Michael Oettel
M. Oettel Jenapharm, 07745 Jena, Germany ; E-mail: michel.oettel@gmx.de.
Abstract
The review starts off by outlining the history of the discovery of the male sex hormone testosterone and the historical background to the various, often dubious, approaches to the treatment of age-related endocrine disorders in older men. A discussion of congenital androgen deficiency in young men is followed by methods of diagnosing hypogonadism in older men. Among therapeutic options, the alternatives to direct testosterone replacement are discussed, although none of them have proved to be particularly successful in clinical practice. For testosterone replacement itself, various routes of administration and pharmaceutical formulations are now available, facilitating good monitoring and individualized therapy.
Introduction and historical background
Although the name testosterone is only 68 years old, the hormone that it identifies has been a focus of scientific interest for almost 150 years and its distinct effects have been obvious throughout the history of mankind. Its influence on physical and sexual development and its therapeutic properties continue to inspire new research and controversy (Freeman et al. 2001).
As defined traditionally, an androgen is a substance that stimulates the growth of the male reproductive tract. It is important to realize that this is a biological and not a chemical definition. Nonetheless, the most potent andro-gens are steroids. It has proved to be a difficult challenge in steroid chemistry to isolate, characterize, and synthesize the male hormones. The interstitial cells (the so- called Leydig cells) of the testes are the secretion site for but contain only small stores of androgens because, once synthesized, testosterone (T) is secreted promptly into the circulation. In normal adult men, the testicular pool turns over 20 times or more each day to account for the average daily secretion of 6-7 mg T in a circadian rhythm, with a nocturnal rise in T followed by a decline during the day. In young men, there is a close temporal coupling between pulses of LH and T secretion, resulting in a circadian rhythm, with evening levels of serum T being approximately 25% below the morning levels (Veldhuis et al. 1987). T circulates bound to sex hormone-binding globulin (SHBG) and albumin, with only 1-2% remaining unbound, and hence biologically active (for a review, see Byrne and Nieschlag 2003).
As early as 1927, Lemuel Clyde McGee (1927) reported the isolation of active extract of the lipid fraction of bull testicles. The magnitude of the problem faced by steroid chemists has been illustrated by the fact that laborintensive extracts from up to 100 g of testes were required for a positive result in the so-called chick comb bioassay (Tausk 1984; Bruchovsky and Wilson 1999). It is not surprising, therefore, that 15 mg of the first known androgen - androsterone - was isolated by Adolf Bute- nandt from 15,000-25,000 liters of policemen’s urine in 1931. The name of this relatively weak urinary androgen comes from “andro” = male, “ster” = sterol, and “one” = ketone. The chemical synthesis of androsterone was performed by Leopold Ruzicka 4 years later. In the same year, Karoly David, Elizabeth Dingemanse, Janos Freud, and Ernst Laqueur (David et al. 1935) reported the isolation of the main secretion product from the testes and the main androgen in the blood, T, from several tonnes of bull testes. The term “testosterone”, coined by this Dutch group, combines “testo” = testes, “ster” = sterol, and “one” = ketone (see Fig. 1). In the same year, the chemical synthesis of T was published by the three groups led by Adolf Butenandt (Butenandt and Hanisch 1935), Ernst Laqueur (David et al. 1935), and Leopold Ruzicka (Ruzicka and Wettstein 1935). Ruzicka and Butenandt were offered the 1939 Nobel Prize for chemistry for their work, but Butenandt was forced by the Nazi government to decline the honor.

Figure 1. Molecular structure of the C19-steroid testosterone.

Figure 2. Serum total testosterone concentration (A) and free androgen index (B) in 1014 men of different ages. Note the stronger decrease of bioavailable testosterone based on age- dependent increase of SHBG (from Oettel et al. 2003a; with permission).

Figure 3. Serum cortisol-levels and age in 1015 men (from Oettel et al. 2003a; with permission).
Astonishingly, the first paper describing the conversion of T to the powerful key metabolite 5α-dihydrotes- tosterone (DHT) in vivo and in vitro was not submitted until 32 years later (Bruchovsky and Wilson 1968). It was then another two decades later that Chang et al. (1988a, 1988b), Lubahn et al. 1988a, 1988b), Trapman et al. (1988), and the Wilson group (Tilley et al. 1989) succeeded in characterizing and expressing a cDNA encoding the human androgen receptor.
Although the endogenous aromatization of T to estro-gens has likewise been known since the late 1930s (Steinach and Kun 1937), it is only recently that we have understood the molecular biology of the aromatase gene (Simpson and Davis 2001) and the biological significance of the so-called “female sexual hormones”, the estrogens, for men (Oettel 2002; Gooren and Toorians 2003).
The androgen receptor (AR), which mediates androgen action in the cell, belongs to the superfamily of nuclear receptors, a large group of transcription factors. Recent studies have described how the AR acts on specific target genes. The receptor’s specificity of action depends on its regulation at different levels: expression in the cells, ligand binding, and DNA-specific sequence recognition by structurally conserved domains and regulation by transcriptional factors in an integrated response (Gobinet et al. 2002). Like other transcriptional factors, AR may communicate with the general transcription machinery on the core promoter to exert its function as a transcriptional modulator. The molecular communication between AR and the general transcription machinery may be achieved either by direct protein-protein interaction between AR and the general transcription machinery, or by the indirect interaction mediated by many co-regulators (Lee and Chang 2003).
The extraordinary interplay between the genomic or “classical” (via cell nucleus) and the nongenomic or “nonclassical” (via cell membrane) action of T was also only fully understood a short while ago (Heinlein and Chang 2002; Lutz et al. 2003; Papakonstanti et al. 2003; Simoncini and Genazzani 2003).
Obviously, the highly sophisticated molecular phar-macology of androgenic action has substantially influenced our modern knowledge of the molecular biology of endogenous signal systems. Nevertheless, there still is a certain suspicion in some quarters about androgen therapy. Why should that be so? A look at the history of testosterone therapy in aging men shows remarkable scientific achievements, but often, however, also a great deal of speculation and many dubious practices. John Hunter (1728-1793) performed testicular transplantation experiments while studying tissue transplantation tech-niques in 1767 and, almost a century later, Arnold Berthold (1801-1863) linked the physiological and behavioral changes of castration to a substance secreted by the testes.
The first considerations regarding the relationship of hormone production to the aging process stemmed from Charles Edouard Brown-Sequard (1817-1894), giving rise to the field of organotherapy. At the age of 72 years, he experimented on himself with an injection of animal testicular extract. While he believed that his experiments were successful, the results were almost certainly the result of a placebo effect.
