E. KAPETANAKIS, W.P. DMOWSKI.F. AULETTA and A. SCOMMEGNA
Department of Obstetrics and Gynecology, Michael Reese Hospital and Medical Center, University of Chicago Pritzker School of Medicine, Chicago, IL 60616, USA.
Abstract
Kapetanakis E, Dmowski WP, Auietta F, Scommegna A (Michael Reese Hospital and Medical Center, University of Chicago Pritzker School of Medicine, Chicago, IL, USA), Endocrine and clinical effects of estradiol and testosterone pellets used in long-term replacement therapy.
Ten women with estrogen deficiency symptoms because of premature menopause (31, gonadal dysgenesis [31, or surgical menopause 141 received subcutaneous implants consisting of 25—75 mg estradiol (E2) with or without 75 mg testosterone (T), All had elevated plasma FSH, and LH, and low E2 prior to treatment. Plasma levels of FSH, LH, E2, T and estrone E1 were measured by specific radioimmunoassay techniques prior to treatment, three times a week for the first week and once a week for up to 76 weeks after implantation.
Mean plasma E2 levels rose abruptly and reached a maximum of 190 ± 35 pg/ml within 2 weeks. They fluctuated around 150 pg/ml for 46 weeks, then gradually declined, but remained above pretreatment values for more than 68 weeks. Plasma E1 increased to a lesser extent resulting in E2 : E1 ratio between l and 5. Elevated FSH and LH titers became suppressed within 4—6 weeks.
The lowest average E2 increase occurred after 25 mg implant and was associated with incomplete FSH and LH suppression. There were no differences in maximal E2 levels reached after 50 mg or 75 mg implant, however, after 75 mg implant, E2 levels appeared less variable and were sustained for a longer period of time, averaging 125 pg/ml for 70 weeks.
Plasma FSH and LH concentrations were suppressed below pretreatment levels in all patients. The degree of suppression was related to the dose of E2 implanted and, therefore, to plasma Et levels. The FSH and LH suppression appeared more complete in women with gonadal dysgenesis than in those with premature or natural menopause.
Plasma T rose abruptly to a peak mean level of 2.5 ±1.6 ngjml within 2 weeks of implantation. A precipitous and steady decline with return to preimplantation titers between 17th and 18th week were then observed. The E2 : E1 ratio during the first 18 weeks after implantation was significantly higher in women who received E2 implant alone than in those who received E2 + T implant. Clinically, all patients had symptomatic improvement within 24—48 hours. Regular withdrawal bleeding followed administration of oral progestogen for up to 76 weeks after implantation in six patients with intact uterus.
Key words: Endocrine; Estradiol and Testo-sterone; Estrogen deficiency symptoms; Pre mature menopause; Gonadal dysgenesis; Subcutaneous implants; Measured by radio-immunoassay techniques; Suppressed plasma FSH and LH concentrations; Oral progestogen.
Introduction
Subcutaneous implantation of estrogen pellets to reverse or prevent clinical endo-crinological or metabolic changes of ovarian failure is probably one of the oldest approaches to estrogen replacement therapy [4]. Pellets containing pure estradiol have been used by many investigators in the 1940s and ’50s [5,6,11,14,231,] then they became less popular when a variety of synthetic or natural b ut orally active estrogenic compounds entered the market. Estradiol pellets, however, are still considered to offer advantages over other methods of estrogen replacement [9]. Some investigators recommend that testosterone pellets be implanted in combination with estradiol to achieve anabolic effect, improve libido, correct fatigue and cure headache, symptoms reported by many women with ovarian failure [8-11].
Previous studies involving estradiol and testosterone pellets used predominantly clinical parameters to determine the duration and amount of the steroid released, and the effect of the pellets. The degree of absorption of the steroid was measured by subsequent recovery and weighing of the pellet [10,11]. Although several more recent studies [12,13,15,19,27 ] using radioimmunoassay techniques have pro-vided new information on endocrinological effects of estradiol pellets, many questions still remain unanswered. Little is known, for instance, about absorption of the steroid from the pellet, variability in its plasma levels in relation to time and the number of pellets, effect of testosterone on estradiol: estrone ratio, and about the degree of gonadotropin suppression by the pellets in different disorders.
