Frauke Kreye, Florence Siepmann & Juergen SiepmamV
University of Lille, College of Pharmacy, JE 2491, 3, rue du Professeur Laguesse, 59006 Lille, France.
Abstract
The parenteral controlled delivery of acid-labile drugs (e.g., proteins) is difficult, because the standard polymer poly(lactic-co-glycolic acid) used to control drug release upon parenteral administration degrades into shorter chain acids, creating acidic microclimates. Lipid implants do not show this disadvantage. The objective of this article is to give an overview on the present state of the art and to highlight the advantages and drawbacks of the different types of systems reported in the literature. The major preparation techniques for lipid implants, underlying mass transport mechanisms, biocompatibility and in vivo performance of the most interesting systems are described. Lipid implants offer a great potential as parenteral controlled drug delivery systems, especially for protein-based drugs. A broad spectra of release patterns can be provided and acidic microclimates avoided.
Keywords: compression, controlled drug delivery, extrusion, implant, lipid
Introduction
The appropriate delivery of drugs to their sites of action within the human body can present a major obstacle in the development of novel pharmaco therapies. Even if the drug is known to be effective and (ideally) able to cure the patient, it must reach its target site to become active. In the case of protein-based drugs, for example, oral administration is not (yet) feasible because this type ot molecule is degraded within the gastro-intestinal tract and the gastric and intestinal mucosa are poorly permeable for large molecules. In addition, the half-life of many protein-based drugs is short within the human body. T hus, frequent parenteral administrations are required for this type of drug, such as in the case of diabetes treatment with insulin. As frequent injections are inconvenient, patient compliance is often not optimal. To overcome these restrictions, either parenteral drug delivery systems can be used, which release the incorporated drugs over prolonged periods of time (e.g., several weeks or months), or alternative administration routes (e.g., pulmonary or nasal) can be envisaged. Recently, Exubera has been marketed, allowing for the pulmonary administration of insulin [1]. However, the development of this type of advanced drug delivery system is not straightforward as major challenges need to be addressed, including the assurance of reliable and reproducible drug doses that reach the deep lungs; inter- and intra-subject variability; the impact of respiratory diseases/smoking habits; as well as considerable- development costs.
Parenteral controlled drug delivery systems are intended to reduce the admin-istration frequency, to protect the drug against degradation upon administration within the human body and to accurately control the resulting release rate, providing optimized therapeutic effects. Nowadays, poly(lactic-co-glycolic acid) (PLGA)-lxwed microparticles are the most frequently used injectable controlled drug delivery systems [2-6]. However, PLGA degrades into smaller chain acids (and alcohols) upon contact with water, which can lead to significant drops in the microenvironmental pH [7-8]. Often, protein-based drugs lose their activity under these conditions [9-12]. The use of lipid implants as parenteral controlled drug delivery systems offers an interesting alternative for this type of drugs [13-19]. Obviously, acid-stable drugs can also be incorporated within lipid implants and effectively be protected against physical and/or chemical aggressions (e.g., enzymatic degradation) within the human body. Furthermore, protein-based drugs might lose their activity during the preparation procedure of PLGA-based microparticles [20-21]. For example, changes in the protein structure are likely to occur at liquid—liquid interfaces when using solvent evaporation/extraction techniques [25-28]. During the preparation of lipid implants, such harsh conditions for proteins can often be avoided.
In addition to drug protection and an accurate control of the resulting release rate, lipid implants can also be used to allow for locally restricted drug distribution. This can for example be very helpful to avoid or minimize toxic side effects in the rest of the human body. The idea is to incorporate the drug within the lipid implant, which is administered at (or close to) the site of action. The drug is then released during prolonged periods of time at a pre-determined rate into/nearby the target tissue, providing high local drug concentrations in this/these area(s). At the same time, drug levels in the rest of the human body are reduced, resulting in minimized toxic side effects. An example for advantageous local controlled drug delivery is the prophylaxis of prosthetic device-related infections using vancomycin [29]. In the case of Central Nervous System (CNS) diseases, such as brain tumors or neurodegenerative diseases (e.g,, Parkinson’s and Alzheimer’s Disease), lipid implants can be directly administered into the target tissue, thus effectively overcoming the blood brain barrier (BBB). The latter represents a major obstacle for many types of drugs that would be highly efficient for various CNS diseases if they were able to reach their site of action [30-33]. If the implants are cylindrical in shape and exhibit a small diameter, they can be easily injected into or close to the target tissue using standard needles.
Various types of lipids have been proposed in the past for the preparation of implants as advanced drug delivery systems [13.34-39]. Many of them are natural substances. Some are physiological (normal compounds of the human body), for example certain triglycerides and cholesterol. Lipids are also widely used in the cosmetics and food industry and considered to be safe for various types of applications. However, this does not necessarily mean that their use as parenteral drug carrier materials is safe. The biocompatibility of some of the systems described in the literature has been studied in vivo and, in certain cases, the pharmacodynamic effects upon administration of drug-loaded devices have been monitored.
This article gives an overview of the different types of implants that have been proposed so far, distinguishing compressed, molten and extruded implants. Special sections have been devoted to: i) the underlying drug release mechanisms of this type of advanced drug delivery systems, allowing for a better understanding of how the systems work; and ii) results reported so far from in vivo studies.
2. Compressed implants
If feasible, direct compression of a drugdipid powder blend is a straightforward and often convenient production procedure for lipid implants. However, caution needs to be exercised and reproducible drug loading and drug distribution within the implants must be guaranteed. In practice, this might be difficult to achieve due to poor flow properties of the powder blends and potential de-mixing tendencies, resulting in inhomogeneous drug loadings and distributions. In order to avoid de-mixing of the drugdipid powders, different strategies can be followed. In an interesting study, Koennings et al, [40] investigated the following four manufacturing procedures for brain-derived neurotrophic factor (BDNF)-loaded, triglyceride-based implants (Figure 1):
- Direct compression of drugdipid powder blends.
- Compression of a lyophilized dispersion of the drug powder in an organic solution of the lipid.
- Compression of a lyophilized dispersion of an aqueous drug solution in an organic solution of the lipid.
- Compression of a lyophilized solid-in-oil dispersion, which is obtained by freeze-drying an aqueous drug:poly(ethylene glycol) (PEG) solution and the subsequent addition of an organic solvent and the lipid powder.

