S. Suhonena, S. Sipinenb, P. Lähteenmäkib, H. Lainec,.J. Rainioc and H. Arkod
aDepartment of Obstetrics and Gynaecology, City Maternity Hospital, bSteroid Research Laboratory, University of Helsinki and Departments of cRadiology and dPathology, City Maternity Hospital, Helsinki ( Finland).
Correspondence to: S. Suhonen MD, Steroid Research Laboratory, Department of Medical Chemistry, Siltavuorenpenger 10 A, SF-00170 Helsinki, Finland. 1Presented at the Second Annual Meeting of the North American Menopause Society, Montreal, Canada, 25-28 September, 1991.
Ten postmenopausal patients were treated by means of subcutaneous oestradiol-releasing silastic im-plants. Half of the patients received 3 implants, each containing 12 mg oestradiol valerate (E2V), while the other half received 4 implants, each containing 27 mg oestradiol benzoate (E2B). Progestogen was added to the treatment for 14 days, 6 weeks after implant insertion and every fourth week thereafter. Serum levels of oestrone (E1)> oestradiol (E2), follicle-stimulating hormone (FSH) and luteinizing hormone (LH) were followed up. The effects on endometrial thickness, uterine volume and breast tissue were evaluated by ultrasound, mammography also being used for breast examination. The follow-up period was 24 weeks, but the implants were not removed until the climacteric symptoms reappeared.E1and E2 levels remained higher and gonadotrophin levels lower than the pretreatment values during the 24-week follow-up period. Oestrogen effects were seen in both the uterus and the breasts. Both types of implant were effective in relieving climacteric symptoms. The mean time for symptom return was 10 months (range 6-18 months) in the E2V group and 8 months (range 4-12 months) in the E2B group. Our results indicate that nonbiodegradable controlled-release oestrogen implants offer a safe, effective, convenient and well-accepted alternative means of administering oestrogen replacement therapy.
Key words: oestrogen replacement therapy; subcutaneous implant; silastic.
Introduction
Oral preparations are currently the most widely used means of administering oestrogen replacement therapy (ERT). However, to avoid disadvantages of oral therapy (daily intake, first-pass liver metabolism effect and hormone levels that fluctuate unphysiologically) alternative forms of administration have been developed, e.g. oestrogen creams [1] and transdermal oestradiol patches [2-4]. Even so, the need for twice-weekly application and local skin reactions constitute major disadvantages with patches in clinical practice [5]. Subcutaneous oestrogen implants (mainly pellets) have also been used in ERT, but although the application technique is simple [6] and the treatment both effective and well accepted [7-9], implant therapy has still not found its place. Some fundamental questions still need to be answered before the optimal release profile and duration of treatment can be achieved. Among these are which oestrogen and which formulation should be used. Silastic implants that release levonorgestrel (LNG) are now in clinical use for contraception (Norplant®). This fact and the results achieved with oestrone-releasing silastic implants [10] led us to examine oestradiol valerate (E2V) and oestradiol benzoate (E2B) silastic implants and to evaluate their clinical, hormonal, endometrial and breast-tissue effects.
Subjects and Methods
Ten healthy postmenopausal women who were suffering from climacteric symptoms volunteered for the study. They had no contraindications to hormone replacement therapy (HRT) and had not received such therapy during the previous 3 months. Mean age was 50 years (range 31-61) and mean time since menopause 4.9 years (range 1-11). One 31-year-old woman had been undergoing extensive endocrinological examinations at the time she became amenorrhoeic, but no other endocrinological abnormality except premature ovarian failure was found.
We used silastic implants manufactured by Leiras Oy (Turku, Finland). Patients received either 3 implants, each containing 12 mg E2V (mol. wt. 356.5) or 4 implants, each containing 27 mg E2B (mol. wt. 376.5). The average daily release rate of steroid from a set of E2V implants was 55 ± 5.7 μg (mean ± S.D.) and from an E2B set 53 ± 3.1 μg. This was calculated by subtracting from the initial total weight of the implants for each patient the weight of the implants after they had been dried for 1 h at 100°C following removal. The weight difference was then divided by the total implantation time in the individual patient.
