DAVID J. HANDELSMAN, ANN J. CONWAY, CHRIS J. HOWE, LEO TURNER, AND MARY-ANNE MACKEY
AncLrology Unit, Endocrinology Institute, Royal Prince Alfred Hospital, and the Departments of Medicine and Obstetrics and Gynecology, University of Sydney, Sydney, New South Wales, Australia.
✸Presented in part at the Annual Scientific Meeting of the Endocrine Society of Australia, Brisbane, Australia, 1994 and the International Congress of Endocrinology, San Francisco, CA, 1996. This work was supported by Organon (Australia).
David J. Handelsman, M.D., Ph.D., Andrology Unit, Royal Prince Alfred Hospital, Departments of Medicine and Obstetrics/Gynecology (D02), University of Sydney, Sydney, New South Wales 2006, Australia; E-mail: djh@med.su.oz.au.
Abstract
Hormonally induced azoospermia induced by weekly im injections of testosterone enanthate provides effective and reversible male contraception, but more practical regimens are needed. Given our previous findings that six 200-mg pellets implanted subdermally produced more stable, physiological T levels and reduced the delivered T dose by more than 50% while maintaining equally effective suppression of sperm output with fewer metabolic side-effects than weekly 200-mg testosterone enanthate injections, we sought in this study to determine 1) whether further dose-sparing could be achieved by lower testosterone doses while maintaining efficacy and 2) the efficacy of adding a depot progestin to a suboptimally suppressive depot testosterone dose as a model depot progestin/androgen combination male contraceptive. Healthy volunteers were randomized into groups (n = 10) who received either of two lower T doses (two or four 200-mg T pellets) or four 200-mg T pellets plus a single im injection of 300 mg depot medroxyprogesterone acetate (DMPA). Two T pellets (400 mg, 3 mg/day) had a negligible effect on sperm output. Four T pellets (800 mg, 6 mg/day) suppressed sperm output between the second to fourth postimplant months; output returned to normal by the seventh postimplant month, although only 4 of 10 men became azoospermie or severely oligozoospermie ( < 3 mol/L/mL). The addition of a depot progestin markedly increased the extent, but not the rate, of sperm output suppression, with 9 of 10 becoming azoospermic and 10 of 10 becoming severely oligozoospermic. There were no serious adverse effects during the study. Plasma total and free testosterone levels remained within the eugonadal range at all times with each treatment. Plasma epitestosterone was suppressed by all 3 regimens, consistent with a dose-dependent inhibition of endogenous Leydig cell steroidogenesis. Plasma LH and FSH measured by a two-site immunoassay were suppressed in a dose-dependent fashion by T and further suppressed by the addition of DMPA. Sex hormone-binding globulin levels were decreased by DMPA, but not by either T dose. Prostate-specific antigen and lipids (total, low or high density lipoprotein cholesterol, and triglycerides) were not significantly changed in any group. Thus, a depot testosterone preparation with zero order release must be delivered at between 6-9 mg/day to provide optimal (but not uniform) efficacy at inducing azoospermia. The addition of a single depot dose of a progestin to a suboptimal testosterone dose (6 mg/day) markedly enhances the extent, but not the rate, of spermat- ogenic suppression, with negligible biochemical androgenic side-effects. These findings provide a basis for the use of a progestin/androgen combination depot for hormonal male contraception.
Introduction
HORMONAL contraception for males aims to reduce sperm output reversibly by inhibition of pituitary gonadotropin secretion, which, in turn, depletes intratesticular testosterone and arrests spermatogenesis. Two major multicenter WHO studies that used as the prototype testosterone regimen, weekly im injections of 200 mg testosterone enanthate (TE), have established that hormonally induced azoospermia or severe oligozoospermia ( < 3 mol/L/mL) provides highly effective, sustained, and reversible contraception with minimal side-effects for 12 months (1, 2). In those studies, a weekly im injection of 200 mg testosterone enanthate was used as a prototype androgen, but the inconvenience, discomfort, and inflexible pharmacodynamics of TE make it necessary to develop better long acting testos-terone depot formulations for practical hormonal male con-traceptive regimens. For example, TE injections are often uncomfortable (3), and lower doses or frequency of injections have inferior efficacy in suppression of spermatogenesis. The practical requirement for a longer interinjection interval led to development of new long acting depot testosterone prep-arations (4-6), but their effects on human spermatogenesis have yet to be determined (7). To fill this gap in knowledge, we have studied the effects of an existing depot testosterone formulation, testosterone pellet implants that have nearideal depot steady state release properties (8,9), to determine the likely effects of a depot testosterone formulation either alone or in conjunction with a second gonadotropin-suppressing agent (10). In a previous study we established that use of a depot testosterone formulation allowed achievement of major (>50%) reductions in the delivered testosterone dose while maintaining equally effective suppression of spermatogenesis with similar or fewer metabolic side-effects (11). The testosterone dose used in that first study of testosterone implants (1200 mg; testosterone delivery, 9 mg/day) was arbitrarily selected toward the upper range of doses used conventionally for androgen replacement therapy, which also correspond with the normal endogenous daily production rate (3-10 mg testosterone/day). Second generation hormonal regimens for male contraception under con-sideration include androgen alone or in combination with second gonadotropin-suppressing agents, such as progestins or GnRH antagonists (10). As a testosterone depot is the basis of all such hormonal regimens, the properties of long acting depot testosterone formulations alone or in concert with second agents are, therefore, critical to future strategies for the development of hormonal male contraception. This study then aimed to examine lower testosterone doses spanning the range of normal testosterone production rates to determine in healthy men 1) the minimum testosterone dose still consistent with effective spermatogenic suppression and 2) how effectively a depot progestin would be in augmenting the highest suboptimal testosterone dose.
