B.M.Brady1, M.Walton1, N.Hollow1, A.T.Kicman3, D.T.Baird1 and R.A.Anderson2,4
1Contraceptive Development Network and 2MRC Human Reproductive Sciences Unit, Centre for Reproductive Biology, University of Edinburgh, Edinburgh and 3Drug Control Centre, King’s College London, UK
4To whom correspondence should be addressed at: MRC Human Reproductive Sciences Unit, The Chancellors Building, 49 Little France Crescent, Edinburgh EH16 4SB, UK; E-mail: r.a.anderson@hrsu.mrc.ac.uk.
Abstract
BACKGROUND: Combined testosterone and progestogen preparations are a promising approach to male hormonal contraception. We investigated the effect of s.c. etonogestrel with depot testosterone on spermatogenesis in normal men over a period of 48 weeks. METHODS: Fifteen healthy men received three s.c. 68 mg etonogestrel implants. Testosterone pellets (400 mg) were administered at 12 weekly intervals. RESULTS: Nine men completed 48 weeks of treatment. Four subjects chose to discontinue after 6 months, one man withdrew from the study early for personal reasons and one was withdrawn due to illness. Sperm concentrations of < 1 x 106/ml were achieved in all men by 16 weeks of treatment. All men became azoospermic, although the time to achieve this varied from 8 to 28 weeks. Azoospermia was maintained in eight of the nine men treated for 48 weeks, one subject showing partial recovery from 40 weeks. Testosterone levels remained in the physiological range throughout. Treatment did not result in weight gain, change in body composition or decline in high-density lipoprotein cholesterol concentrations. CONCLUSIONS: The combination of three etonogestrel implants with depot testosterone results in rapid and consistent suppression of spermatogenesis. This can be maintained for up to 1 year and may therefore be a suitable approach for a long-acting male hormonal contraceptive.
Key words: etonogestrel/male contraception/progestogen/spermatogenesis/testosterone
Introduction
Current approaches to male hormonal contraception are based on the withdrawal of the gonadotrophin support to the testis resulting in suppression of spermatogenesis and intratesticular testosterone (Anderson and Baird, 2002; Nieschlag et al., 2003). Two large international studies sponsored by the World Health Organization (WHO) administering high dose testosterone enanthate demonstrated that hormonal sup-pression of spermatogenesis sufficient for contraceptive effi-cacy is a possibility (World Health Organization Task Force on Methods for the Regulation of Male Fertility, 1990, 1996). However, such regimes resulted in metabolic side effects such as a fall in high-density lipoprotein cholesterol (HDL-C) concentration, acne and weight gain due to supra- physiological testosterone levels (Wu et al., 1996), and revealed ethnic polymorphism in spermatogenic response, with a lesser suppression among Caucasians than in Asians. Progestogens are effective suppressors of gonadotrophin secretion, but the concomitant fall in testosterone production by the testis necessitates the co-administration of androgen. The introduction of a progestogen acting synergistically with testosterone allows a lowering of the total testosterone dose avoiding unwanted metabolic effects, and may also enhance the degree of spermatogenic suppression, potentially by direct intra-testicular effects (Bebb et al., 1996; Meriggiola et al., 1996; McLachlan et al., 2002; Zhang et al., 2003). Several progestogens have been investigated in this context, including medroxyprogesterone acetate (Knuth et al., 1989; World Health Organization Task Force on Methods for the Regulation of Male Fertility, 1993; Handelsman et al., 1996; Turner et al., 2003), levonorgestrel (Bebb et al., 1996), cyproterone acetate (Meriggiola et al., 1996, 1998) and norethisterone enanthate (Kamischke et al., 2001). Promising results have been obtained using oral desogestrel, with high rates of azoospermia achieved in men from several ethnic backgrounds (Wu et al., 1999; Anawalt et al., 2000; Kinniburgh et al., 2002)
Compared with oral administration, a long-acting drug delivery system has advantages, including dose-sparing and the avoidance of hepatic exposure to high doses, both of which may contribute to the reduction of unwanted adverse effects. Moreover, it may be preferred by some individuals because of ease of compliance (Martin et al., 2000a). Etonogestrel, the active metabolite of oral desogestrel, has been marketed recently in many countries as a long-acting implant (Implanon®, NV Organon, Oss, The Netherlands) providing 3 years of contraceptive efficacy in women. We have reported previously our experience with one or two eto- nogestrel implants in combination with depot testosterone pellets (Anderson et al., 2002). Although profound suppression of spermatogenesis with minimal non-reproductive side effects was induced, azoospermia was achieved in only 64 and 75% of the one and two implant groups, respectively. Etonogestrel implants release ~ 50 μg/day, thus even with two implants the daily dose is markedly lower than the optimally effective dose of 300 μg desogestrel, which has ~ 80% oral bioavailability (Hasenack et al., 1986). There was therefore evidence for significant dose-sparing with the implant preparation but, as spermatogenic suppression was not complete in all men, we hypothesized that the addition of a third etonogestrel implant may enhance this spermatogenic suppression. In this study, we additionally have extended the duration of treatment to 48 weeks to investigate whether the steady decline in etonogestrel release from the implants will maintain suppression of gonadotrophins and thus spermatogenesis for that length of time, using the same testosterone regimen we have used previously in the investigation of both oral desogestrel and etonogestrel implants.
Methods
Subjects
Fifteen healthy men (mean age 31.6 years, range 18-37) were recruited from the same general population as previous studies (Anderson et al., 2002; Kinniburgh et al., 2002). Inclusion criteria included age (18 -45), mentally and physically healthy, body mass index (BMI) between 18 and 32kg/m2, normal pre-treatment FSH, LH and testosterone concentrations, routine haematological and biochemical analyses, two normal semen analyses according to WHO criteria at least 2 weeks apart, and a normal physical and andro- logical examination. Pre-treatment sperm concentrations were > 20 X 106/ml in all men, and motility and morphology were within normal ranges for the local population. Subjects provided written informed consent and the study had ethical approval from Lothian Reproductive Medicine Ethical Review Committee. The study was performed according to GCP guidelines.
