H. H. Choi, P. B. Gray, T. W. Storer, O. M. Calof, L. Woodhouse, A. B. Singh, C. Padero, R. P. Mac, I. Sinha-Hikim, R. Shen, J. Dzekov, C. Dzekov, M. M. Kushnir, A. L. Rockwood, A. W. Meikle, M. L. Lee, R. D. Hays, and S. Bhasin
Division of Endocrinology, Metabolism, and Molecular Medicine, Charles R. Drew University of Medicine and Science (H.H.C., P.B.G., T.W.S., O.M.C., L.W., A.B.S., C.P., R.P.M., I.S.-H., R.S., J.D., C.D., M.L.L., S.B.), Los Angeles, California 90059; El Camino College (T.W.S.), Torrance, California 90506; ARUP Institute for Clinical and Experimental Pathology (C.D., M.M.K., A.L.R., A.W.M.), Salt Lake City, Utah 84124; and Division of General Internal Medicine, Department of Medicine, University of California (R.D.H.), Los Angeles, California 90095-1726
Abbreviations: DEXA, Dual energy x-ray absorptiometry; FFM, fat- free mass; HDL, high-density lipoprotein; HRQOL, health-related quality of life; LC-MS/MS, liquid chromatography-tandem mass spectrometry; LDL, low-density lipoprotein; QOL, quality of life; 1-RM, one- repetition maximum.
Dr. Shalender Bhasin, University of California School of Medicine, Drew- University of California-Los Angeles Reproductive Science Research Center, Division of Endocrinology, Metabolism, and Molecular Medicine, Charles R. Drew University of Medicine and Science, Los Angeles, California 90059; E-mail: sbhasin@ucla.edu.
Abstract
The objective of this study was to determine whether physiological testosterone replacement increases fat-free mass (FFM) and muscle strength and contributes to weight maintenance in HIV-infected women with relative androgen deficiency and weight loss. Fifty-two HIV-infected, medically sta-ble women, 18-50 yr of age, with more than 5% weight loss over 6 months and testosterone levels below 33 ng/dl were randomized into this double-blind, placebo-controlled trial of 24-wk duration. Subjects in the testosterone group applied testosterone patches twice weekly to achieve a nominal delivery of 300 μg testosterone over 24 h. Data were evaluable for 44 women. Serum average total and peak testosterone levels increased significantly in the testosterone group, but did not change in the placebo group. However, there were no significant changes in FFM (testosterone, 0.7 ± 0.4 kg; placebo, 0.3 ± 0.4 kg), fat mass (testosterone, 0.3 ± 0.7 kg; placebo, 0.6 ± 0.7 kg), or body weight (testosterone, 1.0 ± 0.9 kg; placebo, 0.9 ± 0.8 kg) between the two treatment groups. There were no significant changes in leg press strength, leg power, or muscle fatigability in either group. Changes in quality of life, sexual function, cognitive function, and Karnofsky performance scores did not differ significantly between the two groups. High-density lipoprotein cholesterol levels decreased significantly in the testosterone group. The patches were well tolerated. We conclude that physiological testosterone replacement was safe and effective in raising testosterone levels into the mid to high normal range, but did not significantly increase FFM, body weight, or muscle performance in HIV- infected women with low testosterone levels and mild weight loss. Additional studies are needed to fully explore the role of androgens in the regulation of body composition in women. (J Clin Endocrinol Metab 90: 1531-1541, 2005)
Introduction
IN THE UNITED STATES, women represent one of the fastest growing populations infected with HIV (1). AIDS is the fourth leading cause of death in women aged 18-45 yr. With the advent of highly active antiretroviral drugs, the prevalence of wasting has decreased in the U.S. and other developed countries; however, wasting is still one of the most prevalent complications of HIV infection worldwide (2-5). Weight loss in HIV-infected individuals is characterized by depletion in both lean and fat compartments (6) and is an important predictor of mortality, disability, and opportunistic infections (4, 7).
There is a high prevalence of low testosterone levels in HIV-infected women (8,9). Serum free testosterone levels are also lower in HIV-infected women with wasting than in those without weight loss (9). Several randomized, placebo-controlled trials have shown that testosterone supplementation leads to gains in lean body mass, body weight, and muscle strength in HIV-infected men with weight loss and low testosterone levels (10-16). In a pilot study of HIV- infected women (17), testosterone replacement was associated with a positive trend in weight gain, although changes in fat-free mass (FFM) were not significantly different between the placebo and testosterone groups. A follow-up study by Dolan et al. (18) among HIV-infected women with weight loss also revealed clinically insignificant increases in muscle strength and no significant increases in muscle mass among women treated with testosterone. However, the dose of the testosterone patch used in that study (18) (nominal testosterone delivery, 150 μg daily) was relatively small and raised serum testosterone concentrations into the middle of the normal female range.
The purpose of this study was to determine whether tes-tosterone administration in doses (nominal delivery, 300 μg daily) that raise serum testosterone concentrations into the high end of the normal female range in HIV-infected women with relative androgen deficiency (serum testosterone levels less than the median) and weight loss will increase FFM, improve muscle performance, and promote weight mainte-nance and improved health-related quality of life (HRQOL). The 300-μg dose was selected because it approximates the daily testosterone production rate in young, menstruating women and increases serum testosterone concentrations in HIV-infected women into the high end of the normal range for healthy, menstruating women (19).
Subjects and Methods
Informed consent
The protocol and statement of informed consent were approved by the institutional review boards of Charles Drew University of Medicine and Science and Harbor-University of California-Los Angeles Research and Education Institute. Written informed consent was obtained from each patient before entry into the study.
