Martin Schwab⚹, Gerhard Sax, Sandra Schulze, Gerhard Winter
Ludwig-Maximilians-University Munich, Butenandtstr.5, 81377 Munich, Germany.
⚹M. Schwab, Tel.: +49 89 218077042; E-mail: martin.schwab@cup.uni-muenchen.de .
Abstract
The question whether lipid based — especially triglyceride based — depot systems can undergo biodegradation is despite many in vivo studies still unanswered. In this paper we studied biodegradation processes in vitro by incubating these lipid based systems in buffer media containing lipases. The main degradation product the free fatty acids (FFA) were isolated from the drawn samples and after derivatization analyzed with RP-HPLC. Lipid microparticles showed a rapid biodegradation whereas the complete degradation of compressed implants would take several months or years. For these two systems surface degradation can be stated. Surprisingly lipid based extrudates changed their structure dramatically upon lipase incubation resulting in a breakdown of the lipid matrix and formation of small lipid particles in the pm-range. This sort of bulk-degradation may enable the use of lipid based extrudates for the long term delivery of drugs. However additional in vivo experiments will be necessary to fully characterize these degradation processes.
Keywords: Lipid based depot systems, Biodegradation, Erosion, Extrudates, Implants.
Introduction
In recent years great efforts have been made in the development of lipid based parenteral drug delivery devices. Although approved polymers like poly(D,L-lactide-co-glycolide-acid) (PLGA) are still state of the art for the preparation of parenteral drug delivery devices, depot systems based on lipid materials arouse much interest among protein formulators since biocompatibility, release and effect on the stability of the entrapped bioactive drug appear advantageous.
Since the late 70s lipids i.e. fatty acids, triglycerides, cholesterol and lecithin have been used as excipients for the preparation of implants designed for the sustained delivery of drugs like steroids and morphine derivates [1,2]. In the late 80s Wang et al. prepared implants for the controlled delivery of insulin consisting of fatty acids or cholesterol. Implants made of fatty acids showed erosion in vivo; however it was reported that the administration of fatty acids as matrix material leads to inflammation and formation of blisters in the animal tissue. Further on, the use of fatty acid-monoglycerides is limited due to the fast erosion of these systems [3-5]. In 2001 Reithmeier et al. prepared glyceryltripalmitate microparticles and PLGA-based microparticles and compared their biocompatibility after implanting both formulations in mice. After 7 days the amount of PLGA-microparticles as well as the lipid microparticles at the site of implantation was reduced most probably due to degradation in the subcutaneous tissue [3]. In 2003 Vogelhuber et al. produced cylindrical matrices consisting of triglycerides or triglyceride/cholesterol mixtures which allowed a release of pyranine, a model compound, for more than 120 days. In vitro no erosion was detectable [4]. In 2006 Mohl et al. developed a tristearin implant for the controlled delivery of rh-INF over 1 month. In further studies the stability of the entrapped protein in the lipid matrix could be verified [5,6]. Stability and bioactivity of the encapsulated protein was also confirmed by Appel regarding the release of insulin from tripalmitate cylinders in the cell culture [7]. In 2006 Guse et al. conducted an animal experiment with the aim to investigate on the biocompatibility of glyceryltripalmitate and on the effect of cholesterol and distearoyl-phosphatidyl-choline (DSPC) on the erosion behaviour of the lipid matrices. It could be shown that DSPC is quickly eroded leading to a residual porous lipid structure consisting of triglycerides [8]. In order to prove the biocompatibility and to investigate on the in vivo in vitro correlation of the rh-INF release from the tristearin implants an experiment with rabbits as animal model was conducted by Schwab et al. [9] In this study, once again, triglyceride implants showed a good biocompatibility but signs of bioerosion couldn't be detected.
In summary, depot systems based on lipids — especially triglycerides — are a valuable alternative to the already approved polymeric systems. Especially for long term drug delivery lipids seem to be superior to the commonly used polymers, due to their ability to maintain the stability of the entrapped proteins for a long period of time and due to their excellent biocompatibility. However, the question whether parenteral lipid drug delivery devices — especially implants — are biodegradable is still unanswered as there is no data available from the application in humans. Biodegradation of the lipid depot systems surely is one major parameter for the future success of these materials concerning an approval for their use in human medicine.
Therefore we decided to systematically study the degradation of various lipid drug delivery devices incubated in lipase solution under physiological conditions. As lipases are present in human subcutaneous fat tissue [10-12] in muscle tissue [13] as well as in serum fluids [14] they therefore exhibit the possibility to hydrolyze lipid based drug delivery systems. Our aim was to investigate whether lipid based depot systems would undergo degradation in the presence of lipases. Further on, we wanted to elucidate the influence of the lipid composition, the size and the manufacturing process of the implants on the degradation kinetics.
