Rogerio A. Lobo, MD
Professor and Chairman, Department of Obstetrics and Gynecology, Columbia University College of Physicians and Surgeons, New York, New York.
Rogerio A. Lobo, MD, Department of Obstetrics and Gynecology, Columbia University College of Physicians & Surgeons, Columbia-Presbyterian Medical Center, 622 W. 168th Street, PH 16, New York, NY 10032-7302;
Abstract
The physiology of normal androgen production in women has not been well understood. Aging, per se, accounts for much of the reduction in both ovarian and adrenal androgen production; and natural menopause does not result in an abrupt decline in testosterone production. Therefore, the definition of an androgen deficiency state in women, in the absence of adrenal suppression and/or bilateral oophorectomy, has been difficult. Nevertheless there are well-documented beneficial effects of androgen on many organ systems, including bone and the brain. This review focuses on the physiology of androgens in postmenopausal women and includes a discussion of the definition of an androgen deficiency state, the anticipated effects of androgen on several parameters of health, and possible ways in which androgens may be administered to women.
Target Audience: Obstetricians & Gynecologists, Family Physicians
Learning Objectives: After completion of this article, the reader will be able to explain the physiology of androgen production in women, outline the risks of androgen replacement, and summarize the treatment options for a women with relative androgen deficiency.
Introduction
Androgen therapy for women has been proposed more frequently in recent years. Data will be examined critically in this review to assess the role of androgens in women and the potential therapeutical possibilities. The physiology of androgen production and its measurement will be discussed first. This will be followed by the role of androgens in the health of women and what may constitute an indication for androgen therapy. Finally, the efficacy of a variety of treatment options and their potential risks will be discussed and followed by some general recommendations.
Physiology of androgen production in women
Androgen production in women takes place in three compartments: the ovary, adrenal, and peripheral tissues. The peripheral compartment involves the interconversion of androgens, as well as the conversion of androgen to estrogen (via aromatase activity). in addition, the pilosebaceous unit is responsible for accentuating androgen action by converting testosterone and androstenedione to more potent androgens such as dihydrotestosterone and androstanedione (1, 2).
The production of androgens produced principally by the ovary and adrenal, and which are intercon- verted in peripheral tissues, is depicted in Figure 1. Serum DHEA-S signifies adrenal production with more than 90% being derived from this source. Another important circulating marker of adrenal production is 11 α-hydroxyandrostenedione (3). However, there is little information about this marker in the absence of hyperandrogenism or during the meno-pausal transition. Serum testosterone is an important marker of ovarian androgen production, although at least one third of circulating levels are derived via precursors from the adrenal. Testosterone levels remain constant during the menstrual cycle, but exhibit a midcycle peak coincident with the LH surge (4).

Figure 1. Ovarian, adrenal, and peripheral androgen secretion. Data adapted from (9), used with permission © The Endocrine Society.
Levels of the peripherally derived 5α-reduced androgens, such as 3α-androstanediol glucuronide and androsterone glucuronide, reflect enhanced skin 5α- reductase activity in the clinical disorders of hirsutism and acne (5, 6). After menopause, however, these levels decrease (7). This change reflects a decline in androgen substrate from the ovary and adrenal rather than a change in skin activity. The latter (skin 5α-reductase activity) does not decrease significantly after menopause (8).
After menopause, ovarian production of androgens does decrease significantly, but is more marked for androstenedione than for testosterone (9) (Table 1). There is controversy concerning the decline in testosterone levels after menopause. At least one recent report (10) suggests that testosterone levels increase between the fifth and sixth decades. The majority of studies, however, that will be cited below, point to no major change across the menopausal transition with values decreasing very gradually thereafter. Both testosterone and androstenedione are at least in part LH-dependent after menopause, as reflected by the reduction in levels (30%) after suppression of the postmenopausal levels of LH by a GnRH agonist (11) and antagonists (12, 13).
Table 1. Range of ovarian secretion rates of androgens and estrogens in young and postmenopausal women.

It is undeniable, however, that unlike estradiol production, the postmenopausal ovary continues to produce testosterone and androstenedione. In postmenopausal women undergoing oophorectomy, testosterone levels decrease by 50% (12) (Fig. 2). Therefore, although it may be difficult to ascertain that testosterone levels are decreased in perimenopausal women who have intact ovaries, all oophorectomized women by definition are androgen deficient. Table 2 depicts serum levels of androgens in postmenopausal women and those who have undergone oophorectomy.
Table 2. Plasma steroid levels in healthy women.


Figure 2. Serum androgens and estrogens after oophorectomy in postmenopausal women. Adapted from (14).
Several studies have examined androgen changes across the menopausal transition, in both cross-sectional and prospective studies (13-15). Total testosterone does not change appreciably until women are very much older (age group: 71-95 years), although androstenedione levels decrease much earlier (Fig. 3α and B). Levels of DHEA-S, however, decline as a function of age (16) and seem to be unaffected by menopausal or estrogen status per se. Mean 24-hour levels of testosterone decrease in women from age 20 to age 50 (17). However, this decline, is thought to reflect aging, in that the ratio of DHEA-S/T is con-stant over this time span (17) (Fig. 4). These data confirm that although aging affects levels of testosterone, these levels are not much different before and after menopause, and the small reduction in ovarian production is thought to result from declines in androstenedione.

Figure 3. Mean and range of androstenedione levels (A) and testosterone levels (B) in age groups of postmenopausal women and in controls. Aging groups are M1-3. Vertical rectangle = range. Horizontal bars = mean ± standard error of the mean. N = number of subjects. Adapted from Roger M, Nahoul K, Scholler R et al. Evolution of ageing of four plasma androgens in postmenopausal women. Maturitas 1980;2:171-177, © 1980, used with permission from Elsevier Science (16).

Figure 4. A, 24-hour mean plasma total testosterone (T) versus age in normal women. The regression equation was T (nanomoles per liter) = 37.8 x age (years)-1.12 (r = 0.54; P < .003); B, DHEAS-to-T ratio (moles per liter and nanomoles per liter, respectively) was age invariant, with a mean value of 3.0 ± 2.3. Adapted from (19) used with permission © The Endocrine Society.
After menopause, sex hormone-binding globulin (SHBG) levels decline to a small degree, which results in slightly higher levels of unbound, or free, testosterone (also calculated as a free-testosterone index). The reduction in SHBG reflects reductions in E2 and an increase in body mass index (BMI) (15). However, because of the wide range in values for testosterone and unbound T in perimenopausal women on an individual basis, it may not be possible to predict that a woman may have low levels (Fig. 5α and B). As a group, however, in women with intact ovaries, perimenopausal women not receiving estrogen have normal or slightly higher free androgen status. Among the steroids, which are most pertinent to this review, the ones that are influenced by SHBG are testosterone (70%) and estradiol (30%). Andro- stenedione and estrone have no significant binding to SHBG. Variables that increase SHBG levels (such as estrogen and thyroid hormone) would be expected to result in lower levels of unbound or free testosterone.