The patients were randomly allocated to two groups of five. The implants were inserted subcutaneously in the left forearm under local anaesthesia. Five women each received three E2V implants and the other five each received four E2B implants. Six weeks after implant insertion, progestogen was added to the treatment; one patient in each group was given 100 mg/day oral micronized progesterone for 14 days and the rest 5 mg/day medroxyprogesterone acetate for the same period. The progestogen therapy was repeated every fourth week thereafter.
Blood samples for E1; E2, FSH and LH analyses were obtained prior to implant insertion and then 2, 4 and 14 days and 6, 8, 14, 16 and 24 weeks after insertion. The samples were allowed to clot, serum was separated by centrifugation and aliquots were stored at -20°C until analysis. Serum E1 and E2 were measured by a direct radioimmunoassay method according to Edqvist and Johansson [11]. The sensitivity of the assays for both hormones was 10 pg/ml. The intra-assay coefficient of variation (CV) for E1 was 5.3-9.3% and for E2 7.7-9.0%, while the interassay CVs were 16-18.9% and 9.3-10.5%, respectively. Serum FSH and LH were measured using a time-resolved immunofluorometric assay (Delfia, Wallac Oy Pharmacia, Turku, Finland). The detection limits of both assays were 0,05 U/l (WHO 3rd IS 75/537). The intra-assay CV for LH varied from 3.7 to 4.7% and that for FSH from 2.3 to 4.8%. The interassay CVs varied from 2.4 to 7.5% for LH and from 3.3 to 4.3% for FSH.
An abdominal ultrasound examination was performed to determine the thickness of the endometrium, as well as the length and the transverse and sagittal diameters of the uterus. The volume of the uterus was calculated from the formula: V = 0.523 × a × b × c; where V = volume (mm3), a = length of the uterus (mm), b = sagittal diameter of the uterus (mm), c = transverse diameter of the uterus, (mm).
Abdominal ultrasound examinations (Aloka SSD 280), endometrial biopsies (Strich) and mammography and ultrasound examinations of the breasts were performed before commencing the study. All the examinations were repeated 6, 8 and 24 weeks after implant insertion, i.e. before and at the end of the first progestogen cycle and at the end of the last progestogen cycle.
Results
All 10 subjects found the implants effective in relieving climacteric symptoms, but for variable lengths of time. The treatment was well accepted and with one exception the women would have been willing to continue with implant therapy. Climacteric symptoms eventually reappeared after implant insertion in the E2V group after 10 ± 4.8 months (mean ± S.D., range 6-18 months) and in the E2B group after 8.2 ± 2.8 months (mean ± S.D., range 4-12 months). One patient who received E2B implants began to suffer from climacteric symptoms again 4 months after insertion, although her oestrogen and gonadotrophin concentrations were still more favourable than they had been before treatment.
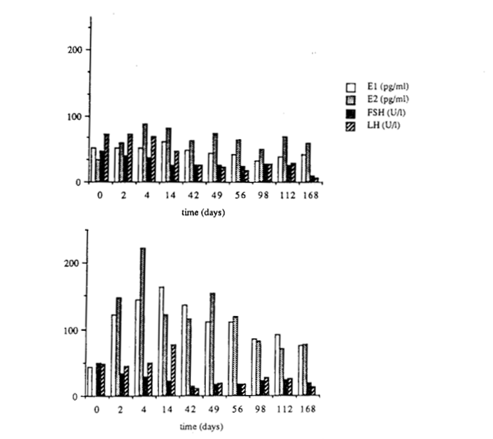
In the initial assays after insertion the rise in E2 concentrations was more marked (.P < 0.01) in the E2V group than in the E2B group (P < 0.1). The E2 levels remained significantly higher (P < 0.05) in the E2V group than in the E2B group until the evaluation at 8 weeks, but thereafter the difference disappeared (Fig. 1). TheE1levels are shown in Fig. 2. E2 dominance in the oestrogen concentrations (E2:E; > 1) was seen throughout the 24-week follow-up period. Suppression of FSH levels (Fig. 3) was more marked and constant in the E2V group than in the E2B group (P < 0.05). At the 24-week follow-up, the FSH levels were significantly lower than the pretreatment values in both groups (P < 0.01 in the E2V group and P < 0.05 in the E2B group). The hormone profiles of one patient from each group are shown in Fig. 4, the patient with an early return of symptoms mentioned above serving as the example for the E2B group.