Little is known about the activity of lipases and their ability to degrade exogenous lipids brought in the body by injection or infusion [15] since research is mostly concentrating on the relationship of lipase activity — i.e. hormone sensitive lipase, lipoprotein lipase and serum hepatic lipase — and lipid metabolism in the context of obesity [10,12,14,16-23]. In general one can state that the average lipase activity in the human serum and subcutaneous fat tissue has approximately an activity of 0.01 U/ml. In these studies higher lipase activities were chosen with respect to the analytical sensitivity and time frame of the experiments. It is therefore understood that the results of the described experiments should be viewed with some caution as the employed lipase levels are 5000-15,000 times higher than the activities present in human tissue.
Materials and methods
Materials
All lipids (glyceryltristearate, -tripalmitate, -trimyristate -trilaurate, lipid mixture E85, lipid mixture H12) used in this study were purchased from Sasol GmbH, Witten, Germany.
Lipases (lipoproteinlipase from pseudomonas sp. and lipase from Rh. Oryza) and all other chemicals were purchased from Sigma- Aldrich, Deisenhofen, Germany.
Methods
Preparation techniques
Preparation of microparticles
Placebo lipid microparticles either consisting of glyceryltripalmitate or glyceryltristearate were produced resulting in 2 different particle sizes (10 μm and 100 μm mean particle size).
The production techniques are described as followed:
Lipid microparticles preparation
Placebo lipid microparticles were produced using 2 different preparation techniques widely used for the preparation of polymeric or lipid based microparticles [3,24]:
Solvent evaporation method
300 mg lipid powder was dissolved in 1.0 ml organic solvent (e.g. methylene chloride). The resulting solution was further emulsified at 40 °C into a small volume (3.0 ml) of a 1%(w/v) aqueous PVA solution using an Ultra Turrax® (IKA Werke GmbH & Co. KG Staufen, Germany). Particle size was controllable by adjusting the rotation speed of the emulsification tool. The emulsion was poured into a larger volume (150 ml) of an ice-cooled (5°C) aqueous phase (PVA 0.1% (w/v)) and stirred with a propeller stirrer to allow for the evaporation of the organic solvent. The hardened microparticles were separated from the aqueous phase by filtration, rinsed with 40 ml of water and vacuum dried overnight at room temperature.
Melt dispersion method
With this preparation technique, a lipid melt was used instead of the solution of the lipid in an organic solvent. The lipid melt (300 mg lipid powder heated above its melting point was poured into the PVA solution and emulsified as described for the solvent evaporation method. The following steps were the same as for the solvent evaporation method. The stirring time was reduced from 30 min to 5 min since this method is solvent free.
Implant manufacturing
Implants were prepared by using a 5 ton hydraulic press (Maassen, Eningen, Germany).
The implant component, i.e. tristearate powder was ground either with or without pore builder and compressed with a pressure of 2 t for 30 s. The obtained implants had an average weight of 50 mg a diameter of 5 mm and an average height of approximately 2.3 mm.
Preparation of twin-screw extrudates (tsc-extrudates)
Lipid based tsc-extrudates were prepared using a MiniLab® Micro Rheology Compouner (Thermo Haake GmbH Karlsruhe, Germany). Extrusion temperature was set to 43 °C to 48 °C which was slightly above the melting temperature of the respective low melting trigyceride. As pore forming agent PEG 6000 was used either alone or in combination with hydroxypropyl-β-cyclodextrin lyophilisate (lyo). After application of the lipid powder mixture into the extruder barrel and subsequent softening of the mixture, extrusion was performed through the extruder outlet dye (diameter 2.0 mm). The rotation speed of the extruder screws was set to 40 rpm and the bypass channel was closed to inhibit material circulation within the extruder.
Degradation studies setup
In this study, solid lipid drug depot formulations i.e., microparticles, compressed implants, and extrudated rods were incubated at 37 °C in PBS (2.0 ml isotonic 0.01 M phosphate buffer pH 7.4) containing the lipases mentioned above in different activities (100, 200 and 300 U/2 ml respectively). After 3 days of incubation the buffer media with the lipases was exchanged with fresh medium. FFA were isolated from the drawn samples and, after derivatization, analyzed. The amount of FFA released during the incubation was used to compare the different formulations in terms of biodegradation. Degradation of the lipid mass was calculated as percentage of the total amount of saponifiable lipid mass.