Figure 1. Schemes of the different manufacturing procedures studied by Koennings et al. [40] for compressed, protein- loaded lipid implants. Procedure using: (A) drug:lipid powder blends; (B) iyophilized solid-in-oil dispersions; (C) lyophilized water-in- oil emulsions; and (D) lyophilized solid-in-oil dispersions, which are obtained from freeze-dried aqueous drug:PEG solutions and the subsequent addition of an organic solvent and the lipid powder.
It is important to note that the type of preparation technique strongly affects the resulting drug distribution within the implants, as illustrated in Figure 2 on the right-hand side: confocal microscopy was used to image the distribution of fluorescence-labelled lysozyme within the systems. As can be seen at the top, a continuous and highly interconnected protein network exists in lipid implants prepared by direct compression of drugdipid powder blends. In contrast, implants prepared by other preparation techniques showed significantly different protein distribution patterns: the drug- containing regions are not fully interconnected and the channels that can be formed upon water penetration and protein leaching are much narrower and constitute a network with a significantly higher degree of branching. Thus, the probability that a lysozyme molecule may not be released because no continuous water-filled channels can be created to the surface of the device is increased, leading to decreased total amounts of drug released (Figure 2, left-hand side, filled diamonds). In addition, the mobility of the drug molecules is reduced in the narrower channels aitd the drug molecules can more easily “get lost” in the highly branched networks, resulting in decreased apparent protein diffusivity within the matrices and, hence, decreased release rates (Figure 2, left- hand side, filled diamonds). Furthermore, there are no major deviations between active and total lysozyme release (dotted and full curves), indicating that these manufacturing procedures are non-destructive for this protein. Only in the case of the lyophilized dispersions of an aqueous drug solution in an organic solution of the lipid, was part of the released protein no longer active (Figure 2C). This might be attributable to protein unfolding at liquid-liquid interfaces. Importantly, this phenomenon could successfully be overcome by co-lyophilizing lysozyme with PEG (resulting in a fine dispersion of the protein in a PEG-rich phase [41], as shown in Figure ID) and preparing a solid-in-oil dispersion of the obtained powder within the organic solution of the lipid, which was subsequently lyophilized (Figure 2D). Drug release from implants containing 2% protein and 2% PEG are shown on the left- hand side of Figure 2 (open diamonds). As can be seen, tire presence of PEG can be used to alter the resulting protein release kinetics.

Figure 2. In vitro release of lysozyme (♦) from lipid implants loaded with 4% protein (continued).
In addition to drug distribution, the morphology of lipid implants is also of great interest. Figure 3 shows, for example, optical and scanning electron microscopy pictures of a glyceryl tripalmitate-based, lysozyme-loaded implant prepared by the emulsion-compression method described above. Clearly, individual lipid plates (consisting of crystalline glyceryl tri- palmitate) are visible in Figure 3B. In between are numerous cavities allowing lor protein release (crystalline lipid plates are not permeable for proteins). Importantly, macroscopically the surface appears to be smooth, allowing for a facilitated administration into the human body.

Figure 3. Morphology of glyceryl-tripalmitate-based, lysozyme- loaded implants prepared by the emulsion-compression method. A. Optical microscopy picture of the entire implant. B. Scanning electron microscopy picture of the surface of the implant.
In order to provide specific, optimized drug release profiles, a variety of formulation and processing variables can be altered when using compressed lipid implanrs. For example, the type of lipid can be varied, as illustrated in Figure 4.

Figure 4. Effects of the type of lipid (indicated in the diagram) on the resulting drug release rate from lysozyme-loaded, triglyceride-based implants prepared by compression (emulsion method described in the text).
The release of lysozyme is shown from compressed implants based on triglycerides differing in the fatty acid chain length.
Clearly, the type of matrix former strongly affects the resulting drug release rare. Interestingly, there is no clear relationship between the fatty acid chain length and the resulting drug release rate. In the literature, both decreasing and increasing release rates have been repotted when increasing the chain length of the fatty acids in the triglyceride [42-44]. The addition of different amounts of polyethylene glycol) PEG or gelatin to lipid-based implants is also a powerful tool to adjusc desired drug release rates [16,45-48]. For example, Mohl and Winter 2004 [16[ effectively altered the release patterns of rh-interferon α-2a (IFN-α) from glyceryl tristearate-based implants prepared by compression by adding 0 - 20% PEG (Figure 5). The variation of the initial drug content within the implant is a further parameter that can significantly affect the resulting drug release rates [43,49-51]. As the porosity of the implants increases with increasing initial loading upon drug depletion, the mobility of the remaining drug to be released increases, resulting in (generally) increasing drug release rates. However, if the drug solubiliry within the system is limited, the effects of the initial drug content on the resulting relative release rates can be more complex. In this case not all of the drug is dissolved upon water penetration into the implant: dissolved and non-dissolved drug co-exist within the matrix. Importantly, only the dissolved drug is available for diffusion and able to leach out into the release medium. Thus, when increasing the initial drug content, the absolute amount of drug available for diffusion remains constant (saturated solutions) and so the absolute drug release rate remains constant. However, the 100% reference value increases, resulting in decreasing relative drug release rates. The relative importance of this limited drug solubility effect and the above-described increasing porosity effect depends on the specific type of system and explains why different effects on the resulting relative drug release rates can be observed when increasing the initial drug loading of the lipid implants.

