Markus Schuberta Catharina Bullmanna Timo Minnemanna Christoph Reinersb Wilhelm Kronea Friedrich Jockenhövela
aKlinik II und Poliklinik für Innere Medizin der Universität zu Köln, Köln, und bKlinik für Nuklearmedizin, Universitätsklinik Würzburg, Würzburg, Deutschland
Dr. Friedrich Jockenhövel Evangelisches Krankenhaus Wiescherstrasse 24 D-44623 Herne (Germany) Tel. +49 2323 498 2051, Fax +49 2323 498 2485; E-mail: f.jockenhoevel@evk-herne.de.
Abstract
Background: No randomized study exists comparing the effects of different modes of androgen substitution on bone mineral density (BMD).
Methods: We performed a prospective, randomized, trial assigning 53 hypogonadal men to the following treatment groups: mesterolone 100 mg p.o. daily, testosterone undecanoate 160 mg p.o. daily, testosterone enanthate 250 mg i.m. every 21 days, or a single subcutaneous implantation of 1,200 mg crystalline testosterone. The BMD was determined by peripheral quantitative computed tomography.
Results: At baseline, men with secondary hypogonadism (n = 33) had a lower BMD (-1.52 ± 0.23 SDS; Z-scores) than men with primary hypogonadism (n = 20, -0.87 ± 0.23 SDS, p < 0.01). In men with primary hypogonadism, the BMD increased dose dependently (crystalline testosterone +7.0 ± 1.3%, testosterone enanthate +4.8 ± 0.2%, testosterone undecanoate +3.4 ± 2.5%, mesterolone +0.8 ± 1.6%) after 6 months of therapy. Only secondary hypogonadal men treated with testosterone enanthate experienced an increase of the BMD. Conclusions: In pri-mary hypogonadal men the BMD responds dose depen-dently to testosterone substitution, whereas in secondary hypogonadism only testosterone enanthate treatment significantly increased the BMD.
Key Words: Testosterone • Male hypogonadism • Bone mineral density • Osteoporosis.
Introduction
Testosterone deficiency leads to osteopenia and osteo-porosis in men and is associated with an increase in fracture rates [1-4]. Despite the widespread assumption that testosterone substitution increases the bone mineral density (BMD) in male hypogonadism, evidence is based on very small patient numbers [5-7], not unanimously [8], and a recent review concluded that an anabolic effect on bone is not obvious from the available data [9]. Furthermore, so far no study exists investigating the effects of different modes of androgen substitution on the BMD.
Therefore, we retrospectively analyzed data on BMD in 53 hypogonadal men from a prospective, randomized, open-label clinical study, investigating the effects of four different modes of androgen substitution [10, 11].
Patients and methods
Patients
Fifty-three men with primary and secondary hypogonadism and serum testosterone concentrations < 3.6 nmol/l (normal > 10 nmol/l) on two separate occasions, free from neoplastic, inflammatory, renal, or metabolic disorders, and not taking any medication known to influence lipid or androgen metabolism participated in the study (table 1). Non of the men received growth hormone (GH), calcium, or vitamin D. Previous testosterone medication (testosterone enanthate or oral testosterone undecanoate; see below) had been suspended at least 3 months prior to study begin. Men with secondary hypogonadism due to pituitary insufficiency were euthyroid and kept on constant doses of cortisone or L-thyroxine throughout the study period. None of the subjects received GH substitution. All men had given written informed consent.
Table 1. Anthropometric and endocrine data of the patients (mean ± SEM).

