SAMANTHA WORBOYS, DIMITRA KOTSOPOULOS, HELENA TEEDE, BARRY MCGRATH, AND SUSAN R. DAVIS
The Jean Hailes Foundation (S.W., S.R.D.), Clayton 3168, Vic; and Department of Vascular Medicine (D.K., H.T., B.M.), Monash University, Clayton, Vic, Australia.
Susan R. Davis, Associate Professor, Director of Research, The Jean Hailes Foundation, 173 Carinish Road, Clayton 3168, Australia.; E-mail: suedavis@netlink.com.au.
Abstract
The gender difference in cardiovascular disease has been partly attributed to higher androgenic hormone levels. Although testosterone in women may not affect lipids, it remains unknown whether it negates favorable estrogenic effects on endothelial function. We have investigated the effects of testosterone implant therapy on arterial reactivity encompassing endothelial-dependent and -independent vasodilation in women using hormone replacement therapy (HRT). B-mode ultrasound measurements of resting brachial artery diameter, following reactive hyperemia [endothelium-dependent flow- mediated dilation (FMD)] and following glyceryl trinitrate (GTN) (endothelium-independent dilation), were recorded in 33 postmenopausal women stabilized on HRT (>6 months), at baseline, and 6 weeks after a testosterone implant (50 mg), with 15 postmenopausal nonusers of HRT serving as controls. In the brachial artery, baseline resting diameter was similar (0.40 ± 0.01 vs. 0.41 ± 0.01 cm, P = 0.5). In the treated group, testosterone levels increased (0.99 ± 0.08 to 4.99 ± 0.3 nmol/L, P < 0.001) associated with a mean 42% increase in FMD (6.4% ± 0.7 to 9.1% ± 1.1, P = 0.03). The control group did not change (8.1% ± 1.4 to 5.6% ± 1.0, P = 0.4). ANOVA of repeated measures (P = 0.04) and mean change (P = 0.02) in FMD both demonstrated significantly greater improvement with testosterone compared with controls. GTN induced vasodilation increased with testosterone treatment (14.9% ± 0.9 to 17.8% ± 1.2, P = 0.03). Our preliminary data indicate that parenteral testosterone therapy improves both endothelial-dependent (flow-mediated) and endothelium-independent (GTN-mediated) brachial artery vasodilation in postmenopausal women using long-term estrogen therapy. The mechanisms underlying these potentially beneficial cardiovascular effects require further investigation. (J Clin Endocrinol Metab 86: 158-161, 2001).
TESTOSTERONE LEVELS DECLINE with increasing age in women during the reproductive years (1) and acutely following bilateral ovariectomy (2). Increasingly, testosterone is used in hormone replacement regimens to restore libido in postmenopausal women (3-5), with testosterone implants now approved for this purpose in the United Kingdom. Postmenopausal estrogen modulates cardiovascular risk via several mechanisms (6). Whether coadministration of testosterone attenuates these cardioprotective effects or is, in fact, deleterious has not been established. We have previously demonstrated that long-term testosterone implant therapy does not adversely affect the improvements in lipoprotein lipids associated with postmenopausal estrogen use (3). Studies in animals (7, 8), and more recently in men with established coronary artery disease (9), indicate that parenteral testosterone does not adversely affect coronary artery vascular function. However, the effect of parenteral testosterone replacement on vascular reactivity in postmenopausal women has not been reported.
Endothelial dysfunction, a putative early marker of vascular disease, can be assessed in vivo with flow-mediated vasodilation (FMD) (10). Brachial artery FMD has been corre-lated with coronary endothelial function (11) and with cardio-vascular risk factors (10,12-14). It deteriorates following meno-pause (14) and improves with estrogen therapy (15).
Therefore, to further investigate the effects of postmeno-pausal testosterone therapy on cardiovascular disease (CVD) risk, we measured brachial artery endothelium-dependent and endothelium-independent vasodilation using noninvasive Doppler ultrasound in two groups of postmenopausal women, long-term hormone replacement therapy (HRT) users, treated with testosterone and a control group of HRT nonusers.