Subjects and Methods
Subjects and Methods Study design and procedures
The study aimed to 1) undertake a downward dose range to determine the minimum testosterone dose that could maintain effective spermatogenic suppression and 2) to determine the effects of a depot progestin when it was added to the first suboptimally suppressive testosterone dose.
The study was undertaken in two stages. First, 20 men were randomized into two groups to receive either two or four 200-mg testosterone implants (total dose, 400 or 800 mg; daily release rate, 3.0 or 6.0 mg / day) (8, 9). Once the effects of both of these testosterone doses were evident, a third group of 10 men was recruited to be treated with the testosterone dose (eventually identified as four 200-mg implants) that showed partial suppression of spermatogenesis plus a single im injection of 300 mg depot medroxyprogesterone acetate (DMPA; Depo-Provera, Upjohn, Kalamazoo, MI).
Volunteers provided two baseline sets of semen and blood samples at least 2 weeks apart before hormone administration. Pellets of fused crystalline testosterone (Organon, Sydney, Australia) were implanted subdermally in the lower abdominal wall under local anesthesia as previously described (7, 8). The pellets are composed of crystalline testosterone without excipient, thereby being fully biodegradable and not requiring removal. Subsequently, all volunteers provided monthly semen and blood samples for 12 months. Recovery was defined as the point when sperm density reached pretreatment baseline geometric mean or consistently normal levels (>20 million sperm/mL). The study was approved by the Central Sydney Area Health Service Ethics Review Committee.
Subjects
Healthy men, aged 21-50 yr, who were free of chronic medical illness, not taking regular medication, and having normal testicular function, were recruited by advertisement on noticeboards and in the news media. Exclusion criteria were any history of gonadal dysfunction (including infertility), drug abuse, or abnormalities in medical screening tests. Participants were advised to continue reliable contraception throughout this study if they wished to avoid conception. Controls were age- matched men who were screened in an ongoing study (12) of potential sperm donors (n = 509).
Assays
Semen collected by masturbation was analyzed within 60 min according to methods described in the WHO Semen Manual (13) using a Makler chamber (SEFI-Medical Instruments, Haifa, Israel).
Assays of total and free testosterone were performed as described previously (8,11,14,15). LH and FSH were measured by highly sensitive two-site enzyme immunoradiometric assays (IMX / AXSYM, Abbott, North Chicago, IL) with a detection limit of 0.1 U/L for both LH and FSH. In addition, all samples were reassayed by two-site time-resolved fluoroimmunoradiometric LH and FSH assays (Delfia, Pharmacia, Pis- cataway, NJ). Prostate-specific antigen and sex hormone-binding globulin (SHBG) were measured by solid phase, two-site immunometric assays (Diagnostic Products Corp., Los Angeles, CA). Inhibin was measured by double antibody RIA using the Monash antibody (no. 1989) and recombinant inhibin for standard and iodination material, as described previously (16,17). Samples were measured within a single assay whenever possible, and between-assay coefficients of variation ranged from 6-12% for all assays.
Epitestosterone (17α-hydroxyandrost-4-en-3-one) was measured by an in-house liquid phase RIA using an antiserum and tritiated epitestosterone tracer (Wien Laboratories, Succasunna, NJ) with a standard dextran-coated charcoal separation. Plasma was extracted by applying 0.4-mL plasma aliquots to a glass Pasteur pipette column filled with —a 2-mL bed volume of Extrelut (Merck, Darmstadt, Germany). After plasma had soaked in, extracts were eluted with 3 mL hexane-ethyl acetate (3:2; in 0.5-mL aliquots), which were then combined, dried, and reconstituted in assay buffer. Extraction efficiency was 89%, and results were corrected individually for recovery. Cross-reactivity of the antibody with other androgens was low (testosterone, 0.36%; androstenedi- one, <1.9%; nandrolone, <0.01%; dihydrotestosterone, 0.12%), the detection limit was 2.7 pg/tube (equivalent to 0.09 nmol/L), and the between-assay coefficient of variation was 8.5%. In validation studies, the mean blood epitestosterone concentration was 2.11 ± 0.05 nmol/L (range, 1.4-2.8) in healthy men without known gonadal disorder (n = 42) and 0.76 ± 0.04 nmol/L (range, 0.44-0.96) in castrate men receiving androgen replacement therapy (n = 13).
Hemoglobin, lipids [total, low density lipoprotein (LDL) and high density lipoprotein (HDL) cholesterol, and triglycerides], renal (urea and creatinine), and liver function tests (bilirubin, albumin, alkaline phosphatase, and transaminases) were assayed by routine autoanalyzer methods.