The Viennese physiologist Eugen Steinach (18611944) gained public attention for his theory of the “autoplastic” treatment of aging. He assumed that after vasoligation, an increased incretory hormonal production would appear following the cessation of the secretory output of the gonads. The first operation was performed in 1918 and resulted in a worldwide vasectomy boom over the next two decades. The Russian, Serge Voronoff (1866-1951), working in Paris and elsewhere, was one of the first to transplant testicular tissue from a monkey into a human testicle in 1920. The Swiss genito-urinary surgeon, Paul Niehans (1882-1971) claimed to have performed more than 50,000 “cellular therapy” treatments. He envisioned the replacement of organ transplantation by the injection of viable cells (Schultheiss et al. 1997; Freeman et al. 2001).
The first modern description of the “male climacteric” (Die Wechseljahre des Mannes) was by the German, A. Hoche, in 1927 (Hoche 1928). In the 1940s in the USA a number of publications appeared describing a “male climacteric”. Heller and Myers (1944) demonstrated that climacteric (from the Greek for “rung of a ladder”) symptoms could be reversed by T. They utilized a quasi-controlled placebo trial to demonstrate this effect. Werner (1946) was the first to describe the symptoms of the male climacteric, which included nervousness, decreased po-tency, decreased libido, irritability, fatigue, depression, memory problems, sleep disturbances, numbness, tingling, and hot flushes (Morley and Perry 2003b).
All these hormonal approaches to rejuvenation were made before the discovery of T or the supply of high- quality androgen products by the pharmaceutical industry. They are completely out of date now. Only with the introduction of high-quality testosterone preparations did it become possible to provide a scientific basis for androgen therapy. The first long-term experiences have now been documented. Ernest Hemingway took testosterone for the last decade of his life, providing us with one of the longest patient histories for T administration (Morley and Perry 2003b). Louis Gooren (1994) has reported in detail on the safety of T undecanoate administered orally to a small group of men over a period of 10 years. However, the public still have their doubts when it comes to the subject of androgen therapy. The present review attempts to weigh the pros against the cons of androgen therapy in older men.
Androgen deficiency
The term male hypogonadism covers all states of testicular hypofunction, including incretory as well as secretory forms of insufficiency. Eunuchism [from eunh (bed)] and ecesohn (hold), eunoucoz (the “bed protector”)] usually implies the condition after castration, whereas eunuchoid-ism means a congenital or acquired gonadal insufficiency (Labhart 1974).
The clinical picture of hereditary as well as acquired androgen deficiency is well characterized and therefore the classification of male hypogonadism poses no particular problem for us (Table 1). To my knowledge androgen therapy (T propionate) was first described in a case of traumatic postpubertal eunuchoidism by Foss (1937). The appropriate T therapy has presented certain difficulties in the past, because few suitable preparations were available. Meanwhile, the situation has definitely improved (see below) and androgen therapy of primary as well as secondary hypogonadism as a testicular disease is not a major problem. Therefore this relatively clear diagnostic and therapeutic field is not discussed further here.
Table 1. The different forms of male hypogonadism with impaired testosterone secretion.

The picture is different for age-related androgen deficiency in men. There are several controversial dis-cussions here and research is needed in order to reach a consensus. The problem starts with the definition. Terms found in the literature include:
- ndropause
- male climacteric
- acquired male hypogonadism
- late onset hypogonadism
- androgen decline in aging males (ADAM)
- partial androgen decline in aging males (PADAM).
Whenever there are so many terms, this suggests some uncertainty regarding the knowledge of etiology, diag-nostics, and the medically founded necessity of androgen therapy. Malcolm Carruthers (2001) says in this connection that the best current definition for age-related androgen deficiency comes from Tremblay and Morales (1998): “When men exhibit several symptoms and/or clinical features of reduced testosterone availability to various systems or organ functions”. On the other hand, is the age-related decrease in testosterone secretion a testicular disease which always needs to be treated with testosterone?
Briefly, secretions of anabolic hormones such as T, dehydroepiandrosterone (DHEA), growth hormone (GH), and insulin-like growth factor I (IGF-I) decline, while the most important catabolic hormone cortisol remains con-stant during aging (Figs. 2, 3). In such age-dependent, increasing relative hypercortisolism (Oettel et al. 2003), we can at the same time find the following symptoms, which are typically observed in the elderly:
- an impaired immune system: inadequate early/delayed responses, impairments of the skin including dimin-ished sexual body hair
- hypertension, atherogenesis, thrombosis, and erectile dysfunction
- reduced bone density and bone mass; elevated fracture risk
- impaired glucose metabolism, metabolic syndrome, visceral obesity
- catabolic metabolism; reduced muscle mass, muscle strength, and working capacity; frailty
- reduced erythropoiesis
- CNS: cognitive impairment including troubles with memory, anxiety, loss of libido and therefore decreased sexual activity, hot flushes, hypothalamic- hypophyseal-adrenal axis dysregulation.
These clinical signs are typical of reduced androgenic/ anabolic actions and/or a relative glucocorticoid excess. Therefore re-establishing the anabolic/catabolic hormonal balance by hormone displacement (limited downregula- tion of cortisol action) or by testosterone replacement could be a rational approach. Whereas for the cortisol displacement surprisingly little research activity has been reported to date, great efforts are being made throughout the world for to improve androgen therapy techniques in older men.
At an age of 75 years, the mean total T level in the morning is about 65-75% of the mean level measured at age 20-30 years, whereas the mean free testosterone (FT) and bioactive T (FT + albumin-bound T) are only 40% of the mean levels measured in younger males. This decrease, initially observed in cross-sectional studies, has now been confirmed by several longitudinal studies. Nevertheless, there do exist wide interindividual variations and, whereas more than 30% of males over 70 years old have subnormal (F)T levels using the criteria used for young males, about 20% of men over 70 years old still have levels in the upper third of normal values for males aged 20-40 years. Moreover, the circadian rhythm of plasma T levels, with higher levels in the morning than in the evening, is generally lost in elderly men (Vermeulen 2003). With increasing age, the coordinated release of LH from the pituitary and T from Leydig cells in the testicles become asynchronous despite normal basal serum levels of these hormones. A comparison of LH and T concen-trations shows significant and positive cross-correlations between LH and T only in young men, with the T rise lagging 60 min behind the rise in LH. In older men, less pulsatile T and more LH are secreted at night than in young men, with a disruption of the association between T rhythm and REM sleep (Luboshitzky et al. 2003). Additionally, there are also seasonal variations in T and simultaneously in the waist-to-hip ratio in men (Svartberg et al. 2003). On the other hand, chronic illnesses and their sequelae may cause an accelerated and more pronounced decline in androgen secretion (Turner and Wass 1997).
A causal, or at least a contributory, role of age-related, reduced androgen secretion for catabolic disorders in older men has been assumed (Vermeulen 2003). Figure 4 shows the most important clinical symptoms of androgen deficiency in older men. The physiology and pathophys-iology of age-related androgen deficiency in men have been discussed in considerable detail in several recent reviews and are therefore not included here (see Morales et al. 2000; Carruthers 2001; De Lignieres 2002; Wilson et al. 2002; Gooren 2003; Lamberts 2003; Morley and Perry 2003b; Oettel et al. 2003; Tan and Culberson 2003; Vance 2003; Vastag 2003; Vermeulen 2003; Yialamas and Hayes 2003).

