F. Jockenhövel, E. Vogel, M. Kreutzer, W. Reinhardt, S. Lederbogen and D. Reinwein
Abteilung für Endokrinologie, Zentrum für Innere Medizin, Universitätsklinik Essen, Hufelandstraße 55, 45122 Essen, Germany.
Dr Friedrich Jockenhövel, II. Medizinische Klinik, Universitätsklinik Köln, Joseph-Stelzmann-Straße 9, 50924 Köln, Germany.
Summary
OBJECTIVE There are advantages and disadvantages with all of the presently available types of testosterone replacement for hypogonadal men. We performed this investigation to establish detailed data about the phar-macokinetics, pharmacodynamics, feasibility and side- effects of subcutaneously implanted testosterone (T) pellets.
DESIGN AND MEASUREMENT In a single-dose, open- label, non-randomized study, 6 T-peilets, each containing 200 mg of fused crystalline T, were implanted in the subdermal fat tissue of the lower abdominal wall of 14 hypogonadal men. Blood samples for determination of T, LH, FSH, 5α-dihydrotestosterone (DHT), sex hormone binding globulin (SHBG) and oestradiol (E2) were obtained at 0, 0-5, 1, 2, 4, 8, 12, 24, 36, 48 hours and on day 21 after implantation and then every 3 weeks until day 189, and on days 246 and 300 during follow-up. In another 36 hypogonadal men the feasibility and side-effects of T- pellets were evaluated.
PATIENTS Fourteen patients participated in the detailed pharmacokinetic study and another 36 patients in the assessment of feasibility and side-effects. All patients (age range 18-61 years) suffered from primary or sec-ondary hypogonadism (T < 3⋅6 nmol/l).
RESULTS The pharmacokinetic study in 14 hypogonadal men revealed an initial short-lived burst release of T with a peak concentration of 49-0 ± 3-7 nmol/l at 0-5 ± 0-13 days which was followed by a stable plateau lasting until day 63 (day 2, 35⋅2 ±2-3; day 63, 34-8 ± 2⋅6 nmol/l). Thereafter serum T gradually declined and was close to baseline concentrations on day 300. Apparent terminal elimination half-life (t1/2) was 70⋅8 d= 10-7 days and apparent mean residence time 87-0 ± 4⋅5 days. On average, serum T was below 10 nmol/l after 180 days. Absorption of T followed a zero-order release kinetic with an absorption half-time of 74⋅7 days (95% confidence interval: 71⋅1-78⋅5) and was almost complete by day 189 (95⋅9 ± 0⋅84%). Serum DHT and E2 were significantly elevated from day 21 to day 105 and correlated significantly with T (DHT, r = G⋅65, P < 0⋅0001, E2, r = 0⋅67, P < 0⋅0001). SHBG was significantly decreased from day 21 to day 168. In 6 men with primary hypogonadism T suppressed LH and FSH to the eugonadal range from day 21 to 126 and 42 to 105, respectively, with nadirs occurring at day 84 (LH) and day 63 (FSH). LH and FSH were highly inversely correlated with T (r= —0⋅47 and -0⋅57).
The only side-effect observed during 112 implantations in the total group of 50 men were 6 local infections (5⋅4%) leading to extrusion of 5 pellets in 3 men. When given the choice, all patients except one preferred T-pellets to their previous T medication for permanent substitution therapy.
CONCLUSION T-pellets are the androgen formulation with the longestbiofogical action and strongest pharmacodynamic efficacy in terms of gonadotrophin suppression. The pharmacokinetic features are advantageous compared to other T preparations and the patient acceptance is high.
Introduction
Male hypogonadism is characterized by insufficient production of testosterone. In order to prevent the sequelae of androgen deficiency, substitution of testosterone is the therapy of choice. However, despite six decades of experience, the optimal androgen preparation and delivery system is still not available (Bhasin, 1992). The available standard androgen replacements, as well as new formulations, have inherent disadvantages and are far from being satisfactory (Bals-Pratsch et al. 1986; Behre & Nieschlag, 1992; Bhasin et al. 1992; Meikle et al. 1992; Nieschlag & Behre, 1990; Stuenkel et al. 1991). Thus, the need exists for better types of testosterone replacement therapy. Therefore, we investigated the feasibility, efficacy, pharmacokinetics and pharmacodynamics of subdermal implants of fused crystalline testosterone in the treatment of male hypogonadism. Implantation of T-pellets was among the earliest androgen replacement therapies (Biskind et al., 1941), but the early pellets, because they were cast, broke apart easily, thus increasing surface area and thereby considerably decreasing the duration of action. The new pellets are fused at elevated temperatures and therefore have high stability and prolonged activity. Some information on the pharmacokinetics and pharmacodynamics of the new T-pellets has been reported (Cantrill et ai, 1984; Conway et ai, 1988; Handelsman et ai, 1990), yet terminal half-life, mean residence time (MRT) and duration of biological action have not been clearly defined. These parameters, however, are of great importance in the assessment of the clinical usefulness of T-pellets in comparison to standard or investigative testosterone replacement modalities. The half- life of free testosterone in the blood stream is about 7-10 minutes and always remains the same, regardless of the mode and type of testosterone preparation. Therefore in this report, the calculated t1/2 and MRT are always referred to as apparent t1/2 and apparent MRT.