Data analysis
Results are expressed as the mean ± SEM. Data were analyzed by multiple or repeated measures ANOVA using BMDP software (version 7 for VAX) or exact categorical analysis using StatXact software (version 3 for Windows) as appropriate. Baseline levels for each variable were defined as the arithmetic mean of all pretreatment samples apart from sperm variables, for which the geometric mean was used. Semen data were cube root transformed, and hormonal data were log transformed where required to normalize distribution and stabilize variance. Severe oligozoospermia was defined as a sperm concentration of less than 3 mol/L/mL, The degree of suppression of sperm output was defined on the basis of the lowest recorded monthly sperm density and related to the geometric baseline sperm output. For time-related variables that did not uniformly reach the end point (e.g. gonadotropin recovery), life-table estimates of median time to the end point are reported. Results are reported as the mean and SEM or as two-sided 95% confidence intervals unless otherwise stated.
Results
Subjects
The men entering this study did not differ between groups (n = 10) in age, height, weight, body surface area, body mass index, or testis size (Table 1) and were similar to our ongoing control group (12) of healthy men screened as potential sperm donors (n = 509; data not shown).
Table 1. Baseline variables.

Implantation of testosterone pellets was well tolerated. There were 2 extrusion episodes among the 30 procedures in this study, both involving a single pellet extruding from men in the combined treatment group and occurring at weeks 11 and 14 after implantation. There were no discontinuations or serious adverse effects reported by participants or any changes in mood or behavior observed by study personnel. Mild acne was reported by 3 of 10 men receiving 800 mg testosterone and 1 of 10 receiving 800 mg testosterone plus DMPA. None required any specific treatment for acne. In-creased libido at the start of the study was reported by 5 of 10 men in the 800 mg testosterone plus DMPA group and by 1 of 10 men after 800 mg testosterone alone, but only 1 regarded this as troublesome. One man receiving 800 mg testosterone alone felt that he was transiently more aggressive. There were no adverse effects reported in men receiving 400 mg testosterone. All subjects completed the study, and 412 of 420 (98%) semen samples required for primary endpoint evaluation were obtained.
Sperm output
There were no differences in baseline sperm output (overall median, 80 mol/L-mL) among men entering the three groups (Table 2). The lowest testosterone dose (two implants, 400 mg) had a minimal effect on sperm output, and none became azoospermic (Fig. 1).
Table 2. Baseline, suppression, and recovery of sperm output.


Figure 1. Time course of sperm output (expressed as sperm density in millions of sperm per mL) before and after implantation of two 200-mg testosterone pellets (400 mg total; closed circles), four 200-mg testosterone pellets (800 mg total; closed squares), or four testosterone pellets plus depot progestin (800 mg total testosterone plus 300 mg DMPA; closed diamonds) in groups (n = 10) of healthy fertile men. For comparison, data from the previous study using six 200 mg (1200 mg total; open hexagons) pellets is included. The time of implantation at the start of the study is indicated by the triangular symbol. Results expressed as the mean and SEM. Note the cube root transformed scale on the y-axis.
The higher testosterone dose (four implants, 800 mg) alone significantly suppressed sperm output, but significant be- tween-subject heterogeneity was evident, with four men rendered azoospermic but the other six exhibiting only modest suppression of spermatogenesis. Among men receiving 800 mg testosterone alone, the only significant difference between those who did (n = 4) and those who did not (n = 6) become azoospermic was a lower baseline urea concentration (4.3 ± 0.5 vs. 6.0 ± 0.5; P = 0.046), but not in any other baseline anthropometric, seminal, hormonal, or biochemical variables. Men who became azoospermic had significantly lower overall total and free testosterone concentrations, but there was no difference in epitestosterone concentrations or time course of total or free testosterone, epitestosterone, LH, or FSH concentrations according to for men became azoospermic vs. those who did not (azoospermia X time interaction, P > 0.05).
The combination of 800 mg testosterone with 300 mg DMPA caused a striking fall in sperm output, with 9 of 10 reaching azoospermia and all reaching severe oligozoosper- mia ( <3 mol/L/mL). In the two groups receiving 800 mg testosterone, the nadir of sperm output was reached at 2-3 months, with marked suppression lasting for ~3 months followed after the 4th month by a gradual return in sperm output toward normal and reaching baseline levels in the 10th month but without overshoot. Essentially identical patterns were observed whether expressed as concentrations or total output of motile or all sperm. The study provided a power of more than 90% to reject each of the following hypotheses that 1) 800 mg testosterone alone would induce azoospermia uniformly (100%), and 2) the addition of DMPA had no effect on induction of azoospermia.
Reproductive hormones
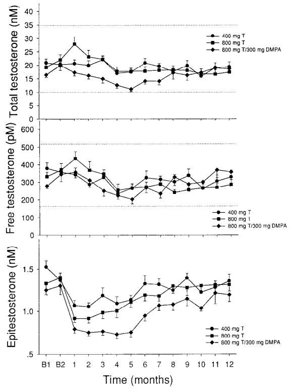
After all treatments, blood testosterone concentrations re-mained within the eugonadal ranges for total (10-35 nmol/L) and free (170-510 pmol/L) testosterone throughout the study (Fig. 2). There were, however, significant differences between treatments in the time course of blood total and free testosterone (treatment X time interactions, P < 0.001). Total and free testosterone increased modestly after 800 mg testosterone alone, but both decreased after 800 mg testosterone plus 300 mg DMPA, whereas 400 mg testosterone had no consistent effect on testosterone concentrations over time.