Figure 4. Clinical signs of testosterone deficiency in men.
Diagnosing androgen deficiency in older men
The key message for diagnosing and treating androgen deficits in aging males is that androgen therapy should result in the improvement of symptomatology. A mere replacement of reduced serum T levels makes no sense and cannot be supported from a pharmacological point of view. The combination of symptoms and a low bioavailable T level determine the diagnosis of age-related, clinically relevant androgen deficiency. Androgen therapy is intended to improve the quality of life and, thus, should not be continued if there is no symptomatic improvement (Morley and Perry 2003a).
How is serum testosterone measured? To start with, T secretion is not constant even over a short period of life. In addition to the well-known circadian rhythm of T in younger men, marked week-to-week variations in T secretion exist and there is some evidence supporting a circannual rhythm (Morley et al. 2002). Testosterone secretion in men responds very quickly and sensitively to environmental stimuli, to stress and strain, and to joy and worry - either in a positive or a negative direction (McCaul et al. 1992). If we compare this with women’s more robust endocrine system, men are definitely “the weaker sex” - at least from an endocrinological point of view.
Furthermore, the role of genetic background is very important. In adolescent men, approximately 60% of the variance in T levels is heritable (Harris et al. 1998). There are also significant ethnic variations in total and free T serum concentrations. Heald et al. (2003) found that T levels were lower in Pakistani men than in Europeans or African-Caribbeans.
Traditionally, T levels have been measured by radio-immunoassay (RIA). The validity of this method is dependent on the quality of the given antibodies. Tariq (2003) measured T with 10 immunoassays and compared the results with those obtained by isotope-dilution gas chromatography-mass spectrometry (ID/GC-MS). The used immunoassays underestimated T concentrations in samples from men, giving mean results 12% below those obtained by ID/GC-MS. On the other hand, when new antibodies are introduced, normal ranges for serum T should be confirmed by mass spectroscopy, the true gold standard (Morley and Perry 2003a).
More important are the local T concentrations in the tissues, and therefore the measurement of unbound or free, penetrable T is recommended. Studies by Pardridge and co-workers (Pardridge 1981; Manni et al. 1985) already showed in the early 1980s that the tissue availability of T correlated most closely with bioavailable T in the serum, not as well with serum free T by dialysis, and poorly with total or SHBG-bound T. In young men, 50-60% of T is SHBG bound, 1-2% is free, and 35-48% is loosely bound to albumin. Free T can be measured by dialysis or ultracentrifuge techniques. Both free and albumin bound, the so-called bioavailable T can be measured by ammonium sulfate precipitation of tritiated T bound to SHBG. When in diagnosis either free T levels or bioavailable T are used as a “gold standard”, total T misclassifies between 35 and 45% of hypogonadal males (Morley et al. 2002). In fact, the inexpensive determination of total testosterone and of SHBG would suffice and then the bioavailable T could be calculated. Unfortunately, there is a variability of dissociation constant (KD) with aging (Morley and Perry 2003a). In addition different antibodies to SHBG give varying normal values (Bukowski et al. 2000). The reason is that SHBG exists as two polypeptide chains covalently bound and multiple dimeric forms circulating as variants of the two subunits exist because of differing amounts and types of carbohydrate side-chains (Joseph 1994). Other factors can also influence the SHBG estimation: saturated fatty acids increase SHBG binding of T, whereas unsaturated fatty acids inhibit binding (Street et al. 1989). Polymorphisms of the SHBG gene are also known (Forsti et al. 2002). Therefore it is not surprising that many groups throughout the world are making great efforts to validate and standardize clinically relevant methods of T determination in serum and to render them into binding guidelines.
A fascinating alternative would be T determination in the saliva, because saliva can be obtained in a noninvasive and inexpensive way. Salivary T represents an ultrafiltrate of T from the circulation. While some metabolism of T occurs in the salivary glands, it appears that salivary T may correlate better with bioavailable T than does total T in blood serum (Morley and Perry 2003b). It may even be possible to use T measurement in the saliva as a good screening test for hypogonadism in the future (Granger et al. 1999; Van Honk et al. 1999; Ellison et al. 2002; Krause et al. 2002; Shirtcliff et al. 2002).
Unfortunately, the determination of serum androgen bioactivity using recombinant cell bioassays is at present at a very early stage of development (Raivio et al. 2001, 2003).
Different pharmaceutical options for testosterone therapy
Alternatives to direct testosterone replacement
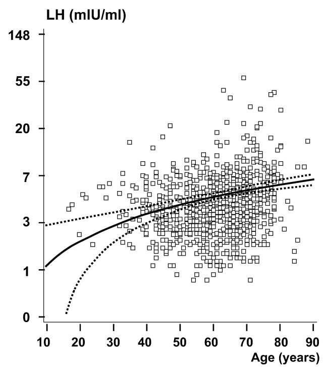
In the human testis, LH acts primarily on Leydig cell T production. The concentrations of LH reaching the Leydig cells via testicular interstitial fluid (passing the blood/testicular barrier) are only about one-tenth of that measured in the circulation. This indicates a high sensitivity of young Leydig cells to the LH stimulus for producing T (Setchell et al. 2002). However, the total testicular volume decreases in an age-related manner and this involution is correlated with serum LH, indicating an age-dependent decrease in the sensitivity of the Leydig cells to LH (Mahmoud et al. 2003). The decline in testicular function appears to involve a combination of primary and secondary hypogonadism. A gradual increase in the serum concentration of LH indicates a degree of primary hypogonadism. However, the findings that additionally the pulsatory LH secretion pattern (LH burst amplitude) decreased with age and that this decrease was the most prominent determinant of reduced T secretion indicates also a degree of secondary hypogonadism (Snyder 2001). As shown in Fig. 5, there was an age- dependent increase in mean LH levels in 1,022 men, suggesting that LH understimulation is not responsible for age-associated changes in Leydig cell steroidogenesis. The data we cite here (see Figs. 1 and 2) originate from our cooperation with the LURIC study (Ludwigshafen Risk and Cardiovascular Health Study), a joint project of the Herzzentrum (Heart Center) in Ludwigshafen and the Universitätskliniken (Teaching Hospital) in Freiburg and Ulm, Germany (Winkelmann et al. 2001; Oettel et al. 2003). Despite this increasing insensitivity of the Leydig cells, it is possible to stimulate the endogenous T biosynthesis in men at every period of their lives by injecting LH or human chorionic gonadotropin (hCG). The disadvantage is the high injection frequency (at least twice weekly), because these glycoproteins are immediately destroyed in the stomach after oral dosage.

Figure 5. Serum LH and age in 1022 men (LURIC / Jenapharm Study).
