Osamu Ishiko, M.D., Kouzo Hirai, M.D., Toshiyuki Sumi, M.D., Ichiro Tatsuta, M.D., and Sachio Ogita, M.D.
From the Departments of Obstetrics and Gynecology, Osaka City University Medical School, and Hanwa Sumiyoshi General Hospital, Osaka, Japan. Dr. Ishiko is Associate Professor, Department of Obstetrics and Gynecology, Osaka City University Medical School. Drs. Hirai and Sumi are Research Associates, Department of Obstetrics and Gynecology, Osaka City University Medical School. Dr. Tatsuta is General Manager, Department of Obstetrics and Gynecology, Hanwa Sumiyoshi General Hospital. Dr. Ogita is Professor, Department of Obstetrics and Gynecology, Osaka City University Medical School.
Osamu Ishiko, M.D., Department of Obstetrics and Gynecology, Osaka City University Medical School, 1- 4-3, Asahimachi, Abeno-ku, Osaka 545-8585, Japan; E-mail: ishikoo@msic.med.osaka-cu.ac.jp.
Abstract
OBJECTIVE: To investigate the effects of the combination of pelvic floor muscle exercise (FEME) and estriol on postmenopausal stress incontinence (SI).
STUDY DESIGN: Sixty- six patients with post-menopausal SI were randomized to a group treated with a combination of estriol (1 mg/d) and PFME (group A, n = 32) and a group treated with PFME alone (group B, n = 34). Efficacy ivas evaluated every three months based on stress scores obtained from a urinary incontinence (UI) questionnaire.
RESULTS: A significant decrease in stress score was ob-served in mild and moderate UI patients in both groups three months after the commencement of therapy (A and B, P < .0001). The therapeutic effect in group A was more prominent for up to 18 months in mild UI and for up to 12 months in moderate UI (A vs. B, P < .05). Kaplan- Meier analysis showed that the cumulative morbidity rate in mild SI patients was significantly lower in group A (0%) than in group B (12%, P < .005).
CONCLUSION: Combination therapy with estriol plus PFME was effective and is capable of serving as first- line treatment for mild SI. (J Reprod Med 2001;46: 213-220)
Keywords: hormone replacement therapy; urinary incontinence, stress; menopause; estriol; pelvic floor muscle exercise.
Introduction
Urinary incontinence (UI) still does not occupy an important position in the field of gynecology because of poor recognition of the disease by patients and an insufficient number of specialists in the disease. The World Health Organization warns that the number of women with UI will greatly increase in the near future[1] and that it will be impossible for only a limited number of specialists to manage all the potential patients with UI. Consequently, it is very important for all gynecologists to be able to manage this disease in an appropriate manner. Un-fortunately, however, there are many diagnostic methods, examinations and treatment methods for UI that are complicated and distressing to patients.
To solve this problem, we proposed a method of differential diagnosis and severity classification based on the score on a UI questionnaire.[2,3] The ran-domized, controlled study reported on below was carried out to investigate the clinical efficacy of a combination of estriol (E3) and pelvic floor muscle exercise (PFME),[4] which has been established as a treatment method for stress incontinence (SI), a dis-ease that tends to increase considerably with age.
Materials and methods
Patients
Seventy-eight UI patients (aged 54-75 years) who consulted the participating institutions between April 1996 and December 1999 and were diagnosed with SI by gynecologists were included in this clin-ical study. The reliability of the diagnoses was in-creased by using a questionnaire on UI consisting of 15 items that all of the patients were required to fill out to standardize the diagnosis (Table I).[2,5]
Table 1. Ul Score Questionnaire.

Study Design
Before giving their consent to participate in the study, all the patients who came to the Urinary Dys-function Clinic, Department of Obstetrics and Gy-necology, Osaka City University Medical School Hospital, were given sufficient information on the significance and details of the study and the absence of any disadvantage to them if they decided not to participate in it.
