Etienne-Emile Baulieua,a,b✸, Michael Schumachera
aINSERM U 488, 80 rue du Général Leclerc, 94276 Le Kremlin-Bicêtre, France bCollège de France, Paris, France
Etienne-Emile Baulieu; E-mail: baulieu@kb.inserm.fr.
Abstract
Some steroids are synthesized within the central and peripheral nervous system, mostly by glial cells. These are known as neurosteroids. In the brain, certain neurosteroids have been shown to act directly on membrane receptors for neurotransmitters. For example, progesterone inhibits the neuronal nicotinic acetylcholine receptor, whereas its 5α,3α-reduced metabolite 5α,3α-tetrahydroprogesterone (allopreg- nanolone) activates the type A γ-aminobutyric acid receptor complex. Besides these effects, neurosteroids also regulate important glial functions, such as the synthesis of myelin proteins. Thus, in cultures of glial cells prepared from neonatal rat brain, progesterone increases the number of oligodendrocytes expressing the myelin basic protein (MBP) and the 2',3'-cyclic nucleotide-3'-phosphodiesterase (CNPase). An important role for neurosteroids in myelin repair has been demonstrated in the rodent sciatic nerve, where progesterone and its direct precursor pregnenolone are synthesized by Schwann cells. After cryolesion of the male mouse sciatic nerve, blocking the local synthesis or action of progesterone impairs remyelination of the regenerating axons, whereas administration of progesterone to the lesion site promotes the formation of new myelin sheaths. © 2000 Published by Elsevier Science Inc.
Keywords: Myelination; Progesterone; Neurosteroid; Sciatic nerve; Schwann cells
Introduction
1.1. Sex steroids: effects on the nervous system
The nervous system is a target for sex steroids [1,2]. During sensitive periods in late fetal and early postnatal life, gonadal steroids influence the survival, the differentiation, and the connectivity of specific neuronal populations in both the brain and spinal cord [3]. At this stage of development, the nervous tissue is highly plastic, and some of the hormone effects are permanent. In the adult, sex steroids still influence neuronal functions, mainly by regulating synaptic transmission. They do so either by increasing the transcription of specific genes after binding to intracellular receptors [4,5], [this volume], or by acting directly on the neuronal membrane, most likely by binding to membrane receptors for neurotransmitters [6-9]. Because of the widespread distribution of hormone-sensitive neurotransmitter receptors, such as the type A γ-aminobutyric acid (GABAA) receptor, sex steroids influence neuronal activity within large parts of the nervous system, where they exert a variety of effects that are not necessarily related to reproduction. However, this does not imply that all the effects that sex steroids exert outside of those brain regions involved in reproduction, such as the hypothalamus, are mediated by membrane sites. In fact, with the advent of sensitive biochemical and immu- nocytochemical techniques, it has become obvious that in-tracellular receptors for sex steroids are more widely dis-tributed throughout the nervous system than has been thought. Thus, estrogen receptors have been detected recently in nerve growth factor (NGF)-sensitive neurons of the basal forebrain and dorsal root ganglia [10,11]. In addition, work in our laboratory has shown that receptors of sex steroids, such as estradiol and progesterone, are not only present in neurons but also in glial cells, where they mediate steroid effects on important glial functions [12,13].
Research performed over the past few years has shown that sex steroids continue to exert neurotrophic effects in the adult nervous system, by influencing changes in the mor-phology and connections of nerve cells. Indeed, despite the apparent appearance of stability, we now know that there is a continuous remodeling of neuronal connections within adult nervous tissues. For example, androgens increase the number of synaptic contacts in a group of spinal motor neurons [14], and estrogens increase the density of dendritic spines of hypothalamic and hippocampal neurons [1]. These observations have very recently stimulated research to exploit the trophic effects of sex steroids as therapeutic agents in neuronal injury. In these studies, testosterone has been identified as a trophic factor for facial and sciatic motor neurons. Indeed, this ‘male sex steroid’ accelerates motor neuron axonal regeneration following crush injury of the hamster hypoglossal and the rat sciatic nerve [15]. The ‘female sex steroid’ progesterone has been shown to prevent death of facial motor neurons after nerve transection [16]. These observations suggest that sex steroids may be thera-peutically useful in activating or accelerating the reparative response of neurons to injury.
2. Neurosteroids: concept and biosynthesis
In the light of the various effects of sex steroids on both the developing and adult nervous system, it was a significant finding that some steroids, called neurosteroids, are synthesized within the brain and peripheral nerves by glial cells [17,18]. The term neurosteroid [19] does not designate a particular class of steroids, but only refers to their site of synthesis - the nervous system. Progesterone, for example, which is a hormone produced and secreted by the ovaries and adrenal glands, is considered to be a neurosteroid if it is synthesized within the brain or peripheral nerves.