Study design
This was a single-site, double-masked, placebo-controlled, randomized trial in which the 24-wk treatment phase was preceded by a 2-wk screening and control period. Women who met the inclusion criteria were randomly assigned to either the control (group I) or treatment (group II) group. Group I received two placebo patches applied twice weekly, and group II received two testosterone patches applied twice weekly. We have shown previously that this testosterone regimen, designed to achieve a nominal testosterone delivery of 300 μg over 24 h, raises serum testosterone concentrations in HIV-infected women into the mid to high normal range for healthy, menstruating women.
Study participants
All participants were ambulatory, premenopausal HIV-infected women, 18-50 yr of age, who had lost 5-15% of their usual weight in the preceding 6 months. To be eligible for the study, subjects also had relative androgen deficiency, defined as early morning, serum testosterone level of less than 33 ng/dl, which is the median for normal premenopausal women in our laboratory (8). Exclusion criteria included the presence of any acute infectious illness, malignant neoplasm, fever, grade 3 or 4 diarrhea, significant cardiovascular or liver disease, uncontrolled hypertension, diabetes, respiratory disease, breast or endometrial cancer, hyperandrogenic disorders such as hirsutism and polycystic ovary disease, or history of previous intolerance to other transdermal systems. We also excluded patients with current or recent (last 6 months) use of illicit drugs. Those with aspartate aminotransferase, alanine aminotransferase, or alkaline phosphatase levels more than three times the upper limit of normal or serum bilirubin levels greater than 2 mg/dl were excluded. Women who were pregnant, seeking to become pregnant in the next 6 months, or breast feeding were also excluded. Those who were receiving or had received in the preceding 3 months drugs known to affect testosterone production or metabolism, such as ketoconazole, Megace, and/or anabolic/androgenic steroids, were excluded. Women taking stable retroviral agents or protease inhibitors (i.e. for longer than 12 wk before the study) were allowed to continue to use these same medications, and the others were advised not to initiate protease inhibitors 12 wk before or during the course of the treatment period.
Randomization
Subjects who met the eligibility criteria were assigned to receive either the placebo or testosterone patches, based on a randomization scheme using a block size of six.
Drug administration
Two testosterone (Watson Pharmaceuticals, Corona, CA) or two placebo patches were applied to the abdominal skin every 3-4 d in a twice a week regimen for 24 wk. The women were given a 4-wk supply of patches at a time, including four extra patches. The subjects were asked to return all used and unused patches. Compliance with drug therapy was monitored by counting the returned patches. All concomitant medications taken and any side-effects experienced during the study were recorded.
Outcome measures
The primary efficacy variable was change in FFM, measured using dual energy x-ray absorptiometry (DEXA), from baseline to the end of the 24-wk treatment period. Secondary efficacy variables included changes in body weight, whole body lean and fat mass, appendicular skeletal muscle mass, muscle strength, leg power, muscle fatigability, QOL, and Karnofsky performance scores. These outcomes were measured at baseline and after 12 and 24 wk of treatment.
On several occasions during the control and treatment periods, serum total and free testosterone levels were measured as markers of androgen bioavailability and serum LH, FSH, and SHBG levels were measured as independent markers of androgen action. The absolute number and percentage of CD4/CD8 counts and plasma HIV viral titers by quantitative PCR were measured at baseline and during wk 24 of the treatment period. The subjects were asked about and examined for adverse effects related to testosterone administration and skin tolerability of the patches every 4 wk. Hair growth was evaluated using the Ferriman and Galloway scale at baseline and during wk 6, 12, 18, and 24. Complete blood counts, blood chemistries, and urinalysis were checked during the control period and during wk 6, 12, 16, 20, and 24 of the study period. Plasma total cholesterol, high density lipoprotein (HDL) cholesterol, low density lipoprotein (LDL) cholesterol, and triglyceride levels were measured at baseline and during wk 12 and 24 of the treatment period.
Statistical analysis
Our primary efficacy variable, change in FFM from baseline to wk 24, was analyzed using an intent to treat analytical approach. Thus, all subjects in whom one posttreatment DEXA value was available were included in the analysis. For subjects in whom wk 24 values were not available, the last available value was carried forward. We also performed a per-protocol secondary analysis including subjects who completed 12 and 24 wk of treatment. Changes in FFM and weight were assessed at 12 and 24 wk posttreatment. Continuous data are reported as the mean ± SEM, and categorical data are reported as frequency tabulations. We used analysis of covariance, adjusting for baseline values to compare treatment groups in intent to treat analyses. For per- protocol analyses of subjects who completed treatment, we used repeated measures ANOVA with treatment (placebo or testosterone) and time in treatment (0, 12, or 24 wk) as the two factors. A two-tailed test value of P < 0.05 was considered significant.
Sample size estimates were based on the data from ongoing studies in Dr. Bhasin's laboratory, which demonstrated that replacement doses of testosterone induced an average 10% increase in FFM in otherwise healthy hypogonadal men over a 10-wk treatment period. Based on variance in that small sample (n = 7 hypogonadal men), power analysis indicated that 15 subjects/group would allow us to detect a 3-4% difference in lean body mass in the testosterone-treated group with 80% power at P < 0.05.
Methods
DEXA (QDR 4500A, Hologic Corp., Waltham, MA) was used to measure total body FFM and fat mass as well as appendicular and trunk fat and lean mass. The DEXA scanner was calibrated weekly using the manufacturer's body composition analysis step phantom (20, 21). Appendicular fat and lean masses were determined by adding the respective bilateral arm and leg masses (21, 22). Skeletal muscle mass was estimated from appendicular muscle mass (23).
Total testosterone levels were measured by an RIA that uses iodinated testosterone as tracer (8). The sensitivity, defined as hormone concentration corresponding to 90% B/B0 [percent bound in presence (B) and absence (B0) of analyte] point, was 0.008 nmol/liter (0.22 ng/dl). The intra- and interassay coefficients of variation were 13.2% and 8.2%, respectively.