Figure 2. Plasma total (upper panel) and free (middle panel) testosterone and epitestosterone (lower panel) before and after implantation of two 200-mg testosterone pellets (400 mg total; closed circles), four 200-mg testosterone pellets (800 mg total; closed squares), or four testosterone pellets plus depot progestin (800 mg total testosterone plus 300 mg DMPA; closed diamonds) in groups (n = 10) of healthy fertile men. The eugonadal range is indicated by the horizontal dashed lines. Results are expressed as the mean and SEM.
Epitestosterone concentrations were significantly reduced by all three treatments in a dose-dependent fashion (Fig. 2). Only in men receiving 800 mg T plus 300 mg DMPA were epitestosterone concentrations consistently suppressed to levels comparable to those in castrate men. Testosterone dose as well as DMPA administration significantly decreased ep-itestosterone concentrations. The median time to recovery to baseline epitestosterone levels did not differ significantly between groups (overall median 7.4 months, P = 0.87).
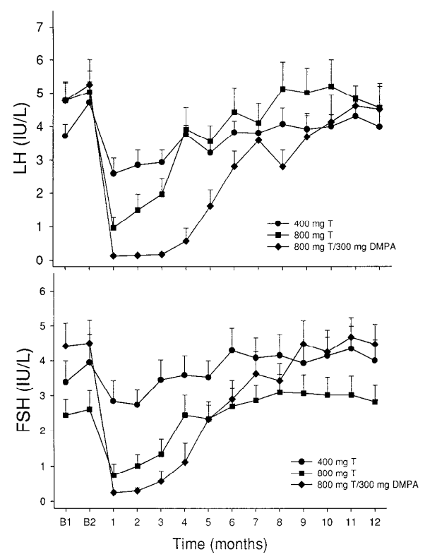
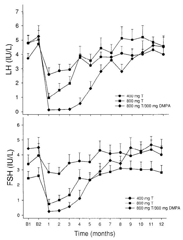
Plasma LH concentrations were significantly reduced by the first month and remained suppressed for 3 months with all three treatments (Fig. 3). Both the extent and duration of inhibition as well as rate of recovery were dose dependent (Table 3). Undetectable LH levels were observed in 0 (400 mg T), 3 (800 mg T), and 20 (800 mg T plus 300 mg DMPA) of the blood samples taken at weeks 4 (5 samples), 8 (7 samples), 12 (6 samples), 16 (4 samples), and 20 (1 sample). There was no evidence of LH rebound during recovery. Similar findings were confirmed using the Delfia LH assay (data not shown).
Table 3. Suppression and recovery of gonadotropins.


Figure 3. Plasma LH (upper panel) and FSH (lower panel) before and after implantation of two 200 mg testosterone pellets (400 mg total; closed circles), four 200-mg testosterone pellets (800 mg total; closed squares), or four testosterone pellets plus depot progestin (800 mg total testosterone plus 300 mg DMPA; closed diamonds) in groups (n = 10) of healthy fertile men. Results are expressed as the mean and SEM.
Plasma FSH concentrations were significantly reduced in the first month in both groups receiving 800 mg testosterone, but not in the 400 mg testosterone group (Fig. 3). Both the extent and duration of inhibition as well as the rate of recovery were dose dependent, remaining suppressed for 3 months by testosterone alone and for 4 months with the addition of DMPA treatment (Table 3). Undetectable levels were observed in 0 (400 mg testosterone), 3 (800 mg testosterone), and 2 (800 mg testosterone plus 300 mg DMPA) of the blood samples taken at weeks 8 (one sample) and 12 (four samples). There was no evidence of FSH rebound during recovery. Similar findings were confirmed using the Delfia FSH assay (data not shown).
Inhibin concentrations were decreased in a dose-dependent manner (73 ± 10%, 51 ± 9%, and 27 ± 4% of baseline inhibin levels), with a nadir at 3 months and subsequent recovery (Fig. 4). SHBG concentrations were significantly reduced by DMPA administration, but not by either testosterone dose (Fig. 4).

Figure 4. Plasma SHBG (upper panel), inhibin (middle panel), and prostate-specific antigen (lower panel) before and after implantation of two 200-mg testosterone pellets (400 mg total; closed circles), four 200-mg testosterone pellets (800 mg total; closed squares), or four testosterone pellets plus depot progestin (800 mg total testosterone plus 300 mg DMPA; closed diamonds) in groups (n = 10) of healthy fertile men. Results are expressed as the mean and SEM.
To determine whether the effects of DMPA on testosterone could be explained by the reduced SHBG levels, the greater inhibition of LH levels, or other effects, we examined the effects of DMPA on total testosterone concentrations using either concurrent SHBG or LH levels as covariates. Adjustment for either covariate, however, had little influence on the DMPA effect on the time course of testosterone, which remained highly significant (treatment X time interactions, P < 0.0001).