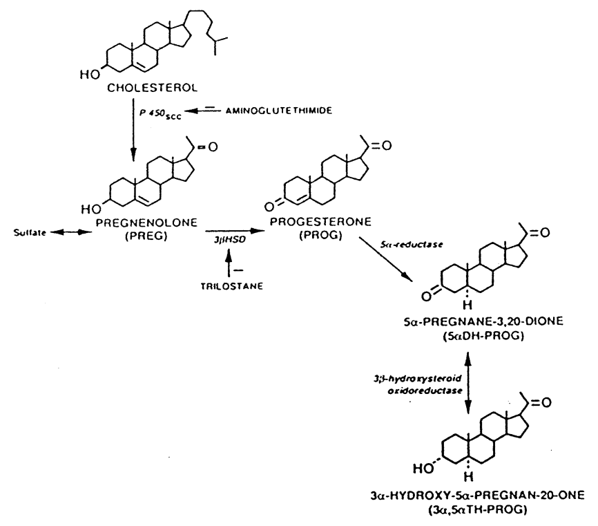
Steroidogenesis begins with the conversion of cholesterol to pregnenolone by the cytochrome P450scc (Fig. 1). This enzymatic step, which takes place in the inner mito-chondrial membrane, is characteristic of the steroidogenic cells of endocrine glands, including the testes, ovaries, and adrenal glands. The first indication that pregnenolone may also be synthesized within the nervous system came from the unexpected observation that its levels are much higher in the brain than in blood [20]. This finding could not be explained by the cerebral retention of circulating hormone, as pregnenolone persisted in the brain days after castration and adrenalectomy, and this in spite of a very rapid cerebral clearance [6,21]. It was then shown by immunocytochem- istry that the cytochrome P450scc is expressed in the white matter throughout the brain [22]. The biosynthesis of preg-nenolone was demonstrated by incubating newborn rat glial cells in the presence of [3H]mevalonate, a precursor of cholesterol which easily enters cells and mitochondria [23]. More recently, the P450scc mRNA has been detected by RT-PCR both in the rat brain and in cultured glial cells [24]. In agreement with the predominant localization of P450scc- immunoreactivity in white matter, the enzyme is present in cultured oligodendrocytes, which are the myelinating glial cells of the CNS [23]. However, P450scc immunoreactivity and mRNA have also been detected in type I astrocytes [25]. So far, the synthesis of pregnenolone has not been demonstrated in neurons.

Figure 1. Biosynthesis of neurosteroids in glial cells. Enzymes are shown in italics. P450scc = cytochrome P450scc, scc for side-chain cleavage; 3β-HSD = Δ5-3β-hydroxysteroid dehydrogenase isomerase. Aminoglutethimide and trilostane are inhibitors, respectively, of the P450scc and the 3β-HSD, the minus signs indicating an inhibition.
Pregnenolone can be converted by the Δ5-3β-hydroxy- steroid dehydrogenase isomerase (3β-HSD) to progesterone, which in turn is metabolized successively to 3α-dihydro- progesterone (3α-pregnane-3,20-dione) by the 3α-reductase and to 5α,3α-tetrahydroprogesterone (3α-hydroxy-3α-preg- nane-20-one = allopregnanolone) by the 3α-hydroxysteroid oxidoreductase (Fig. 1). These three enzymatic reactions are present in mixed cultures of oligodendrocytes and astro-cytes [23] and in type I astrocytes prepared from embryonic or neonatal rat brain [26,27]. Whether or not oligodendro-cytes have the capability to synthesize progesterone and its reduced metabolites remains to be established.
By using testosterone as a substrate, Celotti et al. [28] showed that myelin-forming oligodendrocytes possess a high 5α-reductase activity and that this enzyme may be incorporated into central and peripheral myelin. In vivo, progesterone may be the physiological substrate for this enzyme.
Among potential metabolites of pregnenolone and pro-gesterone are the corresponding 20α/β reduced derivatives, 7α-hydroxypregnenolone [29], and DHEA (dehydroepi- androsterone). The mechanism of formation of the latter is still poorly understood since the key enzyme 17α-hydrox- ylase (P45017α) has not been biochemically or immunolog-ically described, even if its mRNA has been reported at early time of development. An unusual oxyolative mechanism may be involved [30]. It is puzzling that determination of the formation of DHEA and its sulfate (possibly formed by brain sulfotransferease activity [31]) has been so difficult when the demonstration of its presence and persistancy in the brain after adrenalectomy and gonadectomy has led to the first demonstration of neurosteroids (review in Baulieu [32]). Available results do not support that testosterone is a neurosteroid; nor do results indicate that corticosterone is a neurosteroid (even though the activity of a 21-hydroxylase and the mRNA of the P45011β, two enzymes involved in corticosterone biosynthesis, have been detected in the brain [24]).