Figure 5. A, linear regression model: observed testosterone (T) and fitted levels of mean T across the menopausal transition. B, double logistic model: observed FAI and fitted levels of mean FAI across the menopausal transition. The left and right axes show FAI levels on the log and antilog scales, respectively. The horizontal axis represents time (years) with respect to FMP (o); negative (positive) numbers indicate time before (after) FMP. Adapted from (17) used with permission © The Endocrine Society.
Measurements of androgens
Part of the difficulty in determining whether an-drogens are normal, increased, or decreased is related to the variability in measurements. Although the radioimmunoassay for DHEA-S is reasonably consistent, upper ranges in women vary between laboratories. Values for increased levels have been reported to be as high as 4 p,g/ml. The lower part of the normal range also varies because DHEA-S levels decrease with age.
Even greater inconsistency occurs for measure-ments of testosterone. Methods used vary substantially, and even use of standardized methods such as radioimmunoassay (RIA) are variable depending on whether serum is extracted and/or undergoes chromatography before RIA. Upper normal ranges vary from 50 to 100 ng/dl. This has created difficulty in diagnosing the hyperandrogenism of women with polycystic ovary syndrome and has also challenged the notion of what low levels are in peri- and post-menopausal women. In general, testosterone levels are considered low if they are μ20 ng/dl, and values are usually below 10 ng/dl after oophorectomy (Table 2). The most sensitive measurement of testosterone bioavailability is unbound or free testosterone. The commercial assays for “free” testosterone are extremely inconsistent and have been considered to be invalid by some investigators (18). This is the case with the commercial kits currently in use. Dialysis systems are demanding technically and measure that moiety of testosterone not bound to either SHBG or albumin. Assay systems, which include the albumin moiety (unbound or non-SHBG-bound testosterone), are considered to better reflect biological activity, but are not always available. Salivary testosterone measurements are also considered to be highly variable (18). Therefore, many investigators prefer to use the free testosterone index, which is a calculated value, usually the ratio of testosterone to SHBG.
Determination of androgen deficiency
With these difficulties in measuring androgens, the definition of androgen deficiency has been elusive, and most clinicians must realize that what is being diagnosed is a “relative” deficiency. Only in the setting in which a woman has undergone bilateral oophorectomy can we be certain of androgen deficiency. Examples of a relative androgen deficiency would be women with androgen values in the low normal range and postmenopausal women receiving oral estrogen replacement, because SHBG levels are increased and unbound testosterone levels are lowered. This may or may not be the case for women receiving thyroid replacement, depending on how SHBG is affected. Additional conditions that may result in relative androgen deficiency are pituitary adrenal insufficiency, corticosteroid therapy, and chronic illnesses, including muscle-wasting diseases such as AIDS (19-21).
Is the concept of an androgen deficiency syndrome valid?
Some of the difficulty in accepting that androgen deficiency may be a valid entity in women is the confusion surrounding measurements, as described above. Indeed, in most perimenopausal women, testosterone and free testosterone levels are viewed to be normal. In addition, there are women with low levels (e.g., after oophorectomy) who do not complain of the symptoms, which will be discussed here. Finally, because testosterone is efficiently aromatized in many tissues including the brain (22, 23), it has been argued that the effects attributed to testos-terone may be because of estrogen and that estrogen replacement alone may be sufficient (24).
Nevertheless, there are several arguments favoring the legitimacy of a clinical syndrome relating to androgen deficiency: 1) it is accepted that symptomatology in women is highly individual; 2) even with estrogen deficiency, there is no direct correlation with blood levels; 3) with aging there is a decrease in testosterone production, although this is a relative decrease; 4) alterations in parameters of mood and well being are difficult to quantify. In many respects, the heterogeneity of the syndrome has been compared with that of PMS and primary dysmenorrhea, both not having a defining measurement and having variable symptomatology. Table 3 lists the symptoms commonly considered in relative androgen deficiency (RAD). A low-energy state in which motivation seems to be blunted has been considered to be a key feature of this symptom complex (25). This may extend to depressive or flat mood, a general decrease in the sense of well being, irritability, and insomnia. Finally, what has been considered to be an important circumstance of RAD is decreased sexual desire and libido.
Table 3. Symptoms of relative androgen deficiency (RAD).

It is imperative that these presenting symptoms occur in a setting that is not explained by systemic or psychiatric illnesses and that estrogen deficiency has been ruled out. Indeed, these symptoms may only be considered to constitute RAD if they persist or worsen, despite adequate estrogen replacement in a postmenopausal woman. Other causes of chronic fatigue should also be ruled out.
There is a paucity of consistent data linking de-creased androgen measurements to the symptoms listed above. Nevertheless, in terms of sexual function, testosterone and free testosterone have been correlated with decreased sexual frequency and desire (25, 26). In a small study, symptoms of de-creased sexual arousal and function have also been found to be more prevalent in women with testosterone levels μ10 ng/dl compared with those with levels >30 ng/dl (27). In addition, several controlled trials (reviewed below) do show an im-provement in parameters of sexual function and well being with testosterone replacement over the use of estrogen alone. There are also potentially important effects of androgen on bone and the musculoskeletal system. Androgen therapy, therefore, may enhance the opportunities for treatment of women with osteopenia and/or osteoporosis.
Effects of androgen on bone
Androgen receptors are present on osteoblasts (28). Bone cells also can metabolize precursors to testosterone and DHT (29). The number of androgen nuclear receptors are quite similar in men and women and also similar (although lower) than the number of estrogen receptors (30) (Fig. 6). Androgens inhibit bone resorption, although this effect may be mediated via estrogen. Aromatase activity is present also in bone cells, and both estrogen receptor deficiency and aromatase deficiency have been implicated in bone loss (31, 32). Nevertheless, more direct effects of androgen on bone also have been shown (33) and these are largely mediated by cytokines such as IL-1 and TGF-β, which play an important role in bone formation (34). Androgen production has been shown to be decreased in those women who have experienced vertebral crush fractures (35) (Fig. 7). Adrenal androgens have also been correlated with decreased bone mass (36, 37) as have measurements of testosterone and free testosterone (37-39).

Figure 6. Nuclear androgen and estrogen receptor binding in normal human osteoblast-like cells. The number of androgen re-ceptors is only slightly lower than the number of estrogen receptors in bone cells, and the values for women are slightly higher than the values for men. Adapted from Colvard DS, Eriksen EF, Keeting PE, et al. Identification of androgen receptors in normal human osteoblast-like cells. Proc Natl Acad Sci USA 1989;86: 854-857 (32) used with permission.