Microparticles
10 mg ofmicroparticles were incubated at 37 °C in 2 ml PBS pH 7.4 containing 100 U of both lipases. After 3 days 100 μl of the supernatant were drawn and the volume was replenished with fresh lipase solution. FFA were isolated from the drawn samples and, after deriv- atization, analyzed.
Compressed lipid implant study
In order to investigate on the degradation behaviour of compressed lipids tristearate implants were prepared from tristearate powder applying compression forces used for the preparation of the implants established in previous experiments [5,9].
The relationship between the lipase activity and the FFA-rate was analyzed using 3 different lipase activities (100, 200 and 300 U /2 ml respectively).
To analyse the influence of pores in the lipid implants tristearate implants were produced with increasing amount of pore builder (PEG 6000). The amount of pore builder used was 0, 20, 30, 40 and 50%. Prior to the start of the degradation experiments the implants were incubated in PBS for 4 weeks to allow the pore building agent to dissolve.
Lipid extrudate degradation study
10 different formulations of lipid based extrudates have been produced for this study. The prepared lipid extrudates always consist of a low melting and a high melting lipid component. Glyceryltris- tearate (D118), glyceryltripalmitate (D116) and glyceryltrimyristate (D114) served as high melting lipid component, whereas glyceryl trilaurate (D112) and two triglyceride-mixtures (H12 and E85) served as low melting component. H12 and E85 are synthetically produced triglycerides consisting of different fatty acids (lauric, myristic and palmitic acid) esterified in different ratios with glycerol. Due to the specific composition H12 has a melting point of approx. 35 °C and E 85 melts at 41 °C.
In Table 1 the different formulations of the produced lipid extrudates are listed.
Table 1. Formulation oflipid based extrudates: D118 (glyceryltristearate), D116 (glyceryltripalmitate), D114 (glyceryltrimyristate),D112 (glyceryltrilaurate), H12 (lipid composition consisting of different fatty acids (lauric, myristic and palmitic acid) esterified in different ratios with glycerol; melting point 34 °C), E85 (mixture of different fatty acids (lauric, myristic and palmitic acid) esterified in different ratios with glycerol; melting point 41 °C).

The aim of this study was to investigate on the effect of the high melting lipid composition, the effect of the low melting lipid composition, the effect of the ratio of the lipid composition and the effect of the different amounts of pore builder on the degradation behaviour.
The results of the preliminary experiments (data not shown) showed that the presence of PEG can interfere with the lipase induced lipolysis in an unpredictable manner therefore lipid extrudates have been incubated in 2 ml PBS pH 7.4 for 4 weeks to allow the pore builder to dissolve. These extrudates were used for the lipase incubation. A second batch of extrudates has been incubated in PBS for 2 months without the addition of the lipase solution to investigate on the stability under non lipolytic conditions.
Characterization methods
FFA extraction method
FFA were extracted from the lipase activity assay samples and samples drawn in the degradation experiments. Extraction provided quick analysis time and avoidance of derivatization interference with buffer components. The extraction method is based on the Dole and Meinertz extraction procedure [25]. The extraction solvent was prepared by mixing isopropanol-heptane- phosphoric acid (2 M) (40:10:1, v/v) and was thoroughly stirred before use. Extraction solvent (2.5 ml) was added and the tubes were thoroughly vortexed. The tubes were then immersed in a sonicator water bath (Branson Ultrasonic, Danbury, CT, USA) and the samples were sonicated in 30 s intervals for 2 min. Care was taken to avoid heating the samples during sonication. The samples were then vortexed vigorously and allowed to incubate at room temperature for 10 min. Heptane (1 ml) and water (1.5 ml) were added and the tubes were thoroughly vortexed and sonicated again for one min. Tubes were centrifuged at 1000 g for 10 min at 4 °C. After centri-fugation the top organic layer was seen to separate cleanly from the aqueous layer. A 1.5 ml aliquot (88% of the total organic layer of 1.7 ml) of the top layer was transferred carefully using a pipette to 1.5 ml HPLC vials and dried under a stream of warm nitrogen. These samples were then used for derivatization.