Methods
Patients
After giving written informed consent, 50 hypogonadal men aged 18-61 years participated in this study, which was approved by the local ethics committee and in accordance with the guidelines of the Declaration of Helsinki 1975. Hypogonadism was diagnosed during a screening phase prior to the study and patients with any other chronic diseases were excluded. Only men with serum testosterone levels below 3'6nmol/l were included. Previous testosterone medication, which consisted of testosterone oenanthate (41 patients) or undecanoate (9), had been stopped for at least 3 months before the study.
Fourteen of the 50 patients participated in a study investigating the pharmacokinetics and pharmacodynamics of testosterone implants. Six of them suffered from primary hypogonadism (2 with bilateral orchidectomy, 4 with Klinefelter’s syndrome); 8 had secondary hypogonadism (3 with idiopathic hypogonadotrophic hypogonadism, 5 with successfully removed endocrine inactive or PRL secreting pituitary adenoma with secondary hypogonadism as the only sign of pituitary disease). No other medication was taken during the study period.
Subdermal testosterone implants
The testosterone implants (Organon, Oss, The Netherlands) are produced by melting crystalline testosterone into a cylindrical form with a size of 4⋅5 x 12 mm and a surface area of 202 mm2. Each implant contains 200 mg testosterone without any excipient and each subject received 6 implants, equivalent to 1200 mg of testosterone.
A trocar was pushed through a small incision into the subdermal fat of the lower abdominal wall under sterile conditions and local anaesthesia. Implants were inserted into the trocar and discharged by an obturator. Each implant was placed at the end of an individual track fanning out from the incision site. The wound was closed with a single suture (Thom & Studd, 1980).
Blood sampling and hormone assays
Venous blood samples were obtained during the first 48 hours after implantation through an indwelling catheter in an antecubital vein. Samples were taken at 0 (just prior to implantation), 0⋅5, 1, 2, 4, 8, 12, 24, 36,48 hours and 21,42, 63, 84, 105, 126, 147, 189, 246, and 300 days after implantation.
Hormones were measured by commercially available immunoassays: FSH and LH by enzyme-linked immunoassay calibrated against 2nd IRP 78/549 (Serozyme, Serono Freiburg, Germany); testosterone, SHBG and oestradiol (E2) by radioimmunoassays (Diagnostic Products Corporation, Los Angeles, USA) and 5α-dihydrotestosterone (DHT) by radioimmunoassay after oxidative destruction of testosterone (Amersham, Braunschweig, Germany). Inter and intra-assay coefficients of variation were below 8% for air assays except DHT (17%).
Data analysis
Several pharmacokinetic parameters were calculated indi-vidually for all 14 patients participating in the pharmacokinetic study. The individually calculated parameters were then combined and are presented as mean ± standard error of mean (SEM). In addition, the mean serum concentrations at corresponding time points for all 14 patients were also analysed.
The terminal elimination rate lambda (λ) was calculated by log-linear regression and apparent terminal elimination half-life t1/2 was derived from λ with the equation t = In2/λ. The area under the serum concentration versus time curve (AUC) was estimated by the trapezoidal rule. The metabolic clearance (Cl/f), volume of distribution (VZ) and apparent mean residence time (MRT) were derived from the AUC (Cutler, 1987). Unlike half-life, MRT is a composite of drug distribution and elimination, thus representing a useful index of the average time a drug remains in the body. MRT is derived by dividing the area under the first moment curve (AUMC) by AUC, using statistical moment theory (Mayer & Brazzell, 1988).
Furthermore, maximal testosterone concentration (Cmax) and time to Cmax(Tmax) were calculated. Pharmacokinetic data analysis was done with the software program TopFit 2.0 (Heinzel et ah, 1993). The absorption and release rates of testosterone from the implanted pellets were calculated from the percentage absorbed vs1 time plots. The net testosterone released was calculated from the AUC data and surface area of the patients correcting for the metabolic clearance rate (6501/d x m2) which was assumed to be constant throughout the study period (Handelsman et al., 1990; Meikle et ai, 1988). Changes in hormone concentrations over time were analysed for statistical significance by ANOVA using the SPSS software package.
Results
Pharmacokinetics
Implantation of T-pellets led to an initial short-lived burst release of testosterone within the first 2 days after application (Fig, 1, Table 2). The burst release was seen in all patients within 48 hours of implantation and accounted for much less than 149 ±0-109% of the total testosterone released ((AUC0-2/AUC)O-3OO) X 100), since it actually consisted only of the small peak on top of the plateau phase. A stable plateau was maintained from day 2 to 63 (day 2, 35-2 ± 2-3; day 63, 34-8 ± 2-6nmol/l), Thereafter the testosterone serum levels gradually declined and were close to baseline concentrations on day 300. Apparent terminal elimination half-life (t1/2) was 70-8 ± 10-7 days and mean residence time (apparent MRT) 87-0 ± 4-45 days. Mean testosterone serum concentration was below 10nmol/l after 180 days (Fig. 1). T stayed above the lower normal limit (>10nmol/l) until day 246 in 2 patients, day 189 in 6, day 168 in 5 and day 147 in 1. Though not statistically significant, there was a tendency of men with larger body mass to have a lower apparent t1/2 and apparent MRT. The volume of distribution (VZ) showed a significant positive correlation with the body mass index (VZ = 0-83 ± 0-22 x BMI + 0-14 ± 0-02, r = 0-49, P < 0-01).

Figure 1. Time course of serum testosterone concentrations (mean ± SEM) in 14 hypogonadal men. Note the burst release within the first 2 days and the plateau phase until day 63.
Table 1. Patients participating in the study investigating the pharmacokinetics and pharmacodynamics of T-pellets.

