Y. Yamanaka, H. Matsuo, S. MocHizuki, S. Nakago, S. Yoshida and T. Maruo
Department of Obstetrics and Gynecology, Kobe University Graduate School of Medicine, Kobe, Japan
Dr T. Maruo. Department of Obstetrics and Gynecology. Kobe University Graduate School of Medicine, 7-5-1 Kusimoki-cho, Chuo-ku, Kobe 650-0117, Japan;
Abstract
It is clinically evident that administration of estriol (E3) increases the hone mass density of the lumbar vertebrae in postmenopausal women, and that combined treatment with estrogen and 1,25-dihydroxyvitamin D3 (VD3) increases femoral neck bone mass density compared with treatment with estrogen alone in postmenopausal osteoporotic women. However, the molecular mechanism whereby treatment with E3 affects osteoblast cell function is still unknown, (his study was conducted first to examine the comparative effects of E3 and VD2 on the cell viability of cultured human osteoblast-like cells (HOS) and second to determine whetherE3affects VD3 receptor inRNA expression in HOS. The cell viability and VD3 receptor inRXA expression of cultured HOS were assessed by M i l assay and semi- quantitative reverse transcriptase—polymerase chain reaction with Southern blot analysis, respectively. The treatment with Et increased the cell viability of cultured HOS compared with untreated control cultures. The increase in cell viability caused by the treatment with E3 was further augmented by the combined treatment with VD3. The addition of either E3 β.52 X 10-8 inol/l) or E3 β.52 X 10-7 mol/l) to cultured HOS for 24 h resulted in a fourfold and eightfold increase, respectively, in VD3 receptor mRNA expression in HOS, compared with that in untreated control cultures. These results suggest that E3 may up-regulate the cell viability of osteoblast cells, and that the concomitant treatment until E3 and 17β,- further augments the cell viability being associated with an E3-induced increase in VD3 receptor mRNA expression in those cells.
Key words: Human Osteoblast-like Cells, 1,25-1 )n iydroxyvitamin D3 Receptor, Crn Viability, Estriol . I7J3-Estraldiol
Introduction
The loss of bone mass that occurs in postmenopausal women can be attributed to lack of estrogen. This is confirmed by the clinical observation that postmenopausal osteoporosis can he successfully prevented by estrogen replacement therapy. 17β-Estradiol (E2) has an important role in the pre-vention of postmenopausal osteoporosis[1,2]. E2 inhibits bone resorption and stimulates bone formation in the tibia and femur in ovariectomized rats by promoting calcium absorption in the intestine[3,5]. E2 also exerts an inhibitory effect on bone resorption via the estrogen receptor detected in rat osteoblast-like cells and normal human osteoblasts[6-9]. The suppression of bone resorption is attributed to inhibition ot bonc-rcsorbing cytokine action on bone-marrow stromal cells and osteoblasts[9]. The Ei-induced increase in cell proliferation of osteoblasts might be mediated by insulin-like growth factor 1 (IGF-I), induced by E3[6,10].
Recently, Tuppurainen et all.[11] showed that combined treatment with and 1,25-dihydroxyvitamin IT (VI T) further increases femoral neck bone mass density in osteoporotic women compared with treatment with E2 alone. Several reports have shown that Eo increases the number of VD3 receptors in the rat uterus, liver and kidney, and in human breast cancer cells[12-18]. It has also been reported that E2increases the number of VD, receptors in the ROS 17/2.8 cell line and the VET receptor mRNA levels in human osteosarcoma cells (MG-63)[19,20].
Estriol E3 is an estrogen with fewer adverse effects on endometrial proliferation, and it requires no combined use of progestin when used for hormone replacement therapy. For hormone replacement therapy, E2 is an alternative agent to E3 [21]. However, the molecular mechanism whereby E3 affects osteoblast cell function is still unknown. The present study was conducted in order to examine the effects of E3 on the cell viability of cultured human osteoblast-like cells (HOS). and to determine whether E3, affects the VD3 receptor mRNA expression in HOS.