To answer these as well as other questions, we have studied the effect of pellets containing either estradiol (E2) or estradiol in combination with testosterone (T) on plasma levels of FSH, LH, estrone, estradiol and testosterone in ten women with various types of ovarian failure.
Materials and methods
The subjects in this study were ten women with estrogen deficiency symptoms (Table I). Three patients had premature menopause, three gonadal dysgenesis, and four had total abdominal hysterectomy and bilateral salpingo-oophorectomy for a benign disease. The youngest patient was 19, a total of six patients were less than 35 and the oldest patient was 58. All with the exception of two (patients J.H. and J.E., Table I) received previously some form of estrogen replacement but no treatment for at least 6 weeks prior to entering this study. The two patients mentioned entered the study shortly after surgery and did not receive previous estrogen replacement. All ten patients had low plasma estradiol, elevated plasma FSH and LH, amenorrhea, and a variety of estrogen deficiency symptoms listed in Table I.
Table 1. Clinical data on 10 patients treated with subcutaneous pellet implants.

Each pellet used for subcutaneous im-plantation contained either 25 mg of cristilline estradiol (Progynon®, Schering Corporation) or 75 mg of testosterone (Oreton®, Schering Corporation). Between one and three estradiol pellets, with or without testosterone pellet, were implanted in the subcutaneous tissue of the lower abdomen (Table I). Implantations were performed after local infiltration of the skin with 1—2 ml of xylocaine, using aseptic technique and Ream’s pellet implanter. The site of implantation was covered with a bandaid and no sutures were required.
Blood samples for FSH, LH, estradiol, estrone and testosterone were obtained in the A.M., three times a week for the first week, and once a week for up to 76 weeks after implantation. Plasma FSH and LH (Montreal, Quebec, Canada) according to levels were determined using BIO-RIA kits the double antibody method of Midgley [17,18]. In our laboratory, the FSH assay sensitivity averaged 0.08 mlU (LER-907, Second International Reference Preparation (Second IRP when assaying 100 μl of plasma. The interassay (n — 20) and intra-assay (n = 34) coefficients of variation were 12.3% and 6.4%, respectively. The LH assay sensitivity averaged 0.16 mlU/ 100 μl (LER-907, Second IRP). The interassay (n = 20) and intra-assay (n = 34) coefficients of variation were 14.1% and 8.1%, respectively. Each unknown was run in duplicate using 50 μl and 100 μl of plasma.
Plasma estrone, estradiol and testosterone were assayed by the specific radioimmuno-assay procedures as previously reported [1-3].
Six patients with uterus in situ received progestogen orally at monthly intervals (medroxyprogesterone acetate, 10-mg tablets, one tablet twice a day for 5 days) to induce a withdrawal bleeding.
Results
Plasma concentrations of FSH, LH, estra-diol and estrone following subcutaneous im-plantation of one estradiol and one testo-sterone pellet are demonstrated in Fig. 1. Plasma estradiol reached a maximum of 210 pg/ml during the first week, then fluctuated at much lower level, around 70 pg/ml, for the following 15 weeks. Plasma estrone also increased as compared to pre-treatment values and its levels fluctuated close to those of estradiol. Plasma FSH concentrations decreased by about 50% 5 weeks after im-plantation of the pellets, then began to rise, reaching values higher than those before treatment between the 12th and 16th week. There was no change observed in plasma LH concentrations. Clinically, the patient was symptom-free within 48 h after implantation but had a return of symptoms between the 12th and 16th week. Two E2 and one T pellets were implanted 16 weeks after the initial implant. The patient became asymptomatic promptly and remained so for twice as long period of time (32 weeks). After the second implant, plasma estradiol reached higher levels fluctuating around 90 pg/ml for 30 weeks of observation. Plasma estrone concentrations seemed to correspond closely to those of estradiol. FSH and LH levels after the second pellet insertion became suppressed to values around 30 mIU/ml.