Figure 5. Effects of the addition of different amounts of poly(ethylene glycol) on IFN-α release from glyceryl tristearate- based implants prepared by compression.
Obviously, great care has to be taken when defining the compression pressure during implant preparation [43,44,47]: this parameter can crucially affect the resulting implant structure and, thus, resulting drug release kinetics. If the pressure is too low, the mechanical stability of the obtained implant is poor; if die pressure is too high, the porosity of the implant might be insufficient to allow for appropriate drug release rates and production on a large scale might be difficult. Furthermore, the size and size distributions of the compressed particles (e.g., drug and lipid powder, lyophilized solutions/emulsions/dispersions) is of major importance, because these parameters affect the pore size and pore structure of the obtained implants and, thus, the resulting drug release kinetics [40,43,49,50]. It has to be pointed out that the following relationships: “drug particle size - drug release patterns”, “lipid particle size - drug release patterns” and “drugdipid particle size ratio — drug release patterns” are not straightforward. Often, the resulting drug release rate increases simultaneously with an increase of drug and lipid particle size, due to the resulting larger inter-particle voids and, thus, increased implant porosity [43-50], However, when increasing the drug particle size only (keeping the lipid particle size constant), both increasing and decreasing drug release rates have been reported [44,50].
Interestingly, different lag times prior to the onset of drug release can be provided with lipid implants, if the latter are surrounded by a drug-free, biodegradable polymer layer [52]. I'he manufacturing procedure for such an implant is illustrated in Figure 6. First, the bottom of the implant, consisting in this example of PLGA, is compressed at room temperature. Then the pre-prepared, drug-loaded, lipid implant is inserted as well as the PLGA powder, constituting the top part of the implant. The entire system is then compressed at room temperature, followed by a compression at 48°C in order to induce pore-closing within the outer PLGA layer (to avoid premature drug release). As can be seen in Figure 7, varying the type of biodegradable, drug-free mantle material allows for an efficient adjustment of the lag time period [PLGA10 = PLGA 50:50, molecular weight 10 kDa; PLGAI7 = PLGA 50:50, molecular weight 17 kDa; PLA 30 = poly(Iactic acid), molecular weight 30 kDa). Furthermore, once drug release starts, the release rate can be effectively adjusted by varying the type of triglyceride the lipid inner core is based on (Figure 7: the number of C-atotns of the fatty acid chains is indicated in the diagrams). This type of controlled drug release pattern with variable lag times prior to the onset of release can, for example, be very helpful for the design of innovative vaccine delivery systems: administrating several types of implants at the same time containing different types of mantle materials and multiple antigen pulses afterpre-determined lag times can be provided with one single administration.

Figure 6. The preparation procedure for lipid implants, which are surrounded by a drug-free, biodegradable polymer layer.

Figure 7. Drug release from lipid implants surrounded by a drug-free, biodegradable polymer mantle, based on: (A) PLGA10, (B) PLGA17 and (C) PLA30 (for preparation procedure see Figure 6). The inner drug-loaded, lipid cores are based on triglycerides. The number of C-atoms of the fatty acids is indicated in the figure.
A potential disadvantage of compressed lipid implants might be the challenges during up-scale: if the flowabiliry of the powder blend is poor, either significant amounts of lubricants need to be added (which might significantly alter the resulting drug release patterns), or the production rate might be low. Also the pre-treatrnent steps required to avoid drug:lipid powder de-mixing might be cumbersome.
3. Molten implants
An interesting alternative to the compression of drugdipid blends is the suspension and/or dissolution of the drug within the molten lipid carrier material, subsequent casting into moulds and cooling under well controlled conditions. However, care needs to be taken in the case of thermo- sensitive drugs, such as proteins that might (at least partially) lose their biological activity upon heating. Fortunately, the stability of many proteins can be significant at elevated temperatures if water is absent [53,54]. For example, Yamagata [38] measured the activity of interferon-α 2a upon heating to 60°C together with polyglycerol esters of fatty acids. Interestingly, the protein activity decreased only by 5% after 6 min and then remained constant for up to 5 h of heating. Insulin was also shown to be stable when dispersed within glyceryl tripalmitate during spray congealing (2 min exposure to 70 - 80°C): only a minor fraction ( < 1.6%) of desamidoinsulin was detected [55].
Significantly different implant morphologies can be obtained when preparing the devices by compression as opposed to by melting. As shown by Pongjanyakul et al. [46], much smoother implant surfaces can be obtained with a melting method. Also, upon drug release in vitro, the surface of molten lipid implants remained relatively non-porous, whereas rhe surface of compressed implants became highly porous. These significantly different implant structures can at least partially explain the very different drug release kinetics from the systems, which were of identical composition. Figure 8 shows an example of lysozyme release from cylindrical implants based on glyceryl palmitostearate loaded with different amounts of drug [2% (triangles), 5% (squares) or 10% (circles)]. It is clear that molten implants released the drug much more slowly and to a lesser extent than the respective compressed implants. This can be attributed to the denser matrix structures within molten implants providing narrower pathways for the dissolved drug molecules and a reduced probability of having direct access ro rhe release medium via interconnected channels for the incorporated drug particles. As can be seen, increasing the initial drug loading from 2 to 10% resulted in increasing absolute drug release rates, irrespective of the type of preparation method.

Figure 8. Lysozyme release from glyceryl palmitostearate-based implants prepared by melting or compression. Piease note that the absolute amount of lysozyme released is plotted on the y-axis, not the relative amount.
However, great care must be taken with respect to the physical state of the lipid matrix former. Many lipids are known to be able to form crystals with different inner structures (polymorphism) and thus different physicochemical properties (which can affect the resulting drug release kinetics). If, for example, a meta-stable crystalline form of the lipid is obtained during implant preparation, it can be transformed into a more stable crystalline form during storage [56-61]. This can lead to altered implant properties before as opposed to after storage, including altered drug release patterns. Thus it is of utmost importance to control precisely the physical state of the lipid during this type of preparation method. For example, triglycerides can generally form a, (α/β and/or β polymorphs [62-70]. The type(s) of crystal(s) that is/are obtained upon cooling depend(s) on various factors, including the cooling rate, start and end point temperatures, pressure, presence of impurities and/or starter crystals. Even minor changes in these parameters can significantly affect the resulting crystal structure.
4. Extruded implants
The preparation of implants via extrusion might offer interest-ing advantages compared to the above-described compression and melting methods, including a potentially faster and more easily up-scalable production procedure. For example, implants based on polyglycerol esters (of fatty acids) have been prepared by extrusion of molten drugdipid blends using a stainless needle. Interferon-α release from these systems was sustained over more than 10 day [38]. Lipid extrudates can also be used for oral controlled drug delivery' [71-73]. In this case much shorter release periods (several hours) are targeted, and often high drug loadings are used and hydrophilic fillers added.
Great cate needs to be taken when defining the extrusion conditions. An interesting recent report from Reitz and Kleinebudde (76( details the effects of several formulation and processing parameters of theophylline-loaded, glyceryl palmitostearate and glyceryl trimyristate-based extrudates on the resulting systems’ properties. As can be seen in Figure 9, the extrusion temperature significantly affects the porosity of the obtained systems as well as the inner and outer morphology of the devices. The melting range of glyceryl trimyristate is 55 - 58°C. When extruding above 55°C, cylinders with a relatively high porosity (12.6%) are obtained, providing rather fast drug release (80% drug release within < 8 h). Decreasing the extrusion temperature down to 50.5 and 49.5% leads to significantly decreased device porosities (6.8 and < 2%, respectively) and thus much slower drug release rates (80% drug release within > 15 and > 30 h, respectively). Importantly, the processing of the lipids by softening instead of complete melting can reduce the risk of the formation of meta-stable polymorphs. It has to be pointed out that the use of elevated temperature during extrusion might not only alter the physical state of the matrix former, but might also lead to drug degradation. In addition, drug-lipid interactions can result in decreased drug activity, for example in the case of proteins. Lee et al. [39] proposed to protect protein drugs with a hydrophilic polymer coating from potentially harmful conditions. For example, interferon-α was spray-dried together with polyethylene glycol 10,000, and human serum albumin was added as a further stabilizer. Importantly, the interferon showed no denaturation in trilaurin-based implants after extrusion using a ram-type extruder at 37°C.