Materials and methods
Materials
VD3 was purchased from Chugai Pharmaceutical Co., L.td (Tokyo, Japan). E2 and E3 were obtained from Sigma (St Louis, MO. USA) and Mochida Pharmaceutical Co., Ltd (Tokyo, Japan), respectively. The sources of other materials used were as follows. Fetal bovine serum (I BS) and Dulbccco’s Modified Eagle Medium (I)MEM) were purchased from Life Technologies, Inc. (Grand Island, NY. USA) and Sigma (St Louis, MO. USA), respectively. Penicillin and streptomycin were obtained from Invitrogen Corp. (Carlsbad. CA, USA). I IOS was purchased from Dainippon Pharmaceutical Co., Ltd (Tokyo, Japan).
Cell culture
HOS was subcultured in 1.0 X 105-mm3 plastic culture flasks at 37°C in a 5% CO2 humidified atmosphere in phenol-red-free 1 )MEM supplemented w ith 10% dextran-coated charcoal-stripped LBS. penicillin (100 μ/ml) and streptomycin (100 μ/ml). At approximately 60—70% confluence, the cultured medium was stepped down to serum-free conditions by incubating the cells in serum-free DMEM in the absence or presence of E2 β.67 x 10-8 mol/l), and β.52Х10-8 or 3.52 x 10-7 mol/l) and VIT (10-9 mol/l) for indicated periods of time (24 h to 72 h).
MTT assay for cell viability
HOS cell number and viability were evaluated by means of the MTT β-(4,5-dimethylthiazol-2-yI) -2,5-diphenyl tetrasolium biomide) assay using the Mosmann method[22]. This assay was based on the cleavage of the tetrazolium salt MTT to a blue formazan product by mitochondrial dehydrogenase in viable cells. Briefly, after being treated in the absence or presence of E2 β.67 x 10-8 mol/l), E.) β.52x10-8 or 3.52x10-8 mol/l) and VD3 109 mol/l) in serum-free DMEM for 24-72 h in 96-well tissue-culture plates, 10μ of MTT (Sigma, St Louis, MO, USA) solution was added to each well, and cultured cells were incubated at 37°C for another 4 h. Then 100μlof isopropanol/HCl solution was added to each well and mixed thoroughly with an EM-36N microtube mixer (Taitec, Tokyo, Japan). The absorbance was measured by an MTP-120 ELISA plate reader (Corona Electric Co., Osaka, Japan) with a test wavelength of 570 nm and a reference wavelength of630 nni. These experiments with FIOS were repeated at least three times with similar results.
Semi-quantitative RT-PCR with Southern blot analysis
The cells were seeded on to 1.0 X 105-mm3 culture plates and cultured into subconfluency (approximately 8 X 104cells/cm2). Thereafter, the cells were stepped down to serum-free conditions by being incubated in serum-free DMEM in the absence or presence of E2 β.67 x 10-8 mol/l), or E3 β.52 X 10-8 or 3.52 X10-7 mol/l) for 24-48 h. Total RNA was isolated from HOS cultured by the guanidinium thiocynate and phenol/chlorofonn method. First-strand complementary DNA (cDNA) was synthesized from 4 pg of total RNA using a cDNA synthesis kit (QIAGEN GmbH, Hilden, Germany).
THе polymerase chain reaction (14 R) was performed using 1 ml of CDNA as template, 6.25 pmol/l of each primer, 2.5 mmol/l dNTPs, 0.125 U Taq DNA polymerase (Roche-Diagnostics GmbH, Mannheim, Germany), IX reaction buffer containing 10 mmol/l Tris-HCl, pH 8.3, 50 inmol/l of KC1, 1.5 mmol/l of MgCl2 and 0.01% gelatin in a reaction volume of 25 ml. The primers that were used to amplify the VD3 receptor cDNA were 5'- ( :AACAAAGACTACAAGTACCGCGTCAGTC IA-З' (sense) and 5,-GTCIAGGAGGGCTGCTGAGTAG-3/ (antisense)[23]. The sense primer annealed to 982—1011, while antisense corresponded to bases 1471 — 1491 of the VD3 receptor’s cl )NA. I he length ot the expected OCR product was 510 base pairs (bp). OCR amplification was performed using a Gene Amp PGR System 9600-R (Perkin Elmer Corp., Norwalk. CT, USA). The amplification procedure included an initial dénaturation step at 94°C for 5 min and 30 cycles, as follows: dénaturation step at 94°C for 30 s, annealing step at 55°C for 30 s and extension step at 72°C tor 30 s. The sequence of the primer used to amplify the housekeeping β-actin gene was 5'-CTT CT AC A AT G AGCT GCGT G-3'(sense) and 5'-TC : AT G A( if IT AGT CAGT CAGG-3'(antisense). The sense primer annealed to bases 308—327, while the antisense primer corresponded to bases 593—612 of the beta-actin gene. The length of the expected PCR product was 305 bp. The amplification procedure included an initial dénaturation step at 94°C for 5 min and 15 cycles, as follows: dénaturation step at 94 C for 30 s, annealing step at 55°C for 30 s, extension step at 72°C for 30 s.