The physiological stimuli which regulate neurosteroid formation are still unknown. Whether second messengers or trophic factors, which stimulate steroid biosynthesis in clas-sic steroidogenic organs [33,34], also increase neurosteroid formation by glial cells remains to be explored. A recent study suggests a role for autocrine factors in the regulation of neurosteroid synthesis. Thus, astrocytes preferentially convert [3H]pregnenolone to [3H]progesterone at low cell density and to 7α-hydroxylated metabolites in dense cul-tures [26,35]. In addition, the synthesis of neurosteroids may be influenced by the endocrine milieu. So far, however, only the peripheral-type benzodiazepine receptor (PBR) has been shown to play a significant role in the neurosteroido-genic activation of glial cells. This receptor is found pri-marily on the outer mitochondrial membrane. By increasing the intramitochondrial cholesterol transport, PBR ligands stimulate pregnenolone formation in the C6-2B glioma cell line [36,37].
3. Neurosteroids: biological significance
As reported in the previous section, it is likely that pregnenolone, progesterone, and their reduced metabolites are the most important steroids that can be formed de novo from cholesterol within the brain. An important question is the biological significance of these neurosteroids. Probably the best guess is that they may be essential for important nervous functions and that their local synthesis may protect the brain from drops in circulating steroid levels, as they occur for example during the oestrous cycle or during age-ing. Also, blood levels of pregnenolone and progesterone are very low in males, and their nervous systems may rely on local production of these steroids. In fact, as we shall see, progesterone synthesized by glial cells plays an important role during nerve regeneration in male rodents.
Over the past few years, particular attention has been paid to the actions of pregnenolone, progesterone, and their reduced metabolites on membrane receptors for neurotrans-mitters. Thus, progesterone inhibits the neuronal nicotinic acetylcholine receptor [38] and activates hypothalamic oxytocin receptors [39], whereas its 5α,3α-reduced metabolite, 5α,3α-tetrahydroprogesterone, activates the chloride channel of the GABAA receptor complex [40]. Other neurotransmitter receptors have been identified as targets for neurosteroids, and these results have been extensively reviewed [7,18].
However, although it has been demonstrated that neuro-steroids such as pregnenolone or progesterone influence the activity of neurotransmitter receptors, it has not been shown that their production by oligodendrocytes or astrocytes plays an important role in regulating receptor functions through paracrine actions. The same is true for the effects of neurosteroids on neuronal functions and behavior. In rats, the local infusion of sulfated pregnenolone, an inhibitor of the GABAA receptor, into the nucleus basalis magnocellu- laris enhances memory performance. Infusion of 5α,3α- tetrahydroprogesterone, an activator of the GABAA recep-tor, has the opposite effect [41]. Pregnenolone and steroids metabolically derived from it also have memory enhancing effects in mice [42]. However, as these steroids are also produced by the gonads and adrenal glands, it is not clear whether their synthesis by glial cells is significant. This could be shown by selectively blocking or increasing the synthesis of neurosteroids within specific brain regions. Recently, pregnenolone sulfate was found to be involved in the memory mechanism in the hippocampus, and decrease of pregnenolone sulfate was thought to be responsible for the decrease of memory associated with ageing [43]. Whether or not the level of pregnenolone is dependent on its trans-formation to progesterone is not yet known.
So far, little attention has been paid to the possible trophic effects of neurosteroids. As described above, ste-roids exert a variety of neurotrophic effects, particularly during early development, but also in the adult. Especially in nervous tissue lesions, locally produced neurosteroids may stimulate, by paracrine or autocrine actions, the reparative responses of neurons and glial cells. Such an important role for neurosteroids is suggested by cell culture experiments. When added to the culture medium, neurosteroids enhance neuronal survival [44] and increase the synthesis of myelin-specific proteins by oligodendrocytes, namely, the MBP and the CNPase [13]. Recently, we have begun to explore the role of neurosteroids in peripheral nerve repair (see below). Our results demonstrate for the first time that the synthesis of neurosteroids by glial cells plays an important role during the regeneration of the nervous.
4. The rodent sciatic nerve: a system to study the trophic actions of neurosteroids
One advantage in studying neurosteroid functions in pe-ripheral nerves is their relatively simple structure. Sensory and motor nerve fibers are associated with a single type of glial cell, the Schwann cells, which myelinate the large axons. In addition, it is easy to prepare pure cultures of Schwann cells from neonatal rat sciatic nerves or from embryonic rat dorsal root ganglia (DRG) [46,47]. From the latter, it is also possible to establish cultures of sensory neurons [47]. However, the most important feature of pe-ripheral nerves is their remarkable regenerative capacity. Following injury, axons and their myelin sheaths, distal to the lesion, degenerate by a process known as Wallerian degeneration [48], leaving behind the dividing Schwann cells, which produce a large number of neurotrophic pep-tides. Schwann cells indeed play a crucial role during the regeneration of nerve fibers, which begins already a few hours after local crush, or freezing. In addition, multiplica-tion of Schwann cells is critical for allowing axons to regenerate across gaps. Later, Schwann cells remyelinate the regenerating axons and, under favorable circumstances, the appropriate neuromuscular connections may be restored [48,49]. Thus, several steps may be involved in the promo-tion of repair of peripheral nerves by ‘sex steroids,’ and in particular of neurosteroids: Schwann cell proliferation, the production of neurotrophic factors, axonal growth, and re- myelination.