Figure 9. Effects of the extrusion temperature on the resulting porosity as well as the inner and outer structure of lipid cylinders consisting of theophylline.glyceryl trimyristate (50:50) prepared by extrusion.
5. Drug release mechanisms
The mechanisms controlling drug release from lipid implants can be complex and may depend on various factors, including the type and amount of lipid used, the type and amount of incorporated drug, the drug distribution within the implant, the type of preparation technique, the type and amount of potential additional excipients present in the formulation and the mechanical stability of the systems. In most cases, diffusion plays a major role. In several types of systems, diffusion is the dominant mass transport mechanism.
Swelling can generally be neglected because significantly, swelling devices would not be suitable in practice: a consid-erable increase in implant volume upon administration is likely to cause irritation of the respective human tissue.
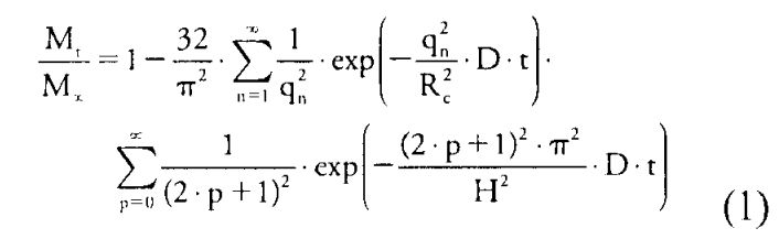
In the case of purely diffusion-controlled lipid implants, drug release can be described using Pick’s second law con-sidering the respective initial and boundary conditions (e.g., initial drug distribution, geometry of the device, drug concentration within the bulk fluid). Figure 10 shows the experimentally determined (symbols) and theoretically calculated (curves) release kinetics of pyranine from glyceryl tripahnitare-based implants containing different amounts of saccharose (indicated in the Figure). The mathematical model takes into account radial as well as axial mass transport in cylinders and considers the homogeneous initial drug distribution within tile devices before exposure to the release medium, as well as perfect sink conditions (which are provided throughout the experiments). Under these conditions, the following analytical solution of Fields second law can be derived where Mt and M00 represent the absolute cumulative amounts of drug released at time t and infinite time, respectively; qn are the roots of the Bessel function of the first kind of zero order [Jo(q0) = 0], and R and H denote the radius and height of the cylinder; D is the apparent diffusion coefficient of the drug within the lipid matrix. Good agreement between theory and experiment was obtained in all cases (Figure 10), indicating that drug release is primarily controlled by pure diffusion, irrespective of the saccharose content in these implants.


Figure 10. Experiment and theory. Pyranine release from glyceryl tripalmitate-based implants containing different amounts of saccharose (indicated in the Figure). The symbols represent the experimental results, the curves the fittings of an appropriate solution of Fick's second law of diffusion considering the given initial and boundary conditions (Equation 1).
When further excipients are added to the implants, the governing mass transport mechanisms can become more complex. For example, Herrmann et al. [47] studied IFN-α release from glyceryl tristearate-based implants prepared by compression. In order to modify the resulting protein release kinetics, different amounts of PEG were added. Interestingly, IFN-α release was primarily diffusion controlled in PEG-free devices, but in the presence of this release modifier significant deviations between the respective solution of Fields second law and the experimental results were observed. This was rather surprising, because the release of PEG itself into the release medium was predominantly diffusion controlled, irrespective of the initial PEG content, as can be seen in Figure 11. Good agreement between experiment and theory (Equation 1, with Mt and M„ representing the absolute cumulative amounts of PEG released at time t and infinite time, respectively; and with D denoting the apparent diffusion coefficient of PEG within the lipid matrix) was obtained in all cases. Importantly, the significant deviations between the diffusion theory and the experimentally determined protein release kinetics from PEG-containing implants could be attributed to the tremendous decrease in IFN-α solubility in the presence of PEG. Figure 12 shows the concentration of this protein in phosphate buffer pH 7.4 at 37°C in the presence of different amounts of PEG (filled diamonds). Please note that values indicated for PEG concentrations < 4% do not correspond to the solubility of the protein (the latter being higher), whereas those > 4% do. Clearly, above 4% PEG the solubility of the protein drastically decreases. Thus it can be expected that the amount of protein that is soluble in the water-filled channels within the lipid implants is determined by the PEG concentration in this aqueous phase. Therefore PEG does not only act as a pore former in this case, but mainly as a precipitation agent for the drug. As can be seen in Figure 12, the presence of hydroxypropyl-β-cyclodextrin (HP-P-CD, being used as a stabilizing agent for IFN-α) did not affect this phenomenon (open triangles). Importantly, the precipitation effect of PEG was not observed at pH 4.0 (asterisks in Figure 12: please note that the indicated protein concentrations do not correspond to the IFN-α solubility, the latter being higher), and drug release was purely diffusion controlled under these conditions [48].

Figure 11. PEG release from glyceryl tristearate-based, IFN-α-loaded implants containing different amounts of this release modifier (indicated in the Figure). Experimental results (symbols) and theory (Equation 1, assuming purely diffusion controlled PEG release).