Metabolic effects of testosterone
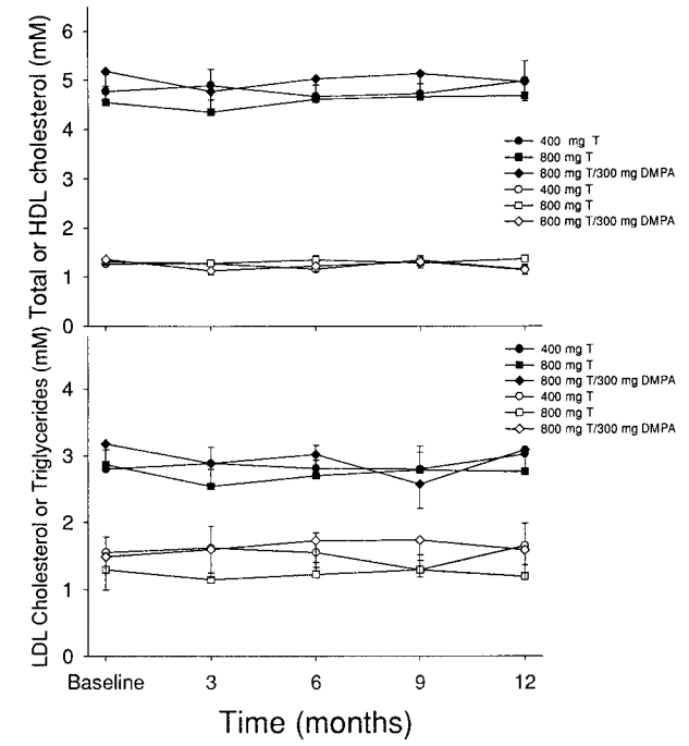
There were no significant effects of either testosterone dose or DMPA on prostate-specific antigen (Fig. 4), cholesterol fractions (total, LDL, and HDL), or triglycerides (Fig. 5). There were no significant effects of testosterone treatment on any routine biochemical variable, including electrolytes, glucose, phosphate, liver (bilirubin, alkaline phosphatase, and transaminases) or renal (creatinine, uric acid) function tests, or hematological variables (hemoglobin, leukocytes, or plate-lets). There was no evidence of hepatotoxicity observed.

Figure 5. FIG. 5. Plasma total (filled symbols), HDL cholesterol (open symbols', upper panel), LDL cholesterol (filled symbols), and triglycerides (open symbols; lower panel) before and after implantation of two 200-mg testosterone pellets (400 mg total; circles), four 200-mg testosterone pellets (800 mg total; squares), or four testosterone pellets plus depot progestin (800 mg total testosterone plus 300 mg DMPA; diamonds) in groups (n = 10) of healthy fertile men. Results are expre.
Discussion
Testosterone implants provide the first opportunity to sys-tematically test the effects of steady state administration of exogenous testosterone on normal human spermatogenesis. These implants provide near zero order release kinetics, en-suring stable dose-dependent testosterone levels within the physiological range for up to 6 months after a single sub-dermal implantation (8). The characteristics of the spermat- ogenic suppression with this true testosterone depot should reliably predict the suppression achievable with other depot testosterone formulations, such as testosterone microcapsules (6) or testosterone buciclate (5), both of which have significantly shorter durations of action. We previously showed that the implantation of six 200-mg testosterone pel-lets suppressed sperm output to the same extent as weekly 200-mg TE injections, whereas daily testosterone exposure was lowered by more than 50%, blood testosterone levels were reduced to remain within the physiological range, and some, but not all, metabolic effects of testosterone were reduced (11). The testosterone dose used in that first study of testosterone implants (1200 mg) was arbitrarily selected toward the upper range of doses used conventionally for androgen replacement therapy (9), and its daily delivery rate of testosterone (9 mg/day) also corresponds with the upper limits of normal endogenous testosterone daily production (3-10 mg/day). These results prompted the present downward dose-ranging study to determine the minimum testosterone dose that could maintain optimal spermatogenic suppression.
This study now identifies the limits of a testosterone depot in the suppression of human spermatogenesis when used alone. We found that a testosterone implant dose of 800 mg (four 200-mg implants), releasing 6 mg testosterone /day, when administered alone achieves inadequate suppression of spermatogenesis for a hormonal male contraceptive. A still lower dose (2 200-mg implants, 3 mg testosterone/day) has negligible effects on sperm output, but produces significant, although submaximal, suppression of gonadotropins and epitestosterone. Our present findings with the 800-mg tes-tosterone dose (four 200-mg implants) alone are strikingly similar to those reported using a single im injection of 1200 mg testosterone buciclate, a novel testosterone ester contain-ing 760 mg testosterone, which produced azoospermia in 3 of 8 healthy men, but minimal spermatogenic suppression in the remaining volunteers (7). Given the prolonged zero order testosterone release by testosterone buciclate injection (5, 7) and extrapolating our previous findings, it can be expected that higher testosterone buciclate doses would improve sper-matogenic suppression, but still not provide uniform azoospermia. Although our findings may be reliably extrap-olated to other true testosterone depots (such as testosterone microspheres), they may not apply to synthetic androgens, particularly those metabolically different from testosterone by virtue of restricted activation by aromatization and / or 5a-reduction (18). Extrusions of a single implant were observed in only 2 men among 30 participants in this study, a rate consistent with that of pellet extrusions among hypogo- nadal men (5-7%) (Handelsman, D. ]., unpublished observations). As these 2 men became azoospermic and had no evidence of androgen deficiency, it is unlikely that these extrusions materially affected our findings.