Schwann cells in culture, prepared from neonatal rat sciatic nerves, proliferate only in the presence of elevated levels of cyclic AMP (cAMP) and specific peptide growth factors [50]. We have identified IGF-I as a potent mitogen for Schwann cells in the presence of serum and dibutyryl cAMP (dbcAMP) or forskolin, a reversible activator of the adenylate cyclase. Schwann cells indeed express the recep-tor for IGF-I, whose number increases if they are cultured for several days in the presence of forskolin [51]. By binding to IGF-I receptors, insulin also stimulates Schwann cell proliferation at micromolar concentrations. Thus, in the presence of forskolin and a high concentration of insulin, it is possible to expand rat Schwann cell cultures and to rapidly obtain pure cells in sufficient number to study the metabolism and actions of steroids.
5. Schwann cells synthesize neurosteroids
Schwann cells are not only a target for circulating ste-roids such as oestradiol [50]. Like the glial cells of the CNS, they can synthesize neurosteroids, including pregnenolone, progesterone, and their reduced metabolites. The synthesis of pregnenolone, within peripheral nerves was first suggested by the high levels of this steroid found in the human sciatic nerve [52]. In sciatic nerves of adult male rats, the concentration of pregnenolone is about 10 times higher than in plasma, and is not reduced 5 days after castration and adrenalectomy [35]. In contrast to pregnenolone, the con-centration of corticosterone, a steroid of adrenal origin, is much higher in plasma than in nerves, and its levels almost drop to zero after removal of the steroidogenic glands. Because steroids are rapidly cleared from nervous tissues [21,53], these observations strongly suggest a local synthesis of pregnenolone independent of glandular sources. In fact, Schwann cells prepared from neonatal rat sciatic nerves convert [3H]25-OH cholesterol to pregnenolone [26, 35], but only when cultured in the presence of micromolar concentrations of forskolin and insulin, which are both mitogens for these cells. Thus, pregnenolone may play a role during Schwann cell proliferation. Interestingly, cAMP and IGF-I, whose effects can be mimicked by insulin, also both stimulate the expression of the cytochrome P450scc in classic steroidogenic cells [33,34]. However, even in the presence of insulin and forskolin, the rate of pregnenolone formation by Schwann cells is very low in vitro, not ex-ceeding 25 fmol/μg DNA/24 h. This suggests that other factors may be required for optimal activity of the P450scc enzyme in glial cells.
In sciatic nerves of adult male rats and mice, the con-centration of progesterone is also ten times higher (~10 ng/g) than in plasma, and remains high after removal of the steroidogenic endocrine glands [45] (Fig. 2). However, pure cultures of Schwann cells prepared from neonatal rat sciatic nerves, do not convert [3H]pregnenolone to progesterone, even when cultured at different cell densities in the absence or presence of the mitogens insulin and forskolin [33], [Y. Akwa, unpublished]. In contrast, Schwann cells isolated from embryonic (E18) rat DRG explants, which have been co-cultured for 4 weeks with sensory neurons, produce significant amounts of [3H]progesterone and its reduced metabolites 3α-dihydroprogesterone and 5α,3α-tetrahydro- progesterone when incubated with [3H]pregnenolone [25] (Fig. 3). By immunocytochemistry, we have also confirmed that Schwann cells, which have been cultured for several weeks in the presence of DRG neurons, contain 3β-HSD, the enzyme which converts pregnenolone to progesterone. Taken together, these results strongly suggest that neurons induce the biosynthetic pathway of progesterone in Schwann cells.

Figure 2. Levels of progesterone are — 10-fold higher in sciatic nerves than in plasma of sham-operated adult male mice (control) and remain elevated 5 days after castration and adrenalectomy (CX + ADX) (n.d. = not detectable) (mean ± s.e.m., n = 4, * P < 0.05 when compared to controls by Student’s t test). In contrast, levels of corticosterone are much higher in plasma than in sciatic nerves, and its levels become undetectable after CX + ADX (modified from Koenig et al. [45]).