Figure 7. Sex hormone production in patients with vertebral crush fractures. Using radioactive-labeled hormones, the metabolic clearance rate was determined and used to calculate daily production rates. Note that androgen production is significantly decreased in osteoporotic patients compared with age-matched controls, although there is no difference in estrogen production. Adapted from Maturitas, 6, Longcope G, Baker RS, Hui SL et al., Androgen and estrogen dynamics in women with vertebral crush fractures, pp. 309-318, © 1984, used with permission from Elsevier Science (37).
In concert with the postulated effect of androgen in enhancing bone formation, several studies have suggested an increase in bone mass in postmenopausal women when androgen has been added to estrogen therapy (40-43). Figure 8A and B depict the increase in bone mass with the addition of testosterone implants. Androgen therapy, when added to estrogen, is associated with increased markers of bone formation (44). When 2.5 mg of methyltestosterone is added to esterified estrogens, there are data to suggest that both spine and hip bone mass is increased more than that of estrogen alone (45) (Fig. 9). A 10% DHEA cream also has been shown to increase hip bone mass in postmenopausal women (46).

Figure 8. The effect of hormonal implants on bone mineral density (gm/cm2) in (A) the lumbar spine (L1-L4) and (B) the femoral trochanter (Troc); estradiol = E, (o); estradiol plus testosterone = E + Te (■). Error bars represent standard error of the differences between means (SED). Inner error bars are used to compare means between times for the same treatment. The comparison between the treatment groups is made with the outer error bars. If error bars do not overlap, i.e., differ by more than 2 SED, the means are significantly different by a P value of at least .05. Adapted from Davis SR, McCloud PI, Strauss BJG et al. Testosterone enhances estradiol’s effects on postmenopausal bone density and sexuality. Maturitas 1995;21:227-236, © 1995, used with permission from Elsevier Science (42).

Figure 9. Improvement in bone mineral density (BMD): conjugated estrogens versus estrogen + androgen. A, BMD (gm/cm3) of the lumbar spine (L1-L4); B, BMD (gm/cm3) of the hip (total). E, esterified estrogens; A, androgen; CEE, conjugated equine estrogens. *, 0.625 mg of esterified estrogens + 1.25 mg of methyltestosterone; t, 1.25 mg of esterified estrogens + 2.5 mg of methyltestosterone; ‡, 0.625 mg of conjugated estrogens; §, 1.25 mg of conjugated estrogens. Adapted from (47).
Serum testosterone also is lower in the muscle- wasting state of HIV-positive women, and improvements have been noted in muscle mass with the use of transdermal testosterone (47). Fat-free mass in postmenopausal women also is increased (48).
There also may be a role for testosterone for women with autoimmune diseases, although the data are preliminary. Because the male to female ratio is decreased in these diseases this possibility is indicated, and androgen may have a role in inhibiting the immune response (49, 50). Symptomatic improvements in rheumatoid arthritis have been noted with testosterone (51), as has the course of lupus erythematosus (52).
Although the focus of androgen treatment (as discussed above) should be in peri-or postmenopausal women, there has been some consideration of its use in premenopausal women. One of these conditions is premenstrual syndrome, and clinical trials are ongoing. However, in the absence of a muscle-wasting state (e.g., HIV-positive women) or perhaps in some women with significant osteopenia, there does not seem to be an indication for the use of androgen in hormonally intact premenopausal women. For the sake of completeness, it is important to mention here that young women with premature ovarian failure, or those with gonadal dysgenesis, would be potential candidates for androgen therapy as well.
Is androgen efficacious for symptoms of rad?
The concept of using androgen, with or without estrogen, in women to enhance various parameters of well being is not new and dates back to the 1940s (53-59). These studies, which were prospective, mostly used methyltestosterone and were considered to be beneficial for menopausal symptoms and general well being, and for libido, in particular (55, 57, 59). In the 1960s, methyltestosterone was added to esterified estrogens and received class approval from the Food & Drug Administration (FDA) only for the improvement in menopausal symptoms such as hot flushes.
More recent studies have focused on symptoms and well being, in addition to assessing bone mass changes as reviewed above. The studies showing benefit used testosterone as injections or implants as well as transdermal testosterone and oral methyltestosterone (40, 60-68). There is some evidence from these data that the most significant responses are observed in younger women who have undergone bilateral oophorectomy. The instruments used for assessment of well being and sexual function have not been standardized, and thus, some studies not showing a beneficial effect (69) may be criticized on this basis. This is particularly relevant when assessing measures of sexual function, which continue to be an issue for the FDA in approving formulations for use in women. Finally, there is controversy as to whether the improvements, which have been observed in prospective studies, are because of phar-macological rather than physiologic testosterone (T) replacement. Indeed, the data do suggest that levels of T above the physiologic range is necessary for significant improvement.
When women use oral estrogen replacement ther- apy/hormone replacement therapy (ERT/HRT), the increase in SHBG (approximately 75%) results in a substantial decrease in unbound, or free, testosterone. Several studies have specifically addressed the use of testosterone in estrogen replacement (40, 61, 67). Women who had androgen added had more energy and less problems with sexual function (61) as well as greater sexual frequency, sensitivity, and desire (68) (Fig. 10) as well as various measures of sexual satisfaction (40) (Fig. 11).

Figure 10. Mean sexual activity and libido scale scores after 8 weeks of double-blind treatment. Adapted from (70).