Figure 1. Plasma FSH, LH, estradiol (E2) and estrone (E1) in patient V.E, following subcutaneous implant of 25 mg E2 and 75 mg T, followed by another implant of 50 mg E2 and 75 mg T.
Three patients received an implant con-sisting of two E2 pellets. Mean Plasma FSH, LH, estradiol and estrone concentrations in these patients are demonstrated in Fig. 2, Plasma estradiol increased abruptly within the first week and reached the maximum of just under 200 pg/ml within 2 weeks after implantation. Subsequently, its levels fluctuated around 125 pg/ml for 50 weeks showing a gradual tendency to decline. How-ever, even at 62 weeks after implantation, plasma estradiol was higher than prior to treatment. Plasma estrone was also increased but to a lesser extent. It remained in a rela-tively constant range between 40 and 75 pg/ ml during the entire period of 62 weeks after implantation. Plasma FSH and LH became suppressed to less than 10 mIU/ml within 3 —4 weeks after implantation. All three patients became symptom-free within 48 h and continued to be asymptomatic during the period of observation. One of three, patient M.E. with primary amenorrhea and gonadal dysgenesis, had regular withdrawal bleeding after each monthly progestogen administration for 45 weeks of observation.

Figure 2. Plasma FSH, LH, estradiol (E2) and estrone (E1) in three patients following subcutaneous implant of 50 mg E2 (Mean ± S.E.M.).
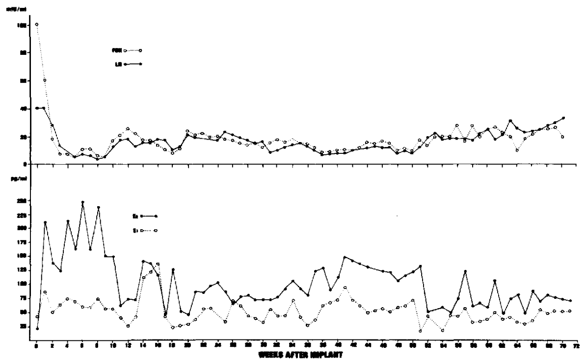
Five patients received a subcutaneous implant consisting of three E2 and one T pellets. Plasma FSH, LH, estradiol, estrone and testosterone concentrations in one such patient with gonadal dysgenesis are demonstrated in Fig. 3. Plasma estradiol increased abruptly reaching a maximum of 225 pg/ml within 2 weeks after implantation. For the following 50 weeks of observation, plasma estradiol fluctuated around 130 pg/ml. Plasma estrone increased as compared with pretreatment values but remained persistently below plasma estradiol levels, fluctuating around 80 pg/ml. Plasma testosterone showed an initial rise to 2.5 ng/ ml within the first week after implantation, then declined to pretreatment values within 18 weeks. Plasma FSH and LH levels became suppressed during the first week of treatment and remained suppressed well below 20 mlU/ ml during the entire period of observation. The patient became asymptomatic within 48 h after pellet implantation and remained symptom-free for 52 weeks of observation. She had regular monthly withdrawal bleeding after oral administration of progestogen.

Figure 3. Plasma FSH, LH, estradiol (E2), estrone (E1) dnd testosterone (T) in patient G.E, following subcutaneous implant of 75 mg E2 and 75 mg T.
Plasma FSH, LH, estradiol and estrone concentrations following subcutaneous im-plantation of three E2 and one T pellets in patient H.R. with premature menopause are demonstrated in Fig. 4. Plasma estradiol reached close to the maximum level within the first week after implantation and remained elevated for 72 weeks of observation. Plasma estrone also increased but not to the same degree. Plasma FSH and LH became suppressed promptly ranging between 10 and 40 mlU/ml and remained below pre- treatment values for the entire period of observation. The patient had prompt symptomatic improvement after pellet implantation and remained asymptomatic having regular withdrawal menses for 72 weeks of observa-tion.