Free fatty acid determination
As free fatty acids (FFA) are the major cleavage product of lipase induced triglyceride degradation, a quantifiable analysis was based on the FFA release upon lipid degradation. Phenacyl esters of fatty acids were prepared by the method described by Wood and Lee [26]. Briefly, samples were placed in HPLC vials with closed silicone/PTFE screw caps (VWR International, Darmstadt, Germany), then 25 ml of a phenacyl bromide solution (10 mg/ml in acetone) and 25 ml of a triethylamine solution (10 mg/ml in acetone) were added, capped under N and heated in a boiling water bath for 5 min. The excess of the phenacyl bromide was reacted with acetic acid (40 μl of a 2 mg/ml solution in acetone) and, after the evaporation of the solvents under a stream of N2 at a laboratory temperature, the derivatization products were reconstituted in methanol. FFA solutions of known concentrations (5-200.0 μg/ml) in methanol were used to generate calibration curves. Samples were analyzed using a Thermo Separation Products HPLC system (Thermo Fisher Scientific, Inc. Waltham, U.S.A.) equipped with a LiChrospere RP C18 column (4.6 mm i.d.x250 mm, 5 pm) (Merck, Darmstadt, Germany). The mobile phase was a mixture of methanol-acetonitrile- water (80:10:10 (v/v)). Elution of phenacyl esters was monitored by absorbance at 254 nm. The detection limit was about 5 μg FFA per ml, accounted for stearic acid, i.e. approx. 20 nmol of fatty acid.
Lipase activity assay
In order to determine the activity and the stability of the used lipase enzyme activity assays were carried out.
For each assay a trioleate emulsion was prepared by mixing 4.5 ml polyvinyl alcohol solution (2% w/v) with 1.5 ml triolein. This mixture was then emulsified at 0 °C with an Ultra Turrax® for 2 min at 15,000 rpm. 500 μl of this emulsion and 400 μl PBS buffer 0.01 M pH 7.4 then were incubated in a 2 ml Eppendorf cap for 10 min at 37 °C in a water bath. 100 μl of lipase solution was added and the mixture was incubated again at 37 °C. After 10 min the reaction was stopped by adding 1 ml of a methanol:acetone:methylene chloride mixture (1:1:1 v/v). Before derivatization and HPLC analysis the FFA produced in the triglyceride cleavage were extracted using the method described below.
1 U of enzyme activity was defined as the release of 1 μmol FFA per min at 37°.
Scanning Electron Microscopy (SEM)
To investigate whether degradation of lipid drug delivery devices is visible SEM measurements were carried out. Samples were analyzed using a Field Emission Scanning Electron Microscope Joel JSM-6500F (Joel Inc., Peabody, USA). Therefore samples were put on adhesive carbon tape (BAL-TEC AG, Balzers, Principality of Liechtenstein) and attached to a custom made brass stub, carbon-sputtered and analyzed.
Particle size distribution
Particle size was determined using a Horiba LA 950 laser diffraction particle size distribution analyzer (Retsch Technology GmbH, Haan, Germany).
Determination of lipase adsorption on lipid surface
In order to analyse the amount of lipase adsorbed on the surface of the lipid devices, i.e. the amount of lipase which is hydrolytically active at the lipid-water interface, adsorption studies were carried out using a modified method after Brockmann [27]. Briefly, after the incubation of the lipid implants in lipase solutions for a defined amount of time at 37 °C, implants were washed in water and then incubated for 15 min in PBS pH 7.4 containing 0.15% Brij 35 to desorb bond lipase. Aliquots of the resulting solution were assayed for lipase concentration determination via fluorescence spectroscopy.
A calibration curve of known lipase concentrations was prepared for each adsorption test.
Results
Microparticles
Samples drawn from the incubated microparticles revealed a steady generation of free fatty acids due to the lipase activity (Fig. 1).For D118 microparticles a distinctive differentiation can be made concerning the degradation velocity of microparticles produced with different preparation techniques: microparticles produced with the solvent evaporation technique show faster degradation than microparticles prepared with the melt dispersion technique. Regarding the influence of the particle size on the FFA release from the microparticles it was found that it has a bigger influence for longer chain length triglycerides than for shorter chain lengths. For the particles made from D116 no such distinction can be made. All particle batches showed comparable degradation velocities. After 48 days the degradation of the total lipid mass reached 80% for D116 whereas D118 microparticles showed a degradation ranging from 45 to 65%. Over the time degradation velocity was decreasing in both studies probably due to the lipases inhibition by the cleavage products, i.e. by the accumulation of fatty acids in the incubation tubes as reported in the literature [28].

Figure 1. Degradation study of lipid microparticles over 48 days (average + S.D., n = 3).
To investigate whether the degradation of the lipid drug delivery devices was visible SEM measurements were carried out. SEM photographs revealed strong differences in the surface morphology prior and after the degradation period. As seen in Fig. 2a-b the surface of the microparticles before lipase incubation was smooth whereas microparticles incubated with lipase changed their morphology towards a rough and uneven surface. However cracks or pores couldn't be detected indicating that the degradation is only happening at the lipid water interface.