Generally, the steroidogenic capacity in aging Leydig cells is markedly reduced. This has been explained by an age-related reduction in the expression of a number of genes relevant to testosterone biosynthesis (Zirkin and Chen 2000; Luo et al. 2001; Paust et al. 2002). As well as a quantitative reduction in T biosynthesis, there is also a deflection of the direction of testicular steroidogenesis. An example is the increased secretion of progesterone by the aging rat Leydig cell (Gruenewald et al. 1992; El- Hefnawy and Huhtaniemi 1999). The progesterone receptor in the Leydig cell is located on the cell membrane, indicating a nongenomic or nonclassical mode of progesterone action in this target (Rossato et al. 1999). Interestingly enough, incubation of Leydig cells with progesterone inhibits the expression of the promoter for the LH- receptor gene (El-Hefnawy and Huhtaniemi 1998). It would now be logical to try to increase T secretion in older men with an antiprogestin. However, there have been no corresponding clinical studies to date.
Another approach to the stimulation of endogenous T secretion is the administration of antiestrogens by the inhibition of the negative feedback of endogenous estro-gens on gonadotropin secretion. For example, older men receiving the antiestrogens clomiphene citrate or tamoxifen do achieve higher T serum levels (Van Bergeijk and Gooren 1986; Tenover et al. 1987; Guay et al. 1995). However, while this approach reliably increases the serum T levels in younger men, the effect is marginal in older men (Myers et al. 1986). On the other hand, the inhibition of the conversion of T to 17β-estradiol with an aromatase inhibitor also causes men’s serum T levels to rise (Radlmaier et al. 1996). Even the dopaminergic modulation of gonadotropin secretion by bromocriptine, metoclopramide, or sulpiride given to men increases their endogenous T secretion (Nakagawa et al. 1982; Molitch et al. 1985). However, all these different approaches to the stimulation of the endogenous T biosynthesis have failed to become popular in clinical practice (which is also apparent from the fact that most of the publications on the subject are more than 10 years old).
What is still at an experimental stage is the endocrino-logical metabolic arrest of Leydig cells. We know from rat studies that the administration of contraceptive doses of T, functioning through a negative feedback mechanism on pituitary LH, suppresses endogenous LH and leads to a temporary arrest of steroid biosynthesis in the Leydig cells. Chen and Zirkin (1999) were able to show the following in rats: when middle-aged Norway rats (13 months old) were treated with T for 8 months, the previous level of T production was restored by the end of the treatment. This means that the 23-month-old rats showed the same serum T levels as young animals. Thus, by placing the Leydig cells in a state of steroidogenic “hibernation”, the reductions in T production that usually accompany aging did not occur. If hormonal contraception in men functions in the same way, the adverse consequences of reduced T in later life (osteoporosis, reduced muscle mass, reduced libido, mood swings etc.) might be delayed or prevented. However, whether this very original approach is of clinical relevance remains to be seen.
Taken together, no alternatives to T therapy can be recognized at present, i.e., we still have to rely on T replacement with natural T.
Different testosterone preparations
Oral testosterone
Orally administered pure T is rapidly absorbed from the gastrointestinal tract into the portal blood, and then degraded by the liver (first-pass effect) resulting in only a minimal amount of T reaching the systemic circulation (Byrne and Nieschlag 2003).
As early as in 1935, the scientific group headed by the great chemist Ernst Laqueur found that the presence of fatty acids or esterification was necessary to maintain the biological activity of T (David et al. 1935). Since then, the history of T has also been the history of the different T esters. However, only unesterified T is biologically active after the cleavage of the ester bond in the body.
T undecanoate bears a long aliphatic chain in the 17β position and is preferentially absorbed through the lym-phatic system, thereby avoiding first-pass metabolism in the liver and hepatotoxicity (Oettel 1994). Although widely used for the treatment of male hypogonadism in Europe, Canada, and Australia since the late 1970s, its clinical use is limited by its short half-life requiring multiple daily dosing, and by fluctuating serum levels (Behre and Nieschlag 1998). As regards the pharmaco-kinetic pattern of oral T undecanoate, there is a great intraindividual as well as interindividual variability. However, the pharmaceutical formulation has been im-proved recently (Anawalt et al. 2002).
The alkylation of T at the 17α-position, for instance in the case of 17α-methyltestosterone, reduces hepatic metabolism, resulting in improved systemic concentrations of T. However, a serious hepatotoxicity (hepatitis, cholestasis, peliosis, benign and malignant hepatic tumors) caused 17α-methyltestosterone to be withdrawn from the market in Europe. Interestingly, the American Food and Drug Administration (FDA) does not share the toxicological concerns of the European authorities. The alkylated androgen is on the market in the USA and is even prescribed there (together with an estrogen) to postmenopausal women.
If T is applied buccally or sublingually in a suitable pharmaceutical formulation, the hepatic first-pass effect can be avoided, since venous drainage from the mouth is directly to the superior vena cava and not to the liver. Corresponding developments, e.g., on the basis of a T complex with hydroxypropyl-β-cyclodextrin (enhanced solubility and sublingual absorption) or of bioadhesive buccal tablets are in advanced clinical trials and will undoubtedly broaden therapeutic options for oral T therapy in the near future (Wang et al. 1996; Dobs et al. 1998).
Intramuscular testosterone
Of all the known and commercially available fatty acid esters of T (propionate, enanthate, cypionate/cyclopentyl- propionate), T enanthate has so far been preferred because of its relatively good pharmacokinetic pattern. This ester (200-250 mg) must be injected every 2-3 weeks for replacement therapy of hypogonadism. The disadvantage of all these intramuscular esters is that they initially produce supraphysiological serum T levels which then decline slowly to the hypogonadal range prior to the next injection (Behre and Nieschlag 1998).
To avoid these disadvantages, an injection form with T undecanoate was developed which is likely to be introduced soon. This new pharmaceutical formulation requires demonstrably fewer injections, resulting in stable T levels within the normal range and avoiding both supra- physiological and subphysiological serum T levels (Hubler et al. 2001; Von Eckardstein and Nieschlag 2002). However, in contrast to implants, the injection interval is short enough for fast interruption of the therapy when needed.
Subcutaneous implants
Subdermal pellet implantation was among the earliest effective modalities employed for the clinical application of T (Deansley and Parkes 1937) and T implants had become an established form of androgen replacement therapy by 1940. Physiological levels of T can be achieved using subcutaneous T implants, with 3-6x200 mg pellets of unmodified T. These implants are well tolerated and provide T replacement for 4-6 months. Disadvantages include the need for a minor surgical procedure and the cumbersome delivery system requiring the use of a large trocar, leading to a small risk of bleeding and infection. Extrusion of pellets occurs after ~8.5% of implant procedures (Handelsman 1998). The major disadvantage of these preparations is the difficulty in reversing T effects in the rare event that rapid interruption of the therapy is required (e.g., in cases of diagnosis of prostate cancer).