Study Design
In this open-label randomized study, patients with clinically and biochemically confirmed androgen deficiency (serum testosterone < 3.6 nmol/l on at least two occasions) were randomly (using the SAS package) assigned to 1 of 4 treatment protocols: mesterolone (MES - Proviron®; Schering, Berlin, Germany) 100 mg/day, testosterone undecanoate (TU - Andriol®; Organon International, Oss, The Neth-erlands) 160 mg/day, testosterone enanthate (TE - Testoviron Depot®; Schering) 250 mg i.m./21 days, or testosterone pellets (TPEL - TestoImplant®; Organon International) as a single subcutaneous implantation of six TPELs, each containing 200 mg crystalline testos-terone [10]. On days 0, 21, 42, 63, 84, 105, 126, 147, 168, and 189 blood samples were drawn after at least 8 h of fasting, medication handed out, and TE injections administered. The study medication lasted until day 210, and follow-up visits were performed on days 246 and 300. The study was approved by the ethics committee of the University of Essen and followed the guidelines of the Declaration of Helsinki 1975. Other results of this study have been published elsewhere [11, 12].
Laboratory Methods
The hormones were measured by commercially available immu-noassays: testosterone, estradiol (E2), and sex hormone binding globulin (SHBG) by radioimmunoassay (Diagnostic Products, Los Angeles, Calif., USA) and 5a-dihydrotestosterone (DHT) by radioimmunoassay after oxidative destruction of testosterone (Amersham, Braunschweig, Germany). The male normal range for testosterone is 10-35 nmol/l and that for DHT 2-5 nmol/l. The inter- and intraassay variation was below 8% for all assays, except the DHT assay (17%) [10, 13].
Bone Mineral Density
The trabecular BMD was measured at the nondominant ultradistal radius using the high-resolution scanner Stratec XCT 900 (Stra- tec-Medizintechnik, Pforzheim, Germany) equipped with a 38.5-kV X-ray tube. The measurement site is located at 4% of the total ulnar length proximal toe distal radius end and is identified by a scout scan with high accuracy and reproducibility [14]. The BMD is expressed in equivalents of hydroxylapatite of calcium per volume (mg/cm3). The in vivo reproducibility is below 2% [14-17]. Standard deviation scores (SDS; Z-scores) of the BMD were calculated based on a reference database established with healthy German adult men using the same bone densitometer [14]. Since the BMD was not the primary end point of the study [10, 11], we analyzed the data retrospectively. During processing of the data, the cortical BMD values were lost; therefore, only the trabecular BMD is reported here.
Statistics
Statistical analyses were performed using the Statistical Package for the Social Sciences (SPSS, Chicago, Ill., USA). The results are reported as mean values ± SEM. Statistical comparisons used paired and unpaired t tests or repeated-measures Anova, as appropiate, with the level of significance set at p < 0.05 (Student-Newman-Keuls test). The area under the hormone curve was calculated by the trapezoidal rule. Univariate associations between sex steroids (log-transformed) and BMD were examined with Pearson’s correlation and linear regression analyses. Joint effects of multiple predictors of BMD were assessed using partial correlation and regression models.
Results
Hormones
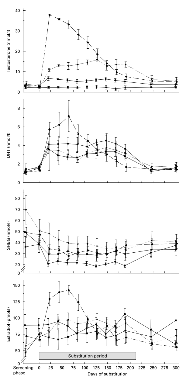
All subjects showed greatly reduced serum androgen concentrations before substitution, thereby confirming true hypogonadism. Substitution of androgens led to a sig-nificant increase of serum testosterone and DHT concen-trations in the TU, TE, and TPEL groups (fig. 1). The largest rise of androgens occurred in the TPEL group, fol-lowed by the TE group. TU induced a minor, although significant, increase of testosterone, but did not normalize serum testosterone concentrations. The DHT serum con-centrations were raised in all treatment groups.
Figure 1. Serum testosterone, DHT, SHBG, and estradiol concentrations (mean ± SEM) during TU (•), MES (■), TE (▼), and TPEL (♦) substitution therapy.
Comparing the average hormone concentrations during substitution, TPEL raised testosterone, DHT, and estradiol significantly more than the other substitution regimens (p < 0.001; table 2). TE increased the testosterone and DHT levels to a considerably lesser extent than TPEL, but still far higher than TU and MES. Neither MES nor TU induced any increase of serum estradiol, whereas TE and TPEL raised the serum estradiol concentrations significantly as compared with baseline values.
Table 2. Mean ( ± SEM) serum concentrations of testosterone, DHT, and estradiol before, during, and after substitution of androgens.