Figure 1. Serum oestradiol concentrations during the 24-week follow-up period. Data are presented as mean values ± S.D. E2V, oestradiol valerate; E2B, oestradiol benzoate.

Figure 2. Serum oestrone concentrations during the 24-week follow-up period. Data are presented as mean values ± S.D. E2V, oestradiol valerate; E2B, oestradiol benzoate.

Figure 3. Serum follicle-stimulating hormone (FSH) concentrations during the 24-week follow-up period. Data are presented as mean values ± S.D. E2V, oestradiol valerate; E2B, oestradiol benzoate.

Figure 4.. Serum hormone profiles of two patients. The upper chart shows the values in a patient from the oestradiol benzoate (E2B) group and the lower chart those in a patient from the oestradiol valerate (E2V) group, E1, oestrone; E2, oestradiol; FSH, follicle-stimulating hormone; LH, luteinizing hormone.
IIncreases in the size of the uterus were observed during treatment in both groups (Fig. 5): in the E2V group from 47 ± 25 to 95 ± 52 cm (mean ± S.D.) and in the E2B group from 79 ± 32 to 91 ± 40 cm (mean ± S.D.). There was no statistical tf difference between the groups (P < 0.1). The endometrium was measurable at 24 weeks in only 3 patients, its thickness being < 3 mm (double layer).
The pretreatment biopsies showed atrophy in all but 2 subjects from whom biopsies could not be obtained because of cervical stricture. These 2 women were both from the E2V group. After 6 weeks, endometrial histology varied from hypo functional (5 out of 8 samples) to proliferative (3 out of 8). Secretory changes were seen in 2 out of 8 samples at 24 weeks, in both cases in the E2B group; in all other samples the endometrium was non-proliferative. No hyperplastic changes were seen.

Figure 5. Changes in the volume of the uterus during the 24-week follow-up period. Data are presented as mean values ± S.D. E2V, oestradiol valerate; E2B, oestradiol benzoate.
In one patient, who received E2B implants and progesterone, the first bleeding episode was so heavy that she had to visit the clinic. She received tranexamic acid to reduce the bleeding, which was normal thereafter. One woman from each group bled only after the initial progestogen cycles. The rest of the patients (80%) had regular bleeding.
The pretreatment mammography or ultrasound examinations of the breasts revealed mastopathic changes in 9 patients. Six and 8 weeks after implant insertion the mastopathic features and the density of the breast tissue were found to have increased. At 24 weeks, however, these changes had not progressed further. In half of the patients the findings were similar to those at the eighth examination, while in the other half the findings were even less obvious. It may be concluded that the breast tissue became more dense at the start of the oestrogen treatment, but that the changes were not progressive.
The heavy bleeding mentioned above and the slight breast tenderness experienced by some patients at the beginning were the only side effects observed.
Discussion
Parenteral forms of HRT have the advantage of bypassing the portal circulation and inducing more even, physiological E1 and E2 levels than oral preparations.E1 and E2 levels are more stable with implant therapy than with transdermal patches [12]. Implants are effective in preventing osteoporotic changes [13], more effective in fact than oral oestrogen [14,15]. Moreover, the favourable effects of oestrogen therapy on lipid metabolism are not lost with this form of administration, even if the changes are less marked [12,16].
Our pilot experiments suggested that both E2V and E2B were released in a satisfactory way from silastic implants and that with an appropriate number of implants sufficient oestrogen could be delivered to keep climacteric women symptom- free for more than 6 months. A set of three E2V implants proved to be more effective in suppressing gonadotrophin and raising E2 levels than a set of four E2B implants, the effect also being more long-lasting. On the other hand, although E2 levels were higher in the initial assays in the E2V group, the patients did not complain of side effects any more frequently than those in the E2B group. An E2 concentration of 50 pg/ml corresponds to the average early follicular phase value and is considered to be sufficient to relieve symptoms and to prevent bone loss [17]. In the E2V group 9.3% of E2 values were below this level at the 24-week follow-up and in the E2B group 31.8% of the measured E2 values were not adequate according to the abovementioned criteria.