Study design and medication
This study was a single-group open investigation of the effects of etonogestrel implants with testosterone pellets. The duration of the treatment period was 48 weeks, with those subjects who were not azoospermic discontinuing treatment if they wished at 24 weeks. Following pre-treatment assessment, three implants each containing 68 mg etonogestrel (Implanon, NV Organon, Oss, The Netherlands) were inserted s.c. in the medial aspect of the non-dominant upper arm to all subjects. All subjects additionally received 400 mg testosterone pellets (2 X 200 mg, NV Organon) inserted s.c. under local anaesthetic into the anterior abdominal wall on the day of insertion of the etonogestrel implants, and 12 weekly thereafter for the duration of the treatment period, i.e. at 12, 24 and 36 weeks.
During treatment and recovery, subjects attended at 4 weekly intervals for medical review, and for semen analysis and venesection. Additional blood samples were drawn pre-treatment and at weeks 4 and 12 between 07.30 and 09.30 (a.m. samples) and between 16.30 and 18.30 (p.m. samples) for testosterone measurement. Subjects were examined at weeks 12, 24, 36, 48 and at final visits, and a morning first-void urine sample was obtained at the same time points for measurement of epitestosterone. Bio-electrical impedence was determined as described (Davies and Preece, 1988; Gregory et al., 1991) using the Holtain Body Composition Analyser (Holtain Ltd, Dyfed, UK) and fat-free mass and percentage body fat determined for each subject at screening, 12 weekly thereafter and at 16 weeks of the recovery period. Throughout the study, any adverse events were noted at each visit. During the recovery phase, subjects attended at 4 weekly periods for a minimum of 16 weeks up to 24 weeks until semen analysis returned to normal by WHO criteria. Subjects with semen analysis below normal WHO criteria were followed-up beyond this period until normal values were attained.
Assays
Blood samples were obtained in fasting subjects (for glucose and lipids) and plasma separated by centrifugation at 4000 g for 15 min and stored at — 20°C until hormone assay. Testosterone was measured by radioimmunoassay (Corker and Davidson, 1978), and LH, FSH and sex hormone-binding globulin (SHBG) by a time- resolved immunofluorometric in-house assay. Assay sensitivity was 0.3 nmol/l for testosterone, 0.5 nmol/l for SHBG, 0.03 IU/l for FSH and 0.15 IU/l for LH. The intra-assay coefficients of variation (CVs) were < 10% for testosterone, FSH and LH, and 4% for SHBG. The inter-assay CVs were 12.4% for testosterone, < 10% for FSH and LH, and 8.8% for SHBG. Free testosterone was calculated as described (Vermeulen et al., 1999). Urinary epitestosterone concentrations (aglycone plus free fraction) were determined by gas chromatography-mass spectrometry as described and validated previously (Kicman et al., 1995; Coutts et al., 1997). Between-assay precision was < 8% for epitestosterone concentrations between 27 and 133 nmol/l, and 13.4% at 5 nmol/l. The assay sensitivity was 0.87 nmol/l. Inhibin B was measured in both serum and seminal plasma by methods previously described (Groome et al., 1996; Anderson et al., 1998) with an assay sensitivity of 7.8μg/ml. Etono- gestrel was measured by in-house radioimmunoassay by Organon NV, assay sensitivity 30 μg/ml. Intra-assay CV was 9% and inter assay CV was 14%. Samples were analysed for general haemato-logical and biochemical values (including total cholesterol and HDL-C) by routine autoanalyser at 12 weekly intervals.
Semen analysis
At all assessments, semen analysis was carried out using WHO methodology (World Health Organization, 1999). Local normal values for motility are > 27% grade a + b, or > 36% grade a + b + c and normal morphology > 15%. Azoospermia was confirmed following centrifugation of the whole semen sample. Centrifugation was performed at 3660 g for 15 min, and a sample was classified as azoospermic only after a systematic examination of the re-suspended precipitate indicated the complete absence of spermatozoa.
Behavioural assessment
Sexual activity and interest were investigated by means of a structured questionnaire used to quantify sexual activity over the preceding 2 week period (Anderson et al., 1992). This was carried out before treatment and at 12 weekly intervals thereafter.
Statistical analysis
Results are presented as mean ± SEM. Hormone data were log transformed and semen concentrations cube root transformed before analysis by ANOVA (analysis of variance) for repeated measures. Paired t-tests were used to investigate at what time points significant treatment effects were evident, with the exception of behavioural data which were analysed using the Wilcoxon matched pair test for non-parametric testing. For all comparisons, a P-value of < 0.05 was considered significant.
Results
Subjects, adverse events and withdrawals
Of the 15 men entering the study, nine completed 48 weeks of treatment. Four chose to leave the study after 24 weeks for personal reasons. One man was withdrawn from the study at 24 weeks due to inter-current illness (acute alcohol toxicity). One man withdrew from the study for personal reasons after 4 weeks treatment; thus data from this individual are not included in the analysis. Adverse events experienced included low mood (three subjects) and testosterone pellet extrusion (two subjects, replacement pellets administered), but none resulted in any subject withdrawing from the study. Removal of etonogestrel implants was uncomplicated in all men. Pre-treatment data are presented in Table I.
Table 1. Pre-treatment values for subjects included in the study.