Bone Mineral Density
Prior to substitution, 32 men (60%) exhibited a BMD Z-score below -1 and 19 men (36%) one below -2 as com-pared with a healthy male German control group [14] (fig. 2). Men with primary hypogonadism have significantly higher BMD SDS (-0.87 ± 0.23) than men with secondary hypogonadism (-1.52 ± 0.23; p < 0.01).

Figure 2. Baseline BMD of 20 men with primary (O) and 33 men with secondary (•) hypogonadism. The reference range is based on data generated with the same bone densitometer in a healthy male German population [14].
After 6 months of androgen substitution, the BMD increased in all treatment groups: TU group +0.29 ± 3.06%, MES group +0.21 ± 2.62%, TE group +12.21 ± 4.49%, and TPEL group +4.12 ± 1.72% (table 3). As compared with the baseline BMD, only in the TE-group this increase was significant (p < 0.01).
Table 3. Trabecular BMD (mean ± SEM) before and after androgen substitution stratified according to treatment groups and etiology of hypogonadism.

Separate analysis of the BMD in men with primary and secondary hypogonadism revealed a dose-dependent rise of BMD in primary hypogonadism with hardly any increase in the MES group and the most pronounced increase of BMD in the TPEL group (table 3). Men with secondary hypogonadism showed an increase in the BMD only in the TE group. In the other treatment groups the mean BMD of men with secondary hypogonadism did not change significantly. This is reflected by the observation that out of 33 men with secondary hypogonadism, only 16 (49%) responded to androgen substitution with an increase in the BMD. In contrast, 17 of 20 (85%) men with primary hypogonadism demonstrated an increase in BMD. Primary hypogonadal men experienced an increase of the BMD significantly more often than secondary hypogonadal men (p < 0.01).
Neither in any treatment group nor when all groups were combined, any correlations were found between sex steroid levels and BMD. A significant negative correlation was observed between change of BMD and age (r = -0.31, p < 0.03) and baseline BMD (r = -0.29, p < 0.02). Analysis of multiple variates on BMD, including age, baseline BMD, sex steroid hormone levels during substitution, and etiology of hypogonadism, revealed age (p < 0.02) and eti-ology (p < 0.01) as the only significant predictors of BMD after androgen substitution.
Discussion
This is the first randomized study investigating differ-ential effects of various modes of androgen substitution on the BMD in hypogonadal men. We used peripheral quantitative computed tomography (pQCT) for the as-sessment of BMD, since it offers the advantage of selective determination of the trabecular BMD with a high reproducibility and a low variability [18-22]. Due to the metabolically higher activity of trabecular bone and the high accuracy of the pQCT in the identification of the measurement site, pQCT is very suitable for short-term repetitive measurements within subjects. Normal values have been established for German men and published in detail [14].
At baseline, over 60% of our patients had a moderately reduced BMD (< -1 SDS), and more than one third had a severely reduced BMD (< -2 SDS). Previous investigations confirm our results not only with regard to the high prevalence of osteopenia but also with regard to the extent of the reduced BMD [7, 23, 24]. The large number of subjects studied permitted stratification according to the etiology of the hypogonadism, revealing a significantly lower prevalence of osteopenia in men with primary hypogo-nadism as compared with men with secondary hypogo-nadism. This might be due to the higher estradiol levels frequently encountered in men with primary hypogonadism [25, 26]. In this study, the baseline serum 17P- estradiol levels were twice as high in primary hypogonad- al men as compared with men with secondary hypogonadism (33.6 ± 2.1 vs. 17.1 ± 1.1 pmol/l, p < 0.001). Also, accompanying pituitary insufficiency with deficient GH secretion might be responsible for the higher prevalence of osteopenia in men with secondary hypogonadism.