The patients diagnosed as having SI by gynecolo-gists were randomly assigned to two groups: a group treated with a combination of E3 replacement therapy and pelvic floor muscle exercise (group A) and a group treated with PFME alone (group B). Treatment began after a one-week observation period starting on the day of the initial examination for UI at the institution. The patients returned to the hospital every three months, and changes in fre-quency, UI score questionnaire and patients, own detailed impressions of changes in their symptoms were recorded. The efficacy of treatment was evalu-ated in patients who had been treated for two years after the start of the study.
Questionnaire
A questionnaire prepared by Gaudenz in 1979 that had been partially modified to make it more suitable for a Japanese population was used in this study. It consisted of 15 questions. The answers to each question were assigned a certain number of points and, depending on the answer, included in the stress score (ss) or urge score (us). The total ss and us points were added up separately, and the diagnosis was based on the zones into which each of the scores fell. Zones a, b and c were designated SI zones; zones g, i and j, urge incontinence zones; zones e, f and h, mixed incontinence zones; and zone d, an unclassified incontinence zone (Table I, Figure l).[2,5]

Figure 1. Diagnostic criteria of the scored Ul questionnaire. Vertical and horizontal lines indicate ss (0-26) and us (0-26), respectively. Zone a refers to the zone surrounded by ss of 1 9-26 and us of 0-6. SI is designated zone a, b and c; urge incontinence as zones g, i and j; and mixed incontinence as zones e, f and h.
Classification of the Severity of SI
The results of our previous study on UI scores showed that an ss range of 10-17, 18-23 and 24-26 corresponded to mild, moderate and severe UI, re-spectively, according to the severity evaluation cri-teria based on the pad test, as defined by the Inter-national Continence Society (ICS).[6] Severity in this study was therefore evaluated on the basis of ss, and the patients were assigned to one of three groups—mild, moderate or severe, according to the severity of their UI.[3]
Treatment
E3,1-mg tablet/d, was administered as hormone re-placement therapy.[7] Whenever a patient stopped taking the tablets, the reason was fully investigated. The endometrium of the uterine corpus was ob-served by ultrasonography (once a month) and en-dometrial Pap smears (every six months). Specialists in gynecology instructed the patients on PFME until they mastered the technique.[4] Each patient was also given a videotape that demonstrated the proper method of performing PFME, and the patient was instructed to perform the exercise for 15 minutes a day.
Data Analysis
The level of significance of differences between the two groups was evaluated, and the significance of differences in UI score before and after treatment within the same group was evaluated by Students, t test and the x2 test. The Kaplan-Meier method was used for analysis of the cumulative morbidity rate in SI patients after the start of treatment. A P value of < .05 was considered evidence of a significant dif-ference. All data are expressed as mean ± SD.
Results
Seventy-eight patients were enrolled in the study. Five patients were excluded from the study because they had urge incontinence (one case) or mixed in-continence (four cases). Seventy-three patients en-tered the study, but six withdrew of their own will, and one withdrew because of an adverse drug reac-tion (hepatopathy). Ultimately, the results were an-alyzed in 32 cases in group A and 34 cases in group B (Figure 2). Comparison of the characteristics of the patients in the two groups showed no significant differences in age, duration of symptoms, past history related to UI, body mass index or severity (Table II).
Table 2. Characteristics of SI Patients.


Figure 2. Patient flow diagram. Reasons for dropping out: (a) urge incontinence, 1 case, and mixed incontinence, 4 cases; (b) failure to keep clinic appointments, 3 cases, and side effects, 1 case; (c) failure to keep clinic appointments, 3 cases.
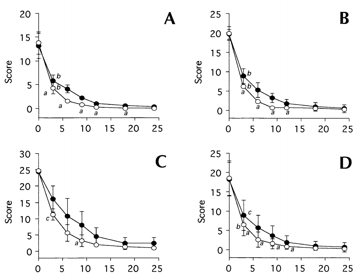
In mild UI, with an ss range of 10-17, a significant decrease in ss was observed in both groups A and B at three months (P < .0001), and the effect was sig-nificantly higher in group A (Pc.01) (Figure 3A). This tendency was observed for up to 18 months after the commencement of therapy. In moderate UI, with an ss range of 18-23, a significant decrease in ss was observed in both groups A and B (P < .001) at three months (P < .001), and the effect was significantly higher in group A in the first 12 months of therapy (P < .005) (Figure 3B). In severe UI, with an ss range of 24-26, ss decreased as therapy proceeded, but no significant difference was detected between groups A and B except at nine months of therapy (Figure 3C). As shown in Figure 3D, evaluation of all the cases as a whole revealed that the therapeutic effect was significantly higher in group A up to 12 m.onths.