Table 2. Pharmacokinetic parameters of T-pellets (6 x 200 mg) subcutaneously.

The plot of percentage testosterone absorbed vs time showed a nearly linear (zero-order) release of testosterone (Fig. 2). High linearity was demonstrated up to day 89 (r = 0-9995), with still an excellent linear regression up to day 147 (r = 0-9912). Absorption half-time was 74-7 days (95% confidence interval: 71-1-78-5) with almost complete absorption by day 189 (95-9 ± 0⋅84%). The daily release rate was 1-18 ±0-03 mg per 200 mg pellet and the recalculated average testosterone released was 1228⋅95 ± 118-55mg from the 1200 mg dose.

Figure 2. Percentage absorbed testosterone versus time (mean ± SEM and individual curves). The cumulative release was calculated from the AUD (area under data) for the time period corrected for the number of days.
Pharmacodynamics: DHT, oestradiol and SHBG
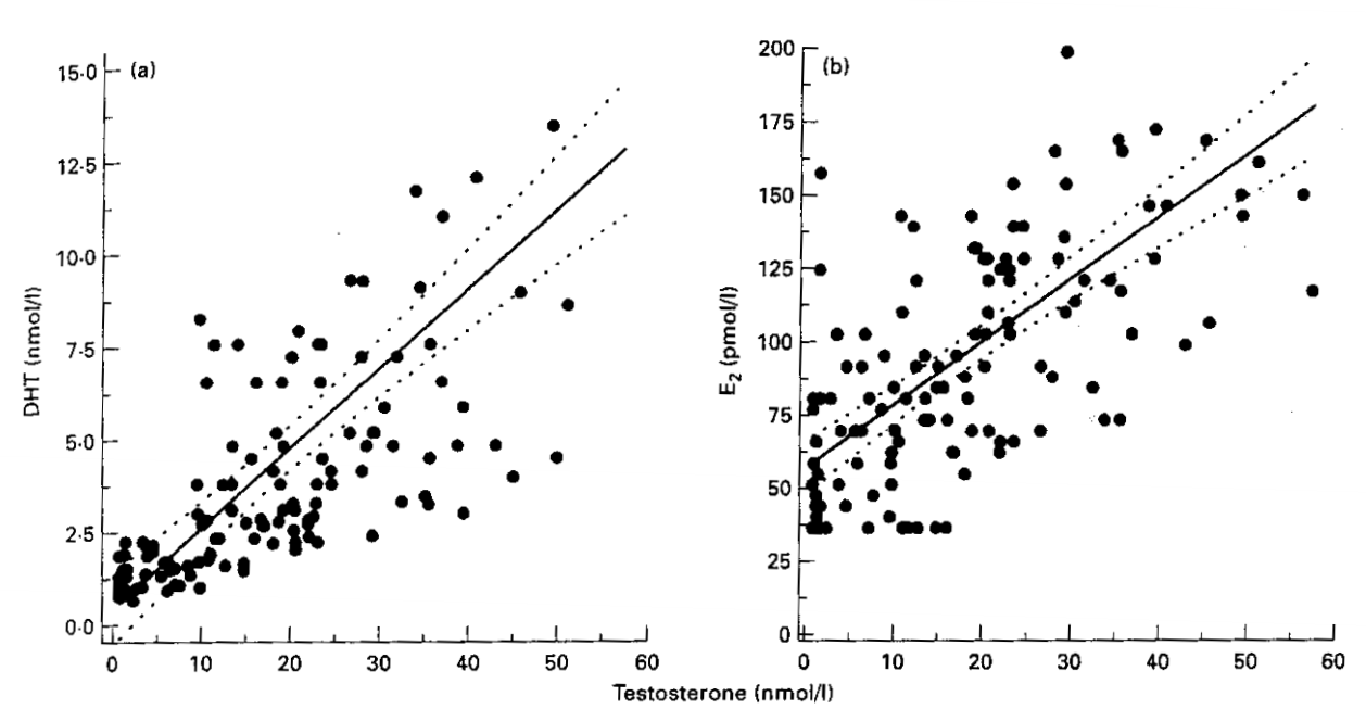
DHT rose in response to testosterone implants and was significantly elevated above baseline from day 21 to 105 (ANOVA, F = 4⋅212, P < 0-001) (Fig. 3). The peak DHT concentration occurred at 63 days after implantation. Here serum DHT concentrations exceeded the upper limit of the normal range (2-5 nmol/1). Thereafter DHT levels gradually declined to baseline levels and crossed the lower normal limit by day 189. Serum DHT concentrations as well as serum E2 levels correlated significantly with serum testosterone levels (DHT = 0-22 ± 0-022 x testosterone + 0-48 ± 0-50, r = 0-65, P < 0⋅0001. E2 = 2-14 ± 0-21 x testosterone + 57-53 ± 4-74, r = 0-67, P < 0-0001) (Fig. 4).

Figure 3. Serum concentration of •, DHT; □, serum testosterone curve for comparison, b, The DHT/testosterone ratio. ⋅Significantly different from baseline, P < 0 001.
The DHT/testosterone ratio decreased after the implantation of T-pellets and was significantly decreased below baseline from day 21 to 189 (ANOVA, F= 5-832, P < 0-001) (Fig. 3). Serum E2 showed a steep rise in response to testosterone implantation and peaked on day 42 (Fig. 5). Serum E2 was significantly increased from days 21-105 after implantation (ANOVA, F=⋅ 3-914, P < 0-001) and returned to baseline on day 126. Thus, in comparison to testosterone the elevation of E2 was only short lived and exceeded the upper normal limit (75-165 pmol/1) in only very few patients (Fig- 5).