Sperm concentrations
There was a profound suppression of spermatogenesis during the study (Figure 1), and all 14 men became azoospermic eventually. After 16 weeks of treatment, sperm concentration in all subjects was below the threshold of 1 X 106/ml, with 10 of 14 subjects (71%) azoospermic (Figure 1b). At 24 weeks, 11 men were azoospermic, and sperm concentrations were < 0.1 X 106/ml in the other three. These three were among the nine subjects who continued the study for the full 48 weeks, and all were azoospermic at 28 weeks. The range of time to azoospermia was 8-28 weeks, median 16 weeks. Eight men remained azoospermic until the end of the 48 week treatment period. One man showed partial recovery of spermatogenesis, with spermatozoa detectable at week 40 (0.7 X 106/ml) and sperm concentration increasing to 7 X 106/ml at 48 weeks.

Figure 1. Sperm concentrations during etonogestrel/testosterone treatment and the recovery period. Duration of treatment is indicated by the bars and the time points of testosterone implant insertion are indicated by arrows. Note the log scale on the ordinate. Data are presented as mean ± SEM, n = 14 for the first 24 weeks; thereafter nine men continued for 48 weeks. (b) Percentage of men achieving azoospermia ({■}), and concentrations of < 1 X 106ml ({■}) and l < 3 X 106/ml ({□}) at each time point during treatment.
During the recovery phase, 60% of subjects had reached sperm concentrations in the normal range by week 16, and 79% by week 24. Incomplete follow-up data were obtained in the subject who was discontinued from the study due to inter-current illness and in one other man. The remaining two subjects were followed-up until normal sperm concentrations were demonstrated at 32 and 48 weeks after implant removal.
Testosterone and epitestosterone concentrations
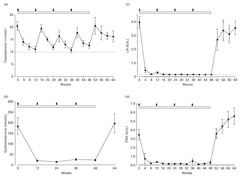
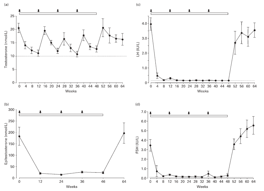
Serum testosterone concentrations remained within the normal physiological range throughout the treatment period, with fluctuations according to the timing of testosterone pellet re-administration (Figure 2a). A gradual decline was observed from pre-treatment values reaching statistical significance at week 4 (P = 0.0006) with a nadir at week 12. Following re-administration of testosterone at week 12, concentrations rose to levels that were not significantly different from baseline at week 16, with a similar pattern of fluctuation throughout the remainder of the treatment period. During the recovery phase, testosterone concentrations rapidly returned to pre-treatment concentrations. Calculated free testosterone concentrations showed a similar pattern, with nadir concentrations significantly lower than pretreatment (P < 0.01, Table II) and returning to pre-treatment levels during the recovery phase. During the treatment phase, free testosterone concentrations showed a gradual rise from week 12 (0.30 ± 0.03 nmol/l) to week 48 (0.39 ± 0.03 nmol/l), which was not statistically significant.
Table 2. Haematological, lipid, SHBG and free testosterone concentrations pre-treatment and during treatment at the indicated time-points and after 16 weeks recovery.


Figure 2. (a) Testosterone, (b) epitestosterone, (c) LH and (d) FSH concentrations during etonogestrel and testosterone treatment. The treatment period is indicated by the bars, with time points of testosterone pellet insertion indicated by arrows. Data are presented as the mean ± SEM. In (a), the broken line indicates the lower limit of the normal range. In (c and d), the lower limits of detection of the assays are indi-cated by broken lines; in (b), the limit of detection is 0.89 nmol/l.
Urinary epitestosterone concentrations were suppressed by week 12 (P = 0.001) to ~ 10% of pre-treatment concentrations (Figure 2b), remaining readily detectable in all samples. Epitestosterone concentrations remained consistently suppressed throughout treatment without significant change, returning to pre-treatment concentrations by 12 weeks of recovery.
A diurnal variation in serum testosterone concentrations was observed pre-treatment (Figure 3), concentrations in the morning being an average of 35% higher than in the early evening (P = 0.002). After 4 weeks of treatment, this was lost, with no significant differences between morning and evening concentrations. Concentrations at both times of day at 4 weeks, however, were not significantly different from pre-treatment early evening concentrations. At 12 weeks of treatment, mean testosterone concentrations were low, this being immediately prior to re-administration of the testos-terone pellets, but were again similar in the morning and evening. Comparison of the diurnal variation in testosterone concentrations between pre-treatment and 12 weeks showed a significant difference (P < 0.05).

Figure 3. Mean a.m. ■ and p.m. ■ serum testosterone concentrations (nmol/l) in subjects (n = 11) receiving etonogestrel and testosterone treatment at pre-treatment and after 4 and 12 weeks treatment. Data are presented as mean ± SEM. *P < 0.05 versus the a.m. sample.
Other reproductive hormones
Treatment with etonogestrel and testosterone resulted in pro-found suppression of both LH and FSH (P < 0.0001 versus pre-treatment from week 4 onwards). Some fluctuation in suppression was evident at 12 and 36 weeks (FSH) and 12 weeks (LH), at the times of trough testosterone concentrations (Figure 2c and d). During the later weeks of the study, LH was consistently suppressed to undetectable concentrations in all men at 24 weeks of treatment and for the rest of the treatment period in all men who continued to 48 weeks. Suppression of FSH was more variable, being detectable in up to two-thirds of subjects at time points of trough testosterone concentrations. More consistent partial recovery of FSH concentrations was seen in three men during the final 8 weeks of the study, particularly in the one individual who showed some restoration of spermatogenesis. In this individual, FSH during the second half of the treatment period was undetectable only at week 40, with a mean concentration between weeks 28 and 48 of 0.5 IU/l. Two further individuals with partial escape of FSH suppression (mean concentrations between weeks 28 and 48 of 0.1 and 0.8 IU/l) maintained azoospermia. Both gonadotrophins rapidly recovered following treatment. There was a progressive rise in FSH from weeks 4 to 16 of the recovery phase, at which time FSH concentrations were significantly higher than pre-treatment (P = 0.02).