The RIA was validated against liquid chromatography-tandem mass spectrometry (LC-MS/MS) method. To 200-pl aliquots of standards or serum, we added 20 μl internal standard d3-testosterone. The samples were then extracted with methyl-tert-butyl ether, and the solvent was evaporated under nitrogen and redissolved for derivatization in 300 μl hydroxylamine solution (1.5 mol/liter; pH 9). The derivatized testosterone was extracted with solid phase extraction columns (Strata X TM, Phenomenex, Torrance, CA) and eluted with methyl-tert-butyl ether. The solvent was evaporated, and the residue was reconstituted in the mobile phase and analyzed on a triple-quadrupole mass spectrometer (API 3000 OO, Applied Biosystems/MDS Sciex, Foster City, CA) equipped with Turboionspray ionization source. The chromatographic separation was performed on 50 X 2.0-mm Phenomenex Luna C18 5-μm columns. The mobile phase consisted of 70% methanol and 30% water containing 22 mmol/liter formic acid (24). Mass transitions monitored for testosterone were m/z 304 to 124 and 304 to 112, and those for d3-testosterone were m/z 307 to 124 and 307 to 112. A quantitative calibration was performed with every batch of samples with calibration standards prepared in 1% BSA at concentrations of 0.35, 1.73, 3.46, and 6.92 nmol/liter. The calibration in conjunction with the intensity of the transitions of internal standards was used to calculate testosterone con-centrations in unknown samples. The limit of detection was 0.035 nmol/ liter (1 ng/dl), and intra- and interassay coefficients of variation were less than 15.4% and 9.1% at concentrations less than 1.05 nmol/liter, respectively, and 8.3% and 5.7%, respectively, at higher concentrations.
The RIA and LC-MS/MS methods were compared by analyzing samples prepared in charcoal-stripped serum to which known amounts of testosterone had been added. These measurements demonstrated a correlation of 0.997 between the RIA and LC-MS/MS measurements. At some time points (baseline and last treatment day) where sufficient volume of serum was available, we also performed measurements of total testosterone concentrations by LC-MS/MS (24). Because of the limited sample volume, it was not always possible to perform LC- MS/MS and RIA on the same samples.
Free testosterone levels were measured by a sensitive equilibrium dialysis method (8), optimized to measure low concentrations with precision and accuracy. The sensitivity of the free testosterone assay is 0.6 μg/ml (2.0 pmol/liter), and the intra- and interassay coefficients of variation were 4.2% and 12.3%, respectively. Serum LH, FSH, and SHBG levels were measured by immunofluorometric assays (Delfia-Wallac, Gaithersburg, MD), with sensitivities of 0.05 U/liter, 0.15 U/liter, and 6.25 nmol/liter, respectively (20, 25). Intra- and interassay coefficients of variation were 10.7% and 13.0% for LH, 3.2% and 11.3% for FSH, and 10.0% and 10.2% for SHBG, respectively. Serum estradiol levels were measured by RIA with a sensitivity of 7.2 pmol/liter (2.5 μg/ml), and intra- and interassay coefficients of variation of 8% and 10%, respectively.
Measurement of muscle performance and stair-climbing power
We measured maximal voluntary strength in the leg press exercise by the one-repetition maximum (1-RM) method using Keiser leg press machine (Keiser Sport, Fresno, CA) (26). 1-RM was defined as the maximum amount of weight that a subject was able to lift once and only once using a Keiser seated leg press machine with pneumatic resistance (26). Immediately after a familiarization and warm-up period, subjects were positioned on the leg press machine with position measurements recorded for subsequent testing. The initial load was set at 50% of the subject's estimated 1-RM using reference values established in our laboratory. Subjects were first asked to perform eight repetitions of the leg press exercise at this load. After 1 min of rest, the subjects performed four repetitions at a load that was increased by approximately 20 kg. After a 2-min rest period, the load was increased progressively until the 1-RM was identified as the greatest amount of weight lifted through the complete range of motion. Strength tests were conducted in duplicate on nonconsecutive days, with scores required to be within 5%. Failure to meet this criterion required a third test. Only 15% of our subjects required a third test, and none required a fourth.
Power in the lower extremity was assessed using a leg extensor power rig (26). After an instruction period, Subjects performed five to 10 trials of right leg and hip extension, attempting to generate as much force as possible, accelerating the weighted flywheel from rest. The highest power score (watts) observed during these trials was recorded.
Muscle fatigability refers to the ability to sustain a submaximal contraction or to make repetitive dynamic contractions before fatiguing. The Keiser leg press was used for this test with the resistance set at 75% of subjects' pretreatment 1-RM. The criterion measure was total number of repetitions to failure, with failure defined as the inability to complete a repetition through the complete range of motion.
Stair-climbing power was measured using Margaria-Kalaman power test, which requires subjects to run up a staircase as fast as possible with time recorded by activation of switchmats on the 8th and 12th stairs. The power is calculated by dividing the time elapsed between switchmats into the product of the body weight, the vertical distance between switchmats, and the acceleration of gravity (9.8 m/sec-sec). Test-retest reliability is 0.85 with coefficients of variation of 2% over a period of 5 wk. Photoelectric cells interfaced with timers were used to record time. The time for the best of three trials was recorded.
QOL assessment
We assessed HRQOL using a previously developed, self-report in-strument (29-31) that assesses physical functioning (10 items), role limitations due to physical health problems (four items), social functioning (two items), bodily pain (two items), general mental health (five items), role limitations due to emotional problems (three items), vitality (four items), and general health perceptions (five items). Scales were scored on a 0-100 possible range, with higher scores indicating better HRQOL. Reliability estimates for these scales have been high (exceeding 0.7), and extensive support for their construct validity has also been documented (31).