This study is the first demonstration of synergism between a depot progestin and a depot androgen in suppressing human spermatogenesis. We observed markedly greater suppression of sperm output by the addition of a depot progestin to a depot androgen. Although many previous studies have examined various combinations of oral or parenteral pro- gestins with androgens (19), none combined depot formulations of each agent or, until recently, involved controlled prospective comparisons (20, 21). Two recent prospective controlled studies have shown that daily ingestion of an oral progestin augments the spermatogenic suppression produced by weekly injections of 100 mg TE (20, 21) consistent with our findings. One study claimed an acceleration of spermatogenic suppression (20) that we did not observe. The apparent acceleration observed by Bebb et al., however, was due to the use of a suboptimal TE dose (100 mg weekly) shown previously to provide slower, less durable, and less reliable spermatogenic suppression compared with the conventional TE dose of 200 mg weekly (1, 2, 22, 23). Furthermore, a difference of a few weeks in time to adequate spermatogenic suppression have minimal practical importance if a waiting period of months is still required. As with vasectomy (24), any contraceptive method that relies on clearance of sperm from the male reproductive tract will feature a delayed onset and offset of action. This may still be well suited to elective use of hormonal male contraception in circumstances such as the postpartum period, delaying va-sectomy, and intolerance of female methods. The inconsistent dose-dependent findings with TE (20,21,25), contrasting with those of a true testosterone depot, reinforce the relegation of TE to obsolete status for further path-finding studies for hormonal male contraception. Future studies should use more practical and effective depot testosterone formulations.
Although blood testosterone concentrations are useful to monitor Leydig cell activity, during the administration of exogenous testosterone, the mixture of endogenous and ex-ogenous testosterone negates such interpretation. To resolve this difficulty we monitored blood concentrations of epites-tosterone, the natural 17-epimer of testosterone, to indicate Leydig cell secretion. Epitestosterone is a Leydig cell product cosecreted with testosterone, thereby constituting a useful indicator of endogenous testosterone production. This is the basis for the use of urinary epitestosterone to detect the administration of exogenous testosterone among athletes. To avoid the inconvenience of 24-h urine collection and the more complex quantitative gas chromatograph /mass spectrometry (GC/MS) assay, we established a RIA for epitestosterone in blood. Epitestosterone concentrations were decreased in a time- and dose-dependent fashion, such that only the com-bined treatment depressed epitestosterone concentrations to castrate levels, although both testosterone alone doses de-creased epitestosterone concentrations proportionally to dose. Furthermore, recovery toward baseline epitestosterone coincided well with the recovery of testicular function. Our findings support the use of blood epitestosterone con-centrations as a valid and sensitive marker of Leydig cell steroidogenesis during the administration of exogenous testosterone.
This study again demonstrates the between-subject hetero-geneity in suppression of human spermatogenesis by sex ste-roids. We previously postulated that a minority of healthy men had become severely oligozoospermic, but not azoospermic, after the administration of 1200 mg testosterone (six 200-mg implants) because blood testosterone concentrations may have been high enough to support spermatogenesis, particularly as we recently demonstrated that spermatogenesis may be induced by physiological levels of testosterone in the gonadotropin-deficient hpg mouse (26). The present study, however, refutes this hypothesis, as lower testosterone doses were even less (rather than more) effective, although a subgroup of men (4 of 10) still became azoospermic with the lower (800-mg) testosterone dose. This between-subject heterogeneity was not associated with differences in pretreatment SHBG levels (7) or any other measured variable. Blood testosterone concentrations were consistently, but marginally, higher among those who remained oligozoospermic but never azoospermic, although blood epitestosterone, LF1, and FSH concentrations did not differ. Whether this is related to the suggested testosterone-induced increase in 5a-reductase activity (27), although men in our study had much lower, more physiological doses of testosterone, remains to be elucidated. The recent identification of an activating mutation of the human FSH receptor leading to persistence of testoster-one-independent (and presumably refractory to testoster-one-induced suppression) spermatogenesis (28) raises the possibility of a widely distributed genetic polymorphism as a possible mechanism worthy of exploration. This between- subject heterogeneity within as well as between populations (29) remains unexplained, but clarification of its mechanism might explain how uniform azoospermia may be achieved with hormonal regimens for male contraception.
The mechanism of the additive suppression of spermato-genesis by injection of 300 mg DMPA appears to be multi-factorial. DMPA decreased SHBG concentrations and aug-mented inhibition of blood gonadotropin and testosterone concentrations, presumably reflecting direct hepatic and negative feedback hypothalamic effects, respectively. The fall in blood testosterone concentrations, however, was greater than could be accounted for by the DMPA effects on LH and SHBG in the covariance analysis, suggesting the possible importance of a direct inhibitory effect of DMPA on Leydig cell steroidogenesis. Whether these effects are all due to medroxyprogesterone acetate (MPA) action via progestin receptors or also involve MPA (or metabolite) cross-reactivity with androgen receptors remains unclear. The acute lowering of SHBG levels reflects the pharmacokinetic limitations of DMPA as this older progestin depot formulation has nonzero order release, and the biochemical effects may reflect excessive early peak blood MPA concentrations. Such transient metabolic changes might be obviated by newer depot progestins with more steady state release kinetics, such as levonorgestrel esters or depot formulations. If the DMPA effects are primarily attributable to effects mediated via pro-gestin receptors, other depot progestins should have similar effects, whereas if effects are partly due to androgen or es-trogen receptor cross-reactivity, they may not be replicated exactly by other depot progestins. These observations rein-force the view that changes in SHBG or HDL cholesterol, sometimes considered androgenic effects, are actually toxic or excessive hepatic effects of some sex steroids, notably oral 17α-alkylated androgens or progestins, or a high dose of any parenteral sex steroid. Our findings suggest that optimized depot formulations with effective spermatogenic suppression can be developed with minimal or no biochemical effects on lipids, SHBG, or other nonhormonal biochemical end points. In this respect, SHBG is an easily measured indicator suitable for routine monitoring in path-finding studies as a convenient marker of excessive hepatic steroidal effects.