Implant therapy was effective at target tissue level in all the women as judged by the regular withdrawal bleeding induced by the cyclic progestogen therapy. Ultrasonography and endometrial biopsies did not show excessive stimulation and no cases of hyperplasia were seen. The treatment also increased the total volume of the uterus and the density of the breasts, but the latter phenomenon was not progressive. As a mode of oestrogen administration the subcutaneous implants were effective and well accepted. Mild breast tenderness and one excessive bleeding episode were the only side effects. Nine women out of ten would have been willing to continue this therapy. In terms of convenience, the subcutaneous silastic implants should have an advantage in comparison with creams, which have to be administered daily and with patches, which have to be applied twice weekly, in that they provide symptom relief over a longer period of time — in our study for 10 months in the E2V group and for 8 months in the E2B group. Subcutaneous oestrogen pellets give symptom relief for about 6 months [7], new pellets being inserted when symptoms return.
Supraphysiological E2 concentrations with tachyphylaxis have been shown to develop in some patients when pellet therapy is continued [15,18,19]. The mechanism underlying the tachyphylaxis is not clear. The biodegradability of pellets may be considered as a disadvantage at times, since it makes them difficult to remove V if this becomes necessary. The removal of silastic implants, on the other hand, has 7 not in our experience been a problem, so the treatment is easier to control and 1 previous implants can be removed when new ones are inserted. Further technical ir development is needed to achieve a more even release rate and longer effective ll lifetime and also to reduce the number of implants required. The duration of effect of the implant depends on the steroid load it contains and the release rate of the hor- 7 mone. This rate further depends on the steroid molecule and its solubility, the polymer and the thickness of the polymer membrane covering the steroid core.
A future approach could be to administer both the oestrogen and the progestogen parenterally, the oestrogen via implants and the progestogen via either implants or progestogen-releasing IUDs. One advantage offered by this form of therapy is the possibility of inducing amenorrhoea, since the bleeding associated with cyclic pro-gestogen therapy reduces many women’s motivation to use HRT. The experience gained with LNG-releasing IUDs for contraception and the preliminary data on the post-menopausal use of IUD-based LNG combined with ERT, lead us to expect that the incidence of amenorrhoea would be higher than with continuous oral progestogen therapy [20,21] because of the local suppressive effect IUDs have on the endometrium. Another advantage of intrauterine progestogen therapy is that because of the local progestogen effect, the disadvantages, in particular as regards lipid metabolism, associated with certain oral progestogen preparations [22] and with continuous oral progestogen delivery [23,24] are minimized. This type of parenteral combination therapy could thus fulfil the criteria for the ideal treatment, which should be effective, safe and convenient.
Acknowledgements
We wish to express our thanks to the laboratory technic staff and in particular Ms Marjatta Tevilin for performing the hormone assays.
References
Basdevant A, De Lignieres B, Guy-Grand B, Differential lipemic and hormonal responses to oral and parenteral 17j3-estradiol in postmenopausal women. Am J Obstet Gynecol 1983; 147: 77-81.
Laufer LR, DeFazio JL, Lu JK.H, Meldrum DR, Eggena P, Sambhi MP, Hershman JM, Judd HL. Estrogen replacement therapy by transdermal estradiol administration. Am J Obstet Gynecol 1983; 146: 533-538.
Padwick ML, Endacott J, Whitehead MI. Efficacy, acceptability, and metabolic effects of transder- mal estradiol in the management of postmenopausal women. Am J Obstet Gynecol 1985; 152: 1085-1091.
Powers MS, Schenkel L, Darley PE, Good WR, Balestra JC, Place VA. Pharmacokinetics and phar-macodynamics of transdermal dosage forms of 17-estradiol: Comparison with conventional oral estrogens used for hormone replacement. Am J Obstet Gynecol 1985; 152: 1Ö99-1106,
Fraser DI, Parsons A, Whitehead MI, Wordsworth J, Stuart G, Pryse-Davies J. The optimal dose of oral norethindrone acetate for addition to transdermal estradiol: a multicenter study. Ferti! Steril 1990; 53: 460-468.