We also assessed two additional aspects of HRQOL, namely, sexual function (four items) and cognitive function (three items). Sexual function was assessed by asking "how much of a problem was each of the following during the last 30 d?" for each of four statements rated on a five-point scale: lack of sexual interest, frequency of sexual activity, difficulty in becoming sexually aroused, and difficulty in enjoying sexual activity. Cognitive function was measured by asking "how much of the time during the last 30 d" for each of three questions. 1) Did you have trouble keeping your attention on an activity for long? 2) Did you have difficulty reasoning and solving problems? 3) Did you forget things that have happened? Each of these cognitive items was assessed on a six- point categorical response scale. Sexual and cognitive function scales were also scored on a 0 -100 possible range, with higher scores indicating better sexual and cognitive function. These items were derived from measures developed in the Medical Outcomes Study (www.rand.org/ health/surverys.html).
Results
Study subjects
Fifty-two HIV-infected women who met the eligibility cri-teria were randomly assigned to either the placebo (group I) or testosterone (group II) group (Fig. 1). Forty-four women completed 12 wk of study (22 in placebo group and 22 in testosterone group), and 38 women completed 24 wk of the study (18 in placebo group and 20 in testosterone group). The two groups were similar with respect to age, race, baseline weight and height, serum testosterone levels, and CD4/CD8 lymphocyte counts before treatment (Table 1). Baseline total and free testosterone levels were comparable between the testosterone and placebo groups.

Figure 1. Flow of subjects through the study.
Table 1. Baseline characteristics.

Compliance
There was no significant difference in the compliance rate, based on patch counts, between the groups (P = 0.63). Com-pliance rates were 97% in the placebo group and 96% in the testosterone group.
Hormone levels
At baseline, the testosterone levels of the placebo group did not differ significantly from those of the testosterone group according to RIA data (testosterone, 19.7 ± 3.3 ng/dl; placebo, 12.3 ± 12.0 ng/dl; P = 0.064). Baseline testosterone levels; assessed by mass spectrometry; did not differ between groups (testosterone, 28.9 ± 5.4 ng/dl; placebo, 20.4 ± 2.0 ng/dl; P = 0.156). Baseline free testosterone levels did not significantly differ between the groups (testosterone, 3.8 ± 0.7 μg/ml; placebo, 2.9 ± 0.5 μg/ml; P = 0.313).
The average RIA testosterone levels during the treatment period increased significantly in the testosterone group by 22.1 ± 4.0 ng/dl, but did not change in placebo-treated women (P < 0.005; Fig. 2 and Table 2). Maximum total testosterone levels also increased significantly in the testos-terone group, but not in the placebo group (testosterone, 54.1 ± 9.6 ng/dl; placebo, 14.8 ± 4.4 ng/dl; P = 0.001). Changes in total testosterone levels assessed by LC-MS/MS indicated significant increases in the testosterone, but not the placebo, group (testosterone, 24.5 ± 9.8 ng/dl; placebo, —0.1 ± 2.7 ng/dl; P = 0.024). The increments in serum testosterone levels measured by RIA and LC-MS/MS were not significantly different. Average free total testosterone levels during the treatment period increased only in the testosterone group (testosterone, 3.5 ± 0.4 μg/ml; placebo, —0.4 ± 0.2 μg/ml; P < 0.005). Peak free testosterone levels also increased in the testosterone group, but not in the placebo group (testosterone, 8.1 ± 1.0 μg/ml; placebo, 1.6 ± 0.6 μg/ml; P < 0.005).
Table 2. Hormone data.


Figure 2. Changes in average total testosterone levels (A), maximum total testosterone levels (B), average free testosterone levels (C), and maximum free testosterone levels (D) between subjects in the testosterone and placebo groups. Each of these measures of testosterone levels increased significantly in the testosterone group compared with the placebo group (P < 0.005). To convert serum total testosterone concentrations from nanograms per deciliter to nanomoles per liter, multiply serum concentrations in nanograms per deciliter by 0.0347. To convert serum free testosterone concentrations from picograms per milliliter to picomoles per liter, multiply the serum concentrations in picograms per milliliter by 3.47.
As reported previously, serum baseline SHBG levels were higher in these HIV-infected women than in those reported previously in healthy, menstruating women. Changes in se-rum SHBG levels were not significantly different between groups (testosterone, —4.8 ± 7.0 nmol/liter; placebo, —3.6 ± 6.6 nmol/liter; P = 0.896). FSH levels also did not change significantly in either group and did not differ between groups (testosterone, 0.7 ± 3.1 U/liter; placebo, —0.4 ± 2.2 U/liter; P = 0.784).
Body weight and body composition data
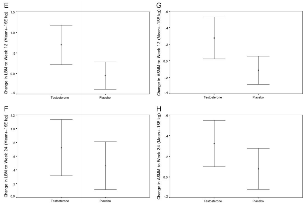
Intent to treat analysis revealed no significant changes in FFM from baseline to 24 wk between the two treatment groups (testosterone, 0.7 ± 0.4 kg; placebo, 0.3 ± 0.4 kg; P = 0.467; Fig. 3 and Table 3). FFM did not increase significantly in the treatment group compared with the placebo group using repeated measures ANOVA of values obtained at baseline, wk 12, and wk 24 (P = 0.466). Whole body fat mass was not significantly different between the two treatment groups using either an intent to treat (testosterone, 0.3 ± 0.7 kg; placebo, 0.6 ± 0.7 kg; P = 0.963) or per-protocol analysis. The change in fat mass did not differ significantly between the two treatment groups according to the per-protocol analysis (P = 0.666). There were no significant differences in the change in body weight between the two treatment groups according to either the intent to treat (testosterone, 1.0 ± 0.9 kg; placebo, 0.9 ± 0.8 kg; P = 0.952) or per-protocol analysis (P = 0.575). Changes in lean body mass were not different between the testosterone (0.7 ± 0.4 kg) and placebo (0.3 ± 0.4 kg) groups by intent to treat (P = 0.470) or per-protocol (P = 0.453) analysis. Appendicular lean body mass also did not show any difference in change between the testosterone (0.3 ± 0.2 kg) and placebo (0.1 ± 0.2 kg) groups according to intent to treat (P = 0.475) or per-protocol (P = 0.297) analysis.