Figure 3. Changes in stress scores in the mild SI groups. (A) Open circles represent the PFME-plus-E3 group (n = 12); closed circles represent the PFME-only group (n = 11). (B) Changes in ss in the moderate SI group. Open circles represent the PFME-plus-E3 group (n = 14); closed circles represent the PFME-only group (n = 18). (C) Changes in ss in the severe SI groups. Open circles represent the PFME- plus-E3 group (n = 6); closed circles represent the PFME-only group (n = 5). (D) Changes in ss in the previous cases. Open circles represent the PFME-plus-Ej group (n = 32); closed circles represent the PFME-only group (n = 34).
When patients whose UI score failed to decrease to zero after treatment were diagnosed as "uncured" cases, the number of uncured patients in groups A and B at the end of 24 months of therapy was 0/12 and 2/11, respectively, in mild UI, 3/14 and 5/18 in moderate UI, and 4/6 and 4/5 in severe UI. Thus, the efficacy rates at two years in groups A and B were 78.1% and 67.6%, respectively, demon-strating significantly higher efficacy in group A (P < .001).
Kaplan-Meier analysis showed that the cumula-tive morbidity rate in mild SI patients after the start of treatment was significantly lower in group A than in group B, but no significant differences between the two groups were observed in either moderate or severe SI (Figure 4).

Figure 4. Kaplan-Meier analysis of the cumulative morbidity rate in SI patients after the start of treatment in (A) mild, (B) moderate, (C) severe and (D) all SI patients. Open circles represent the PFME-plus-E3 group (n = 12, 14, 6 and 32 in A, B, C and D, respectively); closed circles represent the PFME-only group (n = 11, 1 8, 5 and 34 in A, B, C and D, respectively). A significant difference between the two treatment groups was observed in the mild SI patients (A) (P < .005).
Discussion
While there are no objections to the significance of PFME as first-line therapy for SI,[4,8,9] because it takes a long time for PFME to exert a therapeutic effect, it is not rated as highly clinically for the treatment of UI as are anticholinergic agents.[10,11] We therefore investigated the clinical effects of PFME combined with E3 to evaluate whether PFME is as reliable for SI as anticholinergic agents are for UI. We chose E3 for this study because the risks of carcinogenesis and other adverse effects seem to be lower with E3 than with other estrogens, and the effects on the urinary tract are considered to be stronger in E3.[12,13]
The female lower urinary tract and genitalia both develop from the urogenital sinus embryologically. Although the female genitalia are obviously target organs of estrogen, it also influences the tunica mu-cosa of the lower urinary tract and urethra. Iosif et al[14] reported that high-affinity estrogen receptors are present in the female urethral tract and that they are identical to the receptors in the vagina. It is now thought that estrogen stimulates the smooth muscle, epithelial cells, connective tissue around the urethral tract and the blood vessel floor by binding to the receptors in the urethra and trigone of the bladder. This in turn increases the concentration of a-adrenergic receptors; that leads to enhancement of the urine-collecting function resulting from an increase in adhesion of the tunica mucosa of the urethra and elevation of maximal urethral pres-sure.[7,15] The results of our study demonstrate that there are significant interactions between estrogen and the female lower urinary tract because the com-bination of E3 and PFME was significantly more ef-fective even three months after the commencement of therapy than was PFME alone. The effect of E3 persisted for as long as 18 months in the mild UI groups. The finding that the combined effect of E3 could be detected for up to 12 months in the evalu-ation of all the cases as a whole is important because it indicates the need to use E3 with PFME for at least one year in SI.