To allow the quantification of the VIT receptor inRNA expression. Southern blot analysis was used. The amplified products were electrophoresed on 3% agarose gel, and after dénaturation with alkaline solution they were transferred to a nylon membrane filter for Southern blotting. After transfer, the DNA was fixed by UV irradiation, and hybridization was performed using the 5'-32P-end-labeled oligonucleotide probe. The conditions for hybridization were prehybridization at 65°C for 2 h and hybridization at 65°C for 18 h. The probe specific for β-actin was prepared with a full-length cl )NA of β-actin labeled with 32P. The washing conditions were as follows: saline sodium citrate (SCC = 300 mmol/l NaCl and 30 mmol/l trisodium citrate, pH 7.0), 0.1% sodium dodecyl sulfate (SDS) at room temperature for 20 min, performed twice, and SCC β0 mmol/l NaCl and 3 mmol/l trisodium citrate,μl 7.0) and 0.1% SDS at 60°C for 5 min.
After washing, the blot was exposed to X-ray film for 3 h. The film was scanned on ScanJet 3C/ADF (Hewlett Packard, Miami, FL. USA), and the strength of the signal was measured by NIH Image version 1.58. The amount of VD3 mRNA was expressed relative to the amounts of β-actin mRNA present in each specimen.
Statistical analysis
The data collected are shown as mean values + SD from at least three independent experiments. Statistical significance was evaluated using two-way analysis of variance (ANOVA). Differences with a p-value of < 0.05 were considered to be statistically significant.
Results
Effects of E2, E3 and VD3 on cell viability
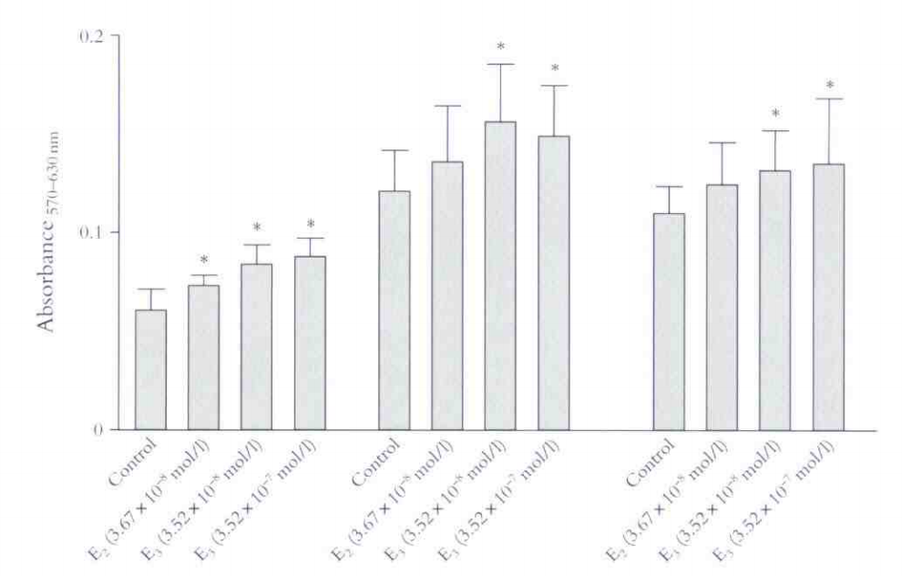
The treatment with E2 β.67 x 10-8 mol/l) resulted in a significant increase in the cell viability of cultured I IOS compared with untreated control cultures at 24 h exposure, hut did not do so at 48 h or 72 h exposure. The treatment with either E, β.52 X 10-8 mol/l) or E, β.52 X 10-7 mol/l) also significantly increased the cell viability of cultured HOS compared with untreated control cultures throughout 24-72 h exposure (Figure l). The treatment with VD3 (10-9 mol/l) exerted similar stimulatory effects on cell viability to those observed with E.v β.52 X 10-8 mol/l). The combined treatment with E2 β.67 x 10-8 mol/l) and VD3 (10-9 mol/l) further increased the cell viability of cultured I IOS compared with the treatment with E2 β.67 X 10-9 mol/l) alone or VD3 (10-9 mol/l) alone throughout 24-72 h exposure. The increase in cell viability of cultured HOS caused by the treatment with E; β.52 X 10 s mol/l) alone was also further augmented in response to the concomitant treatment with VD3 (10-9 mol/l) at 72 h exposure. Compared with the combined treatment with E; β.52 x 104 mol/l) and VD3, (10-9 mol/l), the combined treatment with E3 β.67 X 10-9 mol/l) and VD3 (10-9 mol/l) had a higher cell viability of cultured HOS at 24 h exposure, hut did not do so at 48 h and 72 h exposure (Table 1).