Figure 11. Summary graph of the effects on sexuality of either three monthly 50-mg estradiol implants alone (O) or 50-mg estradiol plus 50-mg testosterone (■) in postmenopausal women. The grand mean (i.e., means of 6,12,18, and 24 months) for each sexuality parameter is adjusted for baseline as a covariate. Error bars represent standard error of the differences between means. If the error bars do not overlap for a single parameter the difference is significant with a P value < .05. Adapted from Davis SR, McCloud PI, Strauss BJG et al. Testosterone enhances estradiol’s effects on postmenopausal bone density and sexuality. Maturitas 1995;21:227-236, © 1995, used with permission from Elsevier Science (42).
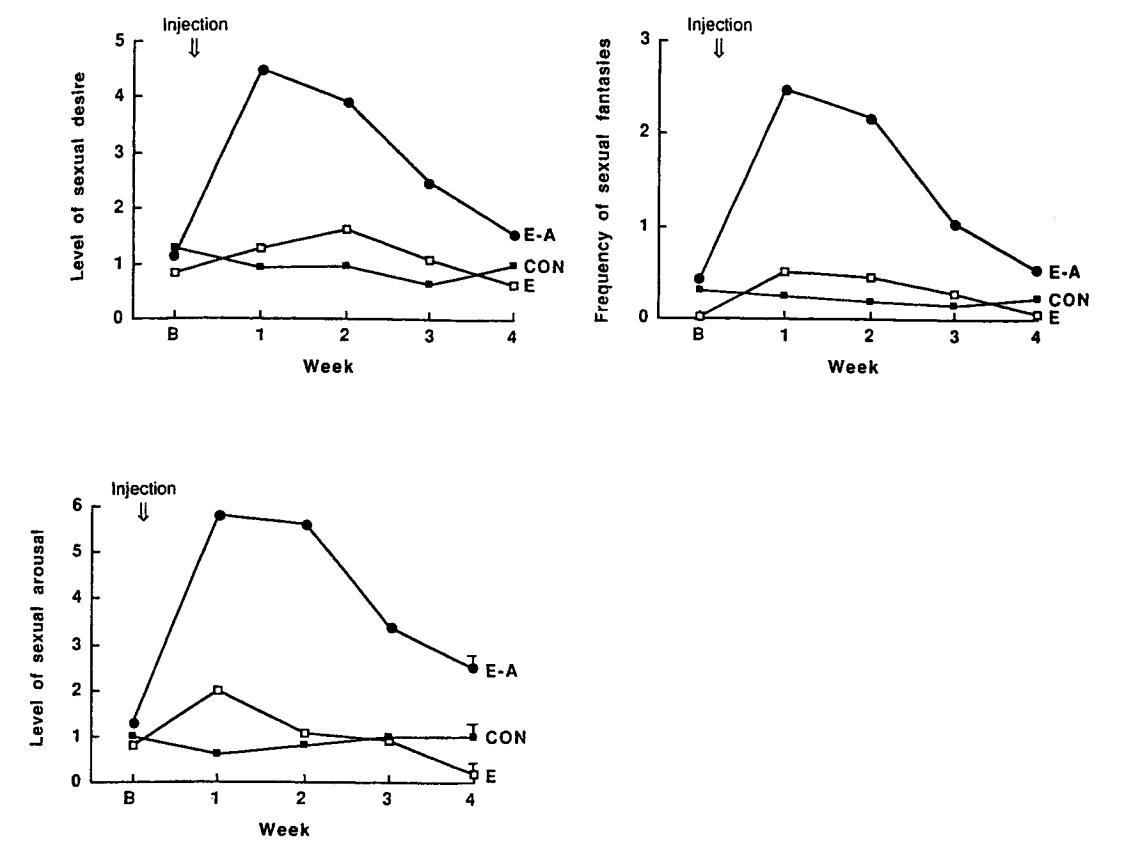
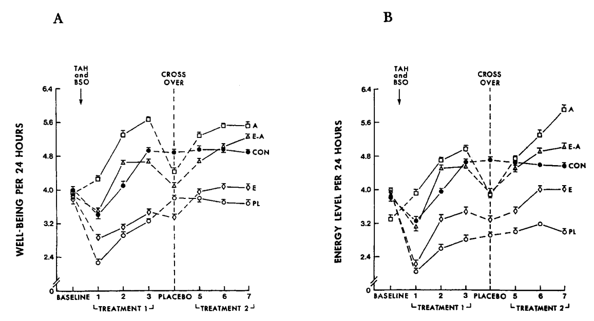
Classic studies in the mid-1980s provided evidence of a significant effect of injected testosterone over the effect of estrogen alone in oophorectomized women (63-65). This model provides the most extreme example of androgen deficiency (oophorectomy in premenopausal women). In addition, injected estrogen and testosterone provide a rapid pharmacological peak effect of both sex steroids with values often above 150 ng/dl for testosterone, as well as high levels of estrogen. In addition, this form of therapy typically results in an accumulation of ste-roid with even higher levels with repeated dosing. With prolonged therapy, symptoms precipitating the need for another injection precede normalization of testosterone levels. Nevertheless, these studies have shown that testosterone enhances sexual motivation (63) and that this function is maintained (65) (Fig. 12). Apart from sexual function, these studies have also been consistent with the other data reviewed indicating that the addition of androgen (over that of estrogen) enhances the sense of well being and en-ergy level in this cohort of women (64) (Fig. 13α and B).

Figure 12. Improvement in sexual symptoms with estrogen/androgen therapy. Adapted from Sherwin et al., Psychosom Med 1987;49:397-409 (67). Used with permission.

Figure 13. A, well-being per 24 hours; B, energy level for 24 hours. Treatment groups are: estrogen-androgen group (E-A, A), estrogen-alone group (E, O), androgen-alone group (A, □), placebo group (PL, O), and control hysterectomy group (CON, •). Adapted from Sherwin et al., Am J Obstet Gynecol 1985;151:153-160 (66) used with permission from Mosby, Inc.
Physiology versus pharmacology
Is there evidence, then, that physiological replacement of androgen results in improvements in sexual function and sense of well being? As stated earlier, the studies showing benefit cited above used regimens that led to pharmacological levels of testosterone. In oophorectomized women, replacement of estradiol and testosterone using 50-mg pellets has been bone mass (40). Nevertheless, testosterone levels were above the normal range (approximately 90 ng/ dl), yet clearly less than those observed with injectable testosterone. In a recent study comparing two doses of transdermal testosterone for 12 weeks in addition to oral estrogen (67), serum testosterone levels averaged 64 and 102 ng/dl with the 150- and 300-μg testosterone patches (normal range 14-54 ng/dl). However, bioavailable testosterone was only in the upper normal range with the 300-μg patch (11.4 ± 9.5 ng/dl; normal range up to 12.7 ng/dl). Here, only the 300-μg dose resulted in statistically beneficial effects on sexual function and well being (67).
Data with the use of esterified estrogen and methyltestosterone are difficult to put into the perspective of physiological versus pharmacological interven tion. Although there are benefits attributed to the addition of methyltestosterone (not a native andro-gen) with lower dose of methyltestosterone (1.25 and 2.5 mg/day), the circulating levels of methylt-estosterone are relatively low; in the range of 20 to 30 ng/dl (70). Because methyltestosterone is at least as potent as testosterone (71), some androgenic biological effect is anticipated. An equally significant androgen effect may be attributable to the increase in unbound T with this therapy. De-spite concomitant oral estrogen use, SHBG levels are suppressed by methyltestosterone by approxi-mately 45% (68). Thus, the T/SHBG ratio has been shown to increase by 25% to 50%, which would place reduced unbound T levels into the normal range.
It is concluded, therefore, that although there is some evidence that androgen replacement at near-physiologic levels may be efficacious for symp-toms of sexual function and well being, more con-sistent benefits are achieved with levels that exceed (by some degree) the normal range. This might be even more of a requirement for younger women who have undergone bilateral oophorectomy. There is insufficient information at present to extrapolate the findings in oophorectomized women to the level of androgen needed in older women with intact ovaries.
Risks of androgen replacement
The risks of androgen replacement can be divided into those which are masculinizing (acne, hirsutism, alopecia, and clitoromegaly), somatic (fluid retention, bloating) and those which are potentially more serious (hepatocellular, cardiovascular, and cancer risks). There are no large studies quantifying the incidence of the risk of masculinization with injected testosterone. However, this risk does exist and depends on the level of testosterone achieved and the woman’s skin sensitivity. With injections of testosterone at 2- to 4-week intervals, there is a risk of levels to accumulate as stated earlier. In a report suggesting that this may lead to iatrogenic hirsutism, values of testosterone as high as 10 ng/dl required 6 months to normalize (R. Lobo, unpublished data, 2000). This effect has also been observed with the use of testosterone implants (pellets) when careful monitoring has not been carried out. However, with lower dose therapy, the overall risk is small. In a safety surveillance study of esterified estrogen and methyltestosterone (73), the risk of hirsutism was less than 5%, and in one other study, the side effects, with the addition of methyltestosterone, were not different from those of women receiving estrogen alone (74). Similarly, fluid retention (which tends to be more idiosyncratic) and bloating were rare, and there were no reports of hepatic toxicity, changes in liver function, or changes in blood pressure (73).
liver function, or changes in blood pressure (73).In terms of cardiovascular disease risk, oral methyltestosterone adversely affects high-density lipoprotein (HDL) cholesterol, with values decreasing by up to 20% from baseline (44, 74). However, low-density lipoprotein (LDL) is lowered to a similar extent as estrogen, as is lipoprotein (a) [Lp(a)]. Triglycerides, which tend to increase with oral estrogen, decrease by approximately 15% with methyltestosterone (44, 74). In terms of direct effects on the vasculature, there are data suggesting that testosterone may be beneficial for dilating coronary arteries, possibly via conversion by aromatase to estrogen (75). In addition, data in the cynomolgus monkey have shown that methyltestosterone does not negatively influence coronary vasodilation (76) (Fig. 14) and decreases coronary arterial LDL uptake (77). Thus, there are no known adverse cardiovascular effects of testosterone replacement, at least using the regimens and doses considered.