Thom MH, Studd JWW. Hormone implantation. Br Med J 1980; 1: 848-850.
Lobo RA, March CM, Goebelsmann U, Krauss RM, Mishell DR. Subdermal estradiol pellets following hysterectomy and oophorectomy. Am J Obstet Gynecol 1980; 138: 714-719.
Thom MH, Collins WP, Studd JWW. Hormonal profiles in postmenopausal women after therapy with subcutaneous implants. Br J Obstet Gynaecol 1981; 88: 426-433.
Brincat M, Studd JWW, O’Dowd T, Magos A, Cardozo LD, Wardle PJ. Subcutaneous hormone implants for the control of climacteric symptoms. Lancet 1984; I: 16-18.
Sipinen S, Lähteenmäki P, Luukkainen T. Silastic implants releasing estrone in the treatment of climacteric complaints. Maturitas 1980; 2: 213—224.
Edqvist LE, Johansson EDB. Radioimmunoassay of oestrone and oestradiol in human and bovine peripheral plasma. Acta endocrinol 1972; 71: 716-730.
Stanczyk FZ, Shoupe D, Nunez V, Macias-Gonzales P, Vijod MA, Lobo RA. A randomized comparison of nonoral estradiol delivery in postmenopausal women. Am J Obstet Gynecot 1988; 159: 1540-1546.
Notelovitz M, Johnston M, Smith S, Kitchens C, Metabolic and hormonal effects of 25 mg and 50 mg estradiol implants in surgically menopausal women. Obstet Gynecol 1987; 70: 749-754.
Savvas M, Studd JWW, Fogelman I, Dooley M, Montgomery J, Murby B. Skeletal effects of oral oestrogen compared with subcutaneous oestrogen and testosterone in postmenopausal women. Br Med J 1988; 297: 331-333.
Barlow DH, Abdalla HI, Roberts ADG, Al Azzawi F, Leggate I, Hart M. Long-term hormone implant therapy — hormonal and clinical effects. Obstet Gynecol 1986; 67; 321-325.
Farish E, Fletcher CD, Hart DM, AI Azzawi F, Abdalla HI, Gray CE. The effects of hormone implants on serum lipoproteins and steroid hormones in bilaterally oophorectomized women. Acta Endocrinol 1984; 106: 116—120,
Ettinger B. Optimal use of postmenopausal hormone replacement. Obstet Gynecol 1988; 72 (suppl. 5): 31S-36S.
Gangar K, Cust M, Whitehead MI. Symptoms of oestrogen deficiency associated with supraphysiological plasma oestradiol concentrations in women with oestradiol implants. Br Med J 1989; 299: 601-602.
Garnett T, Studd JWW, Henderson A, Watson N, Savvas M, Leather A. Hormone implants and tachyphylaxis. Br J Obstet Gynaecol 1990; 97: 917-921.
Magos AL, Brincat M, O’Dowd T, Wardle PJ, Schlesinger P, Studd JWW, Endometrial and menstrual response to subcutaneous oestradiol and testosterone implants and continuous oral progestogen therapy in post-menopausal women. Maturitas 1985; 7: 297-302,
Weinstein L, Bewtra C, Gallagher C. Evaluation of a continuous combined low-dose regimen of estrogenprogestin for treatment of the menopausal patient. Am J Obstet Gynecol 1990; 162: 1534-1542.
Hirvonen E, Mälkönen M, Manninen V. Effect of different progestogens on lipoproteins during postmenopausal replacement therapy. N Engl J Med 1981; 304: 560-563.
Luciano AA, Turksoy RN, Carteo J, Hendrix JW. Clinical and metabolic responses of menopausal women to sequential versus continuous estrogen and progestin replacement. Obstet Gynecol 1988; 71: 39-43.
Clisham PR, de Ziegler D, Lozano K, Judd HL, Comparison of continuous versus sequential estrogen and progestin therapy in postmenopausal women. Obstet Gynecol 1991; 77: 241-246.