Table 1. Effects of 17β-cstradiol (E2). cstriol (E3) and 1,25-dihydroxyvitamin D3, VD3 human osteoblast-like cells (HOS) assessed by MTT assay.


Figure 1. Effects of l7β-cstradiol (E3) and cstriol (E3) on the cell viability of cultured human osteoblast-like cells (I JOS) assessed by MTT assay. Treatment with E3 β.67 X 10-8 s mol/l) or E, β.52 x 10-8 or 3.52 x 10-8 mol/l) alone was carried out for 24-72 h in serum-free conditions. Values are presented as the mean values ± SI) from three independent experiments. *p < 0.05 vs. control cultures.
Effect of E2 and E3 on VD3 receptor mRNA expression
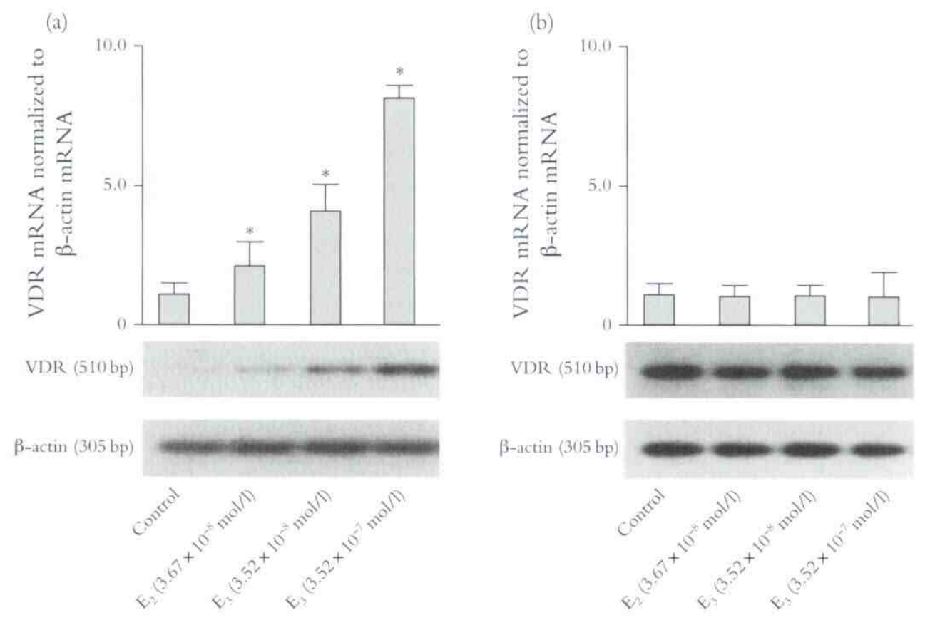
Densitbmetric quantification of 10-8 receptor mRNA with a molecular basis of 51.0 bp produced by semi-quantitative reverse transcriptase (RTJ-BCR with Southern blot analysis revealed that the treatment with either E2β.67 x 10-8 mol/l) alone or E3 β.52 x 10-8 or 3.52 x 10-8 mol/l) alone resulted in a twofold, fourfold and eightfold increase, respectively, in VD3 receptor mRNA expression in cultured HOS at 24 h exposure compared with untreated control cultures (Figure 2a). By contrast, at 48 h exposure, no such increases in VD3 receptor mRNA expression in cultured HOS were noted with the treatment with either E2alone or E3 alone (Figure 2b).