Figure 4. Correlation of serum a, DHT; b, oestradiol with serum testosterone concentrations. The solid lines represent the linear regression models with 95% confidence intervals (dashed lines). For regression coefficients see text.
Serum SHBG levels demonstrated a rapid decline in response to T-pellets. These were significantly lower from day 21 to day 168 in comparison with baseline and returned to baseline by day 300 (Fig. 6).

Figure 5. Serum E2 levels. ⋅ Significantly different from baseline, P < 0 001.

Figure 6. Serum SHBG levels. ⋅Significantly different from baseline, P < 0-01.
Pharmacodynamics: gonadotrophins
The effect of testosterone on gonadotrophins was assessed in 6 men with primary hypogonadism (Table 1). Both LH and FSH were rapidly and markedly suppressed by testosterone (Fig. 7). From day 21 to day 126, LH and FSH were significantly different from baseline (day 0) (ANOVA, F for FSH 4-556, F for LH 9-987, P > 0.0001). LH responded more quickly and persistently to testosterone than FSH. LH stayed within the eugonadal range from day 21 to day 126 and FSH from day 42 to day 105. The maximal suppression of FSH was slightly more pronounced due to higher baseline concentrations (nadir LH 10-35 ±4-52% from baseline on day 84, FSH 7-59 ±3-75% from baseline on day 63). Though FSH serum levels appeared to show a rebound phenomenon, FSH concentrations on day 300 were not significantly higher than baseline levels.

Figure 7. Response of ■, LH; O, FSH; to A, testosterone in 6 men with primary hypogonadism. The upper normal limit for both gonadotrophins is 10IU/1, ✸Significantly different from baseline, P< 0-001.
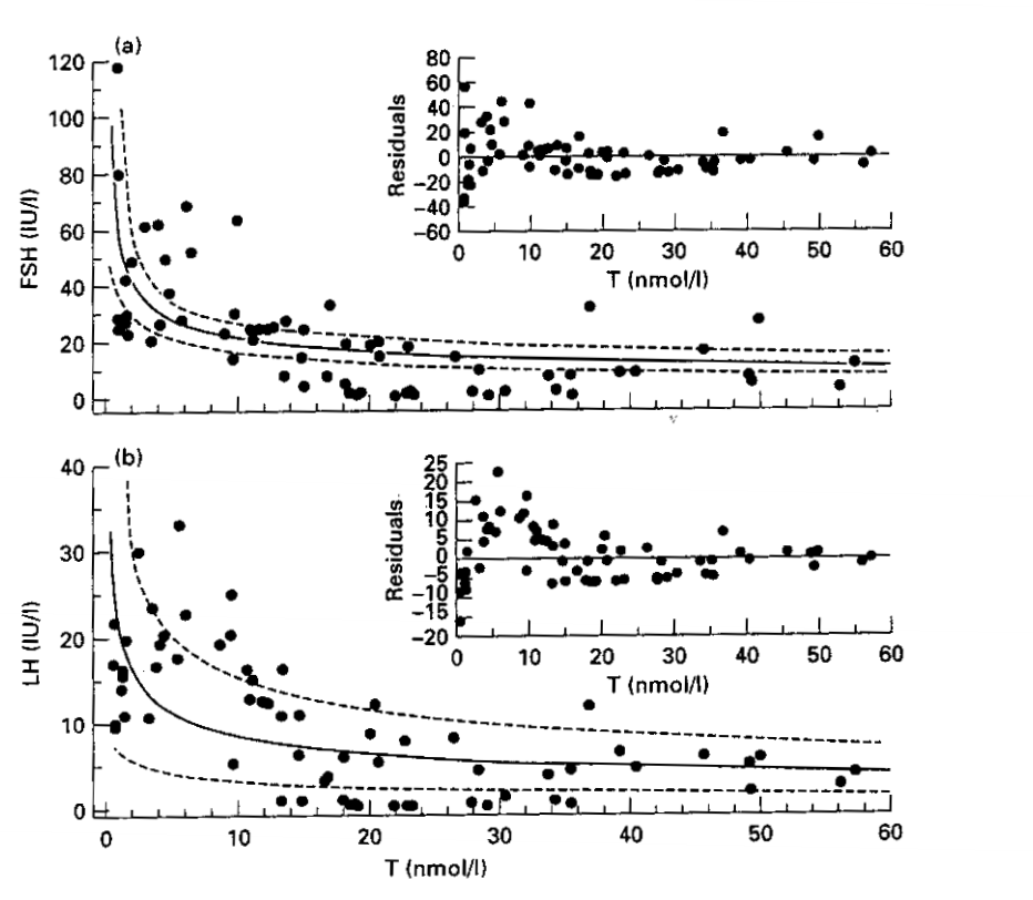
LH and FSH correlated highly significantly with testosterone serum levels in linear, multiplicative and exponential regression models, with the exponential model showing the least residuals (Fig. 8). In the exponential regression model (gonadotrophin = [a + b x testosterone) intercept (a) and slope (b) for FSH were 2-788 ± 0⋅091 and -0-6376 ± 0⋅2153, respectively (r = —0-57, P < 0-0001). For LH a and b were 1-755 ± 0129 and -0-299 ± 0⋅139, respectively (r = -0-47, P < 0-0001). LH and FSH were highly significantly correlated (r = 0⋅904; FSH = 2-061 (±0-121) x LH ± 1-059 (±1-51); P < 0⋅0001).