Table 3. Body weight and body composition descriptive data.



Figure 3. Changes in FFM at 12 wk (A) and 24 wk (B), in fat mass at 12 wk (C) and 24 wk (D), in lean body mass at 12 wk (E) and 24 wk (F), and in appendicular lean body mass at 12 wk (G) and 24 wk (H) between subjects in the testosterone and placebo groups. None of the changes significantly differed between groups.
Measures of muscle performance
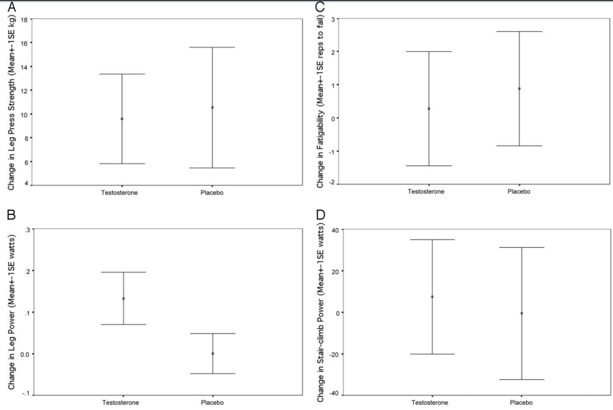
Changes in maximal voluntary strength in the leg press exercise (1-RM) did not differ between the two groups ac-cording to intent to treat (testosterone, 9.6 ± 3.8 kg; placebo, 10.5 ± 5.1 kg; P = 0.950) or per-protocol analysis (P = 0.882; Fig. 4 and Table 4). The changes in leg power, assessed on a power rig, were not significant between groups by either intent to treat (testosterone, 0.13 ± 0.06 watts/kg; placebo, 0.00 ± 0.05 watts/kg; P = 0.075) or per-protocol analysis (P = 0.701). Changes in stair-climbing power, measured by the Margaria power test, were not significantly different between groups by either intent to treat (testosterone, 7.38 ± 27.50 watts; placebo, —0.65 ± 31.77; P = 0.65) or per-protocol analysis (P = 0.85). Changes in muscle fatigability did not differ significantly between the testosterone-treated (0.3 ± 1.7 repetitions) and placebo-treated (0.9 ± 1.7 repetitions) women by either intent to treat (P = 0.882) or per-protocol analysis (0.806).

Figure 4. Changes in leg strength (A), leg power (B), leg muscle fatigability (C), and stair-climbing leg power (D). None of the changes differed significantly between groups.
Table 4. Measures of muscle performance.

Table 5. QOL measures.

QOL
There were no significant differences in the change in HRQOL scores between treatment (0.84 ± 4.48) and placebo (5.41 ± 5.10) groups by intent to treat analysis (P = 0.789).
Per-protocol analysis also showed no different in change in QOL (P = 0.847). None of the eight components of QOL showed significant differences between the two groups (Table 5).
Sexual function did not change according to intent to treat (testosterone, 6.75 ± 8.22; placebo, 12.81 ± 7.29; P = 0.916) and protocol (P = 0.723) analyses. Cognitive function scores similarly showed a lack of change between groups (testos-terone, 3.49 ± 4.36; placebo, 2.00 ± 4.62; intent to treat, P = 0.817; protocol, P = 0.747). Karnofsky performance scores did not differ significantly between the two treatment groups by either intent to treat (testosterone, 0.91 ± 0.91; placebo, —0.42 ± 0.42; P = 0.325) or protocol (P = 0.729) analysis.
Adverse experiences
There were no serious testosterone-related adverse events (Table 6). Fourteen women in the placebo group and 16 women in the testosterone group reported at least one adverse event (P = 0.57). Seven women in each group experienced at least one testosterone-related adverse event; the most common was mild acne. There was one case of severe acne in the testosterone group, which resolved by the end of the study. There was no significant change in hirsutism scores in either group, as evaluated by the Ferriman-Gallo- way scale (intent to treat, P = 0.450). Changes in absolute CD4 (intent to treat, P = 0.293) and percentage CD4 (intent to treat P = 0.566) counts and both absolute CD8 (intent to treat, P = 0.913) and percentage (intent to treat, P = 0.710) T lymphocyte counts were not significantly different between the two groups. The patches were well tolerated, and there were no discontinuations due to skin irritation.
Table 6. . Safety data in HIV-infected women after treatment with placebo or testosterone patches.

HDL cholesterol levels decreased significantly in the tes-tosterone group (intent to treat, P = 0.042), whereas LDL cholesterol (intent to treat, P = 0.207), total cholesterol (intent to treat, P = 0.248), and triglycerides (intent to treat, P = 0.719) did not change significantly. HDL cholesterol decreased by an average of 6 ± 2 mg/dl in the testosterone group and increased by an average of 4 ± 3 mg/dl in the placebo group.
Hemoglobin levels did not change according to the intent to treat analyses (testosterone, —3.11 ± 1.88 g/liter; placebo, 8.17 ± 4.74 g/liter; P = 0.32), although the per-protocol analyses indicated increased hemoglobin levels in the placebo group compared with the testosterone group (P = 0.03). Hematocrit levels did not differ by either intent to treat (testosterone, —0.01 ± 0.01 liter/liter; placebo, 0.02 ± 0.01 liter/liter; P = 0.29) or per-protocol analyses (P = 0.34).