Figure 2. Effects ot 17-β-estradiol (E2) or cstriol (E2) on VD3 receptor (VDR) mKNA expression in cultured human osteoblast-like cells (HOS) analyzed by semi-quantitative RT-FCR and Southern blot. 1 HOS were exposed to either E2 β.67 x 10-8 mol/l) or E2 β.52 x 10-8 or 3.52 x 10-8 mol/l) tor (a) 24 h and (b) 4H h. The amount of mRNA was expressed relative to the abundance of β-actin mRNA. Data are presented as the fold increase over the control value and as the mean values ± SI) from three independent experiments. *p < 0.05 vs. control cultures.
Discussion
This study has demonstrated that the treatment with E3 increases the cell viability of cultured HOS compared with untreated control cultures, that combined treatment with E3 and VD3 increases the mRNA expression in those cells. These findings suggest that E3 exerts direct effects on osteoblast function, and that an interaction between E3 and VD3 receptors occurs in cultured HOS.
Nishibe et nl.[21] showed that the administration of E3 increases bone mass density of the lumbar vertebrae in postmenopausal women. E3 has been considered to be an estrogen with a much weaker stimulatory effect on endometrial proliferation. Accordingly, E3 therapy is associated with less frequent genital bleeding and requires no concomitant use of progestin. Nevertheless, Weiderpass ct itl.[24] have recently reported that oral use of E3 1-2 mg daily increases the relative risk of endometrial cancer and endometrial hyperplasia. I hus it is necessary to monitor the endometrium during such treatment with Eu The latter is also referred to as a terminal metabolite or as an impending estrogen, and is known to play a role in the metabolic responses in the target tissues that express the estrogen receptor[25]. E3 has a sevenfold and a fivefold lower affinity relative to E2 for the estrogen receptor fx and the estrogen receptor β, respectively-[26]. The relative association constant of E3 with the estrogen receptor has been reported to be 1 2.5% relative to that of E2, and the potency of E3 in inducing positive co-operativity in the estrogen receptor is 50% that of E2[27]. Onoe ct al.[28] reported that higher levels of estrogen receptor β mRNA compared with estrogen receptor a mRNA are expressed in rat calvaria cells and ROS 17/2.15. E3 has a higher affinity for estrogen receptor β than for estrogen receptor. Interestingly, in the present study the treatment with E3 increased the cell viability of cultured I IOS in a similar manner to the treatment with E2. Furthermore, it is worth noting that E3 treatment produced a greater increase in VD3 receptor mRNA expression in cultured HOS compared with E2 treatment. We have also noted that E3 treatment augments the proliferative activity of cultured HOS assessed by bromodeoxyuridine uptake as much as E2 treatment (unpublished data). It is therefore likely thatE2may be an effective alternative to E2 for preventing loss of bone mineral density in postmenopausal women.
It has become evident that not only VD3 but also E3 regulates the number of VET receptors through its own specific receptor[29-31]. Several investigators have reported that E2 increases the amount of both VD3 receptor mRNA and protein in human and rat bone cells. Liel et al.[19] showed that E2 treatment results in a twofold increase in the number of VD3 receptors in rat osteosarcoma-derived osteoblast-like cells. ROS 17/2.8. Mahonen et al.[20] reported that E2 stimulates VD3 receptor mRNA expression in human osteosarcoma cells. In their studies, the addition of E2 at a concentration of 104 mol/l increases VIreceptor expression in various cells. The present study has demonstrated that treatment with either E2 or E3 increases VD3 receptor mRNA expression in cultured HOS compared with that in untreated control cultures. It is likely that the effects of E2 on bone may be mediated at least in part through its action on VD3 receptor mRNA expression, followed by an increase in the sensitivity of osteoblasts to VD3. Understanding the mechanism of E3 action on the bone should encourage much wider investigation of its potential clinical use in populations of different ethnic origin, although most of the studies on E3 action were carried out in Japanese women.