In this study, the severity of UI was classified based on the ss obtained from our original UI score questionnaire. The severity of UI is usefully classified on the basis of pad tests using the criteria defined by the ICS,[6] but it requires patients to go through prescribed motions for an hour. The pad test, however, is distressing to patients because many of them are aged. In a previous study, we reported that the relationship between the values obtained in pad tests and the ss based on UI scores can be expressed as follows: Log[values from pad tests] = 0.051 x [ss based on UI scores]-0.207 (r=.830, P < .0001). Based on the theoretical values obtained from this formula, we defined cases with ss between 10 and 17 as mild UI, those with scores between 18 and 23 as moderate UI and those with scores between 24 and 26 as severe UI, and this clas-sification was used in the present study.[3]
There are few other reports on the therapeutic ef-fects of PFME on SI, and the efficacy rate was around 50%.[8,9] In our study, the efficacy rate obtained with PFME alone was 67.6%, slightly higher than in other reports. We attribute the higher rate to the consultation system we employed, with patients thoroughly instructed on how to carry out PFME until they had mastered it completely. After two years of therapy, excellent clinical effects were obtained, with the final efficacy rate of the combi-nation of E3 and PFME as high as 78.1%. Moreover, the efficacy rate in the mild and moderate SI groups was as high as 88.5%; that indicates that E3 was very effective in SI. Furthermore, in the mild group, E3 plus PFME combination therapy significantly de-creased the cumulative morbidity rate in SI patients as compared with PFME therapy (Figure 4). This re-sult is excellent, equal to the effect of anticholinergic agents on UI, and suggests that combination therapy can be applied to cases in which surgical therapy is indicated.
Based on the above, we think that combined ther-apy consisting of E3 and PFME should be first-line therapy for SI. Its clinical usefulness in SI patients is increasing in the aging global population.
Acknowledgements
We would like to express our appreciation to Dr. R. Gaudenz for his study on diagnosis with the UI score.
References
Voelker R: International group seeks to dispel incontinence "Taboo." JAMA 1998;280:951-953
Ishiko O, Hirai K, Sumi T, et al: The urinary incontinence score in the diagnosis of female urinary incontinence. Int J Gynecol Obstet 2000;68:131-137
Ishiko O, Sumi T, Hirai K, et al: Classification of female uri-nary incontinence by the scored incontinence questionnaire. IntJ Gynecol Obstet 2000;69:255-260
Kegel AH: Physiologic therapy for urinary stress incontinence. JAMA 1951;146:915-917
Gaudenz R: A questionnaire with a new urge-score and stress-score for the evaluation of female urinary incontinence. Geburtshilfe Frauenheilkd 1979;39:784-792
Jorgensen L, Lose G, Anderson JT: One-hour pad-weighing test for objective assessment of female urinary incontinence. Obstet Gynecol 1987;69:39-2
Wolf H, Wandt H, Jonat W: Immunohistochemical evidence of estrogen and progesterone receptors in the female lower urinary tract and comparison with the vagina. Gynecol Obstet Invest 1991;32:227-231
Cammu H, Van Nylen M: Pelvic floor muscle exercises: 5 Years later. Urology 1995;45:113-117
Bo K, Talseth T: Long-term effect of pelvic floor muscle exer-cise 5 years after cessation of organized training. Obstet Gy-necol 1996;87:261-265
Anderson RU, Mobley D, Blank B, et al: Once daily controlled versus immediate release oxybutynin chloride for urge urinary incontinence: OROS Oxybutynin Study Group. J Urol 1999;161:1809-1812
Riva D, Casolati E: Oxybutynin chloride in the treatment of female idiopathic bladder instability: Results from double blind treatment. Clin Exp Obstet Gynecol 1984;11:37-42
Tzingounis VA, Aksu MF, Greenblatt RB: Estriol in the man-agement of the menopause. JAMA 1978;239:1638-1641
Grady D, Rubin SM, Petitti DB, et al: Hormone therapy to prevent disease and prolong life in postmenopausal women. Ann Intern Med 1992;117:1016-1037
Iosif CS, Batra S, Ek A, et al: Estrogen receptors in the human female lower urinary tract. Am J Obstet Gynecol 1981;141: 817-820
Batra SC, Iosif CS: Effect of estrogen treatment on the perox-idase activity and estrogen receptors in the female rabbit urogenital tissues. J Urol 1992;48:935-938.