Figure 12. Effects of the presence of different amounts of PEG on the IFN-α concentration in phosphate buffer pH 7.4 at 37°C. For reasons of comparison, the results obtained in the presence of HP-β-CD and at pH 4.0 are also indicated. Please note that the values at PEG concentrations < 4% at pH 7.4 and all PEG concentrations at pH 4.0 do not correspond to protein solubility, in these cases all of the protein used in this experiment was dissolved.
It must be pointed out that not only drug diffusion is of importance within lipid implants, but also the diffusion of water into the system can play a major role (4+11. As recently shown by Koennings et al [44], the penetration of the aqueous release medium into glyceryl trimyristate-based implants is not instantaneous and is considerably affected by the presence of different amounts of surfactants in the bulk fluid. Figure 13 shows confocal microscopy pictures illustrating the penetration of the bulk fluid into the implants as a function of time and the concentration of Tween 20 in the release medium: 0.1% in the upper row, 0.01% in the lower row.

Figure 13. Confocal microscopy pictures illustrating the penetration of the aqueous release medium into trimyristate-based implants as a function of time and the surfactant concentration in the bulk fluid. Upper row, 0.1% Tween 20; lower row, 0,01% Tween 20.
The mechanisms controlling drug release from lipid implants are not yet fully understood. The examples discussed above are intended to give an idea of which type of mass transport processes can be involved and how straightforward or complex the systems can be. A thorough understanding of the underlying drug release mechanisms in a specific device can be highly beneficial, because device optimization and troubleshooting during production is much easier if there is a clear understanding of how the system works. In addition, appropriate mathematical theories can allow for the quantitative prediction of the resulting drug release kinetics as a function of formulation and processing parameters. In this way time- and cost-intensive series of trial and error studies can be avoided.
Most of the lipids used as matrix formers in controlled release implants are known to be safe upon oral administration, because they are common excipients in the food industry. Many of them are physiological substances. However, their safety and fate upon parenteral administration in high amounts and in the form of implants is generally unknown. In various cases it is unlikely that serious immune reactions will be caused, but the exact tissue reaction needs to be investigated for each particular type of lipid. Recently, Guse et al. [78] reported on the biocompatibility of glyceryl tripalmitate-based cylinders (2 mm in diameter) upon subcutaneous administration into immunocompetent mice. As can be seen in Figure 14, the implants were encapsulated by fibroblasts. The picture on the left-hand side shows Masson and Goldner stained tissue after 4 days of implantation, the one on the riglu-hand side was obtained after 30 days of implantation. Importantly, the intensity of the encapsulation was low and comparable to that of PLGA-based implants. Furthermore, no significant inflammatory reactions were observed and no noteworthy implant swelling was monitored. The implants remained intact during 60 days, demonstrating that they are suitable to provide long-term controlled drug delivery. However, if surgical resection is to be avoided after drug exhaustion, complete biodegradability should be guaranteed. However, the fate of many lipid implants for longer rime periods is unknown, although different strategies could be followed if biodegradation is to be accelerated, for example small amounts of gelatin might be included [78]. Waiduck [79] administered cholesteroi/lecithin-based implants subcutaneously into sheep for the delivery of a recombinant antigen. Interestingly, these implants caused even less local reactions than injected, conventional vaccines. Other biocom- patibility studies have been reported for lipids, including different types of devices [80.81]. For example, Reithmeier et al. [80] rested glyceryl tripalmitate-based microparticles in mice. The observed reactions were comparable to those obtained with the equivalent PLGA-based systems.

Figure 14. Tissue reaction in immunocompetent NMRI mice upon subcutaneous administration of cylindrical glyceryltripalmitate implants (diameter = 2 mm). Light microscopy pictures obtained upon tissue staining with Masson & Goidner after 4 days (left-hand side).
Various in vivo studies have clearly provided the proof of concept for the pharmacodynamic efficiency of lipid implants as controlled drug delivery systems [13,36-39,78,79,81-87]. For example, Wang [13] administered insulin-loaded, stearic acid-based implants (which were prepared by compression) subcutaneously into Wistar rats with streptozotocin-induced diabetes. As can be seen in Figure 15, the resulting blood glucose levels could be effectively normaii7.ed in several weeks by this treatment. Khan et al. [87] prepared bovine serum albumin (BSA)-loaded lipid implants (also via compression), BSA serving as model antigen in this case. Cholesterol as well as blends of cholesterol and hydrogenated egg lecithin were used as lipid matrix formers. I'he devices were implanted subcutaneously into mice and the BSA antibody response was monitored over 10 months. The sustained release of BSA from the implants provided an antibody production in the animals during the entire observation period, and this response was more pronounced than that induced by three injections of the same BSA dose (studied for reasons of comparison).