Transdermal testosterone
The transdermal delivery of T offers several benefits compared with oral or intramuscular routes or implants for T administration. Transdermal systems deliver daily physiological doses of unmodified T that yield consistent therapeutic serum T levels and mimic the circadian rhythm of T production in eugonadal males. The hormone delivered through the skin avoids the hepatic first-pass metabolism and eliminates the potential problem of liver toxicity. Transdermal systems can easily be self-admin-istered, and dosing can be discontinued immediately by stopping the administration.
The first system to come on to the market was a scrotal patch. In recent years the availability of nongenital patches has led to a decline in the use of scrotal preparations. Unlike the widely used transdermal delivery of 17β-estradiol where only picogram amounts of the drug need to penetrate through the skin, a patch for T requires that the steroid has to pass through the skin in the milligram range, because up to 7 mg/day of T is needed in the circulation for treating male hypogonadism. This relatively large amount of steroid necessitates using enhancers which improve the permeation through the skin. This necessary pharmaceutical measure comes at the price of local skin irritations occurring in ~30% of subjects (Arver et al. 1997).
The latest development in androgen replacement therapy is an open T delivery system using a hydroalcoholic 1% T gel. Pharmacokinetic studies of this gel (50 or 100 mg) applied to hypogonadal men indicate that T levels increase into the normal range within 30 min, with steady state levels achieved by 48 h (Swerdloff et al. 2000). Hypogonadal men treated with this gel for 30 months had improved sexual function, increases in lean body mass, muscle strength, bone mineral density, and decreased fat mass (Wang et al. 2000, 2001, 2002).
When applied to the skin, gel dries rapidly, due to the evaporation of the alcohol vehicle, and the steroid is absorbed very fast into the stratum corneum of the skin, which serves as a reservoir. As shown in the appropriate safety studies, contamination of other people at home or in the family, causing unwanted side-effects, remains unlikely (Byrne and Nieschlag 2003).
Concluding remarks
Testosterone (T) therapy for the treatment of hypogonad-ism in young men (see Table 1) is well established. However, only a relatively small proportion of older hypogonadal patients are currently receiving T treatment, although hypogonadism in older men is very much in public awareness at present. There are two reasons for this: firstly, most attending physicians pay too little attention to the possibility of hypodonadism, despite the clinical symptoms of T deficiency being present. Secondly, the monitoring of T therapy (achieving physiological serum T levels with a minimum of adverse effects with the most convenient T administration form for the patient) is often still suboptimal. In addition, there is a controversy among scientists, as to whether or not the long-term experiences gained so far are sufficient for a comprehensive assessment of the toxicological risk (Oettel 2003). It is important to recognize that the diagnosis of hypogonadism in older men should be made first by identifying the presence of clinical symptoms using a validated questionnaire. When symptoms are present, the diagnosis is confirmed by measuring bioavailable T. A total T measurement will fail to identify a large number of hypogonadal men (Morley et al. 2002; Tariq 2003).
The type of hypogonadism found in older men is usually a result of aging (Kenny et al. 2001), associated with sarcopenia (Baumgartner et al. 1999; Van den Beld et al. 2000; Iannuzzi-Sucich et al. 2002), reduced bone mineral density (Christmas et al. 2002), memory distur-bance (Morley et al. 1997), and functional decline (Perry et al. 2000). It may also be a major factor in the pathogenesis of anorexia (Morley 2001). T therapy can increase muscle mass (Shih et al. 1997) and - in some, but not all, studies - muscle strength and cognition (Kenny et al. 2002a; Cherrier et al. 2001; Wang et al. 2000). Moreover, it has been shown that T replacement tends to improve function in older men undergoing rehabilitation (Bakhshi et al. 2000). All of these findings suggest that T may play a major role in the pathogenesis of frailty in older men, one of the most usual contributory factors to the mortality of elderly people (Tariq 2003).The new pharmaceutical formulations for T greatly facilitate the monitoring and individualizing of therapy. An open question is the influence of exogenous T on the cardiovascular system. Kenny et al. (2002b) showed that transdermal T decreased HDL2 cholesterol but did not affect vascular reactivity in men older than 65 years selected for low T serum levels. No study to date has addressed the direct relationship between T replacement and cardiovascular events.
In conclusion, there is a major need for advanced education and training in the treatment of age-related hypogonadism in men and, at the same time, for well- designed clinical studies of a high quality.
References
Anawalt BD, Amory JKK, Wang C, Swerdloff RS, Dobs AS, Meikle AW, Elbers JMH, Houwing NS (2002) A pharmaco-kinetic study of oral testosterone undecanoate (Org 538). J Androl (suppl):37
Arver S, Dobs AS, Meikle AW, Caramelli KE, Rajaram L, Sanders SW, Mazer NA (1997) Long-term efficacy and safety of a permeation-enhanced testosterone transdermal system in hy- pogonadal men. Clin Endocrinol 47:727-737
Bakhshi V, Elliott M, Gentili A, Godschalk M, Mulligan T (2000) Testosterone improves rehabilitation outcomes in ill older men. J Am Geriatr Soc 48:550-553
Baumgartner RN, Ross RR, Waters DL, Brooks WM, Morley JE, Montoya GD, Garry PJ (1999) Serum leptin in elderly people: associations with sex hormones, insulin, and adipose tissue volumes. Obes Res 7:141-149
Behre HM, Nieschlag E (1998) Comparative pharmacokinetics of testosterone esters. In: Nieschlag E, Behre HM (eds) Testosterone: Action, Deficiency, Substitution, 2nd edn. Springer, Berlin Heidelberg New York, pp 329-348 Bruchovsky N, Wilson JD (1968) The conversion of testosterone to 5α-androstan-17β-ol,3-one by rat prostate in vivo and in vitro. J Biol Chem 243:1314-1324