Figure 2. SEM-pictures of lipid microparticles and compressed implants: a) D116 lipid microparticle prepared by melt dispersion (MD) method before incubation (magnification 2000x). b) D116 lipid microparticle (MD) after incubation with lipase (magnification 2000x). c) D118 implant surface before incubation (magnification 2000x). d) D118 implant surface after lipase incubation (magnification 2000x).
Implants degradation study
Compressed tristearate implants showed a constant and linear FFA release during lipase incubation. After 60 days of incubation only 0.7% of the total lipid mass was degraded by the enzymes. Compared to the fatty acid release from the microparticles, degradation kinetics of the implants were very slow most probably due to the small surface area exhibited by the implants. When extrapolating the applied lipase activity to a level found in human tissue (approx. 0.01 U/ml) the total degradation of these systems would surely exceed the average life span of a human being (> 100 years). Macroscopically analyzed implants showed no change in surface morphology. However, SEM photographs did show changes in surface morphology but revealed no cracks or holes in the lipid matrix (Fig. 2c-d). Typical lipid crystals were visible after lipase incubation in high magnification. As expected, these findings confirm the interfacial activity of the lipases [29-31 ] resulting in a strict surface degradation and erosion of the compressed lipid implants. In this study we can assume the substrate concentration, i.e. the lipid, to be very low and the enzyme being not saturated, thus resulting in linear fatty acid release over several days. To analyze whether an increase in surface area could increase lipid hydrolysis porous implants were prepared.
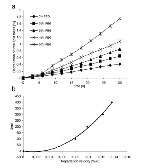
With increasing amount of pore builder fatty acid generation was increased in a linear manner. Implants with 50% of pore builder partially collapsed upon lipase incubation probably due to the physically instable porous structure. These fragments additionally increased the surface area presented to the lipase thus increasing the total degradation rate up to 1.8% after 30 days of incubation (Fig. 3a). The relationship between degradation rate and lipase activity was analyzed in another experiment. In this setup tristearate implants were incubated with 100, 200, 300 and 400 U/2 ml lipase respectively. As seen in Fig. 3b the results indicate that, after an initial a plateau phase, a linear relationship between the lipase activity and the degradation velocity can be assumed over a wide range of the lipase activity. To investigate on the amount of lipase involved in the lipid cleavage lipase adsorption studies have been conducted as described above.

Figure 3. Results on porous implants: a) Studies on the effect of porosity on the degradation velocity (Average + S.D., n = 3). b) Degradation velocity [%/d] of compressed D118 implants versus the lipase activity.
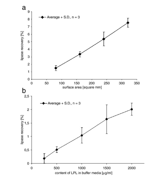
Lipase adsorption studies
Results of these studies show that only a minor percentage of the total lipase used in these experiments is involved in the cleavage of the triglyceride. It can be presumed that less than 0.25% of the total lipase content is bound on the lipid surface of a compressed implant when applying a lipase activity of 100 U (Fig. 4a). Another experiment confirmed the linear relationship between lipase adsorption and presented lipid surface (Fig. 4b).

Figure 4. Lipase adsorption studies: a) Lipase recovery versus surface area. b) Lipase recovery plotted against lipase content in buffer media.
Extrudates degradation study
10 formulations of lipid based extrudates exhibited different degradation rates. Compared to the degradation rates of implants extrudate degradation was almost 10 times faster reaching up to 4% after 30 days of incubation. In our study we focused on the influence of the low melting lipid component, the high melting lipid component, the effect of the ratio of the different lipid components and the effect of pore builder on the degradation behaviour.
Reference extrudates stored in lipase-free buffer media for 2 months remained stable and showed no signs of erosion.
Effect of the low melting component
As seen in Fig. 5 extrudates containing trilaurate or H12 showed the highest degradation rate, reaching over 3% of lipid mass degradation after 30 days of incubation, whereas extrudates comprising E85 showed a lipid mass degradation of about 1.5%.

Figure 5. Extrudate degradation study: influence of the low melting lipid component on the degradation velocity (Average + S.D., n = 3).
Effect of the high melting lipid component: The use of D114 as high melting lipid component leads to the highest degradation rate (3.6%) compared with D116 or D118 based extrudated implants (Fig. 6).

Figure 6. Extrudate degradation study: influence of the high melting lipid component on the degradation behaviour (Average + S.D., n = 3)..