Figure 15. In vivo efficiency of lipid-based controlled release implants. Blood glucose levels in three Wistar rats with streptozotocin-induced diabetes upon subcutaneous administration of insulin-loaded, stearic acid-based implants.
7. Conclusion
Lipid implants offer great potential as parenteral controlled drug delivery systems. In particular in the case of acid-labile drugs, which lose their biological activity within PLGA- based devices (due to the creation of acidic micro-environments upon polyester degradation), this type of advanced pharmaceutical dosage forms could become of major practical importance. Interestingly, large spectra of drug release patterns can be provided by varying different formulation and processing parameters. The biocompatibility of the systems can be expected to be good in most cases. Major challenges to be addressed in future developments include a more precise control of the degradation behavior in vivo and the establishment of production techniques that are robust and easily up-scalable. A thorough understanding of the underlying drug release mechanisms can be of great help for facilitated device optimization during product development and troubleshooting during production.
Expert opinion
Due to significant advances in biotechnology in the last decade, more and more prorein-based drugs have become available in significant quantities and at reasonable prices. Many of them are highly promising and might allow for the development of novel therapeutic strategies. This might particularly be true for the treatment of various major diseases in industrial countries, including cancer, cardiovascular and neurodegenerative diseases (e.g., Alzheimer’s and Parkinson’s Diseases).
However, to become active these drugs need to be adequately administered to the patient, and this presents a major challenge during product development for protein-based drugs. At present, oral administration is not feasible because proteins are rapidly degraded by enzymes within the gastro-intestinal-tract (GIT), the respective mucosal membranes are poorly permeable for macromolecules and the residence times within the GIT are limited. Various promising research strategies are presently being pursued in order to overcome these restrictions. Some of them are based on bioadhesive, controlled drug delivery systems containing enzyme inhibitors and absorption enhancers, thus allowing for increased residence times, reduced protein degradation and enhanced uptake into the systemic circulation. But the implementation of these strategies and the introduction of real products into the market will take considerable time (if this approach does indeed show to be feasible).
In addition, protein-based drugs generally exhibit very short half-lives in vivo. Thus, frequent parenteral administration is required. Time-controlled drug delivery systems, releasing the drug at a pre-determined rate over prolonged periods of time (e.g., several weeks or months) might be used to overcome this restriction. At present, PIXIA-based microparticles are the standard parenteral drug delivery system allowing for time-controlled release rates. However, these devices are not suitable for protein-based drugs: upon degradation of the polyester PI..GA, shorter chain acids are formed, resulting in potentially significant drops in the micro-environmental pH. Many protein-based drugs lose their activity under these conditions. If no efficient and easy solution allowing for an effective stabilization of acid-labile drugs within degrading PLGA-based microparticles is found, lipid implants have the potential to become one of the standard future parenteral drug delivery devices. They allow for an effective avoidance of acidic micro-climates and can provide large spectra of drug release patterns. Various formulation and processing parameters can be varied in order to achieve the desired drug release profiles and several preparation techniques can be used to incorporate drugs within the lipid matrices. Importantly, major toxic reactions due to the delivery system itself are unlikely, because lipids that are well known from the food industry can be used as matrix formers. Of course, lipid implants can also be highly suitable for the time-controlled, parenteral delivery of acid-stable drugs. The mass transport mechanisms controlling drug release from this type of advanced pharmaceutical dosage forms can be very complex and yet only limited knowledge is available in this field. An important practical benefit of a thorough understanding of how the systems work can be very helpful to more easily develop and optimize this type of advanced drug delivery systems.
References
Setter SM, l.evien TL, lit/ JL, et al. Inhaled dry powder insulin lor the treatment of diabetes mellitus, (din Ther 2007;29(5):795-813
Oeland JL, Johnson Oh, Putney S, Jones A]S. Recombinant human growth hormone poly(lactic-eo-g!ycolio acid) microsphere formulation development. Adv Drug Deliv Rev 1997;28:71-84
Ravivarapu I fB, Burton K, DeLuca PP. Polymer and microsphere blending to alter the release of a peptide from Pl.GA microsphcres. Pair J Pharm Biopharm 2000;50:263-70
Mcnei P, Capelle L, Guyotat J, et al. Local and sustained delivery of 5-fluorouracil from biodegradable microsphcres for the radiosensitization of malignant glioma: a randomized phase II trial. Neurosurgery 2005:56:242-8
Jiang W, Gupta RK, Deshpande MC, Schwcndeman SP. Biodegradable poly(lactic-co-glycolic acid) microparticles fur injectable delivery of vaccine antigens. Adv Drug Deliv Rev 2005;57:391-410
Olavrcul A, Sindji L, Aubcrt-Poucsscl A, er al. Lffect of GDNP’-relea.sing biodegradable microsphcres on the function and the survival of intrastriatal fetal ventral mesencephalic cell grafts. LurJ Pharm Biopharm 2006:63:221-8
Brunner A, Maeder K, Goepferich A. PI 1 and osmotic pressure inside biodegradable microsphcres during erosion. Pharm Res 1999;l6(6):847-53
Li L, Sclnvendcman SP. Mapping neutral microclimate pH in PLGA mierosphercs. Control Re 2005;101:163-73
Jiang W, Schwcndeman SR Stabilization and controlled release of bovine serum albumin encapsulated in poly(l).l.-lactide) and polyethylene glycol) microsphere blends, Pharm Res 2001 ; 1 8(6):87H-85
I.uckeA. Goepferich A. Acylation of peptides by lactic acid solutions. Lur J Pharin Biopharm 2003;55:27-33
NaOJLYounYS, LeeSD, et al. Monitoring of peptide acylation inside degrading PLGA microsphcres by capillary electrophoresis and MALI.)-1 Oh mass spectrometry. J Control Rel 2003;92:291-9