Bruchovsky N, Wilson JD (1999) Discovery of the role of dihydrotestosterone in androgen action. Steroids 64:753-759
Bukowski C, Grigg, MA, Longcope C (2000) Sex hormone-binding globulin concentration: differences among commercially available methods. Clin Chem 46:1415-1416
Butenandt A, Hanisch G (1935) Über Testosteron. Umwandlung des Dehydro-Androsterons in Androstendiol und Testosteron; ein Weg zur Darstellung des Testosterons aus Cholesterin. Hoppe Seylers Z Physiol Chem 237:89-92
Byrne MM, Nieschlag E (2003) Testosterone replacement therapy in male hypogonadism. J Endocrinol Invest 26:481-489
Carruthers M (2001) A multifactorial approach to understanding andropause. J Sex Reprod Med 1:69-74
Chang C, Kokontis J, Liao S (1988a) Structural analysis of complementary DNA and amino acid sequences of human and rat androgen receptors. Proc Natl Acad Sci USA 85:7211-7215
Chang C, Kokontis J, Liao S (1988b) Molecular cloning of human and rat complementary DANN encoding androgen receptors. Science 240:324-326
Chen H, Zirkin BR (1999) Long-term suppression of Leydig cell steroidogenesis prevents Leydig cell aging. PNAS 96:14877-14881
Cherrier MM, Asthana S, Plymate S, Baker L, Matsumoto AM, Peskind E, Raskind MA, Brodkin K, Bremner W, Petrova A, LaTendresse S, Craft S (2001) Testosterone supplementation improves spatial and verbal memory in healthy older men. Neurology 57:80-88
Christmas C, O’Connor KG, Harmann SM, Tobin JD, Münzer T, Bellantoni MF, St. Clair C, Pabst KM, Sorkin JD, Blackman MR (2002) Growth hormone and sex steroid effects on bone metabolism and bone mineral density in healthy aged women and men. J Gerontol 57A:M12-M18 David K, Dingemanse E, Freud J, Laqueur E (1935) Über kristallinisches männliches Hormon aus Hoden (Testosteron), wirksamer als aus Harn oder Cholesterin bereitetes Andros- teron. Hoppe-Seylers Z Physiol Chem 233:281-282
Deansley R, Parkes AS (1937) Factors influencing effectiveness of administered hormones. Proc R Soc Lond 124:279-298
De Lignières B (2002) L’andropause et sa prise en charge chez l’homme agé. Presse Med 31:1750-1759
Dobs AS, Hoover DR, Chen MC, Allen R (1998) Pharmacokinetic characteristics, efficacy, and safety of buccal testosterone in hypogonadal males: a pilot study. J Clin Endocrinol Metab 83:33-39
El-Hefnawy T, Huhtaniemi I (1998) Progesterone can participate in down-regulation of the luteinizing hormone receptor gene expression and function in cultured murine Leydig cells. Mol Cell Endocrinol 137:127-138
El-Hefnawy T, Huhtaniemi IT (1999) Progesterone and testicular function. Aging Male 2:240-245
Ellison PT, Bribiescas RG, Bentley GR, Campbell BC, Lipson SF, Panter-Brick C, Hill K (2002) Population variation in age- related decline in male salivary testosterone. Hum Reprod 17:3251-3253
Foss GL (1937) Effect of testosterone propionate on a postpubertal eunuch. Lancet 233:1307-1309
Försti A, Jin Q, Grzybowska W, Söderberg M, Zientek H, Sieminska M, Rogozinska-Szczepka J, Chmielek E, Utracka- Hutka B, Hemminki K (2002) Sex hormone-binding globulin polymorphisms in familial and sporadic breast cancer. Carci-nogenesis 23:1315-1320
Freeman ER, Bloom DA, McGuire EJ (2001) A brief history of testosterone. J Urol 165:371-373
Gobinet J, Poujol N, Sultan Ch (2002) Molecular action of androgens. Mol Cell Endocrinol 198:15-24
Gooren LJ (1994) A 10-year safety study of the oral androgen testosterone undecanoate. J Androl 15:212-215 Gooren LJ (2003) Androgen deficiency in the aging male: benefits and risks of androgen supplementation. J Steroid Biochem Mol Biol 85:349-355
Gooren LJ, Toorians AW (2003) Significance of oestrogen in male (patho) physiology. Ann Endocrinol 64:126-135
Granger DA, Schwartz EB, Booth A, Arentz M (1999) Salivary testosterone determination in studies of child health and development. Horm Behav 35:18-27
Gruenewald DA, Hess DL, Wilkinson CW, Matsumoto AM (1992) Excessive testicular progesterone secretion in aged male Fischer 344 rats: a potential cause of age-related gonadotropin suppression and confounding variable in aging studies. J Gerontol 43:B164-B170
Guay AT, Bansal S, Heatley GJ (1995) Effect of raising endogenous testosterone levels in impotent men with secondary hypogonadism: double blind placebo controlled trial with clomiphene citrate. J Clin Endocrinol Metab 80:3546-3552
Handelsman DJ (1998) Clinical pharmacology of testosterone pellet implants. In: Nieschlag E, Behre HM (eds) Testosterone: action, deficiency, substitution, 2nd edn. Springer, Berlin Heidelberg New York, pp 349-364
Harris JA, Vernon PA, Boomsma DI (1998) The heritability of testosterone: a study of Dutch adolescent twins and their parents. Behav Genet 28:165-171
Heald AH, Ivison F, Andersson SG, Cruickhank K, Laing I, Gibson M (2003) Significant ethnic variation in total and tree testosterone concentration. Clin Endocrinol 58:262-266
Heinlein CA, Chang Ch (2002) The roles of androgen receptors and androgen-binding proteins in nongenomic androgen actions. Mol Endocrinol 16:2181-2187
Heller CG, Myers GB (1944) The male climacteric: its symptom-atology. J Am Med Assoc 126:472-477
Hoche A (1928) Die Wechseljahre des Mannes. Springer, Berlin Hübler D, Christoph A, Schubert M, Oettel M, Ernst M, Mellinger U, Krone W, Jockenhovel F (2001) Effect of a new long-acting testosterone undecanoate (TU) formulation vs. testosterone enanthate (TE) for intramuscular androgen replacement therapy on sexual function and mood in hypogonadal men. Int J Impotence Res 13 (Suppl 1):S31
Iannuzzi-Sucich M, Prestwood KM, Kenny AM (2002) Prevalence of sarcopenia and predictors of skeletal muscle mass in healthy older men and women. J Gerontol Med Sci 57A:M772-M777 Joseph DR (1994) Structure, function, and regulation of androgenbinding protein/sex hormone-binding globulin. Vitamin Horm 49:197-280
Kenny AM, Prestwood KM, Gruman CA, Marcello KM, Raisz LG (2001) Effects of transdermal testosterone on bone and muscle in older men with low bioavailable testosterone levels. J Gerontol Med Sci 56: M266-M272
Kenny AM, Bellantonio S, Gruman CA, Acosta RD, Prestwood KM (2002a) Effects of transdermal testosterone on cognitive function and health perception in older men with low bioavailable testosterone levels. J Gerontol Med Sci 57:M 321-M325