In all treatment groups, the mean BMD showed a slight increase after 6 months of androgen substitution, but a significant effect was observed only in the group receiving TE. 85% of the men with primary hypogonadism responded to androgen substitution with an increase of the BMD, but only 49% of the patients with secondary hypogonadism showed a rise in BMD. Furthermore, in primary hypogonadism a dose-dependent effect of androgen was observed with the lowest increment of BMD in the MES group, which did not experience any significant rise of serum estradiol and testosterone levels, and the highest increase of BMD in the group receiving TPELs, where the largest increase of sex steroids occurred. It should be men-tioned that the time point of blood sampling in the TE- group leads to a certain underestimation of the sex steroid levels between two injections.
Neither the better response in primary hypogonadism nor the dose dependency has been reported before, most likely due to the lack of any randomized studies and the small patient numbers studied, hampering any stratification according to the cause of hypogonadism. However, some limitations are also present in this study which might lead to overinterpretation, e.g., the short duration of the study, the small number of subjects in each subgroup, retrospective analysis of the data, and retrospective stratification into the subgroups.
Men with secondary hypogonadism receiving MES, TU, or TPEL unexpectedly did not show any increase of the BMD. This might be due to accompanying pituitary insufficiency, despite adequate substitution of cortisol and L-thyroxine, if necessary. However, none of the patients has been treated for GH deficiency which has been shown to cause a low BMD [27-29], and retrospectively GH deficiency cannot be excluded. Isolated GH deficiency or GH deficiency in patients with hypopituitarism seems to increases fracture rates [30, 31]. GH deficiency might partially explain the results found in the present study.
In contrast, secondary hypogonadal men receiving TE demonstrated an extraordinary increase of the BMD. Pos-sibly, the more pulsatile fashion of androgen substitution, as provided by regular injections of TE, is more efficient in the stimulation of BMD than constant high-dose testosterone levels as delivered by TPEL. However, such an effect should be present in men with primary hypogonadism as well. We, therefore, consider it more likely that the lower baseline BMD of the TE-treated group might be responsible for the large increase observed, since men with an initially lower BMD show a higher increase of the BMD during substitution, as shown in this study and others [32].
Analysis of covariates of the treatment effects revealed age and etiology of hypogonadism as the only significant cofactors for the effect on BMD. A recent retrospective observation confirms our results by finding a significant negative correlation between age and increase in BMD of hypogonadal men [32], supporting the notion that hypo- gonadal men with open epiphyses respond better to androgen substitution than men with fused epiphyses [1]. Our results on the age dependency of the efficacy of androgen substitution on BMD underline the necessity to commence androgen substitution in hypogonadism as early as possible, albeit in adolescence achieving an appropriate final height must be kept in mind. Nevertheless, the results of our study indicate that delayed onset of substitution might not be able to normalize BMD any more, even when androgens are given over extended periods of time [8, 23, 24].
All clinical studies assessing the effect of androgen sub-stitution on bone mineral content, including the present investigation, are hampered by confounding factors beyond the control of the investigation. These include the time since onset of hypogonadism, extent and duration of testosterone deficiency, duration and quality of previous androgen substitutions, and dietary factors such as calcium and alcohol intake prior to the study. In the present study, random assignment and the inclusion of the largest patient group studied so far did not prevent differences in baseline BMD values between the treatment groups. Despite this drawback, we consider the major conclusion of significant differences between the impact of the etiology of hypogonadism on the extent of reduced BMD and the response to androgen substitution valid. All previous studies addressing the influence of androgens on BMD in hypogonadal men have neglected this confounding factor which might explain the paucity of clear evidence for a stimulatory effect of androgens on the BMD [6, 7, 9].
However, there are distinct limitations of the present study. Even though this is one of the largest monocentric studies done so far in male hypogonadism, the numbers of patients in each group are relatively small which might influence the results. Furthermore, the study period is rel-atively short to determine BMD. The retrospective character of the analysis of the BMD data and the stratification of the subgroups are methodical limitations. Since data on bone maturation are not available in these subjects, the results of the present study could be overstated.