Estcy T, Kang J, Schwcndeman SR Carpenter JR BSA degradation under acidic conditions: a model for protein instability during release from Pl.GA delivery systems, j Pharm Sci 2006;95(7): 1626-39
Wang PY. Lipids as excipient in sustained release insulin implants. InrJ Pharm 1989;54:223-30 •• Very interesting study on the in vivo delivery of insulin.
Allababidi S, Shah JC. Kinetics and mechanism of release from glyceryl monostcarate-based implants: evaluation of release in a gel simulating in vivo implantation, j Pharm Sci 1998;87(6):738-44
Maschke A, Lucke A, Vogelhuber W, et al. Lipids: an alternative material for protein and peptide release. In: Carrier Based Drug Delivery, AGS Symposium Series. Svenson S, editor. American Chemical Society, Washington; 2004. p. 176-96
Mohl S, Winter G. Continuous release of rh-interferon α-2a from triglyceride matrices. J Control Rel 2004;97:67-78
•• Very interesting study on glyceryl tristearate-based, interferon-loaded implants.
Ho HA, Vassileva V, Allen C, Piquette-Miller M. In vitro and in vivo characterization of a novel biocompatible polvmer-lipid implant system for the sustained delivery of paclitaxel,
J Control Rel 2005:104:181-91
Appel B, Maschke A, Weiser B, et al. Lipidic implants for controlled release of bioactive insulin: Effects on cartilage engineered in vitro. Int J Pharm 2006;314:170-8
Koennings S, Garcion E, Faisant N, et ah In vitro investigation of lipid implants as a controlled release system for interleukin-18. 1 at J Pharm 2006;3l4(2):l45-52
Morlock M. Koll 11, Winter G, Kissed T. Microencapsulation of rh-ervthropoietin, using biodegradable poly(l),L-lactidc-co-glycolide}; protein stability and the effects of stabilizing excipients. F.ur J Pharm Biopharm 1997;43:29-36
Iwata M, Tanaka T> Nakamura Y, McGinity JW. Selection of the solvent system for the preparation of poly(D.L-lactic-co-glycolic acid) microsphcres containing tumor necrosis factor-alpha (TNF-α). hit J Pharm 1998;160:145-56
Krishnamurthy R, Lumpkin J A, Sridhar R. Inactivation of lysozyme by sonication under conditions relevant to microencapsulation. IntJ Pharm 2000;205:23-34
Kang H Rang G, Hinderliter A, et al. Lysozyme stability in primary emulsion for PLGA microsphere preparation: effect of recovery methods and stabilizing excipients. Pharm Res 2002;19(5):629-33
Biiati U, Allemann F. Doelkcr K. Strategic approaches for overcoming peptide and protein instability within biodegradable nano- and microparticles, luir J Pharm Biopharm 2005;59:375-88
Sah H. Stabilization of proteins against methylene chloride/water interface-induced denaturation and aggregation. J Control Rel 1999;58:143-51
Van tie Weert M, 1 loechstetter J, I Iennink WE, Cromrnelin DJA, I he effect of a water/organic solvent interface on the structural stability of lysozyme. J Control Rel 2000;68:351-9
Kwon YM, Baudys M, Knutson K, Kim SW. In situ study of insulin aggregation induced by water-organic solvent interface. Pharm Res 2001 ;18(12):1754-9
Wang W. Protein aggregation and its inhibition in biopharmaceutics. IntJ Pharm 2005;289:1-30
Chilukuri DM, Shah JC. Local delivery «if vancomycin for the prophylaxis of prosthetic device-related infections. Pharm Res 2005;22(4):563-72
Joilivet C, Aubert-Pouesscl A, Clavreu A, et al. Striatal implantation of GDNF releasing biodegradable mierosphercs promotes recovery of motor function in a partial model of Parkinson’s disease. Biomaterials 2004;25:933-42
Fournier E, Passirani C, Colin N, ct al. The brain tissue response to biodegradable polyfmethylidene malonate 2.1,2)-based mierosphercs in die rat. Biomaterials 2006;27:4963-74
Idkharraz K, Faisant N, Guse G, et al. Paclitaxcl-loaded microparticles and implants for the treatment of brain cancer: preparation and physicochemical characterization. Int J Pharm 2006;314:127-36
Siepmann J, Siepmann F, Florence AL Local controlled drug delivery to the brain: Mathematical modeling of the underlying mass transport mechanisms, lnt J Pharm 2006;314:101-19
KemJS. Cholesterol matrix delivery system for sustained release of macrotnolecules. US4452775 (1984)
Cady SM, Fishbcin R. Partially coated. C10-C',20 fatty acid salts of peptides having molecular weights up to about 5000. US5137874 (1992)
Opdebeeck JP, Tucker 1G. A cholesterol implant used as a delivery system to immunize mice with bovine serum albumin. J Control Rel 1993;23(3):271-9
Wang PY. Implant preparations containing bioactive macromolecule for sustained delivery. US5939380 (1999)
Yamagaca Y, Iga k, Ogawa Y. Novel sustained-release dosage forms of proteins using polyglycerol esters of fatty acids. j Control Re 2000;63:319-29
Pee 1 1Y. Kim SK, Kim JS, et al. Protein- comaining lipid implant for sustained delivery and its preparation method. W02005102284 (2005)
Kocnnings S, Sapin A, Blank T, et al. Towards controlled release of BDNF - manufacturing strategies for prorein-Joaded lipid implants and biocompatibility evaluation in the brain. J Control Rel 2007;119:163-72 •• Very interesting study on different types of preparation techniques for lipid implants.
Morita T, I Iorikiri Y, Yamahara 11, et al. Formation and isolation of spherical fine protein microparticles through lvophili/.ation of protein-poly(ethylene glycol) «aqueous mixture. Pharm Res 2000:17:1367-73
Vogelhuber W, Magni 17 Gazzaniga A, Goepferich A. Monolithic glyceryl trimyristate matrices for parenteral drug release applications. F.urJ Pharm Biopharm 2003;55:133-8
Guse C, Koennitigs S, Kreye F, et al. Drug release from lipid-based implants: elucidation of the underlying mass transport mechanisms, lnt J Pharm 2006;314:137-44 •• Analysis of the underlying mass transport mechanism in lipid implants.
Kocnnings S, Berio A, Tessmar J, er al. Influence of wettability and surface activity on release behavior of hydrophilic substances from lipid matrices, J Control Red 2007;119(2): 173-81 •• Very interesting study on the importance of water penetration into lipid implants.
Vogelhuber W, Magni E, Mouro M, et al. Monolithic triglyceride matrices: a controlled-release system for proteins. Pharm DcvTxhnol 2003;8(l):71-9
Pongjanyakul T, Medlicott N], Tucker 1G. Melted glyceryl palmirostearare (GPS) pellets for protein delivery. Int J Pharm 2004; 271 (1-2): 5 3-62 •• Very interesting study on glyceryl palmitostearate-based, lysozyme-loaded implants.
Herrmann S, Winter G, Mold S, et ;d. Mechanisms controlling protein release from lipidic implants: effects of PFG addition. J Control Rel 2007;1 18:161-8