Serum inhibin B concentrations showed a gradual decline over the course of treatment, continuing to week 48 (P < 0.001; Figure 4). This reached statistical significance from week 4 of treatment onwards (P = 0.047). By week 16 of the recovery phase, serum inhibin B levels showed only limited evidence of recovery, remaining significantly lower than pre-treatment (P < 0.001).

Figure 4. Serum inhibin B and (b) seminal plasma inhibin B concentrations during etonogestrel and testosterone treatment. The treatment period is indicated by the bars, with the time points of testosterone implant insertion indicated by arrows. Data are presented as mean ± SEM. The large error bar at 48 weeks (b) reflects partial recovery in one individual: seminal plasma inhibin B was undetectable in all other samples at that time.
Seminal plasma inhibin B concentrations were profoundly suppressed during treatment (P = 0.02 pre-treatment versus week 12). Seminal plasma inhibin B was undetectable in eight of 13 subjects by week 24. In the latter 24 weeks of the study, it was undetectable in all subjects except the individual who demonstrated recovery of spermatogenesis. This subject showed an increase in seminal plasma inhibin B at 36 weeks (having been at the limit of detection at week 24). This thus preceded detectable spermatogenic recovery, as at that time the subject was azoospermic but had a sperm concentration of 0.7 X 106/ml 4 weeks later.
SHBG showed a gradual decline over the treatment period (Table II). This reached statistical significance by week 4 (P = 0.0002) and continued to week 48. During recovery, SHBG returned to pre-treatment concentrations.
Table 3. Body composition data (weight, fat-free mass and % body fat) pre-treatment, 12 weekly during treatment and after 16 weeks of follow up.

Etonogestrel
Serum etonogestrel concentrations were highest 4 weeks after implant insertion, with a mean concentration of 765 ± 57 μg/ml. Etonogestrel concentrations showed a gradual decline thereafter (Figure 5), being 63% of peak levels at 24 weeks and 43% at week 48. Etonogestrel was undetectable in all subjects 4 weeks after implant removal. The individual who showed partial spermatogenic recovery had serum etonogestrel concentrations close to the group mean.

Figure 5. Etonogestrel concentrations during etonogestrel/testoster- one treatment (0-48 weeks) and 4 weeks after removal of etonogestrel implants, at which time it was undetectable in all men. Data are presented as mean ± SEM.
Lipids and haematology
Cholesterol concentrations showed a gradual fall during eto-nogestrel and testosterone treatment, statistically significant at week 24 (P = 0.006) and returning to baseline during recovery (Table II). Similarly, there was a decline in triglycerides, reaching significance at week 24 (P = 0.05) and week 48 (P = 0.02). There was no significant change in HDL-C levels with a small (10%) non-significant decline in LDL-C during the treatment period. There were no significant changes in other biochemical variables during the study period.
A small rise in haemoglobin concentrations was evident at week 48 (P = 0.003), which remained elevated during the recovery period. Haematocrit remained unchanged.
Body composition
There were no significant changes in body weight during the treatment or recovery periods. Likewise, body composition analysis showed no changes in fat free mass or percentage body fat (Table III).
Table 4. Sexual behaviour pre-treatment, 12 weekly during etonogestrel/testosterone treatment and after 16 weeks of follow-up.

Sexual behaviour
There was a slight increase in sexual activity (recorded as the sum of number of acts of sexual intercourse and masturbation over the preceding 2 weeks) at week 12 of treatment (P = 0.04). No changes in sexual activity at other time points were observed during the study (Table IV).
Discussion
One of the major hurdles in the development of a hormonal male contraceptive is the need for sufficient and universal suppression of spermatogenesis. Caucasian populations have shown heterogeneous responses to both testosterone alone and testosterone in combination with progestogens (World Health Organization Task Force on Methods for the Regulation of Male Fertility, 1990; Anderson and Baird, 2002), although the addition of a progestogen has generally increased the proportion of men achieving azoospermia. We and others previously have demonstrated very high rates of azoospermia using oral desogestrel as the progestogen (Wu et al., 1999; Anawalt et al., 2000; Kinniburgh et al., 2002). Administration of an implant preparation of etonogestrel, the active metabolite of desogestrel, also resulted in effective suppression of spermatogenesis (Anderson et al., 2002). In the present study, we have explored further both the dose- response relationship and the duration of action of etonoges- trel implants when administered with a depot testosterone preparation.
The present data demonstrate profound suppression of spermatogenesis with the combination of three etonogestrel implants and depot testosterone pellets, with all subjects achieving azoospermia. This compares favourably with our previous data using one (64% azoospermia) and two implants (75% azoospermia) over a 24 week period (Anderson et al., 2002) and is similar to that achieved with an oral dose of 300 mg desogestrel with the same regimen of testosterone administration (Kinniburgh et al., 2002). Although sample sizes do not allow demonstration of statistically greater spermatogenic suppression with three than two etonoges- trel implants, increased efficacy is supported by the more consistent suppression of gonadotrophins and of both serum and seminal inhibin B with three implants. The onset of sup-pression was rapid, with all subjects having sperm concen-trations of < 1 X 106/ml by week 16 of treatment. However, the time taken to reach azoospermia was considerably more variable, with three men maintaining very low but detectable numbers of sperm in the ejaculate to up to 28 weeks. Similar data are evident from the recent Australian efficacy study (Turner et al., 2003) despite the very rapid suppression achieved by that combination of testosterone pellets and depot medroxyprogesterone acetate (DMPA), whereby 94% of men achieved a sperm concentration of < 1 X 106/ml within 3 months. This may have significant implications for the practicality of the method, depending on the threshold required for acceptable contraceptive efficacy (Nieschlag, 2002).