In summary, this is the first study demonstrating sig-nificant differences in the prevalence of osteopenia and in the response to androgen substitution between men with primary and those with secondary hypogonadism. Whereas most men with primary hypogonadism respond to androgen substitution with an increase in the BMD, in secondary hypogonadal men a rise of the BMD was observed infrequently, indicating confounding factors, possibly hypopituitarism with GH deficiency. Furthermore, for the first time, a dose-dependent influence of androgen substitution on the increase in the BMD in men with primary hypogonadism was shown. Parenteral application of androgens is more efficient than oral substitution to increase the BMD. Low baseline BMD values, young age, and primary hypogonadism as the cause of androgen deficiency are covariates of a good response to androgen substitution.
References
Finkelstein JS, Klibanski A, Neer RM, Doppelt SH, Rosenthal DI, Segre GV, Crowley WF: Increases in bone density during treatment of men with idiopathic hypogonadotropic hypogonadism. J Clin Endocrinol Metab 1989;69: 776-783.
Seeman E, Melton LJ, O’Fallon WM, Riggs BL: Risk factors for spinal osteoporosis in men. Am J Med 1983;75:977-983.
Jackson JA, Riggs MW, Spiekerman AM: Testosterone deficiency as a risk factor for hip fractures in men: A case-control study. Am J Med Sci 1992;304:4-8.
Stanley HL, Schmitt BP, Poses RM, Deiss WP: Does hypogonadism contribute to the occurrence of a minimal trauma hip fracture in elderly men? J Am Geriatr Soc 1991;39:766- 771.
Katznelson L, Finkelstein JS, Schoenfeld DA, Rosenthal DI, Anderson EJ, Klibanski A: Increase in bone density and lean body mass during testosterone administration in men with acquired hypogonadism. J Clin Endocrinol Metab 1996;81:4358-4365.
Isaia G, Mussetta M, Pecchio F, Sciolla A, di Stefano M, Molinatti GM: Effect of testosterone on bone in hypogonadal men. Maturitas 1992;15:47-51.
Devogelaer JP, De Cooman SE, Nagant de Deuxchaisnes C: Low bone mass in hypogonadal males. Effect of testosterone substitution therapy, a densitometric study. Maturitas 1992;15:17-23.
Wong FH, Pun KK, Wang C: Loss of bone mass in patients with Klinefelter’s syndrome despite sufficient testosterone replacement. Os- teoporos Int 1993;3:3-7.
Orwoll ES: Androgens as anabolic agents for bone. Trends Endocrinol Metab 1996;7:77- 84.
Jockenhövel F, Vogel E, Kreutzer M, Reinhardt W, Lederbogen S, Reinwein D: Pharmacokinetics and pharmacodynamics of subcutaneous testosterone implants in hypogonadal men. Clin Endocrinol (Oxf) 1996;45:61-71.
Jockenhövel F, Vogel E, Reinhardt W, Reinwein D: Effects of various modes of androgen substitution therapy on erythropoiesis. Eur J Med Res 1997;2:293-298.
Jockenhövel F, Blum WF, Vogel E, Englaro P, Müller-Wieland D, Reinwein D, Rascher W, Krone W: Testosterone substitution normalizes elevated leptin serum levels in hypogonad- al men. J Clin Endocrinol Metab 1997;82: 2510-2513.
Jockenhövel F, Krüsemann C, Jaeger A, Ol- bricht T, Reinwein D: Vergleichbarkeit der 10 gebräuchlichsten kommerziell erhältlichen Radioimmunoassays und eines neuen Enzym-Im- munoassays zur Bestimmung von Testosteron im Serum. Klin Lab 1992;38:81-88.
Butz S, Wüster C, Scheidt-Nave C, Götz M, Ziegler R: Forearm BMD as measured by peripheral quantitative computed tomography (pQCT) in a German reference population. Os- teoporos Int 1994;4:179-184.
Lehmann R, Wapniarz M, Kvasnicka HM, Baedecker S, Klein K, Allolio B: Reproduzierbarkeit von Knochendichtemessungen am distalen Radius mit einem hochauflösenden Spezialscanner für periphere quantitative Computertomographie (single energy pQCT). Radiologe 1992;32:177-181.
Reiners C, Arnold B, Brust AS, Sonnenschein W: Precision of bone mineral measurement with the new QCT scanner Stratec SCT 900. J Nucl Med 1991;31:856.