Figure 4. Plasma FSH, LH.
A composite graph of mean ± S.E.M. con-centrations of FSH, LH, E1, and E2 in all five patients who received subcutaneous implant of three E2 and one T pellets is demonstrated in Fig. 5. The mean plasma estradiol levels remained elevated for up to 70 weeks after implantation and were higher th an mean plasma levels of estrone.

Figure 5. Plasma FSH, LH, estradiol (E2) and estrone (E1) in five patients following subcutaneous implant of 75 mg E2 and 75 mg T {Mean ± S.E.M.).
The ratio of estradiol to estrone was calculated separately for seven patients who received both estradiol and testosterone implants and for three patients who received estradiol implant alone (Fig. 6). For the first 18 weeks after implantation, this ratio was significantly different (P <0.001) between both groups of patients. There was no difference between the ratios during the remaining period of observation.

Figure 6. Plasma estradiol (E2) ; estrone (E1) ratio in three patients who received E2 implant •-----• and in seven patients who received E2 and testosterone implant o o. The differences between both groups were statistically significant (P < 0.001) during the first IS weeks of observation. .
Plasma testosterone levels were measured in all seven patients who received combined estradiol/testosterone implant. The mean ± S.E.M. concentrations are demonstrated in Fig. 7. Plasma testosterone increased abruptly within 1 week and reached the maximum of 2.5 ng/ml 2 weeks after implantation. Subsequently, plasma testosterone declined precipitously, reaching pretreatment values 18 weeks after implantation.

Figure 7. Plasma testosterone (T) levels (ng/ml) in seven patients following subcutaneous implant of 75-mg T pellet (Mean ± S.E.M.).
Discussion
Estradiol pellets implanted subcutaneously as a long-term estrogen replacement carry most of the associated benefits and risks of estrogen therapy. However, advantages of the pellets and the absence of some disadvantages of oral preparations have made such implants a preferred method of estrogen replacement for various investigators [9].
The estrogenic component of the pellet is estradiol, the m ain and the most active estrogen in the human female. Several reports indicate that the so-called “natural estrogens” have a more physiologic effect and do not induce undesirable metabolic side effects as compared with the synthetic, oral steroids [22,28—301. Orally ad ministered estrogens enter systemic circulation through the liver exerting pharmacological, dose related effects, on this organ [24]. Furthermore, oral estrogens including micronized 17β-estradiol appear in the plasma predominantly as conjugates of estrone [31]. The physiologic ratio of estradiol to estrone characteristic for the reproductive age apparently cannot be achieved with orally administered preparations. It is likely that at least some of the adverse effects of estrogen replacement are associated with oral route of administration and with synthetic preparations.
Parentally administered estrogens do not change plasma levels of triglycerides [16], do not undergo as extensive conversion to estrone [20,21,25] and are conjugated less rapidly [26]. It has been demonstrated recently that following subdermal implantation of one 25-mg estradiol pellet there was no change in the binding capacity of serum corticosteroid and testosterone- estradiol binding globulins, no change in total cholesterol, triglycerides and low density lipoprotein-cholesterol levels, while high density lipoprotein-cholesterol increased significantly [15]. Serum estradiol concentration determined in that study reached the maximal value within 3 weeks after insertion, then declined slowly for a period of 6 months; at all times estradiol levels were above those of estrone resulting in the E2 to E, ratio greater than one [15].
In our study, following a 25-mg estradiol implant, plasma estradiol concentrations achieved the maximal value within 2 weeks but then declined abruptly to pretreatment levels within 16 weeks after insertion.