Serum etonogestrel concentrations of ~ 1200 and 500- 800μg/ml were reported for 300 and 150 μg oral desogestrel, respectively (Wu et al., 1999; Anawalt et al., 2000). In the present study, the serum etonogestrel concentration at 12 weeks was ~ 600μg/ml. Thus the suppressive effect of this preparation is similar to that of 300 μg desogestrel per day, whereas the dose is similar to 150 μg/day. Dose-sparing is also evident with this preparation of testosterone (Handelsman et al., 1992), which maintains relatively stable serum concen-trations and particularly avoids the supraphysiological peaks observed with esters such as testosterone enanthate (World Health Organization Task Force on Methods for the Regulation of Male Fertility, 1990). The dose of testosterone administered here has no significant suppressive effect on spermatogenesis when given alone (Handelsman et al., 2000), and in combination with a progestogen may be the minimum effective dose. The advantageous features of this testosterone preparation will contribute to minimizing the intratesticular testosterone concentration which is recognized to be of importance in maximizing spermatogenic suppression (Meriggiola et al., 2002; Zhang et al., 2003).
The diurnal variation of testosterone concentrations in adult men has been well characterized (Faiman and Winter, 1971; Bremner et al., 1983) if not understood. The dose of testosterone which is physiological is usually considered to be that which reproduces the peak concentration observed in men during the morning (Nieschlag et al., 1992). This may result in the administration of a higher dose than that required for physiological replacement. In this study, we carried out a preliminary investigation of diurnal variation in serum testosterone before and during testosterone/progesto- gen administration, which we hypothesized would not be detectable during exogenous steroid administration if it was primarily due to variation in testosterone production rather than metabolism (Southren et al., 1967). The data confirmed that the diurnal variation of testosterone was lost during treat-ment, at both 4 and 12 weeks. Testosterone concentrations at 4 weeks were similar to pre-treatment evening samples; how-ever, they are probably lower than average over the duration of treatment. While the regimen used here provides the stan-dard replacement dose for hypogonadal men (800 mg every 6 months; Behre et al., 2004), administration of half the total dose every 12 weeks will result in slight under-replacement over the initial 12 weeks, with steady state reached after the second administration. The average testosterone concentration following second administration was 15.5nmol/l, which matches accurately the average 24 h concentration determined by frequent sampling in a group of young healthy men (Plymate et al., 1989). This regimen may therefore closely replace testosterone production based on physiological diurnal production rather than morning peaks. The lack of changes in non-reproductive functions such as lipoproteins, haematocrit and body composition observed in this study is strong evidence that the dose administered here (~ 5mg/day at steady state) provides close to physiological replacement, but this will need confirmation in longer studies assessing a wide range of androgen-dependent functions.
Gonadotrophin secretion was profoundly suppressed during treatment. This was particularly marked with LH. Suppression of FSH was more variable, but greater than with one or two implants (Anderson et al., 2002). The 12 week testosterone administration regimen also appears more effective at preventing FSH escape than the same total dose administered at 24 week intervals (Turner et al., 2003). Desogestrel and other progestogens may result in greater spermatogenic suppression than achieved by comparable gonadotrophin suppression using testosterone alone (McLachlan et al., 2002), consistent with direct testicular effects on steroidogenesis (Satyaswaroop and Gurpide, 1978; El-Hefwany and Huhtaniemi, 1998; El-Hefwany et al., 2000) or androgen metabolism (Mauvais-Jarvis et al., 1974). In the present study, FSH was incompletely suppressed during weeks 24-48 in three subjects, only one of whom showed sperma- togenic recovery. While adequate suppression of FSH is clearly necessary for achievement of azoospermia (Narula et al., 2001; Weinbauer et al., 2001), it appears that there is no clear threshold below which azoospermia can be confidently predicted, and that FSH suppression is only one of a number of potential determining factors for incomplete suppression or escape of spermatogenesis. Consistent with the reproducible suppression of LH, urinary excretion of epitestosterone fell to ~ 10% of pre-treatment values and remained at that level for the duration of treatment. Epitestosterone (17a-hydroxyandrost-4-en-3-one) is a natural epimer of tes-tosterone secreted predominantly by the testis (Kicman et al., 1999) which therefore provides a measure of endogenous tes-ticular secretion. Epitestosterone excretion during the present treatment regimen was similar to that previously reported during oral desogestrel/testosterone treatment of normal men (Kinniburgh et al., 2002), and is significantly higher than in hypogonadal men (Kicman et al., 1999). Direct measurement of intratesticular testosterone also indicates low ongoing tes-tosterone production despite near complete LH suppression (McLachlan et al., 2002).
The concentration of inhibin B provides an overall measure of Sertoli cell number and function including spermatogenesis (Anderson and Sharpe, 2000). While it would be expected that effective hormonal contraceptive regimens would result in significant falls in inhibin B concentrations, this has not always proved to be the case (Anawalt et al.,1996; Anderson et al., 1997; Zhengwei et al., 1998; Biichter et al., 1999; Martin et al., 2000b; Kinniburgh et al., 2002). We have not found significant changes in our previous studies with both oral desogestrel and etonogestrel implants despite the high prevalence of azoospermia. It is likely that changes in circulating inhibin B require profound regression of spermatogenesis more consistently throughout the testis than is achieved with some regimens (Anderson and Sharpe, 2000). This is supported by testis biopsy data showing variable degrees of spermatogenic regression between nearby seminiferous tubules despite induction of azoospermia (Zhengwei et al., 1998; McLachlan et al., 2002). It is possible that the fall in serum inhibin B contributed to the less consistent suppression of FSH than LH during the latter months of this study. The fall in inhibin B observed in the present study may reflect a greater consistency of suppression than is reflected purely by the prevalence of azoospermia. This is supported by the striking fall in the concentration of inhibin B in the ejaculate. A more variable fall was found in our previous study with one or two etonogestrel implants (Anderson et al., 2002). In the present study, we confirm and enlarge on this finding that changes in seminal inhibin B are a sensitive window into the seminiferous epithelium, as seminal inhibin B was profoundly suppressed in all men to a median of < 10μg/ml at 24 weeks treatment. This is supported by observations in the individual who demonstrated recovery of spermatogenesis during treatment, as the appearance of sperm in the ejaculate intriguingly was preceded by a partial recovery of seminal plasma inhibin B. Interestingly, both serum and seminal inhibin B showed only limited recovery over 16 weeks, while sperm concentrations had largely returned to normal, indicating complex relationships between these various markers of testicular function. Further investigation is required to establish the time scale for recovery of the endocrine function of the seminiferous epithelium following gonadotrophin suppression.