Kenny AM, Prestwood KM, Gruman CA, Fabregas G, Biskup B, Mansoor G (2002b) Effects of transdermal testosterone on lipids and vascular reactivity in older men with low bioavailable testosterone levels. J Gerontol Med Sci 57A:M460-M465
Krause W, Mueller U, Mazur A (2002) Measurement of steroid levels in saliva in a population-based survey of lifestyle, medical conditions, marriage, sex life and hormone status in aging men: a feasibility study. Aging Male 5:203-215
Labhart A (1974) Clinical endocrinology. Springer, Berlin Heidelberg New York Lamberts SWJ (2003) The endocrinology of gonadal involution: menopause and andropause. Ann Endocrinol 64:77-81
Lee DK, Chang Ch (2003) Molecular communication between androgen receptor and general transcription machinery. J Steroid Biochem Mol Biol 84:41-49
Lubahn DB, Joseph DR, Sar M, Tan J-A, Higgs HN, Larson RE, Frenach FS, Wilson EM (1988a) The human androgen receptor: complementary deoxyribonucleic acid cloning, sequence analysis and gene expression in prostate. Mol Endocrinol 2:1265-1275
Lubahn DB, Joseph DR, Sullivan PM, Willard HF, French FS, Wilson EM (1988b) Cloning of human androgen receptor complementary DNA and localization to the X chromosome. Science 240:327-330
Luboshitzky R, Shen-Orr Z, Herer P (2003) Middle-aged men secrete less testosterone at night than young healthy men. J Clin Endocrinol Metab 88:3160-3166
Luo L, Chen H, Zirkin BR (2001) Leydig cell aging: steroidogenic acute regulatory protein (StAR) and cholesterol side-chain cleavage enzyme. J Androl 22:149-156
Lutz LB, Jamnongjit M, Yang W-S, Jahani D, Gill A, Hammes SR (2003) Selective modulation of genomic and nongenomic androgen responses by androgen receptor ligands. Mol Endocrinol 17:1106-1116
Mahmoud AM, Goemaere S, El-Garem Y, Pottelbergh I van, Comhaire FH, Kaufman JM (2003) Testicular volume in relation to hormonal indices of gonadal function in communitydwelling elderly men. J Clin Endocrinol Metab 88:179-184
Manni A, Pardridge WM, Cefalu W, Nisula BC, Bardin CW, Santner SJ, Santen RJ (1985) Bioavailability of albumin-bound testosterone. J Clin Endocrinol Metab 61:705-710
McCaul KD, Gladue BA, Joppa M (1992) Winning, losing, and testosterone. Horm Behav 26:486-504
McGee LC (1927) The effect of an injection of a lipoid fraction of bull testicle in capons. Proc Inst Med Chicago 6:242-254
Molitch ME, Elton RL, Blackwell RE, Caldwell B, Chang RJ, Jaffe R (1985) Bromocriptine as primary therapy for prolactin- secreting macroadenomas: results of a prospective multicenter study. J Clin Endocrinol Metab 60:698-705
Morales A, Heaton JPW, Carson CC (2000) Andropause: a misnomer for a true clinical entity. J Urol 163:705-712
Morley JE (2001) Decreased food intake with aging. J Gerontol Med Sci 56A:M81-M88
Morley JE, Perry HM III (2003a) Androgen treatment of male hypogonadism in older males. J Steroid Biochem Mol Biol 85:367-373
Morley JE, Perry HM III (2003b) Andropause: an old concept in new clothing. Clin Geriatr 19:507-528 Morley JE, Kaiser F, Raum WJ, Perry HM, Flood JF, Jensen J, Silver AJ, Roberts E (1997) Potentially predictive and manip- ulable blood serum correlates of aging in the healthy human male: progressive decreases in bioavailable testosterone, dehy- droepiandrosterone sulfate, and the ratio of insulin-like growth factor 1 to growth hormone. Proc Natl Acad Sci USA 94:7537-7542
Morley JE, Patrick P, Perry HM III (2002) Evaluation of assays available to measure free testosterone. Metab Clin Exp 51:554-559
Myers JS, Matsumoto AM, Bremner WJ (1986) Basal and clomiphene citrate (CC) stimulated secretion of luteinizing hormone (LH) and testosterone (T) in healthy young and elderly men. Clin Res 34:430A
Nakagawa K, Obara T, Matsubara M, Kubo M (1982) Relationship of changes in serum concentrations of prolactin and testosterone during dopaminergic modulation in males. Clin Endocrinol 17:345-352
Oettel M (1994) In: Bruchhausen F von, Dannhardt G, Ebel S, Frahm AW, Hackenthal E, Holzgrabe U (eds) Hager’s Handbuch der Pharmazeutischen Praxis, Stoffe P-Z. Springer, Berlin Heidelberg New York, pp 820-822 Oettel M (2002) Is there a role for estrogens in the maintenance of men’s health? Aging Male 5:248-257
Oettel M (2003a) Testosterone metabolism, dose-response relationships, and receptor polymorphisms: selected pharmacolog- ical/toxicological considerations on benefits versus risks of testosterone therapy in men. Aging Male 6:230-256
Oettel M, Hübler D, Patchev V (2003b) Selected aspects of endocrine pharmacology of the aging male. Exp Gerontol 38:189-198
Paust HJ, Wessels J, Ivell R, Mukhopadhyay AK (2002) The expression of the RLF/INSL3 gene is reduced in Leydig cells of the aging rat testis. Exp Gerontol 37:1461-1467
Papakonstanti EA, Kampa M, Castanas E, Stournaras C (2003) A rapid, nongenomic, signalling pathway regulates the actin reorganization induced by activation of membrane testosterone receptors. Mol Endocrinol 17:870-881
Pardridge WM (1981) Transport of protein-bound hormones into tissues in vivo. Endocr Rev 2:103-123
Perry HM, Miller DK, Patrick P, Morley JE (2000) Testosterone and leptin in older African-American men: relationship to age, strength, function, and season. Metab Clin Exp 49:1085-1091
Radlmaier A, Eickenberg HU, Fletcher MS (1996) Estrogen reduction by aromatase inhibition for benign prostatic hyperplasia: results of a double-blind, placebo-controlled, randomized clinical trial using two doses of the aromatase-inhibitor atamestane. Prostate 29:199-208
Raivio T, Palvimo JJ, Dunkel L, Wickman S, Jänne OA (2001) Novel assay for determination of androgen bioactivity in human serum. J Clin Endocrinol Metab 86:1539-1544
Raivio T, Santti H, Schatzl G, Gsur A, Haidinger G, Palvimo JJ, Janne OA, Madersbacher S (2003) Reduced circulating androgen bioactivity in patients with prostate cancer. Prostate 55:194-198
Rossato M, Nogara A, Merico M, Ferlin A, Foresta C (1999) Identification of functional binding sites for progesterone in rat Leydig cell plasma membrane. Steroids 64:168-175
Ruzicka L, Wettstein A (1935) Sexualhormone VII. Über die künstliche Herstellung des Testikelhormons Testosteron (An- drosten-3-on-17-ol). Helv Chim Acta 18:1264-1268 Schultheiss D, Denil J, Jonas U (1997) Rejuvenation on the early 20th century. Andrologia 29:351-355