Materials and methods
Thirty-three postmenopausal women stabilized on estrogen therapy for at least 6 months were recruited from our clinic, and 15 postmenopausal nonusers of HRT participating in a concurrent study served as controls. Postmenopausal status was defined as 12 months amenorrhea and FSH greater than 20IU/L. For HRT users, estrogen replacement was oral, transdermal, or by implant, and 12 of the HRT users took concomitant progestin (five continuous and seven cyclical). Exclusion criteria included total testosterone at 1.8 nmol/L or greater, diabetes mellitus, smoking, uncontrolled hypertension (blood pressure, >160/100 mm Hg), severe cardiac liver or renal disease, alcohol intake greater than 40 g/day, hypercholesterolemia (total cholesterol, >8 mmol/L), lipidlowering medication, hirsutism, acne, estrogen-dependent malignancy, and undiagnosed genital bleeding. The study was approved by the Monash Medical Center Human Research and Ethics Committee, and all participants gave written informed consent.
After an 8-h fast that included avoiding caffeine-based drinks, blood was drawn for measurement of sex steroids and lipids, and each subject underwent measurement of vascular function by an experienced research assistant (D.K.). Studies were performed in a quiet, darkened, air-conditioned clinical laboratory after subjects had been resting in the supine position for at least 10 min.
Brachial artery diameter was measured from B-mode ultrasound images captured on a Diasonics DRF-400 machine using a 10-MHz transducer, while an electrocardiogram trace was simultaneously recorded. The clearest image of the brachial artery was obtained after longitudinal scanning 1-6 cm above the elbow, and this image held while transient ischemia was induced via a pneumatic tourniquet inflated around the upper arm to 40 mm Hg above systolic pressure for 4 min. Scanning was continuous for 30 sec before and 4 min after ischemia. Measurements of vessel diameter were taken during both systole (incident with recorded T waves) and diastole (incident with recorded R waves) and averaged over five cardiac cycles. Brachial FMD was determined as the percentage change from baseline to 60 sec after ischemia, the point of maximal dilation (16). Repeatability of this methodology in our hands has been documented previously (16).
The brachial artery diameter was then allowed to return to baseline level (10 min after cuff release). Then, 0.4 mg sublingual glyceryl trinitrate (GTN) was administered to the testosterone-treated group only, and the brachial artery was imaged for the ensuing 4 min, the point of maximal dilatation.
A 50-mg testosterone implant (obtained by aseptically bisecting a 100-mg implant) was inserted sc, within 2 days, under local anesthesia in the right iliac fossa of HRT users, and ultrasound studies were repeated at 6 weeks in all subjects.
A single individual analyzed and reported all ultrasound studies blinded to the status of each patient.
Total testosterone and sex hormone-binding globulin (SHBG) were measured by RIA using kits from Orion Diagnostica (Finland) and the Olympus AU600 analyzer (Olympus Corp., Tokyo, Japan). Interassay coefficients of variation for these assays are 6.1% and 5.1%, respectively. The free androgen index (FAI) was derived from the ratio of serum testosterone and SHBG as: FAI = (testosterone/SHBG) X 100. Estradiol was measured by a competitive immunoassay on a Chiron Corp. ACS- 180. Total cholesterol and triglycerides were measured with liquid stable reagent from Integrated Sciences Ltd. (Sydney, Australia), also using an Olympus AU600 analyzer. Intra-assays coefficients of variation are 1% for each.
Statistical analysis
Clinical characteristics and vasodilatory responses were compared between groups with unpaired t tests and within groups with paired t tests. ANOVA of repeated measures was applied to FMD data in both the treated and control groups. All analyses were performed on the statistical package SPSS version 9 (SPSS, Inc., Chicago, IL). Results are reported as mean ± SEM.