Figure 3. Metabolism of pregnenolone by rat Schwann cells in culture. The thin layer chromatograms show that (A) [3H]pregnenolone (100 nM) is not metabolized by pure cultures of rat Schwann cells prepared from neonatal rat sciatic nerves, (B) but is converted by Schwann cells, isolated from DRG explants and grown in the presence of sensory neurons for 4 weeks, to [3H]progesterone (14.3 ± 0.6 pmol/μg DNA/24 h), [3H]3α-DH progesterone (3.9 ± 0.2 pmol/μg DNA/24 h), and [3H]5α,3α-TH progesterone (2.6 ± 0.1 pmol/μg DNA/24 h, mean ± s.e.m.) (B). [(B) Koenig et al. [45] and (A) A.N. Do-Thi, M. Schumacher, H. Koenig, and E.E. Baulieu, unpublished work].3α
Progesterone may regulate Schwann cell functions through autocrine actions. Indeed, these cells not only syn-thesize progesterone, they also express the intracellular receptor for this neurosteroid, as shown by binding of the selective ligand [3H]ORG 2058 and by RT-PCR using primers complementary to the ligand binding domain of the rat progesterone receptor (I. Jung-Testas, R. Fiddes, K. Shazand, M. Schumacher, and E.E. Baulieu, unpublished work).
6. Progesterone synthesized by Schwann cells promotes myelination
The production of neurosteroids is thus a feature of myelinating glial cells: oligodendrocytes in the CNS and Schwann cells in the peripheral nervous system (PNS). Therefore, we hypothesized that neurosteroids, and in par-ticular progesterone, may play an important role during the process of myelination. To test this hypothesis, we exam-ined the relation between neurosteroids and myelin forma-tion in the regenerating sciatic nerve of male mice after cryolesion [45]. As for other types of lesion, axons and their myelin sheaths degenerate quickly after local freezing within the distal segment of the nerve. However, the advantage of this type of lesion is that the endoneurial tubes and the Schwann cell basal lamina remain intact and guide the regenerating nerve fibers directly back to their targets. In this system, Schwann cells begin to remyelinate the regenerating axons after 1 week, and the new myelin sheaths reach approximately one third of their final size after 2 weeks.
First, we showed that levels of pregnenolone and pro-gesterone remain elevated within the regenerating mouse sciatic nerve 1 or 2 weeks after cryolesion, that is during the period of active remyelination (pregnenolone — 6 ng/g and progesterone — 10 ng/g of tissue weight). We then demon-strated that the high levels of endogenous progesterone, most likely synthesized by Schwann cells, are necessary for an efficient remyelination of the regenerating axons. In fact, local application of 100 p,g of trilostane, an inhibitor of the conversion of pregnenolone to progesterone, or of RU486, a potent competitive antagonist of progesterone, dramatically decreased the thickness of the regenerating myelin sheaths, when observed 2 weeks after lesion on electron microscopic cross sections (Fig. 4). Both inhibitors were injected at the site of lesion 4 times during the 2-week interval. The in-hibitory effect of trilostane was not a toxic one since it could be reversed by the simultaneous administration of proges-terone. In addition, repeated injections of a high dose of progesterone (100 p,g), or its direct precursor pregnenolone, significantly enhanced the number of lamellae per myelin sheath [25].

Figure 4. Role of neurosteroids in the formation of new myelin sheaths. The numbers of myelin lamellae formed 15 days after cryolesion of the right male mouse sciatic nerve were measured by electron microscopy. The number of lamellae was increased by pregnenolone and progesterone and decreased by the antiprogestin RU486 (RU) and by trilostane (TRIL), an inhibitor of the conversion of pregnenolone to progesterone. The inhibitory effect of trilostane was reversed by the concomitant administration of progesterone. Steroids and their inhibitors (100 μg in 50 βl sesame oil) were repeatedly applied to the lesioned site immediately after surgery (day 0) and on days 5, 10, and 14. Results were expressed as percent of control (mean ± s.e.m., n = 5, ** P < 0.01 and * P < 0.05 when compared to the corresponding control by Dunnett’s Multiple Comparison Tests after ANOVA) (modified from Koenig et al. [45]).
It is likely that progesterone directly stimulates myelin formation by acting on Schwann cells rather than by stim-ulating axonal growth. This was shown by using co-cultures of DRG neurons and Schwann cells. After 4 weeks in culture, elongation of the DRG neurites is maximal and Schwann cells myelinate the sensory axons in the presence of serum and ascorbic acid [54]. At this stage of culture, myelination, but not neurite extension, was dramatically increased when a physiological concentration of progester-one (20 nM) was daily added to the culture medium for 2 weeks [45]. Recently, several observations have confirmed the effects of progesterone on myelin synthesis [55,56].