Setchell BP, Pakarinen P, Huhtaniemi I (2002) How much LH do the Leydig cells see? J Endocrinol 175:375-382 Shirtcliff EA, Granger DA, Likos A (2002) Gender differences in the validity of testosterone measured in saliva by immunoassay. Horm Behav 42:62-69
Shih R, Morley JE, Kaiser FE, Perry HM, Patrick P, Ross C (1997) Testosterone replacement in older hypogonadal men: a 12- month randomized controlled trial. J Clin Endocrinol Metab 82:1661-1667
Simoncini T, Genazzani AR (2003) Non-genomic actions of sex steroid hormones. Eur J Endocrinol 148:281-292
Simpson E, Davis SR (2001) Minireview: aromatase and the regulation of estrogen biosynthesis: some new perspectives. Endocrinology 142:4589-4594
Snyder PJ (2001) Effects of age on testicular function and consequences of testosterone treatment. J Clin Endocrinol Metab 86:2369-2372
Steinach E, Kun H (1937) Transformation of male sex hormones into a substance with the action of a female hormone. Lancet 2:845
Street C, Howell RJ, Perry L, Al-Othman, Chard T (1989) Inhibition of binding of gonadal steroids to serum binding proteins by non-esterified fatty acids: the influence of chain length and degree of unsaturation. Acta Endocrinol 120:175-179
Svartberg J, Jorde R, Sundsfjord J, Bonaa KH, Barrett-Connor E (2003) Seasonal variation of testosterone and waist to hip ratio in men: the Tromso study. J Clin Endocrinol Metab 88:3099-3104
Swerdloff RS, Wang C, Cunningham G, Dobs A, Iranmanesh A, Matsumoto AM, Snyder PJ, Weber T, Longstreth J, Berman N (2000) Long-term pharmacokinetics of transdermal testosterone gel in hypogonadal men. J Clin Endocrinol Metab 85:4500-4510
Tan RS, Culberson JW (2003) An integrative review on current evidence of testosterone replacement therapy for the an- dropause. Maturitas 45:15-27
Tariq SH (2003) Knowledge about low testosterone in older men. J Gerontol 58A:282-383
Tausk M (1984) The emergence of endocrinology. In: Parnham MJ, Bruinvels J (eds) Discoveries in pharmacology, vol 2. Haemo-dynamics, hormones and inflammation. Elsevier, London, pp 219-249, 307-320
Tenover LS, Matsumoto AM, Plymate SR, Bremner WJ (1987) The effects of aging in normal men on bioavailable testosterone and luteinizing hormone secretion: response to clomiphene citrate. J Clin Endocrinol Metab 65:1118-1126
Tilley WD, Marcelli M, Wilson JD, McPhaul MJ (1989) Characterization and expression of a cDNA encoding the human androgen receptor. Proc Natl Acad Sci USA 86:327-331
Trapman J, Klaassen P, Kuiper GG, Korput JA van der, Faber PW, Rooij HC van , Geurts van Kessel A, Voorhorst MM, Mulder E, Brinkmann AO (1988) Cloning, structure and expression of a cDNA encoding the human androgen receptor. Biochem Biophys Res Commun 153:241-248
Tremblay RR, Morales AJ (1998) Canadian practice recommendations for screening, monitoring and treating men affected by andropause or partial androgen deficiency. Aging Male 1:213-218
Turner HE, Wass JAH (1997) Gonadal function in men with chronic illness. Clin Endocrinol Metab 47:379-403
Van Bergeijk L, Gooren LJG (1986) The anti-oestrogen tamoxifen does not interfere with the dopaminergic control of prolactin and TSH release in normogonadotrophic oligozoospermic man. Horm Metab Res 18:272-276
Van den Beld AW, De Jong FH, Grobbee DE, Pols HA, Lamberts SW (2000) Measures of bioavailable serum testosterone and estradiol and their relationships with muscle strength, bone density, and body composition in elderly men. J Clin Endocrinol Metabol 85:3276-3282
Van Honk J, Tuiten A, Verbaten R, Hout M van den, Koppeschaar H, Thijssen J, Haan E de (1999) Correlations among salivary testosterone, mood, and selective attention to threat in humans. Horm Behav 36:17-24
Vance ML (2003) Andropause. Growth Horm IGF Res 13:S90-S92 Vastag B (2003) Many questions, few answers for testosterone replacement therapy. J Am Med Assoc 289:971-972
Veldhuis JD, King JC, Urban RJ (1987) Operating characteristics of the male hypothalamo-pituitary-gonadal axis: pulsatile release of testosterone and follicle-stimulating hormone and their temporal coupling with luteinizing hormone. J Clin Endocrinol Metab 65:929-941
Vermeulen A (2003) Diagnosis and partial androgen deficiency in the aging male. Ann Endocrinol 64:109-114 Von Eckardstein S, Nieschlag E (2002). Treatment of male hypogonadism with testosterone undecanoate injected at extended intervals of 12 weeks: a phase II study. J Androl 23:419-425
Wang C, Eyre DR, Clark R, Kleinberg D, Newman C, Iranmesh A, Veldhuis J, Dudley RE, Berman N, Davidson T, Barstow TJ, Sinow R, Alexander G, Swerdloff RS (1996) Sublingual testosterone replacement improves muscle mass and strength, decreases bone resorption, and increases bone formation markers in hypogonadal men: a clinical research center study. J Clin Endocrinol Metab 81:3654-3662
Wang C, Swerdloff RS, Iranmanesh A, Dobs A, Snyder PJ, Cunningham G, Matsumoto AM, Weber T, Berman N (2000) Transdermal testosterone gel improves sexual function, mood, muscle strength, and body composition parameters in hypog- onadal men. J Clin Endocrinol Metab 85:2839-2853 Wang C, Swerdloff RS, Iranmanesh A, Dobs A, Snyder PJ, Cunningham G, Matsumoto AM, Weber T, Berman N (2001) Effects of transdermal testosterone gel on bone turnover markers and bone mineral density in hypogonadal men. Clin Endocrinol 54:739-750
Wang C, Swerdloff RS, Iranmesh A, Dobs AS, Snyder PJ, Cunningham G, Matsumoto AM, Weber T (2002) Testosterone Gel Study Group: long term efficacy and safety of transdermal testosterone gel (Androgel) in hypogonadal men. 84th annual meeting of the Endocrine Society, 19-22 June 2002, San Francisco. Program and Abstract, p 472, P2-646 Werner AA (1946) The male climacteric: report of two hundred and seventy-three cases. J Am Med Assoc 132:188-194
Wilson JD, Leihy MW, Shaw G, Renfree MB (2002) Androgen physiology: unsolved problems at the millennium. Mol Cell Endocrinol 198:1-5
Winkelmann BR, März W, Boehm BO, Zotz R, Hager J, Hellstern P, Senges J (2001) On behalf of the LURIC study group. Rationale and design of the LURIC study: a resource of functional genomics, pharmacogenomics and long-term prognosis of cardiovascular disease. Pharmacogenomics 2 (Suppl 1):S1-S73
Yialamas MA, Hayes FJ (2003) Androgens and the ageing male and female. Best Practice Res Clin Endocrinol Metab 17:223-236
Zirkin B, Chen H (2000) Regulation of Leydig cell steroidogenic function during aging. Biol Reprod 63:977-981