Wapniarz M, Lehmann R, Randerath O, Bae- decker S, John W, Klein K, Allolio B: Precision of dual X-ray absorptiometry and peripheral computed tomography using mobile densitometry units. Calcif Tissue Int 1994;54:219-223.
Hosie CJ, Smith DA: Precision of measurement of bone density with a special purpose computed tomography scanner. Br J Radiol 1986;59:345-350.
Smith DA, Hosie CJ, Deacon AD, Hamblen DL: Quantitative gamma-ray computed tomography of the radius in normal subjects and osteoporotic patients. Br J Radiol 1990;63: 776-782.
Schneider P, Börner W, Rendl J, Eilles C, Schlisske K, Scheubeck M: Stellenwert zweier unterschiedlicher Knochendichtemessmethoden zur Bestimmung des Mineralgehaltes am peripheren und axialen Skelett. Z Orthop Ihre Grenzgeb 1992;130:16-21.
Louis O, Willnecker J, Soykens S, van den Winkel P, Osteaux M: Cortical thickness assessed by peripheral quantitative computed tomography: Accuracy evaluated on radius specimens. Osteoporos Int 1995;5:446-449.
Pearson J, Ruegsegger P, Dequeker J, Henley M, Bright J, Reeve J, Kalender W, Felsenberg D, Laval-Jeantet AM, Adams JE, Birkenhager JC, Fischer M, Geusens P, Hesch RD, Hyld- strup L, Jaeger P, Jonson R, Kröger H, van Lingen A, Mitchell A, Reiners C, Schneider P: European semi-anthropomorphic phantom for the cross-calibration of peripheral bone densi-tometers: Assessment of precision accuracy and stability. Bone Miner 1994;27:109-120.
Finkelstein JS, Neer RM, Biller BMK, Crawford JD, Klibanski A: Osteopenia in men with a history of delayed puberty. N Engl J Med 1992;326:600-604.
Finkelstein JS, Klibanski A, Neer RM, Greenspan SL, Rosenthal DI, Crowley WF: Osteoporosis in men with idiopathic hypogonado- trophic hypogonadism. Ann Intern Med 1987; 106:354-361.
Dorrington JH, Fritz IB, Armstrong DT: Control of testicular estrogen synthesis. Biol Re- prod 1978;18:55-64.
Anderson FH, Francis RM, Selby PE, Cooper C: Sex hormones and osteoporosis in men. Cal- cif Tissue Int 1998;62:185-188.
Wüster C, Slenczka E, Ziegler R: Erhöhte Prävalenz von Osteoporose und Arteriosklerose bei konventionell substituierter Hypophysenvorderlappeninsuffizienz: Bedarf einer zusätzlichen Wachstumshormonsubstitution? Klin Wochenschr 1991;69:769-773.
Vandeweghe M, Taelman P, Kaufman JM: Short and long-term effects of growth hormone treatment on bone turnover and bone mineral content in adult growth hormone-deficient males. Clin Endocrinol (Oxf) 1993;39:409- 415.
Wüster C: Growth hormone, insulin-like growth factors and bone metabolism. Endocrinol Metab 1996;2:3-12.
Rosen T, Wilhelmsen L, Landin-Wilhelmsen K, Lappas G, Bengtsson BA: Increased fracture frequency in adult patients with hypopituitarism and GH deficiency. Eur J Endocrinol 1997;137:240-245.
Wüster C, Abs R, Bengtsson BA, Bennmarker H, Feldt-Rasmussen U, Hernberg-Stahl E, Monson JP, Westberg B, Wilton P: The influence of growth hormone deficiency, growth hormone replacement therapy, and other aspects of hypopituitarism on fracture rate and bone mineral density. J Bone Miner Res 2001; 16:398-405.
Behre HJ, Kliesch S, Leifke E, Link TM, Nieschlag E: Long-term effect of testosterone therapy on bone mineral density in hypogonad- al men. J Clin Endocrinol Metab 1997;82: 2386-2390.
