl) :S6-S11.
Bebo BF Jr, Schuster JC, Vandenbark AA, Offner H. Androgens alter the cytokine profile and reduce encephalitogenicity of myelin-reactive T cells. J Immunol. 1999;162:35-40.
Dalal M, Kim S, Voskuhl RR. Testosterone therapy ameliorates experimental autoimmune encephalomyelitis and induces a T helper 2 bias in the autoantigen- specific T lymphocyte response. J Immunol. 1997;159:3-6.
Liva SM, Voskuhl RR. Testosterone acts directly on CD4+ T-lymphocytes to increase IL-10 production. J Immunol. 2001;167:2060-2067.
Fox HS. Androgen treatment prevents diabetes in nonobese diabetic mice. JExp Med. 1992;175:1409-1412.
Harbuz MS, Perveen-Gill Z, Lightman SL, Jessop DS. A protective role for testosterone in adjuvant-induced arthritis. BrJRheumatol. 1995;34:1117-1122.
Roubinian JR, Talal N, Greenspan JS, Goodman JR, Siiteri PK. Effect of castration and sex hormone treatment on survival, anti-nucleic acid antibodies, and glomerulonephritis in NZB/NZW F1 mice. JExp Med. 1978;147:1568-1583.
Palaszynski KM, Loo KK, Ashouri JF, Liu H, Voskuhl RR. Androgens are protective in experimental autoimmune encephalomyelitis: implications for multiple sclerosis. JNeuroimmunol. 2004;146:144-152.
Bialek M, Zaremba P, Borowicz KK, Czuczwar SJ. Neuroprotective role of testosterone in the nervous system. Pol J Pharmacol. 2004;56:509-518.
CherrierMM, Craft S, Matsumoto AH. Cognitive changes associated with supplementation of testosterone or dihydrotestosterone in mildly hypogonadal men: a preliminary report. JAndrol. 2003;24:568-576.
Tan RS, Pu SJ. A pilot study on the effects of testosterone in hypogonadal aging male patients with Alzheimer’s disease. Aging Male. 2003;6:13-17.
Garcia-Segura LM, Azcoitia I, DonCarlos LL. Neuroprotection by estradiol. Prog Neurobiol. 2001;63:29-60.
CherrierMM, Matsumoto AM, Amory JK, etal. The role of aromatization in testosterone supplementation: effects on cognition in older men. Neurology. 2005; 64:290-296.
Caruso A, Di Giorgi Gerevini V, Castiglione M, etal. Testosterone amplifies excito- toxic damage of cultured oligodendrocytes. JNeurochem. 2004;88:1179-1185.
Pozzilli C, Tomassini V, Marinelli F, Paolillo A, Gasperini C, Bastianello S. “Gender gap” in multiple sclerosis: magnetic resonance imaging evidence. EurJNeurol. 2003;10:95-97.
Confavreux C, Vukusic S, Adeleine P. Early clinical predictors and progression of irreversible disability in multiple sclerosis: an amnesic process. Brain. 2003; 126:770-782.
Hawkins SA, McDonnell GV. Benign multiple sclerosis? clinical course, longterm follow up, and assessment of prognostic factors. JNeurolNeurosurg Psychiatry. 1999;67:148-152.
Tomassini V, Onesti E, Mainero C, etal. Sex hormones modulate brain damage in multiple sclerosis: MRI evidence. J Neurol Neurosurg Psychiatry. 2005;76: 272-275.
Swerdloff RS, Wang C. Androgens and the ageing male. Best PractRes Clin Endocrinol Metab. 2004;18:349-362.
Stone LA, Frank JA, Albert PS, etal. Characterization of MRI response to treatment with interferon p-1b: contrast-enhancing MRI lesion frequency as a primary outcome measure. Neurology. 1997;49:862-869.
Smith SM, Zhang Y, Jenkinson M, et al. Accurate, robust, and automated longitudinal and cross-sectional brain change analysis. Neuroimage. 2002;17:479-489.
Shattuck DW, Leahy RM. BrainSuite: an automated cortical surface identification tool. Med Image Anal. 2002;6:129-142.
Cohen JA, Cutter GR, Fischer JS, etal. Use of the Multiple Sclerosis Functional Composite as an outcome measure in a phase 3 clinical trial. Arch Neurol. 2001; 58:961-967.
Cohen JA, Cutter GR, Fischer JS, et al; IMPACT Investigators. Benefit of interferon p-1aon MSFC progression in secondary progressive MS. Neurology. 2002; 59:679-687.
Fischer JS, Priore RL, Jacobs LD, et al; Multiple Sclerosis Collaborative Research Group. Neuropsychological effects of interferon p-1a in relapsing multiple sclerosis. Ann Neurol. 2000;48:885-892.
Janowsky JS, Chavez B, Orwoll E. Sex steroids modify working memory. JCogn Neurosci. 2000;12:407-414.
Cherrier MM, Asthana S, Plymate S, et al. Testosterone supplementation improves spatial and verbal memory in healthy older men. Neurology. 2001;57: 80-88.
Itti E, Gaw Gonzalo IT, Pawlikowska-Haddal A, et al. The structural brain correlates of cognitive deficits in adults with Klinefelter’s syndrome. J Clin Endocrinol Metab. 2006;91:1423-1427.
Patwardhan AJ, Eliez S, Bender B, Linden MG, Reiss AL. Brain morphology in Klinefelter syndrome: extra X chromosome and testosterone supplementation. Neurology. 2000;54:2218-2223.
Hardmeier M, Wagenpfeil S, Freitag P, et al; European IFN-1a in Relapsing MS Dose Comparison Trial Study Group. Rate of brain atrophy in relapsing MS decreases during treatment with IFNp-1a. Neurology. 2005;64:236-240.
Miller DH, Barkhof F, Frank JA, Parker GJ, Thompson AJ. Measurement of atrophy in multiple sclerosis: pathological basis, methodological aspects and clinical relevance. Brain. 2002;125:1676-1695.