The effect of the mixing ratio of the lipid composition: Extrudated lipid implants were always prepared from mixtures of high and low melting components. As seen in Fig. 7 the composition with a mixing ratio of 80:20 showed a degradation of 3.75% of the total lipid mass after 30 days and therefore seems superior to 70:30 (2.5%) or 90:10 (1.6%).

Figure 7. Extrudate degradation study: influence of the ratio of low and high melting component on the degradation behaviour (Average + S.D., n = 3).
Effect of the amount of pore builder
As already confirmed by the experiments with porous implants, extrudated lipid rods containing the highest amount of pore builder exhibited the highest degradation rate (3.95%). Extrudates without any pre-built pores reached only 1.65% of total lipid degradation at the end of the degradation study (Fig. 8).

Figure 8. Extrudate degradation study: influence of the PEG content on the degradation behaviour (Average + S.D., n = 3).
Surprisingly almost all extrudates —except E1, E4 and E7— lost their physical integrity after a few days of lipase incubation resulting in small lipid particles suspended in the buffer media. The extrudates of the control group maintained their structure and morphology after incubation for more than 2 months in buffer media without lipase solution. Laser light diffraction measurements were carried out to analyze the size of the generated particles. As seen in Fig. 9 mean particle sizes of the collapsed lipid extrudates were in the μm size range.

Figure 9. a) SEM photographs of particles generated during lipid matrix collapse of incubated extrudates (magnification 1000x). b) Surface morphology of particle generated by matrix collapse of lipid based extrudates (magnification 1000x). c) Typical particle size distribution of particles generated during lipase incubation of lipid based extrudates (size distribution of particles from extrudate formulation E6). d) Table of particle size distributions: mean particle size range (Average size [μm]).
This breakdown of the lipid matrix is rather unexpected and can be considered as a form of bulk erosion. Since polymers typically undergo surface erosion when they are enzymatically degraded [32-34] additional experiments have to be carried out in order to explain the reasons for the lipid extrudate erosion phenomenon and to analyze the mechanism of the lipid matrix breakdown. However, in vivo such degradation behaviour would be highly desirable as the generated small particles can be finally washed away by body fluids or can be eliminated by phagocytosis and therefore would lead to minimized irritation and foreign body reactions.
Conclusion
The presented results lead to the conclusion that depot systems based on single triglycerides and triglyceride-mixtures can be degraded by lipolytic enzymes under physiological conditions. Although lipid cleavage is a rather slow process, our studies clearly demonstrate that this process can be accelerated by using certain materials, implant geometries and preparation techniques. For particulate systems it can be stated that with decreasing particle sizes lipase degradation is increasing and finally capable to fully degrade such microparticles. This finding is consistent with the results of Reithmeier et al. who claimed a reduction of the number of implanted microparticles after 7 days of incubation [3].
Thus, if a short term drug delivery is necessary lipid microparticles may very well fulfil all the requirements for biodegradable controlled release devices. Compared to the microparticles compressed implants show only very slow degradation velocity. Presumably this is a result of the minor adsorption rate of the enzymes on the monolithic compressed lipid system: since microparticles exhibit a higher surface area due to their particulate nature these systems can be degraded quicker as monolithic systems with a relatively small surface area. Our studies indicate that the lipid cleavage is strictly happening on the surface of the implants — a finding concordant with several other publications [31,35,36]. This surface degradation and erosion process prevents interference with the drug release mechanism of such lipid drug delivery systems. Nevertheless a complete degradation of these compressed systems is extremely unlikely since — assuming a pure enzymatic based degradation — lipid cleavage would take more than hundred years. The results on extrudates studies show that it is possible to increase the degradation by changing the geometric form and the preparation technique of the depot system and thereby increasing the surface area. Using certain lipid components changes the degradation behaviour dramatically resulting in "collapsing” extrudates generating lipid particles in the μm range. This erosion process can be influenced by the amount of pore builder as well as by the sort and the ratio of the used lipid components. Dissolution of the pore builder or of the entrapped drugs promotes the generation of an interconnected pore network which seems to induce the observed collapse of the lipid structure. The generated particles exhibit a higher surface area thus resulting in the following to a faster biodegradation compared to an intact depot system based on the same components Summarizing, we can assume, that the degradation of the lipid based drug delivery systems will occur in the human body even if assuming that the lipase activity levels in vivo are lower than the levels used in these in vitro studies. Additionally we can conclude that the observed bulk erosion process — if controllable — may lead to the development of fully erodible and degradable drug delivery systems. With such systems both long terms sustained release and eventual total biodegradation and bioerosion should be achievable.