Results
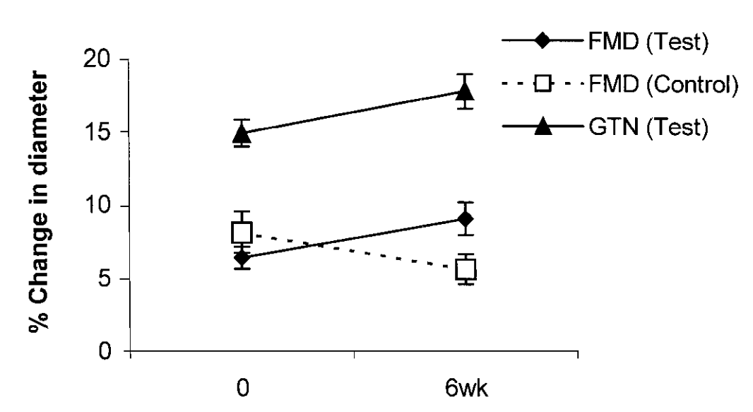
HRT users and postmenopausal controls were well matched for baseline characteristics (Table 1), including brachial artery resting diameter (centimeters) between the groups (0.40 ± 0.01 vs. 0.41 ± 0.01, P = 0.5). Furthermore, the resting diameter of the vessel at baseline compared with 6 weeks was unchanged in each group. Testosterone therapy was associated with a 42% mean increase in brachial artery FMD (6.4% ± 0.7 to 9.1% ± 1.1, P = 0.03). No change was seen in the control group (8.1% ± 1.4 to 5.6% ± 1.0, P = 0.4), with the mean change in FMD being significantly different between the groups (P = 0.02). On ANOVA of repeated measures, incorporating both time and treatment effects, FMD was significantly influenced by testosterone treatment (P = 0.04). Vasodilation induced by GTN increased significantly in women treated with testosterone (14.9% ± 0.9 vs. 17.8% ± 1.2, P = 0.03) (Fig. 1). In the active treatment group, testosterone levels increased (0.99 ± 0.08 to 4.99 ± 0.3 nmol/L, P < 0.001), whereas mean blood pressure, heart rate, circulating estradiol, SHBG, total cholesterol, and triglyceride levels were unchanged (Table 2).
Table 1. Baseline characteristics of testosterone-treated patients and controls (±SEM).

Table 2. Effects of testosterone therapy on sex steroids, blood pressure, heart rate, and lipids in postmenopausal HRT users.


Figure 1. Mean (6SEM) FMD- and GTN-mediated vasodilation in testosterone-treated women and mean FMD in controls, expressed as percentage change in vessel diameter.
The effect of progestin therapy was also considered as 12 of the women in the study also received cyclical progestin. Of these 7 were taking progestin at the time of the studies. This small subgroup cannot be significantly assessed. However, we conducted a separate analysis of women on oral (n = 13) vs. parenteral (n = 18) therapy. There were no differences in baseline characteristics including age, mean blood pressure, heart rate, and lipids and resting vessel diameter (0.39 cm ± 0.001 vs. 0.41 ± 0.001, P = 0.28 for oral and parenteral, respectively). There was no difference in change in FMD from baseline to 6 weeks (3.76% ± 2.1 vs. 1.9% ± 0.13, for oral and parenteral estrogen, respectively; P = 0.45), although numbers in this subanalysis were small.
Discussion
CVD is a major cause of morbidity and the leading cause of mortality in women. There is a well-documented gender difference in the pattern of CVD, with men having both an earlier incidence and greater prevalence of clinically significant atherosclerosis (17). It has been suggested that sex hormones may contribute to this gender difference with the current, although somewhat controversial, consensus being that estrogen has beneficial effects on the cardiovascular system, while androgens may be potentially deleterious (18); hence, the concern that postmenopausal testosterone therapy may be deleterious. The effects of testosterone on vascular reactivity has now been studied acutely in the coronary artery circulation in animal models (8) and in men (9). Overall, acute intracoronary administration of testosterone in these studies has resulted in coronary artery dilation.