It has been demonstrated by Nagamani et al. [19] that after insertion of two estradiol pellets (50 mg) plasma concentrations of estradiol increase abruptly within the first week and remain elevated for as long as 14 weeks. Hunter et al [13] reported elevated plasma estrogens for up to 24 weeks after implantation of 100-mg estradiol pellets. There have been no studies to determine if concentrations of estradiol in the plasma remain elevated beyond that period of time. Nevertheless, it has been a clinical practice to reimplant one to four estradiol pellets every 6 months [9].
As demonstrated by the results of this study, plasma estradiol concentrations remain elevated for 62 weeks or more after the insertion of two pellets (50 mg) and for 70 weeks or more after three pellets (75 mg). In women with intact uterus this indicates the probability of a continuous estrogenic stimulation of the endometrium for almost 1.5 years after implantation of the pellets. In our study, all six patients with intact uterus continued to withdraw monthly with progestogens for up to 76 weeks after insertion of the pellets. There was no irregular breakthrough bleeding in any of our patients.
In individual patients, pronounced week- to-week fluctuations in estradiol levels were observed, indicating a variable degree of absorption from the pellet, controlled most likely by local factors. Not surprisingly, the lowest average estradiol increase was noted in a patient who received the lowest dose, that is, 25 mg of estradiol implant. There was no difference in maximal plasma estradiol concentrations reached after the 50-mg or 75-mg implant. However, after the 75-mg implant, estradiol concentrations appeared less variable and more sustained. At the 62nd week after pellet insertion, plasma estradiol was in the range of 50 pg/ml after a 50-mg implant and was twice as high after the 75-mg implant. In one patient about 76 weeks after a 50-mg implant, plasma estradiol concentrations, although still higher than prior to pellet insertion, demonstrated a sustained decline associated with the rise in FSH and LH indicating a decline in the pellet contents. At all times after insertion, plasma estradiol concentrations remained in the physiologic range for the menstrual cycle [7]. Plasma estrone levels also increased but to a lesser degree than those of estradiol and remained relatively constant during the entire period of observation.
Symptomatic improvements were observed in all patients within 24—48 h. It is interesting to note that the above was coincidental with the elevation of plasma estradiol values and that a drop in plasma FSH and LH levels occurred only later. This observation reported earlier by Nagamani et al. [ 19] indicates that vasomotor symptoms of the menopausal syndrome may be related more to the decreas-ing estrogen values than to the increase in gonadotropin levels. However, patient V.E. (Fig. 1) reported a return of menopausal symptoms 12 weeks after the first implant when estradiol was still elevated, but when plasma FSH was increased to pretreatment levels.
Although suppression of plasma FSH and LH below pre-treatment levels was observed in all ten patients in this study, it appeared that the degree of suppression was not the same in different disorders. In agreement with the earlier reports by Nagamani et al. [19], FSH and LH levels suppressed readily to or below 10 mIU/ml in patients with gonadal dysgenesis. In three patients with premature menopause as well as in one patient of the menopausal age, the FSH and LH suppression appeared less complete. Plasma FSH and LH levels in these patients, although suppressed significantly below the initial pretreatment values, remained between 10 and 30 mIU/ml. As could be expected, the completeness of FSH and LH suppression in our menopausal patient was directly related to the number of pellets implanted and to plasma estradiol concentrations.
Plasma testosterone levels rose abruptly after implantation and achieved a peak level 2 weeks later. Subsequently, a precipitous and steady decline was observed with return to normal preimplantation values between the 17th and 18th week. No virilizing effects were observed, probably because of the short period of increase in testosterone concentrations and because of the concomitant increase in plasma estrogens. In three of our patients, the return of symptoms such as fatigue, tiredness, and loss of libido, 12—24 weeks after implantation could be attributed to absorption of the pellet and the decrease in plasma testosterone levels.