Figure 8. Correlation of serum a, FSH; b, LH concentrations with serum testosterone concentrations. The solid line represents the exponential regression model with 95% confidence intervals (dashed lines). For regression coefficients see text. The insets show the residuals.
Implantations and clinical response
During the period 1991-1995, a total of 112 implantations were performed in the 50 patients, with 2 patients receiving implants 7 times. In routine clinical interviewing patients indicated their satisfaction and their willingness to continue with this mode of T replacement. Patients usually noticed a decline in libido and potency after 618 ± 0-8 months (time point of first call complaining of signs of androgen deficiency). When serum testosterone was below 8 nmol/1, all patients were given the opportunity to choose between their previous testosterone medications and T-pellets. All except 1 patient (prior therapy testosterone undecanoate, experienced local infection after implantation) chose T-pellets.
Side-effects
Implantation itself did not cause any immediate side-effects. No incidence of bleeding or haematoma was observed. Two subjects complained of discomfort at the implantation site during periods of vigorous physical exercise during the first 2 months after implantation.
The only side-effect observed was 6 local infections (5-4% of all implantations) leading to extrusion of 5 pellets in 3 men (1 x 1 pellet, 2x2 pellets). Infections occurred 16-81 days after implantation and in 2 cases during bacterial bronchitis and maxillaris sinusitis. It remains unclear, whether the local infection was caused by bacteria introduced during the implantation procedure or by haematogenous spread during bacteraemia of other origin. Therapy with a broad-spectrum oral antibiotic (amoxicillin and in cases of penicillin allergy, ofloxacin) always controlled the infection within a few days with no further intervention required.
Discussion
This is the first study presenting detailed data on the pharmaco-kinetics and dynamics of T-pellets. Although T-pellets have been in clinical use for 50 years (Biskind et al, 1941; Reiter, 1965; Cantrilleta!., 1984;Conwayetat., 1988), precise pharmacological data were still lacking. Previous studies of the pharmacokinetics of the T-pellets revealed a zero-order release kinetic (Conway etai, 1988; Handelsman et a/., 1990), which was confirmed by our study. However, no data were available on the apparent MRT, apparent t1/2 and duration of action. Furthermore, no data were obtained on the release kinetics during the first 48 hours. This study showed for the first time that T-peilets produced an initial short-lived burst release with peak levels exceeding 45 nmol/l. Altogether, this peak is negligible, since it accounted for considerably less than 1⋅5% of the total testosterone released and the serum testosterone concentrations decrease into the high normal range within the following 36 hours. Other androgen depot preparations also exhibit a burst release (Burris et al., 1988; Diaz-Sanchez et al., 1989; Bhasin et ai, 1992), which might be due to loose testosterone on the surface of the carrier.
The burst release was followed by a stable plateau phase for 2 months. Thereafter a rather slow decline occurred, which gave rise to the very long apparent MRT of 87 days and the apparent t1/2 of 71 days. On average, serum testosterone levels fell below the normal limit after 180 days. In previous studies using lower doses of T-pellets, testosterone levels were maintained within the normal range for 4-5 months (Cantrill et ai, 1984; Conway et al., 1988). Thus, T-pellets are the androgen formulation with the longest biological action (Table 3). The extended duration of action is due to the depot properties of the formulation, which was indicated by the close agreement between absorption half- life and apparent t1/2 and apparent MRT. The long duration of action would be a very desirable feature, since it would guarantee normal testosterone levels over 6 months, ensuring the patient stable physical and sexual performance, as far as this depends on testosterone. Furthermore, frequent testosterone determinations for establishing dose and application intervals would be unnecessary with T-pellets.

Table 3. Comparison of some pharmacokinetic data of different androgen preparations.
The absorption rate of T-pellets approximates zero-order release kinetics, which has been previously described (Conway et al, 1988; Handelsman et al., 1990). The observed slowing of absorption after 5-6 months could be accounted for by the reduction in the surface area of the pellet with time as a consequence of absorption. Zero-order release kinetics allow excellent prediction of drug serum levels. This is underlined by the excellent agreement between our results and previous data on T-pellet pharmacokinetics in regard to absorption half-time, cessation of absorption and daily release rate which are almost identical (Handelsman et al., 1990). This stability in the absorption is probably due to the mechanism of steroid absorption from the fused pellets, which is a regular erosion mechanism, depending on pellet surface area and site specific dissolution of the crystalline steroid into the extracellular fluid (Handelsman et al., 1990). Unlike the early T-pellets, the new T-pellets possess high stability and do not break apart after implantation, thus keeping their original shape and surface geometry. A previous higher estimate of testosterone release of 1T mg/ day from 100 mg pellets recovered from antecubital and subscapular implantation sites may be due to site specific absorption kinetics, possibly related to local blood flow, muscular activity and temperature (Bishop & Folley, 1951). Furthermore, the weighing of remnants from extruded pellets could be hampered by the potential loss of material by handling. On the other hand, the calculation from percentage absorbed vs time plots assumes a constant metabolic clearance rate (MCR) for testosterone throughout the study period. In addition, individual variations of the MCR of testosterone have been reported (Meikle et al., 1988; Horton et al., 1965). Despite these disadvantages the two methods are in good agreement.