Steroid and nuclear receptor coactivators have been implicated in the regulation of nuclear receptor function by enhancing ligand-dependent transcriptional activation of target gene expression32. A number of coactivator molecules of the steroid receptor coactivator/nuclear receptor coactivator family interact with activation functions within nuclear receptors through a conserved region containing helical domains of a core LXXLL sequence, and thus participate in transcriptional regulation [33]. A recent study has shown that the VD3 receptor and estrogen receptor β interact with different CX-helical LXXLL motifs of receptor-associated coactivator 3[32]. Thus it is possible to speculate that Ev-bound nuclear receptors recruit coactivators, including receptor-associated coactivator 3[32], and enhance the ligand-dependent transcriptional activation of VD3 receptor mRNA expression. It seems likely that the combined treatment with E3 and VD3 a augments the cell viability of cultured HOS as much as the combined treatment with E3 and VD3. However, the molecular mechanism whereby E3 affects VD3 receptor mRNA expression in cultured HOS is still unknown.
In conclusion, we have demonstrated that E3 treatment increases the cell viability of cultured HOS compared with untreated control cultures. Combined treatment with E3 and VD3 further increases the cell viability of cultured HOS compared with treatment with E3 alone, and E3 treatment also results in a substantial increase in VD3 receptor mRNA expression in cultured I IOS compared with untreated control cultures. Although the biological role of E3 in bone cells has yet to be explored, the present study moves toward a better understanding of the molecular mechanisms underlying the clinical effects of E3 alone or combined therapy with E3 and VD3 in the maintenance of bone density in postmenopausal women.
Acknowledgements
This research was supported in part by Grant-in-Aid for Scientific Research No. 11671619 from the Japanese Ministry of Education, Science and Culture and by the Japan Association of Obstetricians and Gynecologists Ogyaa-Donation Foundation yODF).
References
Lindsay R. Sex steroids in the pathogenesis and prevention of osteoporosis. In Liggs BL. Melton LJ III, eds. Osteoporosis Etiology, Diagnosis and Management. New York: Raven Press, 1988:333—58
Gallagher JC, Goldgar L). Treatment of postmenopausal osteoporosis with high doses of synthetic calcitriol. Ann Intern Med 1990;113:649-55
PcnslerJM, Rodosevich JA, Higbee R, et al. Osteoclasts isolated from membranous bone in children exhibit nuclear estrogen receptors. J Bone Miner Res 1990;5:797-802
Ishibe M, Ishibc Y, Fshibashi T, et al. Low content of estrogen receptors in human giant cell tumors of bone. Arch Orthop Trauma Surg 1994:1 13:106—9
Aarjmandt BH, Salih MA. Herbert DC. et al. Evidence for estrogen receptor-linked calcium transport in the intestine. Bone Miner 1993:21:63-74
Komm BS, Terpening CM, Benz 1)J, et al. Estrogen binding, receptor mRNA, and biological responses in osteoblast-like osteosarcoma cells. Science 1988;241: 81-3
Eriksen EF. Colvard DS, lk-rg NJ, et al. Evidence of estrogen receptors in normal human osteoblast-like cells. Science 1988;241:84-6
Turner KT. Riggs BL. Spelsberg TC. Skeletal effects of estrogen, Endocr Rev 1994;15:275-300
Manolagas SC.Jilka RL.. Bone marrow, cytokines and bone remodeling: emerging insights into the pathophysiology of osteoporosis. i\ Engl] Med 1995;332: 305-11
1(1. Ernst M. Heath JK. Rondan GA. Estradiol effects on proliferation, messenger ribonucleic acid for collagen and insulin-like growth factor-1, and parathyroid hormone-stimulated adenylate cyclase activity in osteoblastic cells from calvariac and long bones. Endocrinology 1989; 125:825—33