The importance of PEG addition on drug release and the underlying mass transport mechanisms. I lerrmann 5, Mold S, Siepmann F, et al. New insight into the role of polyethylene glycol acting as protein release modifier in lipidic implants. Pharm Res 2007:24(8): 1527-37
•• PEG can act as precipitation agent for proteins in lipid implants.
Sieged RA, Langer R. Controlled release of polypeptides and other macromolecules. Pharm Res 1984;1:2-10
Kacwvichit S, Tucker ICE The release of macromolccules from fatty acid matrices: Complete factorial study of factors affecting release. J Pharm Pharmacol 1994;46:708-13
Kocnnings S, Tessmar J, Blunk T, Goepferich A. Confocal microscopy for the elucidation of mass transport mechanisms involved in protein release from lipid-based matrices. Pharm Res 2007;24(7); 1325-35
Guse C, Koennings 8, Blunk T, et al. Programmable implants - from pulsatile to controlled release. Int.) Pharm 2006;314(2):l6l-9
A large spectra of drug redease patterns can be provided, including variable lag times.
Kncpp VM, Muchnik A, OJdmark S, Kalashnikova L. Stability of nonaqueous suspension formulations of plasma derived factor IX and recombinant human alpha interferon at elevated temperatures. Pharm Res 1998;15(7):1090-5
Klibanov AM. Improving enzymes by using them in organic solvents. Nature 2001;409:241-6
Maschke A, Becker C, Eyrich D, et al. Development of a spray congealing process for the preparation of insulin-loaded lipid microparticles and characterization thereof. Eur J Pharm Biopharm 2007;65:175-87
Eldem T, Speiser P, Altorfer 11. Polymorphic behavior of sprayed lipid micropellets and its evaluation by differential scanning calorimetry and scanning electron microscopy. Pharm Res 1991 ;8(2): 178-84
Westesen K, Bunjes Id, Koch Mi l). Physicochemical characterization of lipid nanoparticles and evaluation of rhedr drug loading capacity and sustained release potential..! Control Rel 1997:48:223-36
San Vicente A, Hernandez RM, Gascon AR, er al. Effect of aging on the release of salbutamol sulfate from lipid matrices, Int J Pharm 2000;208:13-21
Hamdani J, Moes A], Amighi K. Physical and thermal characterization of PreciroF' and CompritoF'1 as lipophilic glycerides used for the preparation of controlled-release matrix pellets. lnt J Pharm 2003;260:47-57
Khan N, Graig DQM. Role of blooming in determining the storage stability of lipid-based dosage forms. J Pharm Sci 2004;93(12) :2962-71
Ghoy YW, Khan N, Yuen KH. Significance of lipid matrix aging on in vitro release and in vivo bioavaiiahility. Int J Pharm 2005;299:55-64
Chapman D. The polymorphism of glycerides. Chem Rev 1962;62:433-56
Earsson K. Classification of glyceride crystal forms'. Acta Ghent S'carul 1966:20:22.55-60
I lagemann JW. Thermal behavior and polymorphism of acylglycerides. In: Crystallization and Polymorphism of Fats and Fatty Acids. Garti N, Sato K, editors. Marcel Dekker, New York; 1988. p. 9-97
Sutnnanta W, Craig DQM, Newton JM. An investigation into the effect of preparation conditions on the structure and mechanical properties of pharmaceutical glyceride bases. Int J Pharm1994; 10:75-91
Van Lingcvclde A, Van Malssen K, Hollander F, et al. Structure of mono-acid even-numbered p-triacylglycerols. ActaCryst 1999;B55:114-22
Sato K, Ucno S, YanoJ. Molecular interactions and kinetic properties of fats. Prog I.ipid Res 1999;38:91-116
Sato K. Crystallization behaviour of fats and lipids a review. Chem Eng Sci
2001;56:2255-65
Khan N, Craig DQM. The influence of drug incorporation on the structure and release properties of solid dispersions in lipid matrices. J Control Rel 2003;93:353-68
Himawan (7 StarovVM, StapleyAGF. Thermodynamic and kinetic aspects of fat crystallization. Adv Colloid Interface Sci 2006;122:3-33
Liu J, Jiang F, McGinity JW. i’roperties of lipophilic matrix tablets containing phenylpropranolamine hydrocidoride prepared by hot-melt extrusion, lent J Phann Biopharm 2001;52:181-90
Breitenbach j. Melt extrusion: from process to drug delivery technology. Fur J Pharm Biopharm 2002;54:107-17
Vcrreck G, Brewster MF2 Melt extrusion-based dosage forms: excipients and processing conditions for pharmaceutical formulations. B T Gattefosse 2004;97:85-95
Miyagawa Y, OkabeT, Yamaguchi Y, et al. Controlled-release of diclofenac sodium from wax matrix granule. Int J Pharm 1996;138:215-24
Sato 11, Miyagawa Y, Okabe T, et al. Dissolution mechanism of diclofenac sodium from wax matrix granules. J Pharm Sci 1997;86(8):929-34
Reitz C, Kleinebudcle P. Solid lipid extrusion of .sustained release dosage forms. F.urJ Pharm Biopharm 2007;67(2):440-8
•• Very interesting study on the effects of various processing parameters on drug release from extruded implants.
Vergnaud JM. Controlled Drug Release of Oral Dosage Forms. Flli.s Horwood Limited, Chichester; 1993
Guse C, Koennings S, Maschke A, et al. Biocompatibility and erosion behavior of implants made of triglycerides and blends with cholesterol and phospholipids. Int J Pharm 2006;314:153-60
•• Very interesting study on the biocompatibility oFlipid implants.
Walduck AK, Opdebceck JP, Benson HE, Prankerd R. Biodegradable implants for the delivery of veterinary vaccines: design, manufacture and antibody responses in sheep. J Control Rel 1998;51:269-80
Reithmeier H, Herrmann J, Goepfcrich A. Lipid microparticles as a parenteral controlled release device for peptides. J Control Rel 2001;73:339-50
Allababidi S. Shah JC. Efficacy and pharmacokinetics of site-specific cefazolin delivery using biodegradable implants in the prevention of post-operative wound infections. Pharm Res 1998; 1 5(2);325-33
Sullivan MF, Ruemmler PS, Kalkwarf DR. Sustained administration of cyclazocine for antagonism of morphine. Drug Alcohol Depend 1976;1:415-28
Joseph AA, Hill JL, Pate J, et al. Sustained-release hormonal preparations XV: release of progesterone from cholesterol pellets in vivo. J Pharm Sci 1977;66(4):4 90-93
Wang PY. Prolonged release of insulin by cholesterol-matrix implant. Diabetes 1987:36(9): 1068-72
Wang PY. Palmitic acid as an excipient in implants for sustained release of insulin. Biomaterials 1991 ;12(11:57-62
Khan MZI, Tucker IG, Opdebceck JP Cholesterol and lecithin implants for sustained release of antigen: release and erosion in vitro, and antibody response in mice. IntJ Pharm 1991;76:161-70
Khan MZI, Fucker IG, Opdebceck JP. Evaluation of cholesterol lecithin implants for sustained delivery of antigen: release in vivo and single-step immunisation of mice. IntJ Pharm 1993:90:255-62