In contrast to other testosterone preparations T-pellets did not produce a disproportionate elevation of DHT. However, the DHT/testosterone ratio decreased owing to a larger increase of testosterone than of DHT. Nevertheless, DHT levels temporarily exceeded the upper normal limit at peak concentrations. This has also been observed for other long-acting androgen formulations (Bhasin et al., 1992; Behre & Nieschlag, 1992). Interestingly, as with testosterone microcapsules (Bhasin et al., 1992) the DHT peak occurred later than the testosterone peak. This might indicate androgen mediated induction of 5α-reductase activity.
The suppressive effect of T-pellets on elevated gonadotro-phin demonstrated the biological effectiveness of T-pellets. During the stable plateau phase of serum testosterone concentrations, LH and FSH showed a very rapid decline into the eugonadal range. No other testosterone formulation shows such a quick and strong suppressive effect on gonadotrophins (Bhasin et al., 1992; Behre & Nieschlag, 1992; Schulte-Beerbühl & Nieschlag, 1980) and some androgen formulations hardly achieve normalization of the gonadotrophins at all (Bals-Pratsch et ai, 1988; Meikle et ai, 1992; Franchimont et ai, 1978; Stuenkel et al., 1991; Dobs et ai, 1995). If the rapid and prolonged normalization of LH, which is an in vivo bioindicator of androgen activity, is applied as an index of the quality of androgen substitution, then T-pellets are the most effective testosterone preparation. However, it is not known whether the degree of LH suppression also reflects the beneficial effects of testosterone on androgen dependent tissues, such as bone or muscle. Like other androgenic steroids, T-pellets suppressed serum SHBG levels (Stuenkel et al., 1991; Bhasin et al, 1992; Cunningham et al., 1989; Plymate et al., 1983), although this did not reach statistical significance in all studies (Behre & Nieschlag, 1992; Handelsman et al., 1990). However, there is no obvious explanation for the strong decline of serum SHBG levels in this study and the minor decrease in the former study using identical doses of T-pellets (Handelsman et al. 1990). Nevertheless, the decrease of serum SHBG levels in this study most likely supported the powerful suppressive effect of gonadotrophins by increasing free testosterone. Whether this might also be disadvantageous for other androgen target organs, e.g. prostate, needs to be investigated in long-term studies. The transient rise in serum E2 levels, which is a common effect of androgen preparations (Franchi et al., 1978; Nankin, 1987; Cantrill et ai, 1984; Cunningham et al., 1989; Ahmed et al., 1988; Meikle et al., 1992), did not exceed the physiological range.
The pharmacokinetic profile of T-pellets demonstrated their advantage over other testosterone preparations. The orally effective testosterone undecanoate (TU) suffers from unpredictable resorption and poor bioavailability (Table 3) (Skakkebaek et al., 1981; Schürmeyer et al, 1983; Franchi étal, 1978). The sublingual administration of teslosterone-hydroxypropyl-/3-cyclodextrm inclusion com-plexes (T-HPBCD) as well as the intramuscular application of testosterone propionate (TP) produce only transient testosterone peaks and are less useful clinically (Stuenkel et al, 1991; Nieschlag et al, 1976).
The commonly used intramuscular injection of testosterone oenanthate (TE), or testosterone cypionate produces widely fluctuating testosterone serum concentrations with peak values exceeding the physiological range in the first few days and subnormal levels 7-16 days after the injection (Table 3) (Snyder & Lawrence, 1980; Nankin, 1987; Nieschlag et al, 1976; Schulte-Beerbühl & Nieschlag, 1980; Schürmeyer & Nieschlag, 1984). These extreme swings of serum testosterone levels often lead to considerable variations of the patient’s energy, mood and sexual desire and performance, and are not well accepted by the patients. 19-Nortestosterone exhibits much more favourable kinetics (Table 3) (Knuth et al, 1985a; Belkien et al, 1985), but does not possess pharmacodynamic properties identical to testosterone (Knuth et al, 1985a, b).
Oi the transdermal therapeutic systems (TTS) for testosterone delivery, scrotal application produces DHT serum concentrations constantly four to five-fold normal (Cunningham et al, 1989; Ahmed et al, 1988). The longterm effects of permanent DHT elevations to this extent are entirely unknown. A new TTS for testosterone transport across non-scrotal skin is not hampered by this side-effect and produces acceptable testosterone serum profiles (Table 3) (Meikle et al, 1992). However, the daily application of two large patches requires high compliance. In addition, a transdermal testosterone delivery system will be comparatively expensive. Further studies will have to define the pharmacodynamics and local tolerability of the patches, with a preliminary report indicating a 10% rate of allergic reactions (Dobs et al, 1995).
Testosterone buciclate (TB), a newly developed testosterone ester, barely provides normal androgen serum levels and the maximal increase of serum testosterone over baseline does not exceed 6nmol/l on average (Behre & Nieschlag, 1992). Salivary testosterone, an index of free, bioavailable testosterone, was maintained within the normal range for 7 weeks (Tschop et al, 1995). Thus, despite its long apparent t1/2 and apparent MRT (Table 3), TB is not suitable for full substitution of truly hypogonadal men in the doses investigated so far. Testosterone microcapsule (T- micro) formulations show, like T-pellets, a zero-order release kinetic and a plateau phase over 2 months (Bhasin et al, 1992). However, owing to a lower level of the plateau and a more rapid decline thereafter, the duration is considerably shorter compared to T-pellets (Table 3). The disadvantages of T-micro are two simultaneous intramuscular injections of a relatively large volume, which are difficult to administer due to the high viscosity of the solution and the tendency to block the needle (Bhasin et al, 1992).