Other approaches using long-acting preparations have involved implants and depot injections. Levonorgestrel has also been administered in implant formulation (Norplant II®), with azoospermia achieved in 35% of subjects when given with transdermal testosterone patches and 93% of subjects in combination with weekly testosterone enanthate (Gao et al., 1999; Gaw Gonzalo et al., 2002). The combination with testosterone implants or long-acting injectable preparations has yet to be investigated. 7a-Methyl-19-nortestosterone (MENT), a synthetic androgen more potent than testosterone and resistant to 5a-reduction (Sundaram et al., 1993), has also been developed recently as an implant and a potential long-acting male contraceptive. However, even when up to four implants were used (a dose which resulted in significant effects related to excess androgenicity), 30% of men still had significant numbers of sperm in the ejaculate (von Eckardstein et al., 2003) consistent with the limitations of an androgen-only approach in Caucasian men. Thus, of implant approaches to date, the combination presented in this study exhibits higher levels of spermatogenic suppression with a more favourable side effect profile than any of the others. This beneficial therapeutic ratio is likely to reflect the pharmacokinetics of both the testosterone and progestogen preparations. Other promising long-term approaches include long-acting injectable testosterone undecanoate alone, achiev-ing high levels of oligozoospermia and azoospermia among Chinese men (Gu et al., 2003), the depot injectable combi-nation of norethisterone enanthate and testosterone undecanoate (Kamischke et al. 2002), and DMPA with testosterone pellets (Turner et al., 2003).
In conclusion, the results in this study demonstrate that administration of etonogestrel implants at an appropriate dose together with a long-acting testosterone preparation induces profound and consistent suppression of spermatogenesis that can be maintained for a period of 1 year. Whether this time period could be extended remains to be investigated. The maintenance of testosterone concentrations within the eugonadal range and the dose-sparing effects of the delivery methods involving constant release may contribute to the lack of non-reproductive effects. This approach may be a template as the basis for an acceptable, long-acting, and reversible male hormonal contraceptive.
Acknowledgements
We are grateful to Cathy Lane for assistance with the epitestosterone measurements, Nick Malone for assistance with care of subjects and semen analyses, and NV Organon for carrying out the etonoges- trel assays. This work was supported by a grant from the Medical Research Council and Department for International Development to the Contraceptive Development Network (grant no: G9523250).
References
Anawalt BD, Bebb RA, Matsumoto AM, Groome NP, Illingworth PJ, McNeilly AS and Bremner WJ (1996) Serum inhibin B levels reflect Sertoli cell function in normal men and men with testicular dysfunction. J Clin Endocrinol Metab 81,3341-3345.
Anawalt BD, Herbst KL, Matsumoto AM, Mulders TM, Coelingh-Bennink HJ and Bremner WJ (2000) Desogestrel plus testosterone effectively suppresses spermatogenesis but also causes modest weight gain and high- density lipoprotein suppression. Fertil Steril 74,707-714.
Anderson RA and Baird DT (2002) Male contraception. Endocr Rev 23, 735-762.
Anderson RA and Sharpe RM (2000) Regulation of inhibin production in the human male and its clinical applications. Int J Androl 23,136-144. Anderson RA, Bancroft J and Wu FCW (1992) The effects of exogenous testosterone on sexuality and mood of normal men. J Clin Endocrinol Metab 75,1503-1507.
Anderson RA, Wallace EM, Groome NP, Bellis A and Wu FCW (1997) Physiological relationships between inhibin B, follicle stimulating hor-mone secretion and spermatogenesis in normal men and response to gonadotrophin suppression by exogenous testosterone. Hum Reprod 12,746-751.
Anderson RA, Irvine DS, Balfour C, Groome NP and Riley SC (1998) Inhi- bin B in seminal plasma: testicular origin and relationship to spermatogenesis. Hum Reprod 13,920-926.
Anderson RA, Kinniburgh D and Baird D (2002) Etonogestrel implants with depot testosterone: dose-dependent suppression of spermatogenesis for long-acting male contraception. J Clin Endocrinol Metab 87,3640-3649.
Bebb RA, Anawalt BD, Christensen RB, Paulsen CA, Bremner WJ and Matsumoto AM (1996) Combined administration of levonorgestrel and testosterone induces more rapid and effective suppression of spermatogenesis than testosterone alone: a promising male contraceptive approach. J Clin Endocrinol Metab 81,757-762.
Behre HM, Wang C, Handelsman DJ and Nieschlag E (2004) Pharmacology of testosterone preparations. In Nieschlag E and Behre HM (eds) Testosterone Action Deficiency Substitution, 3rd edn. Cambridge University Press pp. 405-444.
Bremner WJ, Vitiello MV and Prinz PN (1983) Loss of circadian rhythmicity in blood testosterone levels with aging in normal men. J Clin Endocrinol Metab 56,1278-1281.
Büchter D, von Eckardstein S, von Eckardstein A, Kamischke A, Simoni M, Behre HM and Nieschlag E (1999) Clinical trial of transdermal testosterone and oral levonorgestrel for male contraception. J Clin Endocrinol Metab 84,1244-1249.