The absence of significant clinical or biochemical adverse effects or discontinuations during this study confirm and extend our previous observations with a higher dose (1200 mg, 9 mg /day) of testosterone implants. These findings illustrate the advantage of using the minimum testosterone doses that still maintain adequate androgen replacement. Based on our experience with hypogonadal men, this would be 800 mg testosterone (6 mg/day), which closely replicates the normal endogenous testosterone production rate. Although such doses provide inadequate suppression of spermatogenesis when used alone, they would provide adequate androgen replacement if another gonadotropin-suppressing agent, such as a progestin or GnRH antagonist, was used concurrently. Further lowering of testosterone doses would provide inadequate androgen replacement, with likely adverse consequences for structure and function of bone, muscle, and other androgen-dependent tissues, including loss of libido. In deciding the relative advantages of androgen alone vs. androgen combinations with a second agent, the key issue is the relative safety of reducing testosterone exposure from 9 to 6 mg /day vs. the addition of a second gonadotropin-suppressing agent, and the optimal approach remains to be determined (see discussion in Ref 10).
This path-finding study was not designed to resolve the issue of the long term risks and benefits of androgen usage. These considerations will require evaluation of the risks of cardiovascular or prostate disease balanced against the non-contraceptive benefits on bone, muscle, and general anabolic effects during prolonged surveillance over decades, as has been required for female hormonal contraception. Never-theless, the short term findings in this study are reassuring. The only relevant established cardiovascular risk association in men is that lowered blood testosterone levels are associated with excess cardiovascular risk (30). The absence of lipid changes together with the dose-sparing effect of a steady state depot formulation and maintenance of completely physiological testosterone concentrations throughout the study indicate that testosterone-based male contraceptive regimens with minimal metabolic impact on biochemical variables can be developed. Further study of the influence of physiological doses of androgens and progestins on nonlipid cardiovascular risk factors, such as vascular reactivity (31, 32), also need evaluation. Similarly, the unchanging prostate- specific antigen concentrations are evidence against any change in total prostate size under the conditions pertaining to this study. This supports the strategy that maintaining adequate physiological testosterone concentrations and avoiding excessive or underreplacement dosages may min-imize long term cardiovascular or prostate risk from andro-gen-based hormonal regimens for male contraception.
The present study demonstrates the feasibility and ad-vantages of using a depot progestin/androgen combination for hormonal male contraception. The ongoing public interest and enthusiastic participation in such contraceptive studies signal the motivation and willingness of men to continue to share the burdens as well as the benefits of reliable con-traception. If more convenient depot formulations can be made available, the promise of hormonal contraception for men indicated by the WHO studies and the clear community niche for hormonal male methods can be brought into fruitful conjunction.
Acknowledgements
The authors are grateful to Upjohn for donating the depot medroxy-progesterone acetate, to Dr. Shane Brown (Prince of Wales Hospital, Sydney, Australia) for the Delfia gonadotropin assays using kits kindly supplied by Pharmacia (Australia), and to the staff of the Andrology Unit and Endocrinology laboratory for their valued assistance.
References
WHO Task Force on Methods for the Regulation of Male Fertility. 1990 Contraceptive efficacy of testosterone-induced azoospermia in normal men. Lancet. 336:955-959.
WHO Task Force on Methods for the Regulation of Male Fertility. 1996 Contraceptive efficacy of testosterone-induced azoospermia and oligozoosper- mia in normal men. Fertil Steril. 65:821-829.
Mackey MA, Conway AJ, Handelsman DJ. 1995 Tolerability of intramuscular injections of testosterone ester in an oil vehicle. Hum Reprod. 10:862-865.
Weinbauer GF, Marshall GR, Nieschlag E. 1986 New injectable testosterone ester maintains serum testosterone of castrated monkeys in the normal range for four months. Acta Endocrinol (Copenh). 113:128-132.
Behre HM, Nieschlag E. 1992 Testosterone buciclate (20 Aet-1 ) in hypogonadal men: pharmacokinetics and pharmacodynamics of the new long-acting androgen ester. J Clin Endocrinol Metab. 75:1204-1210.
Bhasin S, Swerdloff RS, Steiner B, et al. 1992 A biodegradable testosterone microcapsule formulation provides uniform eugonadal levels of testosterone for 10-11 weeks in hypogonadal men. J Clin Endocrinol Metab. 74:75-83.
Behre HM, Baus S, Kliesch S, Keck C, Simoni M, Nieschlag E. 1995 Potential of testosterone buciclate for male contraception: endocrine differences between responders and nonresponders. J Clin Endocrinol Metab. 80:2394-2403.
Handelsman DJ, Conway AJ, Boylan LM. 1990 Pharmacokinetics and phar-macodynamics of testosterone pellets in man. J Clin Endocrinol Metab. 71:216-222.
Handelsman DJ. 1990 Pharmacology of testosterone pellet implants. In: Nieschlag E, Behre HM, eds. Testosterone: action deficiency substitution. Berlin: Springer-Verlag; 136-154.