In summary, only TB, T-micro and the non-scrotal TTS appear to show the potential of becoming practical and efficient testosterone replacement therapies. However, all these preparations are still under investigation and are hampered by inherent disadvantages. Furthermore, they would probably all be less cost effective than T-pellets, when daily therapeutic costs are calculated.
The use of T-pellets suffers from two drawbacks: the insertion of the pellets requires minor surgical skills, and, rarely, the pellet is extruded. Despite these disadvantages all patients except one opted for the T-pellets when given the choice of resuming their previous medication (TE or TU) or continuing on T-pellets. This indicates the superiority of T-pellets over TE or TU in patient acceptance, since the patients had prior experience with the other medications.
Thus, due to the favourable pharmacokinetics and pharmacodynamics, implantation of testosterone pellets is a highly efficient long-term substitution therapy for hypogonadal men, with high patient acceptance.
Acknowledgements
We thank our patients, who made this investigation possible, and are very grateful for the excellent hormone analysis by Andrea Jaeger, Gudrun Kelz and Ursel Lingnau and the staff of the endocrine ward W1 for assistance in the clinical study and H. Nieuwenhuis-Peek (Organon) for her continuous support.
References
Ahmed, S.R., Boucher, A.E., Manni, A., Santen, R.J,, Bartholomew, M. & Demers, L.M. (1988) Transdermal testosterone therapy in the treatment of male hypogonadism. Journal of Clinical Endocrinology and Metabolism, 66, 546-551.
Bals-Pratsch, M., Knuth, U.A., Yoon, Y.-D. & Nieschlag, E. (1986) Transdermal testosterone substitution therapy for male hypogonadism. Lancet, 4,943-946.
Bals-Pratsch, M., Langer, K., Place, V,A. & Nieschlag, E. (1988) Substitution therapy of hypogonadal men with transdermal testosterone over one year. Acta Endocrinologica, 118, 7-13.
Behre, H.J.M. & Nieschlag, E. (1992) Testosterone buciclate (20- Aet-1) in hypogonadal men: pharmacokinetics and pharmacodynamics of the new long-acting androgen ester. Journal of Clinical Endocrinology and Metabolism, 75, 1204-1210.
Behre, Oberpenning, F. & Nieschlag, E. (1990) Comparative pharmacokinetics of androgen preparations: application of computer analysis and simulation. In Testosterone (eds E. Nieschlag & H.M, Behre), pp. 115-153.
Springer Verlag, Berlin, Belkien, L.D., Schurmeyer, T., Hano, R., Gunnarsson, P.O. & Nieschlag, E. (1985) Pharmacokinetics of 19-nortestosterone esters in normal men. Journal of Steroid Biochemistry, 22, 623- 629.
Bhasin, S, (1992) Androgen treatment of hypogonadal men. Journal of Clinical Endocrinology and Metabolism, 74, 1221-1225,
Bhasin, S., Swerdloff, R.S., Steiner, B., Peterson, M.A., Meridores, T., Galmirini, M., Pandian, M.R., Goldberg, R, & Berman, N. (1992) A biodegradable testosterone microcapsule formulation provides uniform eugonadal levels of testosterone for 10-11 weeks in hypogonadal men. Journal of Clinical Endocrinology and Metabolism, 74, 75-83.
Bishop, P.M.F. Sc Folley, S.J. (1951) Absorption of hormone implants in man. Lancet, ii, 229-232.
Biskind, G.R., Escamilla, .F. & Lisser, H. (1941) Treatment of. Eunuchoidism: implantation of testosterone compounds in cases of male eunuchoidism. Journal of Clinical Endocrinology, 1, 38- 49.
Burris, A.S., Ewing, L.L. & Sherins, R.J. (1988) Initial trial of slow- release testosterone microspheres in hypogonadal men. Fertility and Sterility, 50, 493-497.
Cantrili, J.A., Dewis, P., Large, D.M., Newman, M. & Anderson, D.C. (1984) Which testosterone replacement therapy? Clinical Endocrinology, 21, 97-107.
Conway, A.J., Boylan, L.M., Howe, C., Ross, G. & Handelsman, D.J. (1988) Randomized clinical trial of testosterone replacement therapy in hypogonadal men. International Journal of Andrology, 11,247-264.
Cunningham, G.R., Cordero, . & Thornby, J.I. (1989) Testosterone replacement with transdermal therapeutic systems. Journal of the American Medical Association, 261, 2525-2530.
Cutler, .J. (1987) Definition of mean residence times in pharmacokinetics. Biopharmaceutics and Drug Disposition, 8, 87-97.
Diaz-Sanchez, V., Larrea, F., Ulloa-Aguirre, A., Garzo-FIores,. Richards,. & Veayra, F. (1989) Absorption of dihydrotestosteroj (DHT) after its intramuscular administration. Fertility at Sterility, 51, 493-497.
Dobs, A.S., Arver, S., Meikle, A.W., Sanders, S.W., Caramel K.E., Lakshminaryan, R. & Mazer, N.A. (1995) Efficacy ar safety of the AndrodermR testosterone transdermal system previously untreated hypogonadal men. Proc. Am. Endocr. So 77th Ann. Meet. P2-121.
Franchi, F., Luisi, M. & Kicovic, P.M. (1978) Long-term study < oral testosterone undecanoate in hypogonadal males. Inte national Journal of Andrology, 1, 270-278.
Franchimont, P., Kicovic, P.M., Mattel, A. & Roulier, R. (197: Effects of oral testosterone undecanoate in hypogonadal ma patients. Clinical Endocrinology, 9, 313-320.