References
M.F. Sullivan, P.S. Ruemmler, D.R. Kalkwarf, Sustained administration of cyclazocine for antagonism of morphine, Drug and Alcohol Dependence 1 (6) (1976) 415-428.
A.A. Joseph, J.L.J. Hill, S. Patel, A. Kincl, Sustained-release hormonal preparations XV: release of progesterone from cholesterol pellets, Journal of Pharmaceutical Sciences 66 (4) (1977) 490-493.
H. Reithmeier, J. Herrmann, A. Gopferich, Lipid microparticles as a parenteral controlled release device for peptides, Journal of Controlled Release 73 (2-3) (2001)339-350.
W. Vogelhuber, E. Magni, A. Gazzaniga, A. Gopferich, Monolithic glyceryl trimyristate matrices for parenteral drug release applications, European Journal of Pharmaceutics and Biopharmaceutics 55 (2003) 133-138.
S. Mohl, G. Winter, Continuous release of rh-interferon [alpha]-2a from triglyceride matrices, Journal of Controlled Release 97 (1) (2004) 67-78.
S. Mohl, G. Winter, Continuous release of rh-interferon T±-2a from triglyceride implants: storage stability of the dosage forms, Pharmaceutical Development and Technology 11 (1) (2006) 103-110.
B. Appel, A. Maschke, B. Weiser, H. Sarhan, C. Englert, P. Angele, T. Blunk, A. G?pferich, Lipidic implants for controlled release of bioactive insulin: effects on cartilage engineered in vitro, International journal of Pharmaceutics 314 (2) (2006) 170-178.
C. Guse, S. Koennings, A. Maschke, M. Hacker, C. Becker, S. Schreiner, T. Blunk, T. Spruss, A. Goepferich, Biocompatibility and erosion behavior of implants made of triglycerides and blends with cholesterol and phospholipids, International Journal ofPharmaceutics 314 (2) (2006) 153-160.
M. Schwab, B. Kessler, E. Wolf, G. Jordan, S. Mohl, G. Winter, Correlation of in vivo and in vitro release data for rh-INF[alpha] lipid implants, European Journal of Pharmaceutics and Biopharmaceutics 70 (2) (2008) 690-694.
V. Large, P. Arner, S. Reynisdottir, J. Grober, V. Van Harmelen, C. Holm, D. Langin, Hormone-sensitive lipase expression and activity in relation to lipolysis in human fat cells, Journal of Lipid Research 39 (8) (1998) 1688-1695.
K.N. Frayn, D. Langin, C. Holm, P. Belfrage, Hormone-sensitive lipase: quantitation of enzyme activity and mRNA level in small biopsies of human adipose tissue, Clinica ChimicaActa 216 (1-2) (1993) 183-189.
T. Ruge, V. Sukonina, T. Myrnas, M. Lundgren, J.W. Eriksson, G. Olivecrona, Lipoprotein lipase activity/mass ratio is higher in omental than in subcutaneous adipose tissue, European Journal of Clinical Investigation 36 (1) (2006) 16-21.
B. Richelsen, S.B. Pedersen, K. Kristensen,J.D. Borglum, H. Norrelund, J.S. Christiansen, J.O.L. Jorgensen, Regulation of lipoprotein lipase and hormone-sensitive lipase activity and gene expression in adipose and muscle tissue by growth hormone treatment during weight loss in obese patients, Metabolism 49 (7) (2000) 906-911.
J. Kobayashi, M. Kusunoki, Y. Murase, M. Kawashiri, T. Higashikata, K. Miwa, S. Katsuda, M. Takata, A. Asano, A. Nohara, A. Inazu, H. Mabuchi, Relationship of lipoprotein lipase and hepatic triacylglycerol lipase activity to serum adiponectin levels in Japanese hyperlipidemic men, Hormone and Metabolic Research (8) (2005) 505-509.
AA Thorne, W., C. Carneheim, T. Olivecrona, J. Nordenstrom, Influence of trauma on plasma elimination of exogenous fat and on lipoprotein lipase activity and mass, Clinical Nutrition 24 (1) (2005) 66-74.
B. Persson, B. Hood, Characterization of lipoprotein lipase activity eluted from human adipose tissue, Atherosclerosis 12 (2) (1970) 241-251.
J.C. Khoo, W.W. Fong, D. Steinberg, Activation of hormone-sensitive lipase from human adipose tissue by cyclic AMP-dependent protein kinase, Biochemical and Biophysical Research Communications 49 (2) (1972) 407-413.