Discussion
Our study demonstrated that testosterone replacement in HIV-infected women with weight loss and low testosterone levels is effective in raising serum total and free testosterone levels into the mid to high end of the normal range for healthy, menstruating women. However, testosterone ad-ministration was not associated with greater increments in FFM or body weight or improvements in measures of muscle performance compared with placebo. Although transdermal testosterone treatment was well tolerated, it was ineffective in improving HRQOL, including sexual and cognitive function.
The anabolic effects of testosterone have been the source of much controversy for over 6 decades (32-34). However, a consensus has emerged that administration of androgenic steroids to men is associated with gains in muscle mass and maximal voluntary muscle strength (33, 34). The anabolic effects of testosterone on the muscle are correlated with the administered dose of testosterone (20, 35). Testosterone re-placement of HIV-infected men with weight loss and low testosterone levels has been shown to increase lean body mass and muscle strength and promote weight maintenance (10, 11, 14). Therefore, it might seem paradoxical that testosterone administration to HIV-infected women did not significantly increase either FFM or muscle strength. Although it is possible that HIV infection and the attendant inflammatory state, poorer compliance than that achieved in our studies of healthy volunteers, and gender differences in response to testosterone might account for the differences in response compared with healthy men given graded doses of testosterone, it is more likely that the failure to observe clin-ically meaningful increases in FFM and muscle strength in HIV-infected women in this study is related to the small dose of testosterone used and the modest increments in circulating testosterone concentrations. Our dose-response data in men predict that significantly higher testosterone doses than those used in this study would be needed to achieve clinically significant gains in muscle mass.
There has been a lack of consensus on how to define androgen deficiency in women. Like many other studies of testosterone supplementation in women (17, 18, 36), we recruited women with serum total testosterone levels less than the median for healthy, young women; these studies, including our own, did not define androgen deficiency in terms of free testosterone level. It is possible that physiological testosterone replacement of women who are severely andro-gen deficient, as indicated by free testosterone levels that are clearly below the lower limit of normal for healthy young women, might increase FFM and muscle strength. This hy-pothesis should be explored in future trials. Our study was not powered to detect significant treatment effects in the subgroup of women whose serum free testosterone levels were clearly below the lower limit of normal for healthy, young women.
The issue of testosterone replacement in women has at-tracted considerable debate (37). We do not know whether it is desirable to replace testosterone in older women and women with chronic inflammatory conditions such as that associated with HIV infection. It has been speculated that testosterone replacement of older women with low testosterone levels would improve psychosexual function, sense of well-being, cognitive function, muscle performance, and physical function. A randomized, placebo-controlled, clinical trial using a transdermal testosterone patch has demonstrated improvements in several domains of sexual function and sense of well-being in surgically menopausal women with relative androgen deficiency (36). Transdermal testosterone administration in this trial increased serum total and free testosterone levels near or slightly above the upper limit of the normal female range (36). Administration of supra- physiological doses of testosterone to healthy women is associated with significant gains in nitrogen retention and FFM (38, 39). In another study, administration of testosterone gel modestly decreased whole body fat by an average of 2% (40). However, our data do not support the hypothesis that phys-iological testosterone replacement, defined as testosterone administration designed to increase serum testosterone levels into the mid to high end of the normal female range, is associated with gains in muscle mass and strength in HIV- infected women with weight loss. Our dose-response studies in men suggest that different testosterone-dependent functions have different dose-response relationships; thus, although sexual function is maintained at serum testosterone levels at the lower end of the normal male range, significantly higher testosterone levels are required to achieve clinically meaningful anabolic effects in men. Testosterone dose- response relationships have not been studied in women; it is possible that in women, also, higher testosterone levels might be needed to achieve clinically significant anabolic effects than those required to improve some aspects of sexual function.
Two previous studies have examined the effects of tes-tosterone replacement in HIV-infected women using trans-dermal testosterone patches (17,18). In an initial pilot study, Miller et al. (17) found no significant change in FFM at either of the two doses of transdermal testosterone (150 and 300 xg daily). In a subsequent study that included HIV-infected women with low body mass or weight loss, testosterone replacement at a nominal delivery rate of 150 daily was no more effective than placebo in increasing FFM (18). The researchers reported that the gains in strength of shoulder flexion and knee extension were significantly greater in testosterone-treated women than in placebo-treated women. However, the net gains in muscle strength in testosterone- treated women ranged from 0.4-0.7 kg; it is unclear whether testosterone-induced changes in muscle strength of such small magnitude are clinically significant. In our study we performed a comprehensive assessment of muscle perfor-mance and measured muscle fatigability and leg power in addition to measurement of muscle strength; none of these measures demonstrated improvements after testosterone ad-ministration. Thus, although our study differed from that of Dolan et al. (18) in testosterone dose and inclusion criteria, our data are in agreement with those of the previous study that raising testosterone levels in HIV-infected women with low testosterone levels into the mid to high normal range does not significantly increase muscle mass or strength.
The testosterone dose used in this study was associated with a low frequency of clinically significant side-effects. The skin tolerability of the patches was excellent. There was no increase in hair growth, as assessed by Ferriman and Galloway scale, or clitoral size. Plasma HDL cholesterol levels decreased modestly.
The concept of physiological testosterone replacement in women is predicated upon the assumption that testosterone dose-response relationships in women are different from those in men. The underlying assumption is that significant anabolic effects can be achieved at substantially lower testosterone doses and concentrations in women than those required to achieve similar anabolic effects in men. The dose dependency of the action of testosterone on body composition has not been well studied in women. Our data for men (20, 41) and published data for women (38, 42, 43) suggest that higher testosterone doses than that used in our study may be needed to produce significant gains in FFM in women. The safety and efficacy of such an approach requires testing in prospective, randomized clinical trials. Additional studies are needed to fully explore the physiological role of testosterone in regulation of body composition in women.