The E2 : Et ratio in all patients during the entire course of treatment averaged 2.3 and remained consistently above 1. It is interesting, however, to compare the E2 : E1 ratio in three patients who received estradiol implant alone with the remaining seven patients who received both estradiol and testosterone implants. There was no significant difference in the ratios after the 18th week of treatment. For the first 18 weeks, however, the E1 : E1 ratio was significantly (P < 0.001) lower in patients who received both steroid implants. Higher plasma estrone levels after testosterone and estradiol implant than after estradiol implant alone along with plasma disappearance curve of testosterone during the initial 18 weeks of treatment, indicate that estrone originating from testosterone might have been responsible for the change in E2 : E1 ratio.
In conclusion, cristilline estradiol pellets implanted subdermally are absorbed into the peripheral circulation over a prolonged period of time. Two or more pellets (50 mg or more) may continue to release the hormone for 76 weeks or longer. Common clinical practice of pellet insertion every 6 months may therefore result in a cumulative dose, high plasma estrogen concentrations and hyperstimulation of the endometrium in women with intact uterus.
Estradiol from the pellet is absorbed directly into systemic circulation, similarly to physiologic ovarian secretions, bypassing gastrointestinal system and the first passage through the liver, and consequently, under-going less conjugation and less conversion to estrone. As a result, plasma estradiol, is predominantly elevated and estradiol : estrone ratio is physiologic.
As a method of long-term hormone re-placement therapy pellets seem to offer several theoretical and practical advantages over a standard oral route of administration. It remains to be proven, however, whether the use of parenteral “natural” estrogens is associated with a lower incidence of adverse effects than the administration of synthetic oral preparations. The effect of estradiol pellets is longlasting, making them a simple and economical method of treatment and the plasma estradiol concentrations observed after insertion of one to three pellets remain within the physiologic range. Ho wever, continuous uninterrupted elevation of plasma estradiol over a period of more than a year cannot be considered entirely physiologic and even though it should be counteracted by a cyclic progestogen administration, it may be of a potential hazard.
Testosterone pellets do not appear to add much benefit to estrogen replacement and on the contrary, by elevating plasma estrone levels, may alter physiologic E2 : E, ratio achieved with estradiol pellets.
References
Abraham GE: Radioimmunoassay of steroids in biological materials. Acta Endocrinol 75: si 83, 1974.
Auletta FJ, Agins H, Scommegna A: Prostaglandin F mediation of the inhibitory effect of estrogen on the corpus luteum of the rhesus monkey. Endocrinology 103: 1183,1978.
Auletta F3, Caldwell BV, Hamilton GL: Androgens: testosterone and dihydrotester one. In Methods of Hormone Radioimmunoassay (ed BM Jaffe, HR Behrman), p 715. New York, Academic Press, 1979.
Bishop PMF: A clinical experiment in oestrin therapy. Br Med J 1: 939,1938.
Brown ML, Lueente ER, Alesbury JM, Perloff WH: Treatment of the surgical menopause with estradiol pellets at the time of operation. Am J Obstet Gynecol 61: 200,1951.
Delaplaine RW, Bottomy JR, Blatt M, Wiesbader H, Kupperman HS: Effective control of the surgical menopause by estradiol pellet implantation at the time of surgery. Surg Gynecol Obstet 94: 323,1952.
Eren S, Reynolds GH, Turner Jr ME, Schmidt FH, Mackay JH, Howard CM, Preedy JRK: Estrogen metabolism in the human. III. A comparison between females, studied during the first and second halves of the menstrual cycle, and males. J Clin Endocrinol Metab 27: 1451,1967.
Greenblatt RB: Estrogen therapy for postmenopausal females. New Engl. J Med 272: 305, 1965.
Greenblatt RB, Bryner JR: Estradiol pellet implantation in the management of menopause. J Reprod Med 18: 307,1977.
Greenblatt RB, Hair LQ: Testoterone propionate pellet absorption in the female. J din Endocrinol 2: 315, 1942.
Greenblatt RB, Suran RR: Indications for hormonal pellets in the therapy of endocrine and gynecic disorders. Am J Obstet Gynecol 5 7: 294,1949.