To our knowledge, this is the first study to report the effects of parenteral testosterone, as approved for use in clinical practice in some countries, on vasomotor function in postmenopausal women on established HRT regimens. A well-matched control group of postmenopausal women not on HRT were also studied. However, the conclusions are only suggestive because the study was not placebo controlled. This is because no placebo was available. Moreover, all of the treated subjects were seeking active therapy for low libido, and it was, therefore, considered unethical to use a sham procedure. GTN-mediated effects are not different between genders, with age or with interventions such as antihypertensive medication or estrogen-progestin replacement therapy (19, 20). GTN was an internal control applied only to the treated group because its administration involves considerable discomfort. The GTN findings were unexpected but are interesting and provocative. We report that exogenous parenteral testosterone therapy improved both endothelium-dependent and -independent vasodilation in postmenopausal women on long-term estrogen therapy. This contrasts with the lack of effect of oral methyl testosterone when coadministered with oral estrogen (21). The difference in observed responses between that study and ours may be related to the different formulation and mode of administration testosterone and possible adverse effects of oral methyltestosterone on lipids (22). However, it is unlikely our positive observations are related to changes in lipoprotein lipids, because these were unaffected by testosterone implant treatment in this and an earlier study (3). Whether the improved vascular reactivity with testosterone is directly mediated via the androgen receptor or a consequence of aro- matization of testosterone, resulting in very high estradiol concentrations within the vascular endothelium and smooth muscle, is not known. Chou et al. (7) reported that testosterone induces dilatation of male and female canine coronary arteries. This was not blocked by the estrogen antagonist ICI 182,780, whereas pretreatment with N-omega-nitro-arginine methyl ester to block nitric oxide synthesis attenuated the dilatory response. Aromatase has been identified in human vascular smooth muscle cells (VSMCs) but not endothelial cells (23). Taken together, these findings would support aro- matization of testosterone to estrogen and subsequent nongenomic activation of endothelial nitric oxide synthase on VSMCs in an autocrine or paracrine manner with likely cross-talk between VSMCs and endothelial cells.
The enhancement of GTN-mediated brachial artery dila-tation with testosterone is a novel observation in humans and is similar to the effects observed with estrogen therapy. Tes-tosterone-induced relaxation has been reported in in vitro studies of precontracted rabbit coronary arteries and aorta, with and without endothelium (8, 9). Androgen receptors have been identified in rodent VSMCs (24). Therefore, enhancement of the GTN response could be either directly androgen mediated or secondary to very high local estrogen concentrations as a consequence of increased circulating androgen substrate.
In summary, this study provides evidence that testosterone implant therapy may improve both endothelium-dependent (FMD) and endothelium-independent (GTN mediated) brachial artery vasodilation in postmenopausal women already using HRT. This supports the concept that androgens have important physiological actions in women as well as in men and provides additional, and much needed, safety data pertaining to postmenopausal testosterone use.
References
Zumoff B, Strain GW, Miller LK, Rosner W. 1995 Twenty-four hour mean plasma testosterone concentration declines with age in normal premenopausal women. J Clin Endocrinol Metab. 80:1429.
Judd HL. 1976 Hormonal dynamics associated with the menopause. Clin Obstet Gynecol. 19:775.
Davis SR, McCloud PI, Strauss BJG, Burger HG. 1995 Testosterone enhances estradiol's effects on postmenopausal bone density and sexuality. Maturitas. 21:227.
Studd JWW, Colins WP, Chakravarti S. 1977 Estradiol and testosterone implants in the treatment of psychosexual problems in postmenopausal women. Br J Obstet Gynaecol. 84:314.
Burger HG, Hailes J, Nelson J, Menelaus M. 1987 Effect of combined implants of estradiol and testosterone on libido in postmenopausal women. Br Med J. 294:936.
Gerhard M, Ganz P. 1995 How do we explain the clinical benefits of estrogen? Circulation. 92:5.
Chou TM, Sudhir K, Hutchison SJ, et al. 1996 Testosterone induces dilation of canine coronary conductance and resistance arteries in vivo. Circulation. 94:2614.