7. Conclusions and perspectives
The designation of androgens, estrogens, and progestagens as ‘sex steroids’ or ‘gonadal steroids’ is too restrictive. First, steroids belonging to these three classes exert multiple effects on the nervous system that are not related to reproduction, including the potentiation of neuronal survival, axonal growth, and myelin formation. Second, some of these steroids are not only produced by the testes or ovaries, but are also synthesized de novo from cholesterol in the brain and peripheral nerves mostly by glial cells. These ‘neurosteroids’ influence neurotransmission by acting on neurotransmitter receptors and activate important glial functions, such as myelination. Thus, progesterone synthesized by Schwann cells increases the formation of new myelin sheaths after lesion of the rodent sciatic nerve. Because Schwann cells also express the intracellular receptor for progesterone, it is likely that this steroid activates the process of myelination through autocrine actions, probably by stimulating the synthesis of specific myelin proteins or lipids. Therefore, neurosteroids, like many peptide growth factors, belong to the important group of autocrine/ paracrine factors, which regulate vital functions within the nervous system. This is a significant finding, because there is much hope to use these molecules to treat diseases and injuries of the nervous system, in particular those of peripheral nerves. It is likely that neurosteroids exert their trophic effects by acting in concert, or even in synergy, with peptide growth factors such as IGF-I or nerve growth factor (NGF). The study of these interactions will become an important field of neuroendocrine research. Another critical question is the regulation of neurosteroid biosynthesis by glial cells. There are indeed two possibilities to use neurosteroids as therapeutic agents: by stimulating their synthesis or by administering steroid compounds. Finally, an important problem that remains to be explored are the possible interactions between circulating steroids, which are secreted into the bloodstream by the gonads, and neurosteroids, which are synthesized within the nervous system. A particularly complex case is that of the role of progesterone in GnRH secretion. Progesterone is not active via a classic intracellular receptor in GnRH neurons [57]. Data on the direct action of progesterone, however, have been obtained recently, suggesting a membrane mechanism, possibly consistent with a postulated membrane receptor [58]. In addition, the metabolite allopregnanolone may be active through an effect at the GABA receptor [59]. Quite a complex series of intermingled possibilities. No doubt that the complexity observed with neuroactive neurosteroids, such as progesterone, serve physiological purposes.
Acknowledgements
This work was partially supported by the Association Francaise Contre les Myopathies (A.F.M.) and the Florence Gould and Mathers Foundations (New York).
References
McEwen BS, Gould E, Orchinik M, Weiland NG, Woolley CS. Estrogens and the structural and functional plasticity of neurons: implications for memory, ageing and neurodegenerative processes. In: Bock GR, Goode JA, editors. Ciba Foundation Symposium 191: Non-reproductive actions of sec steroids. Chichester: John Wiley & Sons, 1995. pp. 52-73.
Priest CA, Pfaff DW. Actions of sex steroids on behaviours beyond reproductive reflexes. In: Bock GR, Goode JA, editors. Ciba Foun-dation Symposium 191: Non-reproductive actions of sec steroids. Chichester: John Wiley & Sons, 1995. pp. 74-89.
De Vries GJ, De Bruin JPC, Uylings HBM, Corner MA, editors. Sex differences in the brain. Progress in Brain Research, vol 61. Amster-dam: Elsevier, 1984.
McEwen BS. Steroid hormones are multifunctional messengers to the brain. Trends Endocrinol Metab 1991;2:62-7.
Truss M, Candau R, Chavez S, Beato M. Transcriptional control by steroid hormones: the role of chromatin. In: Bock GR, Goode JA, editors. Ciba Foundation Symposium 191. Non-reproductive actions of sec steroids. Chichester: John Wiley & Sons, 1995. pp. 7-23.
Baulieu EE, Robel P. Non-genomic mechanisms of action of steroid hormones. In: Bock GR, Goode JA, editors. Non-reproductive actions of sex steroids. Ciba Foundation Symposium 191. Chichester: John Wiley & Sons, 1995. pp. 24-42.
Chadwick D, Widdows K, editors. Steroids and neuronal activity. Ciba Foundation Symposium 153. Chichester: John Wiley & Sons, 1990.
Schumacher M. Rapid membrane effects of steroid hormones: an emerging concept in neuroendocrinology. Trends Neurosci 1990;13: 359-62.
Majewska MD. Neurosteroids: Endogenous bimodal modulators of the GABAA receptor. Mechanism of action and physiological signif-icance. Progress Neurobiol 1992;38:379-95.
Sohrabji F, Miranda RC, Toran-Allerand DC. Estrogen differentially regulates estrogen and nerve growth factor receptor mRNAs in adult sensory neurons. J Neurosci 1994;14:459-71.
Toran-Allerand CD, Miranda RC, Bentham W, et al. Estrogen recep-tors co-localize with low-affinity NGF receptors in cholinergic neu-rons of the basal forebrain. Proc Natl Acad Sci USA 1992;89:4668- 72.