Figure 14. Effect on acetylcholine-induced coronary artery dilation of adding methyltestosterone to esterified estrogens. Tx, treatment; EE, esterified estrogens; MT, methyltestosterone. Adapted from (78).
Androgen receptors are found frequently in breast cancer tissue and are generally associated with a good prognosis (78, 79). However there are no data suggesting a change in the risk status for developing breast cancer with the addition of androgen. Similarly, there is no difference in the risk of endometrial hyperplasia when comparing estrogen to estrogen- androgen therapy combination (80).
Androgen replacement: what is available?
Various androgen preparations are potentially available for use in women (Table 4). In general, injected testosterone is not recommended because of the pharmacological nature of this approach, the peaks and valleys associated with this therapy, as well as the risk of steroid accumulation. However, as mentioned above, intramuscular testosterone has been shown to be efficacious in oophorectomized women.
Table 4. Androgen replacement potentially viable for women.

Methyl- or fluorinated testosterone in large doses (as used occasionally by men) should not be used. In lower doses, methyltestosterone (1.25-2.5 mg) with esterified estrogens has been shown to be beneficial for menopausal symptoms, bone mass, and possibly sexual function and quality of life variables. The long-term safety of this product has also been re-ported (73).
Testosterone undecenoate, an oral form of replacement, is available in Europe and Canada and is believed to be efficacious in that it is absorbed via the lymphatics, particularly if ingested with a fat load (e.g., milk). Because it is marketed for men with hypogonadism, it is unclear what dose should be considered for women. High testosterone levels have been observed with 20 mg/day (81).
Testosterone implants, also known as pellets (50 mg), are inserted at 4- to 6-month intervals with a trocar (the same as used for estradiol pellets), which have been more thoroughly studied (82). Monitoring is mandatory with this therapy and in particular, testosterone levels should be obtained before a repeat insertion. Although values vary considerably among subjects, values remain fairly constant for each individual, which is a characteristic of this method of hormonal replacement (82, 83). As stated earlier, values are usually at the upper level of the normal range 70 to 90 ng/dl.
The transdermal patch (150 pg or 300 pg) has not been approved as yet for use in women. Efficacy in short-term studies has been shown for the higher dose (300 pg), and values are generally in the physiological range with no adverse findings (67). The pharmacokinetics of the 3 1/2-day patch in normal and HIV-infected women (with lower T levels) is de-picted in Figure 15 (84).

Figure 15. Serum total testosterone levels in healthy, menstruating women (A) and HIV-infected women (B). The normal range in healthy, menstruating women is shown by heavy dotted lines, the baseline circadian-free testosterone levels by light dotted lines, and serum levels during the second TMTDS application period by solid lines. The data are the mean ± SEM. To convert total testosterone levels from nanograms per deciliters to nonomoles per liter, multiply by 0.03467. Adapted from (86) used with permission © The Endocrine Society.
The hydroalcoholic gel of testosterone has been approved for men in whom the pharmacokinetics have been well worked out, and its efficacy has been shown for sexual function, mood, muscle strength, and body composition (85, 86). The 5-gm dose in men provides physiological replacement with steady- state levels of approximately 600 ng/dl (Fig. 16). By extrapolation, the dose required in women would be approximately 1 gm/day or less, although this has not been established.

Figure 16. Data from product insert: AndroGel, Unimed Pharmaceuticals, Inc., Buffalo Grove, IL, 60089-1684.
Oral micronized DHEA has been used in various clinical trials (87-89). Although not the most efficient or efficacious way to deliver testosterone, this approach is an option because levels may be doubled (Fig. 17). A recent study, however, has not confirmed the benefit of 50 mg/day for quality-of-life measures (89). Because DHEA can lower HDL-C levels and potentially affect hepatic function, consideration may be given to deliverDHEA vaginally or transdermally.