P.E.S. Fielding, V. G., C.J. Fielding, Cardiovasc., lipoprotein lipase. Properties of the enzyme isolated from post-heparin plasma. Cardiovasc. Res. Inst., Univ. California, San Francisco, CA, USA, Biochemistry 13 (21) (1974).
C.F. Cheng, A. Bensadoun, T. Bersot, J.S. Hsu, K.H. Melford, Purification and characterization of human lipoprotein lipase and hepatic triglyceride lipase. Reactivity with monoclonal antibodies to hepatic triglyceride lipase, Journal of Biological Chemistry 260 (19) (1985) 10720-10727.
P.H. Iverius, J.D. Brunzell, Human adipose tissue lipoprotein lipase: changes with feeding and relation to postheparin plasma enzyme, American Journal of Physiology: Endocrinology and Metabolism 249 (1) (1985) E107-114.
R. Hayashi, S. Tajima, A. Yamamoto, Purification and characterization of lipoprotein lipase from human postheparin plasma and its comparison with purified bovine milk lipoprotein lipase, Journal of Biochemistry 100 (2) (1986) 319-331.
K. Chakrabarty, J. Radhakrishnan, R. Sharifi, M.F. Mozes, J.R. Manaligod, H. Jeffay, Lipogenic activity and brown fat content of human perirenal adipose tissue, Clinical Biochemistry 21 (4) (1988) 249-254.
S.J. Yeaman, G.M. Smith, C.A. Jepson, S.L. Wood, N. Emmison, The multifunctional role of hormone-sensitive lipase in lipid metabolism, Advances in Enzyme Regulation 34 (1994) 355-370.
R. Bodmeier, J. Wang, H. Bhagwatwar, Process and formulation variables in the preparation of wax microparticles by a melt dispersion technique. II. W/O/W multiple emulsion technique for water-soluble drugs, Journal of Microencapsulation 9 (1) (1992) 99-107.
V.P.M. Dole, Hans, Microdetermination of long-chain fatty acids in plasma and tissues, Journal of Biological Chemistry 235 (1960) 2595-2599.
R. Wood, T. Lee, High-performance liquid chromatography of fatty acids: quantitative analysis of saturated, monoenoic, polyenoic and geometrical isomers, Journal of Chromatography A 254 (1983) 237-246.
T.T.A.H.L. Brockman, Regulation of carboxylester lipase adsorption to surfaces. 2. Physical state specificity, Biochemistry 26 (25) (1987).
I. Posner, DeSanctisJ., Kinetics of product inhibition and mechanisms of lipoprotein lipase activation by apolipoprotein C-II, Biochemistry 26 (12) (1987) 3711-3717.
P. Reis, K. Holmberg, R. Miller, J. Kragel, D.O. Grigoriev, M.E. Leser, H.J. Watzke, Competition between lipases and monoglycerides at interfaces, Langmuir 24 (14) (2008) 7400-7407.
M. Dahim, H. Brockman, How colipase-fatty acid interactions mediate adsorption of pancreatic lipase to interfaces^, Biochemistry 37 (23) (1998) 8369-8377.
P. Reis, R. Miller, J. Kralgel, M. Leser, V.B. Fainerman, H. Watzke, K. Holmberg, Lipases at interfaces: unique interfacial properties as globular proteins, Langmuir 24 (13) (2008) 6812-6819.
L.S. Nair, C.T. Laurencin, Biodegradable polymers as biomaterials, Progress in Polymer Science 32 (8-9) (2007) 762-798.
C.G. Pitt, R.W. Hendren, A. Schindler, S.C. Woodward, The enzymatic surface erosion of aliphatic polyesters, Journal of Controlled Release 1 (1) (1984) 3-14.
Z. Zhang, S. Zou, G.J. Vancso, D.W. Grijpma, J. Feijen, Enzymatic surface erosion of poly(trimethylene carbonate) films studied by atomic force microscopy, Biomacromolecules 6 (6) (2005) 3404-3409.
A.M. Brzozowski, U. Derewenda, Z.S. Derewenda, G.G. Dodson, D.M. Lawson, J.P. Turkenburg, F. Bjorkling, B. Huge-Jensen, S.A. Patkar, L. Thim, A model for interfacial activation in lipases from the structure of a fungal lipase-inhibitor complex, Nature 351 (6326) (1991)491^94.
P. Reis, K. Holmberg, R. Miller, J. Kralgel, D.O. Grigoriev, M.E. Leser, H.J. Watzke, Competition between lipases and monoglycerides at interfaces, Langmuir 24 (14) (2008) 7400-7407.