Jung-Testas I, Renoir JM, Gasc JM, Baulieu EE. Estrogen-inducible progesterone receptor in primary cultures of rat glial cells. Exp Cell Res 1991;193:12-9.
Jung-Testas I, Schumacher M, Robel P, Baulieu EE. Actions of steroid hormones and growth factors on glial cells of the central and peripheral nervous system. J Steroid Biochem Mol Biol 1994;48: 145-54.
Matsumoto A, Micevych PE, Arnold AP. Androgen regulates synaptic input to motor neurons of the adult rat spinal cord. J Neurosci 1988;8:4168-76.
Jones KJ. Gonadal steroids and neuronal regeneration. A therapeutic role. Adv Neurol 1993;59:227-40.
Yu WH. Survival of motor neurons following axotomy is enhanced by lactation or by progesterone treatment. Brain Res 1989;491:379 - 82.
Bulieu EE. Neurosteroids: a new function in the brain. Biol Cell 1991;71:3-10.
Robel P, Baulieu EE. Neurosteroids: biosynthesis and function. Trends Endocrinol Metab 1994;5:1-8.
Baulieu EE. Steroid hormones in the brain: several mechanisms? In: Fuxe K, Gustafsson JA, Wetterberg L, editors. Steroid hormone regulation of the brain. Oxford: Pergamon Press, 1981. pp. 3-14.
Corpechot C, Synguelakis M, Talha S, et al. Pregnenolone and its sulfate ester in the rat brain. Brain Res 1983;270:119-25.
Robel P, Baulieu EE. Neuro-steroids: 3β-hydroxy-Δ5-derivatives in the rodent brain. Neurochem Int 1985;7:953-8.
Le Goascogne C, Robel P, Gouezou M, Sananes N, Baulieu EE, Waterman M. Neurosteroids: cytochrome P450scc in rat brain. Sci-ence 1987;237:1212-5.
Jung-Testas I, Hu ZY, Baulieu EE, Robel P. Neurosteroids: biosyn-thesis of pregnenolone and progesterone in primary cultures of rat glial cells. Endocrinology 1989;125:2083-91.
Mellon SH, Deschepper CF. Neurosteroid biosynthesis: genes for adrenal steroidogenic enzymes are expressed in the brain. Brain Res 1993;629:283-92.
Mellon SH. Neurosteroids: biochemistry, modes of action, and clin-ical relevance. J Clin Endocrinol Metab 1994;78:1003-8.
Akwa Y, Sananes N, Gouezou M, Robel P, Baulieu EE, Goascogne LEC. Astrocytes and neurosteroids: metabolism of pregnenolone and dehydroepiandrosterone. Regulation by cell density. J Cell Biol 1993; 121:135-43.
Kabbadj K, El-Etr M, Baulieu EE, Robel P. Pregnenolone metabolism in rodent embryonic neurons and astrocytes. Glia 1993;7:170-5.
Celotti F, Melcangi RC, Martini L. The 3α-reductase in the brain: molecular aspects and relation to brain function. Front Neuroendo- crinol 1992;13:163-215.
Akwa Y, Morfin RF, Robel P, Baulieu EE. Neurosteroid metabolism. 7α-hydroxylation of dehydroepiandrosterone and pregnenolone by rat brain microsomes. Biochem J 1992;288:959-64.
Cascio C, Pradad VVK, Lin YY, Lieberman S, Papadopoulos V. Proc Natl Acad Sci USA 1998;95:2862-7.
Rajkowski KM, Robel P, Baulieu EE. Hydroxysteroid sulfotrans- ferase activity in the rat brain and liver as a function of age and sex. Steroids 1997;62:427-36.
Baulieu EE. Neurosteroids: of the nervous system, by the nervous system, for the nervous system. Rec Prog Horm Res 1997;52:1-32.
Magoffin DA, Kurtz KM, Erickson GF. Insulin-like growth factor-I selectively stimulates cholesterol side-chain cleavage expression in ovarian theca-interstitial cells. Mol Endocrinol 1990;4:489-96.
Oonk RB, Krasnow JS, Beattie WG, Richards JS. Cyclic AMP- dependent and -independent regulation of cholesterol side chain cleavage cytochrome P-450 (P-450scc) in rat ovarian granulosa cells and corpora lutea. J Biol Chem 1989;264:21934-42.
Akwa Y, Schumacher M, Jung-Testas I, Baulieu EE. Neurosteroids in rat sciatic nerves and Schwann cells. C R Acad Sci (III) (Paris) 1993;316:410-4.
Costa E, Romeo E, Auta J, Papadopoulos V, Kozikowski A, Guidotti A. Is there a pharmacology ofbrain steroidogenesis? In: Costa E, Paul SM, editors. Neurosteroids and brain function. New York: Thieme Medical Publishers, 1991. pp. 171-6.