Figure 17. Mean percentage change in serum DHEAS, DHEA, testosterone, estrone, SHBG, and cortisol concentration in women treated with 50 mg of DHEA or placebo. Adapted from (91) used with permission © The Endocine Society.
Other approaches include the administration of testosterone vaginally, buccally, or sublingually. A new sublingual form (T cyclodextrin) has been developed for men. Because cyclodextrin is a carbohydrate, this method is thought to be useful because transport of testosterone occurs across mucous membranes (90). We have also used hydroalcoholic gels of andro- stenedione and DHT in various trials in women to assess androgen metabolism (91, 92). However, these approaches have not been subjected to efficacy trials in women.
Conclusions/recommendations
Although defining androgen deficiency in women is difficult, it is clear that women who have undergone bilateral oophorectomy are androgen deficient because the ovary is a major source of androgen even after menopause. A concept of relative androgen deficiency has been proposed to account for individual variability in androgen levels, as well as the biological requirements a woman may have for the effects of androgen. Also, androgen has powerful effects on the brain, musculoskeletal system (specifically bone), and other organ systems as well. Some of these effects, however, may be explained by conversion of androgen to estrogen (93, 94)
Symptoms of androgen deficiency fall into several categories. They include quality-of-life measures such as mood, affect, and energy, but of equal importance are those symptoms involving various aspects of sexual function such as motivation, arousal, and enjoyment. However, it should be realized that not all women will complain of these symptoms and that others will have improvements in various symptoms with estrogen therapy alone. That some women who are truly androgen-deficient (status postoophorectomy) feel and function well with estrogen-alone attests to the heterogeneous nature of the concept of androgen deficiency. Indeed, in estrogen-deficient women presenting with any of the symptoms discussed above, it is reasonable to institute estrogen therapy before considering the need for androgen. Because oral estrogen, if anything, causes greater androgen deficiency, at least biochemically (reduction in unbound T), consideration should be given to a nonoral form of estrogen for these complaints.
In considering androgen replacement, the data would suggest that efficacy requires testosterone levels that are at the upper normal range or higher. Given these levels, side effects such as hirsutism and acne are rare in clinical experience, but should still be considered. The only U.S. FDA-approved product (with androgen) is esterified estrogen in combination with 1.25 or 2.5 mg of methyltestosterone. Although there are some data to suggest safety and efficacy with this regimen, parenteral regimens are attractive alternatives. The testosterone pellets (50 mg) with which this author has personal experience is useful for some women and the transdermal patch and gel offer promise for the future.
References
Lobo RA. Hirsutism, alopecia, and acne. In: Becker KL, Rebar RW, eds. Principles and Practice of Endocrinology and Me-tabolism. JB Lippincott: Philadelphia, 1990, pp 834-848.
Stanczyk FZ, Matteri RK, Kaufman FR et al. Androstenedione is an important precursor of dihydrotestosterone in the genital skin of women and is metabolized via 5α-androstenedione. J Steroid Biochem Mol Biol 1990;37:129-132.
Carmina E, Stanczyk FZ, Chang L et al. The ratio of andro-stenedione: 11 β-hydroxyandrostenedione is an important marker of adrenal androgen excess in women. Fertil Steril 1992;58:148-52.
Abraham GE. Ovarian and adrenal contribution to peripheral androgens during the menstrual cycle. J Clin Endocrinol Metab 1974;39:340.
Serafini P, Ablan F, Lobo RA. 5α-reductase activity in the genital skin of hirsute women. J Clin Endocrinol Metab 1985; 60:349-355.
Carmina E, Stanczyk FZ, Mattteri RK et al. Serum andros- terone conjugates differentiate between acne and hirsutism in hyperandrogenic women. Fertil Steril 1991;55:872-876.
Paulson RJ, Serafini PC, Catalino JA et al. Measurements of 3α, 17β-androstanediol glucuronide in serum and urine and the correlation with skin 5α-reductase activity. Fertil Steril 1986;46:222-226.
Lobo RA, Serafini PC. Peripheral androgen metabolism (PAM) in postmenopausal (PM) women and the complaint of hirsut-ism. Presented at the Fourth International Congress on the Menopause, October 29 to November 2, 1984, Orlando, FL.
Longcope C. Adrenal and gonadal androgen secretion in normal females. Clin Endocrinol Metab 1986;15:213-228.
Laughlin G, Barrett-Connor E. Sexual dimorphism in the influ-ence of aging on androgen and estrogen levels: The Rancho Bernardo Study (Abstract). ENDO 2000: The Endocrine Soci-ety 82nd Annual Meeting; June 21-24, 2000. Toronto, Canada: 2000, p 1624.
Andreyko JL, Monroe SE, Marshall LA et al. Concordant sup-pression of serum immunoreactive LH, FSH, alpha subunit, bioactive LH and testosterone in postmenopausal women by a potent gonadotropin releasing hormone antagonist (detire- lix). J Clin Endocrinol Metab 1992;74:399.
Rabinovici J, Rothman P, Monroe SE et al. Endocrine effects and pharmacokinetic characteristics of a potent new GnRH antagonist (Ganirelix) with minimal histamine-releasing prop-erties: Studies in postmenopausal women. J Endocrinol Metab 1992;75:1220.
Dowsett M, Cantwell B, Lal A et al. Suppression of postmeno-pausal ovarian steroidogenesis with the luteinizing hormone-releasing hormone agonist goserelin. J Clin Endocrinol Metab 1988;66:672-677.
Judd HL, Judd GE, Lucas WE et al. Endocrine function of the postmenopausal ovary: concentration of androgens and es-trogens in ovarian and peripheral vein blood. J Clin Endocrinol Metab 1974;39:1020-1024.
Burger HG, Dudley EC, Hopper JL et al. The endocrinology of the menopausal transition: A cross-sectional study of a pop-ulation-based sample. J Clin Endocrinol Metab 1995;80: 3537-3545.
Roger M, Nahoul K, Scholler R et al. Evolution with ageing of four plasma androgens in postmenopausal women. Maturitas 1980;2:171-177.
Burger, HG, Dudley EC, Cui J et al. A prospective longitudinal study of serum testosterone, dehydroepiandrosterone sulfate, and sex hormone-binding globulin levels through the meno-pause transition. J Clin Endocrinol Metab 2000;85:2832- 2838.
Orentreich N, Brind JL, Rizer RL et al. Age changes and sex differences in serum dehydroepiandrosterone sulfate concentrations throughout adulthood. J Clin Endocrinol Metab 1984; 59:551-555.
Zumoff B, Strain GW, Miller LK et al. Twenty-four-hour plasma testosterone concentration declines with age in normal pre-menopausal women. J Clin Endocrinol Metab 1995;80:1429- 1430.