Hunter DJS, Akande EO, Carr P, Stallworthy J: The clinical and endocrinological effect of oestradiol implants at the time of hysterectomy and bilateral salpingo- oophorectomy. J Obstet Gynaecol Br Commonw 80: 827, 1973,
Hunter DJS, Julier D, Franklin M, Green E: Plasma levels of estrogen, luteinizing hormone, and follicle-stimulating hormone following castration and estradiol implant. Obstet Gynecol 49: 180,1977.
Kupperman HS, Delaplaine RW, Bottomy JR: Effective control of the surgical menopause by estradiol implanta- tionat the time of oophorectomy and total hysterectomy. J din Endocrinol 11: 788, 1951.
Lobo RA, March CM, Goebelsmarm U, Krauss RM, Mishell Jr DD: Subdermal estradiol pellets following hysterectomy and oophorectomy. Am J Obstet Gynecol 138: 714,1980.
Loeper J, Loepei MJ, Ohlghiesser C, de Lîgnieres B, Mau vais-Jarvis P: The influence of estrogen therapy on triglycerides. Importance of the choice of substance and the route of administration. Nouv Presse Med 6: 2747, 1977.
Midgley AR: Radioimmunoassay: a method for human chorionic gonadotropin and human luteinizing hormone. Endocrinology 79: 10, 1966.
Midgley AR: Radioimmunoassay for human follide- stimulating hormone. J din Endocrinol Metab 27: 295, 1967.
Nagamani M, Lin TJ, McDonough PG, Watatani H, McPherson JC, Mahesh VB: Clinical and endocrine studies in menopausal women after estradiol pellet implantation, Obstet Gynecol 50: 541,1977.
Rigg LA, Hermann H, Yen SSC: Absorption of estrogens from vaginal creams. New Engl J Med 298: 195, 1978.
Rigg LA, Milanes B, Villanueva B, Yenn SSC: Efficacy of intravaginal and intranasal administration of micronized estradiol-17β. J Clin Endocrinol Metab 45: 1261, 1977.
Roth MS, Donato DM, Lansman HH, Robertson EG, Hsia SL, LeMaire WJ: Effects of steroids on serum lipids and serum cholesterol binding reserve. Am J Obstet Gynecol 132: 151,1978.
Salmon UJ, Geist SH, Walter Rl: Treatment of the menopause: evaluation of estrogen implantation. J Am Med Assoc 117: 1843,1941.
Samsioe G: Serum lipids and lipoproteins in bilaterally oophorectomized and hysterectomized women. In Female and Male Climacteric, Current Opinion 1978 (ed PA van Keep, DM Sen, RB Greenblatt), p 95. University Park Press, Baltimore, 1979.
Schiff I, Tulchinsky D, Ryan KJ: Vaginal absorption of estrone and 17β-estradiol. Fertil Steril 28: 1063, 1977.
Schiff I, Wentworth B, Koos B, Ryan KJ, Tulchinsky D: Effect of estriol administration on the hypogonadal woman. Fertil Steril SO: 278, 1978.
Staland B: Treatment of menopausal oestrogen deficiency symptoms in hysterectomised women by means of 17β-estradiol pellet implants. Acta Obstet Gynecol Scand 5 7: 281,19 78.
Tikkanen MJ, Nikkila EA, Vartiainen E: Natural oestrogen as an effective treatment for type-JI hyper- lipoproteinaemia in postmenopausal women. Lancet 2: 490,1978.
Utian WH: Menopause in Modem Perspective : A Guide to Clinical Practice. Appleton-Century-Crofts, New York, 1980.
Walter S, Jensen HK: The effect of treatment with oestradiol and oestiiol on fasting serum cholesterol and triglyceride levels in postmenopausal women. Br J Obstet Gynaecol 84: 869, 1977.
Yen SSC, Martin PL, Burnier AM, Czekala NM, Greaney jr MO, Callantine MR: Circulating estradiol, estrone and gonadotropin levels following the administration of orally active 17β-estradiol in postmenopausal women. J Clin Endocrinol Metab 40: 518, 1975.