Handelsman DJ. 1996 Androgen-based regimens for hormonal male contraception. In: Bhasin S, Gabelnick HL, Spieler JM, Swerdloff RS, Wang C, Kelly C, eds. Pharmacology, biology, and clinical applications of androgens: current status and future prospects. New York: Wiley-Liss; 395-407.
Handelsman DJ, Conway AJ, Boylan LM. 1992 Suppression of human sper-matogenesis by testosterone implants in man. J Clin Endocrinol Metab. 75:1326-1332.
Handelsman DJ, Conway AJ, Boylan LM, Turtle JR. 1984 Testicular function in potential sperm donors: normal ranges and the effects of smoking and varicocele. Int Androl. 7:369-382.
World Health Organisation. 1992 WHO laboratory manual for the examination of human semen and sperm-cervical mucus interaction, 3rd ed. Cambridge: Cambridge University Press. Grunstein RR, Handelsman DJ, Lawrence SJ, Blackwell C, Caterson ID, Sullivan CE. 1989 Hypothalamic dysfunction in sleep apnea: reversal by nasal continuous positive airways pressure. J Clin Endocrinol Metab. 68:352-358.
Handelsman DJ, Strasser S, McDonald JA, Conway AJ, McCaughan GW. 1995 Hypothalamic-pituitary testicular function in end-stage non-alcoholic liver disease before and after liver transplantation. Clin Endocrinol (Oxf). 43:331-337.
Dong Q, Hawker F, McWilliam D, Bangah M, Burger H, Handelsman DJ. 1992 Circulating inhibin and testosterone levels in men with critical illness. Clin Endocrinol (Oxf). 36:399-404.
Crawford BA, Handelsman DJ. 1994 Failure of recombinant growth hormone or insulin-like growth factor-i to influence gonadotrophin sensitivity of the non-human primate testis in-vivo. Eur J Endocrinol. 131:405-412.
Sundaram K, Kumar N, Bardin CW. 1996 7a-Methyl-19-nortestosterone (MENT): an ideal androgen for replacement therapy. In: Bhasin S, Gabelnick HL, Spieler JM, Swerdîoff RS, Wang C, Kelly C, eds. Pharmacology, biology, and clinical applications of androgens. New York: Wiley-Liss; 493-497.
Schearer SB, Alvarez-Sanchez F, Anselmo J, et al. 1978 Hormonal contraception for men. Int J Androl. 00(Suppl 2):680-712.
Bebb RA, Anawalt BD, Christensen RB, Paulsen CA, Bremner WJ, Matsumoto AM. 1996 Combined administration of levonorgestrel and testosterone induces more rapid and effective suppression of spermatogenesis than testosterone alone: a promising male contraceptive approach. J Clin Endocrinol Metab. 81:757-762.
Meriggiola MC, Bremner WJ, Paulsen CA, et al. 1996 A combined regimen of cyproterone acetate and testosterone enanthate as a potentially highly effective male contraceptive. J Clin Endocrinol Metab. 81: 3018-3023.
Patanelli DJ, ed. 1977 Hormonal control of fertility. Washington, DC: DHEW; publication 420, vol NIH 78-1097.
Paulsen CA. 1978 Male contraceptive development: re-examination of testosterone enanthate as an effective single entity agent. In: Patanelli DJ, ed. Hormonal control of male fertility. Washington DC: DHEW; 17-40.
Liskin L, Benoit E, Blackburn R. 1992 Vasectomy: new opportunities. Population information program. Baltimore: Johns Hopkins University. Matsumoto AM. 1988 Is high dosage testosterone an effective male contraceptive agent? Fertil Steril. 50:324-328.
Singh J, O'Neill C, Handelsman DJ. 1995 Induction of spermatogenesis by androgens in gonadotropin-deficient (hpg) mice. Endocrinology. 136: 5311-5321.
Anderson RA, Wallace AM, Wu FCW. 1996 Comparison between testosterone enanthate-induced azoospermia and oligozoospermia in a male contraceptive study. III. Higher 5a-reductase activity in oligozoospermie men administered supraphysiological doses of testosterone. J Clin Endocrinol Metab. 81:902-908.
Gromoll J, Simoni M, Nieschlag E. 1996 An activating mutation of the follicle- stimulating hormone receptor autonomously sustains spermatogenesis in a hypophysectomized man. J Clin Endocrinol Metab. 81:1367-1370.
Handelsman DJ, Farley TMM, Peregoudov A, Waites GMH, WHO Task Force on Methods for the Regulation of Male Fertility. 1995 Factors in the nonuniform induction of azoospermia by testosterone enanthate in normal men. Fertil Steril. 63:125-133.
Barrett-Connor E. 1996 Testosterone, HDL-cholesterol and cardiovascular disease. In: Bhasin S, Gabelnick HL, Spieler JM, Swerdîoff RS, Wang C, Kelly C, eds. Pharmacology, biology, and clinical applications of androgens: current status and future prospects. New York: Wiley-Liss; 215-223.
Celermajer DS, Sorensen KE, Gooch VM, et al. 1992 Non-invasive detection of endothelial dysfunction in children and adults at risk of atherosclerosis. Lancet. 340:1111-1115.
Celermajer DS, Adams MR, Clarkson P, et al. 1996 Passive smoking and impaired endothelium-dependent dilation in healthy young adults. N Engl J Med. 334:150-154.