Acknowledgements
Watson Pharmaceuticals provided the placebo and transdermal matrix testosterone patches.
This work was supported by a grant from the Orphan Drug Program of the Food and Drug Administration (ODP001397). Additional support was provided by Grants 2RO1-DK-49296-02A, U54-HD-041748-01, and U01-DK-54047; Research Centers at Minority Institutions Grants P20- RR-11145, G12-RR-03026, and 5P41-RR-000954; University ofCalifornia AIDS Research Program DrewCares HIV Center Grant; and General Clinical Research Center Grant MO-00425.
Current address for L.W.: Department of Physical Rehabilitation, McMaster University, Hamilton, Ontario, Canada L8N 3Z5.
References
Karon JM, Rosenberg PS, McQuillan G, Khare M, Gwinn M, Petersen LR 1996 Prevalence of HIV infection in the United States, 1984 to 1992. JAMA 276:126-131
Wanke CA, Silva M, Knox TA, Forrester J, Speigelman D, Gorbach SL 2000 Weight loss and wasting remain common complications in individuals infected with human immunodeficiency virus in the era of highly active antiretroviral therapy. Clin Infect Dis 31:803-805
Dworkin MS, Williamson JM 2003 AIDS wasting syndrome: trends, influence on opportunistic infections, and survival. J Acquired Immune Defic Syndr 33:267-273
Wheeler DA 1999 Weight loss and disease progression in HIV infection. AIDS Read 9:347-353
Brantley RK, Williams KR, Silva TM, Sistrom M, Thielman NM, Ward H, Lima AA, Guerrant RL 2003 AIDS-associated diarrhea and wasting in northeast Brazil is associated with subtherapeutic plasma levels of antiretroviral medications and with both bovine and human subtypes of Cryptosporidium parvum. Braz J Infect Dis 7:16-22
Mulligan K, Tai VW, Schambelan M 1997 Cross-sectional and longitudinal evaluation of body composition in men with HIV infection. J Acquired Immune Defic Syndr Hum Retrovirol 15:43-48
Wheeler DA, Gibert CL, Launer CA, Muurahainen N, Elion RA, Abrams DI, Bartsch GE1998 Weight loss as a predictor of survival and disease progression in HIV infection. Terry Beirn Community Programs for Clinical Research on AIDS. J Acquired Immune Defic Syndr Hum Retrovirol 18:80-85
Sinha-Hikim I, Arver S, Beall G, Shen R, Guerrero M, Sattler F, Shikuma C, Nelson JC, Landgren BM, Mazer NA, Bhasin S 1998 The use of a sensitive equilibrium dialysis method for the measurement of free testosterone levels in healthy, cycling women and in human immunodeficiency virus-infected women. J Clin Endocrinol Metab [Erratum (1998) 83:2959] 83:1312-1318
Grinspoon S, Corcoran C, Miller K, Biller BM, Askari H, Wang E, Hubbard J, Anderson EJ, Basgoz N, Heller HM, Klibanski A 1997 Body composition and endocrine function in women with acquired immunodeficiency syndrome wasting. J Clin Endocrinol Metab 82:1332-1337
Bhasin S, Storer TW, Javanbakht M, Berman N, Yarasheski KE, Phillips J, Dike M, Sinha-Hikim I, Shen R, Hays RD, Beall G 2000 Testosterone replacement and resistance exercise in HIV-infected men with weight loss and low testosterone levels. JAMA 283:763-770
Bhasin S, Storer TW, Asbel-Sethi N, Kilbourne A, Hays R, Sinha-Hikim I, Shen R, Arver S, Beall G 1998 Effects of testosterone replacement with a nongenital, transdermal system, Androderm, in human immunodeficiency virus-infected men with low testosterone levels. J Clin Endocrinol Metab 83:3155-3162
Dobs AS, Cofrancesco J, Nolten WE, Danoff A, Anderson R, Hamilton CD, Feinberg J, Seekins D, Yangco B, Rhame F 1999 The use of a transscrotal testosterone delivery system in the treatment of patients with weight loss related to human immunodeficiency virus infection. Am J Med 107:126-132
Grinspoon S, Corcoran C, Parlman K, Costello M, Rosenthal D, Anderson E, Stanley T, Schoenfeld D, Burrows B, Hayden D, Basgoz N, Klibanski A 2000 Effects of testosterone and progressive resistance training in eugonadal men with AIDS wasting. A randomized, controlled trial. Ann Intern Med 133:348-355
Grinspoon S, Corcoran C, Askari H, Schoenfeld D, Wolf L, Burrows B, Walsh M, Hayden D, Parlman K, Anderson E, Basgoz N, Klibanski A 1998 Effects of androgen administration in men with the AIDS wasting syndrome. A randomized,double-blind,placebo-controlled trial. Ann InternMed 129:18-26
Coodley GO, Coodley MK 1997 A trial of testosterone therapy for HIV- associated weight loss. AIDS 11:1347-1352
Kong A, Edmonds P 2002 Testosterone therapy in HIV wasting syndrome: systematic review and meta-analysis. Lancet Infect Dis 2:692-699
Miller K, Corcoran C, Armstrong C, Caramelli K, Anderson E, Cotton D, Basgoz N, Hirschhorn L, Tuomala R, Schoenfeld D, Daugherty C, Mazer N, Grinspoon S 1998 Transdermal testosterone administration in women with acquired immunodeficiency syndrome wasting: a pilot study. J Clin Endocrinol Metab 83:2717-2725