Corker CS and Davidson DW (1978) A radioimmünoassay for testosterone in various biological fluids without chromatography. J Steroid Biochem 9,373-374.
Coutts SB, Kicman AT, Hurst DT and Cowan DA (1997) Intramuscular administration of 5 alpha-dihydrotestosterone heptanoate: changes in urinary hormone profile. Clin Chem 43,2091-2098.
Davies P and Preece M (1988) The prediction of total body water using bioelectrical impedance in chidren and adolescents. Ann Hum Biol 15, 237-240.
El-Hefwany T and Huhtaniemi I (1998) Progesterone can participate in down-regulation of the luteinizing hormone receptor gene expression and function in murine Leydig cells. Mol Cell Endocrinol 137,127-138.
El-Hefwany T, Manna P, Luconi M, Baldi E, Slotte JP and Huhtaniemi I (2000) Progesterone action in murine Leydig tumour cell line (mLTC-1), possibly through a non-classical receptor type. Endocrinology 141, 247-255.
Faiman C and Winter JSD (1971) Diurnal cycles in plasma FSH, testosterone and cortisol in men. J Clin Endocrinol Metab 33,186-192.
Gao E, Lin C, Gui Y, Li L and He C (1999) Inhibiting effects of Sino- implant plus testosterone undecanoate (TU) on spermatogenesis in Chinese men. Reprod Contracept 10,98-105.
Gaw Gonzalo IT, Swerdloff RS, Nelson AW, Clevenger B, Garcia R, Berman N and Wang C (2002) Levonorgestrel implants (NorplantII) for male contraception clinical trials: combination with transdermal and injectable testosterone. J Clin Endocrinol Metab 87,3562-3572.
Gregory J, Greene S, Scrimgeour C and Rennie M (1991) Body water measurement in growth disorders: a comparison of bioelectrical impedance and skinfold thickness techniques with isotope dilution. Arch Dis Child 66,220-222.
Groome NP, Illingworth PJ, O’Brien M, Pai R, Rodger FE, Mather JP and McNeilly AS (1996) Measurement of dimeric inhibin B throughout the human menstrual cycle. J Clin Endocrinol Metab 81,1401-1405.
Gu YQ, Wang XH, Xu D, Peng L, Cheng L, Huang M, Huang Z and Zhang GY (2003) A multicenter contraceptive efficacy study of injectable testosterone undecanoate in healthy Chinese men. J Clin Endocrinol Metab 88,562-568.
Handelsman DJ, Conway AJ and Boylan LM (1992) Suppression of human spermatogenesis by testosterone implants. J Clin Endocrinol Metab 75, 1326-1332.
Handelsman DJ, Conway AJ, Howe CJ, Turner L and Mackey M-A (1996) Establishing the minimum effective dose and additive effects of depot progestin in suppression of human spermatogenesis by a testosterone depot. J Clin Endocrinol Metab 81,4113-4121.
Handelsman DJ, Wishart S and Conway AJ (2000) Oestradiol enhances testosterone-induced suppression of human spermatogenesis. Hum Reprod 15,672-679.
Hasenack HG, Bosch AM and Kaar K (1986) Serum levels of 3-keto-deso- gestrel after oral administration of desogestrel and 3-keto-desogestrel. Contraception 33,591-596.
Kamischke A, Venherm S, Ploger D, von Eckardstein S and Nieschlag E (2001) Intramuscular testosterone undecanoate with norethisterone enanthate in a clinical trial for male contraception. J Clin Endocrinol Metab 86,303-309.
Kamischke A, Heuermann T, Kruger K, von Eckardstein A, Schellschmidt I, Rubig A and Nieschlag E (2002) An effective hormonal male contraceptive using testosterone undecanoate with oral or injectable norethisterone preparations. J Clin Endocrinol Metab 87,530-539.
Kicman AT, Coutts SB, Walker CJ and Cowan DA (1995) Proposed confirmatory procedure for detecting 5 alpha-dihydrotestosterone doping in male athletes. Clin Chem 41,1617-1627.
Kicman AT, Coutts SB, Cowan DA, Handelsman DJ, Howe CJ, Burring S and Wu FCW (1999) Adrenal and gonadal contributions to urinary excretion and plasma concentration of epitestosterone in men—effect of adrenal stimulation and implications for detection of testosterone abuse. Clin Endocrinol 50,661 -668.
Kinniburgh D, Zhu H, Cheng L, Kicman AT, Baird DT and Anderson RA (2002) Oral desogestrel with testosterone pellets induces consistent suppression of spermatogenesis to azoospermia in both Caucasian and Chinese men. Hum Reprod 17,1490-1501.
Knuth UA, Yeung CH and Nieschlag E (1989) Combination of 19-nortestos-terone-hexylphenylpropionate (Anadur) and depot-medroxyprogesterone acetate (Clinovir) for male contraception. Fertil Steril 51,1011 -1018.
Martin CW, Anderson RA, Cheng L, PC Ho PC, van der Spuy Z, Smith KB, Glasier AF, Everington D and Baird DT (2000a) Potential impact of hormonal male contraception: cross-cultural implications for development of novel preparations. Hum Reprod 15,637-645.
Martin CW, Riley SC, Everington D, Groome NP, Riemersma RA, Baird DT and Anderson RA (2000b) Dose-finding study of oral desogestrel with testosterone pellets for suppression of the pituitary-testicular axis in normal men. Hum Reprod 15,1515-1524.
Mauvais-Jarvis P, Kuttenn F and Baudot N (1974) Inhibition of testosterone conversion to dihyrotestosterone in men treated percutaneously by progesterone. J Clin Endocrinol Metab 38,142-147.