Papadopoulos V. Peripheral-type benzodiazepine/diazepam binding inhibitor receptor: biological role in steroidogenic cell function. En- docr Rev 1993;14:222-40.
Valera S, Ballivet M, Bertrand D. Progesterone modulates a neuronal nicotinic acetylcholine receptor. Proc Natl Acad Sci USA 1992;89: 9949-53.
Schumacher M, Coirini H, PfaffDW, Mcewen BS. Behavioral effects of progesterone associated with rapid modulation of oxytocin recep-tors. Science 1990;250:691-4.
Majewska MD, Harrison NL, Schwartz RD, Barker JL, Paul SM. Steroid hormone metabolites are barbiturate-like modulators of the GABA receptor. Science 1986;232:1004-7.
Mayo W, Dellu F, Robel P, et al. Infusion of neurosteroids into the nucleus basalis magnocellularis affects cognitive processes in the rat. Brain Res 1993;607:324-8.
Flood JF, Morley JE, Roberts E. Memory-enhancing effects in male mice ofpregnenolone and steroids metabolically derived from it. Proc Natl Acad Sci USA 1992;89:1567-71.
Vallee M, Mayo W, Darnaudery M, et al. Neurosteroids: deficient cognitive performance in aged rats depends on low pregnenolone sulfate levels in hippocampus. Proc Natl Acad Sci USA 1997;94: 14865-70.
Bologa L, Sharma J, Roberts E. Dehydroepiandrosterone and its sulfated derivative reduce neuronal death and enhance astrocytic differentiation in brain cell cultures. J Neurosci Res 1987;17:225-34.
Koenig H, Schumacher M, Ferzaz B, et al. Progesterone synthesis and myelin formation Schwann cells. Science 1995;268:1500-3.
Brockes JP, Fields KL, Raff MC. Studies on cultured rat Schwann cells. I. Establishment of purified populations from cultures of pe-ripheral nerve. Brain Res 1979;165:105-18.
Kleitman N, Wood PM, Bunge RP. Tissue culture methods for the study of myelination. In: Banker G, Goslin K, editors. Culturing nerve cells. London: Bradford Books, 1991. pp. 337-77.
Fawcett JW, Keynes RJ. Peripheral nerve regeneration. Annu Rev Neurosci 1990;13:43-60.
Raivich G, Kreutzberg GW. Peripheral nerve regeneration: role of growth factors and their receptors. Int J Neurosci 1993;11:311-24.
Eccleston PA. Regulation of Schwann cell proliferation: mechanisms involved in peripheral nerve development. Exp Cell Res 1992;199: 1-9.
Schumacher M, Jung-Testas I, Robel P, Baulieu EE. Insulin-like growth factor I: a mitogen for rat Schwann cells in the presence of elevated levels of cyclic AMP. Glia 1993;8:232-40.
Morfin R, Young J, Corpechot C, Egestad B, Sjovall J, Baulieu EE. Neurosteroids: pregnenolone in human sciatic nerves. Proc Natl Acad Sci USA 1992;89:6790-3.
Raisinghani KH, Dorfman RI, Forchielli E, Gyermek L, Genther G. Uptake of intravenously administered progesterone, pregnenolon- enanedione and pregnenolonenanolone by the rat brain. Acta Endo-crinol 1968;57:393-404.
Eldridge CF, Bartlett M, Bunge RP, Wood PM. Differentiation of axon-related Schwann cells in vitro. I. Ascorbic acid regulates basal lamina assembly and myelin formation. J Cell Biol 1987;105:1023-34.
Melcangi RC, Magnaghi I, Cavarretta L, Martini, Piva F. Age-induced decrease of glycoprotein PO and myelin basic protein gene expression in the rat sciatic nerve. Repair by steroid derivatives. Neuroscience 1998;85:569-78.
Desarnaud F, Do Thi AN, Brown M, et al. Progesterone stimulates the activity of the promoters of peripheral myelin protein-22 and P0 genes in Schwann cells. J Neurochem 1998 (in press).
Sterling RJ, Gasc JM, Sharp PJ, Tuohimaa P, Baulieu EE. Absence of nuclear progesterone receptor in LH releasing hormone neurones in laying hens. J Endocrinol 1984;102:R5-R7.
Ramirez VD, Zheng J. Steroid receptors in brain cell membranes. In: Baulieu EE, Robel P, Schumacher M, editors. Contemporary endocrinology series. Neurosteroids: a new regulatory function in the nervous system. Totowa: Humana Press Inc., 1999. pp. 269-92.
El-Etr M, Akwa Y, Fiddes RJ, Robel P, Baulieu EE. A progesterone metabolite stimulates the release of gonadotropin-releasing hormone from GT1-hypothalamic neurons via the γ-aminobutyric acid type A receptor. Proc Natl Acad Sci USA 1995;92:3769-73.