Yue P, Chatterjee K, Beales CM, Poole-Wilson PA, Collins P. 1995 Testosterone relaxes rabbit coronary arteries and aorta. Circulation. 91:1154.
Webb CM, McNeill JG, Hayward CS, de Zeigler D, Collins P. 1999 Effects of testosterone on coronary vasomotor regulation in men with coronary heart disease. Circulation. 100:1690.
Walker KZ, Putt RS, Jones JA, O'Dea K. 1999 Effects of regular walking on body composition and cardiovascular risk factors in women with impaired glucose tolerance and non-insulin dependent diabetes (NIDDM) and in normoglycemic women with a strong family history of NIDDM. Diabetes Care.
Anderson TJ, Uehata A, Gerhard MD, et al. 1995 Close correlation of endothelial function in the human coronary and peripheral circulation. J Am Coll Cardiol. 26:1235.
Celemajer DS, Sorensen K, Georgakopoulos D, et al. 1993 Cigarette smoking is associated with dose-related and potential reversible impairment of endo-thelium-dependent dialtion in healthy young adults. Circulation. 88:2149.
Celemajer DS, Sorensen K, Bull C, Robinson J, Deanfield JE. 1994 Endo-thelium-dependent dilation of systemic arteries of asymptomatic subjects relates to coronary risk factors and their interaction. J Am Coll Cardiol. 24:1468.
Celemajer DS, Sorensen K, Spiegelhalter DS, Georgakopoulos D, Robinson J, Deanfield JE. 1994 Aging associated with endothelium dysfunction in healthy men years before the age-related decline in women. J Am Coll Cardiol. 24:476.
Lieberman EH, Gerhard MD, Uehata A, et al. 1994 Estrogen improves endothelium-dependent, flow mediated vasodilation in postmenopausal women. Ann Intern Med. 121:936.
Liang Y-L, Teede HJ, Kotsopoulos D, Cameron JD, McGrath BP. 1998 Non-invasive measurements of arterial structure and function: repeatability, inter-relationships and trial sample size. Clin Sci. 95:669.
Abraham B, d'Espaignet ET, Stevenson C. 1995 ABS mortality data and population estimates (HOIST), Epidemiology and Surveillance Branch, NSW Health Department, 1995. Australian Institute of Health and Welfare. Australian Health Trends (GENERIC).
Teede HJ, McGrath BP. 1999 Editorial: cardiovascular effects of sex hormones. Clin Sci 97:1.
Cagnacci A, Modena MG, Malmusi S, Muia N, Volpe A. 1999 Effect of prolonged administration of transdermal estradiol on flow-mediated endothelium-dependent and endothelium-independent vasodilation in healthy postmenopausal women. Am J Cardiol. 84:367-370.
Anderson TJ, Elstein E, Haber H, Charbonneau F. 2000 Comparative study of ACE-inhibition, angiotensin II antagonism, and calcium channel blockade on flow-mediated vasodilation in patients with coronary disease (BANFF Study). J Am Coll Cardiol, 35: 60-66.
Kelemen M, Ouyang P, Nguyen T, Livengood S, Dobs S. 1999 Effect ofadding testosterone on endothelial vasodilator function in postmenopausal women on estrogen replacement therapy. 72nd Scientific Session of the American Heart Association, Orlando, Florida.
Hickok LR, Toomey C, Speroff L. 1993 A comparison of esterified estrogens with and without methyltestosterone: effects on endometrial histology and serum lipoproteins in postmenopausal women. Obstet Gynecol. 82:919.
Harada N, Sasano H, Murakami H, Ohkuma T, Nagura H, Takagi Y. 1999 Localized expression of aromatase in human vascular tissues. Circ Res. 84:1285-1291.
Fujimoto R, Morimoto I, Morita E, Sugimtot H, Ito Y, Eto S. 1994 Androgen receptors, 5 a reductase activity and androgen-dependent proliferation of vascular smooth muscle cells. J Steroid Biochem Mol Biol. 50:169.