Rosner W. Measurement of androgens-methods and pitfalls. Androgens in Women: Physiology, Deficiency, and Emerging Therapeutic Potentials. The Endocrine Society Continuing Medical Education Services; June 22, 2000.
Wild RA, Buchanan JR, Myers C et al. Declining adrenal androgens: An association with bone loss in aging women. Proc Soc Exp Biol Med 1987;186:355-360.
Parker JR, Banter CR. Divergence in adrenal steroid secretory pattern after thermal injury in adult patients. J Trauma 1985; 25:508-510.
Findling JW, Buggy BP, Gilson IH et al. Longitudinal evalua-tion of adrenocortical function in patients infected with the human immunodeficiency virus. J Clin Endocrinol Metab 1994;79:1091-1096.
Roselli CE, Resko JA. Aromatase activity in the rat brain: Hormone regulation and sex differences. J Steroid Biochem Mol Biol 1993;44:499-508.
Bixo M, Backstrom T, Winblad B, Andersson A. Estradiol and testosterone in specific regions of the human female brain in different endocrine states. J Steroid Biochem Mol Biol 1995; 55:297-303.
Dow MGT, Hart DM, Forrest CA. Hormonal treatments of sexual unresponsiveness in postmenopausal women: A com-parative study. Br J Obstet Gynaecol 1983;90:361-366.
Bachmann GA, Leiblum SR. Sexuality in sexagenarian women. Maturitas 1991;13:43-50.
McCoy NL, Davidson JM. A longitudinal study of the effects of menopause on sexuality. Maturitas 1985;7:203-210.
Kaplan HS, Owett T. The female androgen deficiency syn-drome. J Sex Marital Ther 1993;19:3-24.
Mizuno Y, Hosoi T, Inoue S, et al. Immunocytochemical iden-tification of androgen receptor in mouse osteoclast-like multinucleated cells. Calcif Tissue Int 1994;54:325-326.
Bruch HR, Wolf L, Budde R, et al. Androstenedione metabo-lism in cultured human osteoblast-like cells. J Clin Endocrinol Metab1992;75:101-105.
Colvard DS, Eriksen EF, Keeting PE, et al. Identification of androgen receptors in normal human osteoblast-like cells. Proc Natl Acad Sci USA 1989;86:854-857.
Smith EP, Boyd J, Frank GR, et al. Estrogen resistance caused by a mutation in the estrogen-receptor gene in a man. N Engl J Med 1994;331:1056-1061.
Oin K, Fisher CR, Grumbach MM, et al. Aromatase deficiency in a male subject: Characterization of a mutation in the CYP19 gene in an affected family. Presented at the 77th Annual Meeting of the Endocrine Society, Washington, DC, June 1995.
Bellido T, Jilkka RL, Boyce BF, et al. Regulation of interleu-kin-6, osteoclastogenesis, and bone mass by androgens. The role of the androgen receptor. J Clin Invest 1995;95:2886- 2895.
Benz DJ, Haussier MR, Thomas MA, et al. High-affinity an-drogen binding and androgenic regulation of a: (l)-procolla- gen and transforming growth factor p steady state messenger ribonucleic acid levels in human osteoblast-like osteosar-coma cells. Endocrinology 1991;128:2723-2728.
Longcope C, Baker RS, Hui SL, et al. Androgen and estrogen dynamics in women with vertebral crush fractures. Maturitas 1984;6:309-318.
Nordin BEC, Robertson A, Seamark RF, et al. The relation between calcium absorption serum DHEA and vertebral min-eral density in postmenopausal women. J Clin Endocrinol Metab 1985;60:651-657.
Schlaghecke R, Beuscher D, Kley HK, et al. Age-related changes in 11 p-hydroxyandrostenedione concentration in normal and osteoporotic women. J Steroid Biochem Mol Biol 1991;40:731-733.
Jassal SK, Barrett-Connor E, Edelstein SL. Low bioavailable testosterone levels predict future height loss in postmeno-pausal women. J Bone Miner Res 1995;10:650-654.
Davidson BJ, Ross RK, Paganini-Hill A, et al. Total and free estrogens and androgens in postmenopausal women with hip fractures. J Clin Endocrinol Metab 1982;54:115-120.
Davis SR, McCloud PI, Strauss BJG et al. Testosterone en-hances estradiol’s effects on postmenopausal bone density and sexuality. Maturitas 1995;21:227-236.
Watts NB, Notelovitz M, Timmons MC. Comparison of oral estrogens and estrogens plus androgen on bone mineral density, menopausal symptoms and lipid-lipoprotein profiles in surgical menopause. Obstet Gynecol 1995;85:529-537.
Savvas M, Studd JWW, Fogelman I et al. Skeletal effects of oral estrogen compared with subcutaneous oestrogen and testosterone in postmenopausal women. Br Med J 1988;297: 331-333.
Savvas M, Judd JWW, Norman S et al. Increase in bone mass after one year of percutaneous oestradiol and testosterone implants in post menopausal women who have previously received long-term oral oestrogens. Br J Obstet Gynaecol 1992;99:757-760.
Raize LG, Wiita B, Artis A, et al. Comparison of the effects of estrogen alone and estrogen plus androgen on biochemical markers of bone formation and resorption in postmenopausal women. J Clin Endocrinol Metab 1996;81:37-43.
Young R, Barrett Connor E, Grimm R et al. Increased bone mineral density in surgically menopausal women treated with oral estrogen-androgen: A two-year double-blind study com-paring two doses each of conjugated estrogens and estro-gen-androgen (poster). Presented at a meeting of the Ameri-can Society for Reproductive Medicine, Cincinnati, October 1997.
Labrie F, Diamond P, Cusan L et al. Effect of 12- month dehydroepiandrosterone replacement therapy on bone, va-gina, and endometrium in postmenopausal women. J Clin Endocrinol Metab 1997;82:3498-3505.
Miller K, Corcoran C, Armstrong C et al. Transdermal testos-terone administration in women with acquired immunodefi-ciency syndrome wasting: A pilot study. J Clin Endocrinol Metab 1998;83:2717-2725.
Engelson ES, Rabkin JG, Rabkin R et al. Effects of testoster-one upon body composition. J Acq Immune Defic Syndr Hum Retrovirol 1996;11:510-511.
Cutolo M, Seriolo B, Sulli A et al. Androgens in rheumatoid arthritis. In: Bijlsma JWJ, Linden S, van der Barnes CG, eds. Rheumatology Highlights 1995. Rheumatol Eur 1995;24:211- 214.
Masi AT, Feigenbaum SL, Chatterton RT. Hormonal and preg-nancy relationships to rheumatoid arthritis: Convergent ef-fects with immunological and microvascular systems. Semin Arthritis Rheum 1995;25:1-27.
Booij A, Biewenga-Booij CM, Huber-Bruning O et al. Andro-gens as adjuvant treatment in postmenopausal female pa-tients with rheumatoid arthritis. Ann Rheum Dis 1996;55:811- 886.
Van Vollenhoven RF, Morabito LM, Engleman EG et al. Treat-ment of systemic lupus erythematosus with dehydroepiandro- sterone: 50 patients treated up to 12 months. J Rheumatol 1998;25:285-289.
Geist SH, Salmon UJ. Androgen therapy in gynecology. JAMA 1941;117:2207-2213.
Kurzrok L, Rothbart H. Treatment of female menopause with methyltestosterone and stilbestrol. Am J Surg 1942;61:636- 639.
Greenblatt RB, Barfield WE, Garner JF et al. Evaluation of an estrogen, androgen, estrogen-androgen combination, and a placebo in the treatment of the menopause. Comp Treat Menopause 1950;10:1547-1558.