McLachlan R, O’Donnell L, Stanton P, Baloudros G, Frydenberg M, de Krester D and Robertson D (2002) Effects of testosterone plus medroxyprogesterone acetate on semen quality, reproductive hormones, and germ cell populations in normal young men. J Clin Endocrinol Metab 87, 46-556.
Meriggiola MC, Bremner WJ, Paulsen CA, Valdiserri A, Incorvaia L, Motta R, Pavani A, Capelli M and Flamigni C (1996) A combined regimen of cyproterone acetate and testosterone enanthate as a potentially highly effective male contraceptive. J Clin Endocrinol Metab 81, 3018-3023.
Meriggiola MC, Bremner WJ, Costantino A, Di Cintio G and Flamigni C (1998) Low dose of cyproterone acetate and testosterone enanthate for contraception in men. Hum Reprod 13,1225-1229.
Meriggiola MC, Constantino A, Bremner WJ and Morselli-Labate A (2002) Higher testosterone dose impairs suppression induced by a combined androgen-progestin regimen. J Androl 23,684-690.
Narula A, Yi-Qun G, O’Donnell L, Stanton P, Robertson D, Mc Lachlan RI and Bremner WJ (2001) Variability in sperm suppression during testosterone administration to adult monkeys is related to follicle stimulating hormone suppression and not intratesticular androgens. J Clin Endocrinol Metab 87,3399-3406.
Nieschlag E (2002) Sixth summit meeting consensus: recommendations for regulatory approval for hormonal male contraception. Int J Androl 25,375.
Nieschlag E, Wang C, Handelsman DJ, Swerdloff R, Wu FCW, Einer-Jensen N and Waites GEH (1992) Guidelines for the Use of Androgens. WHO, Geneva. Nieschlag E, Zitzmann M and Kamischke A (2003) Use of progestins in male contraception. Steroids 68,956-972.
Plymate SR, Tenover JS and Bremner WJ (1989) Circadian variation in testosterone, sex hormone-binding globulin, and calculated non-sex hormonebinding globulin bound testosterone in healthy young and elderly men. J Androl 10,366-371.
Satyaswaroop P and Gurpide E (1978) A direct effect of medroxyprogesterone acetate on 17 beta-hydroxysteroid dehydrogenase in adult rat testis. Endocrinology 102,1761-1765.
Southren A, Gordon G, Tochimoto S, Pinzon G, Lane D and Stypulkowski W (1967) Mean plasma concentration, metabolic clearance and blood production rates of testosterone in normal young men and women using a constant infusion procedure: effect of the time of day and plasma concentration on the metabolic clearance of testosterone. J Clin Endocrinol Metab 27,686-694.
Sundaram K, Kumar N and Bardin CW (1993) 7alpha-methyl-nortestosterone (MENT): the optimal androgen for male contraception. Ann Med 25, 199-205.
Turner L, Conway AJ, Jimenez M, Liu PY, Forbes E, McLachlan RI and Handelsman DJ (2003) Contraceptive efficacy of a depot progestin and androgen combination in men. J Clin Endocrinol Metab 88,4659-4667.
Vermeulen A, Verdnock L and Kaufman J (1999) A critical evaluation of simple methods for the estimation of free testosterone in serum. J Clin Endocrinol Metab 84,3666-3672.
von Eckardstein S, Noe G, Brache V, Nieschlag E, Croxatto HB, Alvarez F, Moo-Young AJ, Sivin I, Kumar N, Small M and Sundaram K (2003) A clinical trial of 7a-methyl-19-nortestosterone implants for possible use as a long-acting contraception in men. J Clin Endocrinol Metab 88, 5232-5239.
Weinbauer GF, Schlatt S, Walter V and Nieschlag E (2001) Testosterone- induced inhibition of spermatogenesis is more closely related to suppression of FSH than to testicular androgen levels in the cynomolgus monkey model (Macaca fascicularis). J Endocrinol 168,25-38.
World Health Organization (1999) WHO Laboratory Manual for the Examination of Human Semen and Sperm-Cervical Mucus Interaction, 4th edn. Cambridge University Press.
World Health Organization Task Force on Methods for the Regulation of Male Fertility (1990) Contraceptive efficacy of testosterone-induced azoospermia in normal men. Lancet 336,955-959.
World Health Organization Task Force on Methods for the Regulation of Male Fertility (1993) Comparison of two androgens plus depot-medroxyprogesterone acetate for suppression to azoospermia in Indonesian men. Fertil Steril 60,1062-1068.
World Health Organization Task Force on Methods for the Regulation of Male Fertility (1996) Contraceptive efficacy of testosterone-induced azoospermia and oligozoospermia in normal men. Fertil Steril 65,821 -829.
Wu FCW, Farley TMM, Peregoudov A, Waites GMH, WHO Task Force on Methods for the Regulation of Male Fertility (1996) Effects of testosterone enanthate in normal men: experience from a multicenter contraceptive efficacy study. Fertil Steril 65,626-636.
Wu FCW, Balasubramanian R, Mulders TMT and Coelingh-Bennink HJT (1999) Oral progestogen combined with testosterone as a potential male contraceptive: additive effects between desogestrel and testosterone enanthate in suppression of spermatogenesis, pituitary-testicular axis, and lipid metabolism. J Clin Endocrinol Metab 84,112-122.
Zhang F, Pakarainen T, Poutanen J and Huhtaniemi I (2003) The low gonadotrophin-independent constitutive production of testicular testosterone is sufficient to maintain spermatogenesis. Proc Natl Acad Sci USA 100,13692-13697.
Zhengwei Y, Wreford NG, Royce P, de Kretser DM and McLachlan RI (1998) Stereological evaluation of human spermatogenesis after suppression by testosterone treatment: heterogeneous pattern of spermatogenic impairment. J Clin Endocrinol Metab 83,1284-1291.
Submitted on May 12, 2004; accepted on August 2, 2004