Dolan S, Wilkie S, Aliabadi N, Sullivan MP, Basgoz N, Davis B, Grinspoon S 2004 Effects of testosterone administration in human immunodeficiency virus-infected women with low weight: a randomized placebo-controlled study. Arch Intern Med 164:897-904
Javanbakht M, Singh AB, MazerNA, Beall G, Sinha-Hikim I, Shen R, Bhasin S 2000 Pharmacokinetics of a novel testosterone matrix transdermal system in healthy, premenopausal women and women infected with the human immu-nodeficiency virus. J Clin Endocrinol Metab 85:2395-2401
Bhasin S, Woodhouse L, Casaburi R, Singh AB, Bhasin D, Berman N, Chen X, Yarasheski KE, Magliano L, Dzekov C, Dzekov J, Bross R, Phillips J, Sinha-Hikim I, Shen R, Storer TW 2001 Testosterone dose-response relationships in healthy young men. Am J Physiol 281:E1172-E1181
Woodhouse LJ, Gupta N, Bhasin M, Singh AB, Ross R, Phillips J, Bhasin S 2004 Dose-dependent effects of testosterone on regional adipose tissue distribution in healthy young men. J Clin Endocrinol Metab 89:718-726
Heymsfield SB, Smith R, Aulet M, Bensen B, Lichtman S, Wang J, Pierson Jr RN 1990 Appendicular skeletal muscle mass: measurement by dual-photon absorptiometry. Am J Clin Nutr 52:214-218
Kim J, Wang Z, Heymsfield SB, Baumgartner RN, Gallagher D 2002 Total- body skeletal muscle mass: estimation by a new dual-energy x-ray absorptiometry method. Am J Clin Nutr 76:378-383
Kushnir M, Rockwood A, Nelson G, Roberts WWM, Sensitive method for testosterone analysis in serum by LC-MS/MS [Abstract P2-569]. Proc of the 86th Annual Meeting of The Endocrine Society, New Orleans, LA, 2004
Bhasin S, Storer TW, Berman N, Callegari C, Clevenger B, Phillips J, Bunnell TJ, Tricker R, Shirazi A, Casaburi R1996 The effects of supraphysiologic doses of testosterone on muscle size and strength in normal men. N Engl J Med 335:1-7
Storer TW, Magliano L, Woodhouse L, Lee ML, Dzekov C, Dzekov J, Casa- buri R, Bhasin S 2003 Testosterone dose-dependently increases maximal voluntary strength and leg power, but does not affect fatigability or specific tension. J Clin Endocrinol Metab 88:1478-1485
Singh A, Hsia S, Aluapovic P, Sinha-Hikim I, Woodhouse L, Buchanan TA, Shen R, Berman N, Bhasin S 2002 The effects of varying doses of T on insulin sensitivity, plasma lipids, apolipoproteins, and C-reactive protein in healthy, young men. J Clin Endocrinol Metab 87:136-143
Bergman RN 1989 Lilly lecture 1989. Toward physiological understanding of glucose tolerance. Minimal-model approach. Diabetes 38:1512-1527
Hays RD, Cunningham WE, Sherbourne CD, Wilson IB, Wu AW, Cleary PD, McCaffrey DF, Fleishman JA, Crystal SC, Collins R, Eggan F, Shapiro MF, Bozzette SA 2000 Health-related quality of life in patients with human im- munodeficiencyvirus infection in the United States: results from the HIV Cost and Services Utilization Study. Am J Med 108:714-722
Lorenz K, Shapiro M, Asch S, Bozzette S, Hays RD 2001 Relationship of symptoms and health-related quality of life (HRQOL): findings from a national survey of persons with HIV infection. Ann Intern Med 134:854-860
Hays RD, Morales LS 2001 The RAND-36 measure of health-related quality of life. Ann Med 33:350-357
Wilson JD 1988 Androgen abuse by athletes. Endocr Rev 9:181-199
Bhasin S, Woodhouse L, Storer TW 2001 Proof of the effect of testosterone on skeletal muscle. J Endocrinol 170:27-38
Bhasin S, Woodhouse L, Storer TW 2003 Androgen effects on body composition. Growth Horm IGF Res 13(Suppl A):S63-S71
Woodhouse LJ, Reisz-Porszasz S, Javanbakht M, Storer TW, Lee M, Zerou- nian H, Bhasin S 2003 Development of models to predict anabolic response to testosterone administration in healthyyoung men. AmJPhysiol 284:E1009-E1017
Padero MC, Bhasin S, Friedman TC 2002 Androgen supplementation in older women: too much hype, not enough data. J Am Geriatr Soc 50:1131-1140
Shifren JL, Braunstein GD, Simon JA, Casson PR, Buster JE, Redmond GP, Burki RE, Ginsburg ES, Rosen RC, Leiblum SR, Caramelli KE, Mazer NA 2000 Transdermal testosterone treatment in women with impaired sexual function after oophorectomy. N Engl J Med 343:682-688
Kenyon AT, Sandiford I, Bryan AM, Knowlton K, Koch FC 1938 The effect of testosterone propionate on nitrogen, electrolyte, water and energy metabolism in eunuchoidism. Endocrinology 23:135-144
Dobs A, Nguyen T, Pace C, Roberts C 2002 Differential effects of oral estrogen versus oral estrogen-androgen replacement therapy on body composition in postmenopausal women. J Clin Endocrinol Metab 87:1509-1516
Gruber D, Sator M, Kirchengast S, Joura E, Huber J 1998 Effect of percutaneous androgen replacement therapy on body composition and body weight in postmenopausal women. Maturitas 29:253-259
Bhasin S 2000 The dose-dependent effects of testosterone on sexual function and on muscle mass and function. Mayo Clin Proc 75(Suppl):S70-S76
Davis SR 2004 The use of testosterone after menopause. J Br Menopause Soc 10:65-69
Davis S 2001 Testosterone deficiency in women. J Reprod Med 46:291-296