Tuppurainen MT, Komulainen M, Kroger I 1, cl al. Does vitamin D strengthen the increase in femoral neck BMD in osteoporotic women treated with estrogen? Osteoporos hit 1998;7:32-8
Walters MR. An estrogen-stimulated 1,25-di hydro xy- vitamin I T receptor in rat uterus. Biochem Biophys Res Comm tin 1981 ;13:721—6
Levy J, Zuili I, Yankowitz N. et al. Induction of cytosolic receptors for 1C/.. 25-dihydroxyvitamin Dun the immature rat uterus by oestradiol. / Endocrinol 1984:129:2318-24
Duncan WE, C»lass AR, Wray HE. Estrogen regulation of the nuclear 1,25-dihydroxyvitamin IT receptor in rat liver and kidney. Endocrinology 1991;129:2318-24
Escaleria MTF, Sonohara S, Brentani MM. Sex steroids induced up-regulation of 1,25-(OH)2 vitamin IT receptors in T 47D breast cancer cells. / Steroid Biochem Mol Biol 1993;45:257-63
Levy J, Zuili 1, Yankowitz N. et al. Induction of cytosolic receptors for lot.25 dihydroxyvitamin IT in the immature rat uterus by oestradiol. / Endocrinol 1984;100:265-9
Walters MR. An estrogen-stimulated 1,25- dihydroxy vitamin IT receptor in rat uterus. Biochem Biophys Res Connnnn 1981;103:721-6
Duncan WE. Glass AR. Wray HL. Estrogen regulation of the nuclear 1,25-dihydroxyvitamin IT receptor in rat liver and kidney. Endocrinology 1991;129:2318-24
Liel Y. Kraus S, Levy J, et al. Evidence that estrogens modulate activity and increase the number of 1,25-dihydroxyvitamin D.v receptors in osteoblastlike cells (ROS 17/2.8). Endocrinology 1992:130: 2597-601
Mahonen A, Birkanen A. Maenpaa PH. Homologous and heterologous regulation of 1,25-dihydroxy- vitamin IT receptor mRNA levels in human osteosarcoma cells. Biochem Biophys Acta 1991; 1088:1111-18
Nishibe A. Morimoto S. Hirata K. Comparison of effect of estriol on bone mineral density of vertebrae between elderly and postmenopausal women .J Bone Miner Metab 1998;16:21-6
Mosman T. Rapid colorimetric assay of cellular growth and survival: application to proliferation and cytotoxicity assays. / Immunol Methods 1983;65:55-63
Matsuyama T, Ishii S, Tokita A. et al. Vitamin D receptor genotypes and bone mineral density. Lancet 1995;345:1238-9
Weiderpass E, Baron JA, Adami HO. et al. Low- potency oestrogen and risk of endometrial cancer: a case—control study. Lancet 1999;353:1824-8
Esposito G. Estriol: a weak estrogen or a different hormonE3 Gynecol Endocrinol 1991;5:131-53
Kuiper G. Carlsson B. Grandien K, et al. Comparison of ligand-binding specificity and transcript tissue distribution of estrogen receptors a. and |1 Endocrinology 1997; 138:863-7()
Melamed M. Castano E, Notides AC. et al. Molecular and kinetic basis for the mixed agonist/antagonist activity of estriol. Mol Endocrinol 1997; 11:1868-78
Onoe Y. Miyaura C, Ohta H. et al. Expression of estrogen receptor beta in rat bone. Endocrinology 1997;138:4509-12
Pernalete N. Mori T. Nishii Y. et al. The activity of 22-oxacalcitriol in osteoblast-like (ROS 17/2.8) cells. Endocrinology 1991; 129:778-84
Strom M. Sandgren ME. Brown TA. et al. 1,25-dihydroxyvitamin IT up-regulates the 1,25- dihydroxyvitamin IT receptor in vivo. Proc \atI Acad Sci l 'SA 1989;86:9770-3
Ishibe M, Nojima T, Ishibashi T, et al. I7-Beta- estradiol increases the receptor number and modulates the action of 1.25-dihydroxyvitamin IT in human osteosarcoma-derived osteoblast-like cells. Calcif Tissue hit 1995;57:430-5
Leo CL Li H. Chen JD. Differential mechanisms of nuclear receptor regulation by receptor-associated coactivator 3. / Biol Chem 2000;275:5976-82
Northrop JP. Nguyen D. Piplani S, et al. Selection of estrogen receptor (1- and thyroid hormone receptor (i-specific coactivator-mimetic peptide using recombinant peptide libraries. Mol Endocrinol 2000; 14:605-22