Glass SJ, Shapiro MR. Androgen-estrogen treatment in the menopause. GP1951;3:39-42.
Birnberg CH, Kurzrok R. Low-dosage androgen-estrogen therapy in the older age group. Androgen-Estrogen Ther El-derly 1955;3:656-666.
Hood B, Cramer K. Effects on serum lipoprotein cholesterol of estrogen in combination with A4-androstenedione, testoster-one and methyltestosterone. Acta Med Scand 1959;165:459- 466.
Kupperman HS, Wetchler BB, Blatt MHG. Contemporary ther-apy of the menopausal syndrome. JAMA 1959;171:103/1627- 110/1634.
Cardozo L, Gibb DM, Tuck SM et al. The effects of subcuta-neous hormone implants during climacteric. Maturitas 1984; 5:177-184.
Burger HG, Hailes J, Menelaus M et al. The management of persistent menopausal symptoms with oestradiol-testoster-one implants: Clinical, lipid and hormonal results. Maturitas 1984;6:351-358.
Sherwin BB. Changes in sexual behavior as a function of plasma sex steroid levels in postmenopausal women. Matu-ritas 1985;7:225-233.
Sherwin BB, Gelfand MM, Brender W. Androgen enhances sexual motivation in females: A prospective, crossover study of sex steroid administration in the surgical menopause. Psy- chosom Med 1985;47:339-351.
Sherwin BB, Gelfand MM. Differential symptom response to parenteral estrogen and/or androgen administration in the surgical menopause. Am J Obstet Gynecol 1985;151:153- 160.
Sherwin BB, Gelfand MM. The role of androgen in the main-tenance of sexual functioning in oophorectomized women. Psychosom Med 1987;49:397-409.
Hickok LR, Toomey C, Speroff L. A comparison of esterified estrogens with and without methyltestoterone : Effects on endometrial histology and serum lipoproteins in postmeno-pausal women. Obstet Gynecol 1993;82:919-924.
Shifren JL, Braunstein GD, Simon JA et al. Transdermal tes-tosterone treatment in women with impaired sexual function after oophorectomy. N Engl J Med 2000;343:682-688.
Sarrel P, Dobay B, Wiita B. Estrogen and estrogen-androgen replacement in postmenopausal women dissatisfied with es-trogen-only therapy. Sexual behavior and neuroendocrine re-sponses. J Reprod Med 1998;43:847-856.
Myers LS, Dixen J, Morrissette D et al. Effects of estrogen, androgen, and progestin on sexual psychophysiology and behavior in postmenopausal women. J Clin Endocrinol Metab 1990;70:1124-1131.
Deleted in proof. Greene RR, Burrill MW, Oppenheimer E et al. Conditions modifying the effectiveness of testosterone, testosterone pro-pionate, and methyl testosterone. Endocrinology 1942;30: 734-740.
Urman B, Pride SM, Yuen BH. Elevated serum testosterone, hirsutism, and virilism associated with combined androgen- estrogen hormone replacement therapy. Obstet Gynecol 1991;77:595-598.
Phillips E, Bauman C. Safety surveillance of esterified estro- gens-methyl- testosterone (Estratest and Estratest HS) re-placement therapy in the United States. Clin Ther 1997;19: 1070-1084.
Barrett-Connor E, Timmons C, Young R et al. Estratest Work-ing Group. Interim safety of a two-year study comparing oral estrogen-androgen and conjugated estrogens in surgically menopausal women. J Women’s Health 1996;5:593-602.
Yue P, Chatterjee K, Beale C et al. Testosterone relaxes rabbit coronary arteries and aorta. Circulation 1995;91:1154-1160.
Honore EK, Williams JK, Adams MR et al. Methyltestosterone does not diminish the beneficial effects of estrogen replace-ment therapy on coronary artery reactivity in cynomolgus monkeys. Menopause 1996;3:20-26.
Wagner JD, Zhang L, Williams JK et al. Esterified estrogens with and without methyltestosterone decrease arterial LDL metabolism in cynomolgus monkeys. Arterioscler Thromb Vasc Biol 1996;16:1473-1480.
Recchione C, Venturelli E, Manzari A et al. Testosterone, dihydrotestosterone, and oestradiol levels in postmenopausal breast cancer tissues. J Steroid Biochem Mol Biol 1995;52: 541-546.
Bryan RM, Mercer RJ, Rennie GC et al. Androgen receptors in breast cancer. Cancer 1984;54:2436-2440.
Gelfand MM, FerenzyA, Bergeron C. Endometrial response to estrogen-androgen stimulation. In: Menopause: Evaluation, Treatment, and Health Concerns. New York: Alan R. Liss, Inc, 1989, pp 29-40.
Buckler HM, Robertson WR, Wu FCW. Which androgen re-placement therapy for women? J Clin Endocrinol Metab 1998; 83:3920-3924.
Lobo RA, March CM, Goebelsmann U et al. Subdermal estra-diol pellets following hysterectomy and oophorectomy. Effect upon serum estrone, estradiol, luteinizing hormone, follicle- stimulating hormone, corticosteroid binding globulin-binding capacity, testosterone-estradiol binding globulin-binding ca-pacity, lipids, and hot flushes. Am J Obstet Gynecol 1980; 138:714-719.
Stanczyk FZ, Shoupe D, Nunez V et al. A randomized com-parison of nonoral estradiol delivery in postmenopausal women. Am J Obstet Gynecol 1988;159:1540-1546.
Javanbakht, M, Singh AB, Mazer NA et al. Pharmacokinetics of a novel testosterone matrix transdermal system in health, premenopausal women and women infected with the human immunodeficiency virus. J Clin Endocrinol Metab 2000;85: 2395-2401.
Wang C, Berman N, Longstreth JA et al. Pharmacokinetics of transdermal testosterone gel in hypogonadal men: Applica-tion of gel at one site versus four sites: A general clinical research center study. J Clin Endocrinol Metab 2000;85:964- 969.
Wang C, Swerdloff RS, Iranmanesh A et al. Transdermal tes-tosterone gel improves sexual function, mood, muscle strength, and body composition parameters in hypogonadal men. J Clin Endocrinol Metab 2000;85:2839-2853.
Morales AJ, Nolan JJ, Nelson JC et al. Effects of replacement dose of dehydroepiandrosterone in men and women of ad-vancing age. J Clin Endocrinol Metab 1994;78:1360-1367.
Casson PR, Faquin LC, Stentz FB et al. Replacement of dehydroepiandrosterone (DHEA) enhances T-lymphocyte in-sulin binding in postmenopausal women. Fertil Steril 1995; 563:1027-1031.
Barnhart KT, Freeman E, Grisso JA et al. The effect of dehy- droepiandrosterone supplementation to symptomatic perim- enopausal women on serum endocrine profiles, lipid param-eters, and health-related quality of life. J Clin Endocrinol Metab 1999;84:3896-3902.
Wang C, Eyre DR, Clark R et al. Sublingual testosterone replacement improves muscle mass and strength, decreases bone resorption, and increases bone formation markers in hypogonadal man: A clinical research center study. J Clin Endocrinol Metab 1996;81:3654-3662.
Miles RA, Cassidenti DL, Carmina E et al. Cutaneous appli-cation of an androstenedione gel as an in vivo test of 5α- reductase activity in women. Fertil Steril 1992;58:708-712.
Duffy DM, Legro RS, Chang Let al. Metabolism of dihydrotes-tosterone to 5α-androstane-3α-17β-diol glucuronide is greater in the peripheral compartment that in the splanchnic compartment. Fertil Steril 1995;64:736-739.