Handelsman, D.J., Conway, A.J. & Boylan, L.M. (1990) Pha macokinetics and pharmacodynamics of testosterone pellets i man. Journal of Clinical Endocrinology and Metabolism, 71,216 222.
Heinzel, G., Woloszcak, R. &Thomann, P. (1993) Pharmacokinet and pharmacodynamic data analysis system for the PC pp. 1.1 5.131.
Gustav Fischer Verlag, Stuttgart, New York. Horton, R., Shinsako, J. & Forsham, P.H. (1965) Testosteror production and metabolic clearance rates with volumes c distribution in normal adult men and women. Act Endocrinologica, 48, 446-458.
Knuth, U.A., Behre, H.J.M., Belkien, L.D., Bents, H. & Nieschlag, I (1985a) Clinical trial of 19-nortestosterone-hexoxyphenyIpropionai (Anadur) for male fertility regulation. Fertility and Sterility, 44,814 821.
Knuth, U.A., Behre, H.J.M., Belkien, L.D,, Bents, H. & Nieschlag, I (1985a) 19-Nortestosterone for male fertility regulation. In Ma, Contraception: Advances and Future (eds G.I. Zatuchni, A. Gok smith & J.M. Spiler), pp. 320-328.
Mayer, P.R, & Brazzell, R.K. (1988) Application of statistic: moment theory to pharmacokinetics. Journal of Clinia Pharmacology, 28, 481-483.
Meikle, A.W., Mazer, N.A., Moellmer, J.F., Stringbam, J.D Tolman, K.G., Sanders, S.W. & Odell, W.D, (1992) Enhance transdermal delivery of testosterone across nonscrotal ski produces physiological concentrations of testosterone and ii metabolites in hypogonadal men. Journal of Clinical Endocrine ogy and Metabolism, 74, 623-628.
Meikle, A.W., Stingham, J.D., Bishop, D.T. & West, .W. (198f Quantitating genetic and nongenetic factors influencing androge production and clearance rates in men. Journal of Clinia Endocrinology and Metabolism, 67, 104-109.
Nankin, H.R. (1987) Hormone kinetics after transmuscula testosterone cypionate. Fertility and Sterility, 47, 1004-1009.
Nieschlag, E. & Behre, H.J.M. (1990) Pharmacology and clinic: use of testosterone. In Testosterone (eds E. Nieschlag & H.M Behre), pp. 92-114. Springer Verlag, Berlin.
Nieschlag, E., Cuppers, H.J., Wiegelmann, W. & Wickings, E.i (1976) Bioavailability and LH-suppressing effect of differen testosterone preparations in normal and hypogonadal mer Hormone Research, 7, 1380-145.
Plymate, S.R., Leonard, J.M., Paulsen, C.A., Fariss, B.L. il Karpas, A.E. (1983) Sex hormone-binding globulin change with androgen replacement. Journal of Clinical Endocrinology an- Metabolism, 57, 645-648.
Reiter, T. (1965) Testosterone implantations: the method of choic for treatment of testosterone deficiency. Journal of American Geriatric Society, 13, 1003-1012.
Saleliian, B., Wang, C, Davidson, T., Umana, V,, Steiner, B., Peterson, P., Sinha-Hikim, I. & Swerdloff, R.S. (1994) Comparison of pharmacokinetics of testosterone (T) after sublingual testosterone cyclodextrin (SLT) or testosterone enanthate injections (TE). Clinical Research, 42, 74A.
Schulte-Beerbiihl, M. & Nieschlag, E. (1980) Comparison of testosterone, dihydrotestosterone, luteinizing hormone, and follicle-stimulating hormone in serum after injection of testosterone enanthate or testosterone cypionate. Fertility and Sterility, 33, 201-203.
Schiirmeyer, T. & Nieschlag, E. (1984) Comparative pharmacokinetics of testosterone enanthate and testosterone cyclohexane- carboxylate as assessed by serum and salivary testosterone levels in normal men. International Journal of Andrology, 7, 181-187.
Schiirmeyer, T., Wickings, E.J., Freischem, C.W. Sc Nieschlag, E. (1983) Saliva and serum testosterone following oral testosterone undecanoate administration in normal and hypogonadal men. Acta Endocrinologica, 102, 456-462.
Skakkebaek, N.E., Bancroft, J., Davidson, D.W. & Warner, P. (1981) Androgen replacement with oral testosterone undecanoate in hypogonadal men: a double blind controlled study. Clinical Endocrinology, 14, 49-61.
Snyder, P.J. & Lawrence, D.A. (1980) Treatment of male hypogonadism with testosterone enanthate. Journal of Clinical endocrinology and Metabolism, 51, 1335-1339.
Stuenkel, C.A., Dudley, R.E. & Yen, S.S.C. (1991) Sublingual administration of testosterone-hydroxylpropyl-beta-cyclodextrin inclusion complex simulates episodic androgen release in hypo- gonadal men. Journal of Clinical Endocrinology and Metabolism, 72, 1054-1059.
Thom, M.H. & Studd, J.W.W. (1980) Hormone implantation. British Medical Journal, 848-850.
Tschop, M., Dressendôrfer, R.A., Behre, Nieschlag, E. & Strasburger, C.J. (1995) Monitoring of substitution therapy with testosterone buciclate in hypogonadal men by a time-resolved fluorescence immunoassay for salivary testosterone. Proceedings of the American Endocrinological Society, 77th Annual Meeting, P2-116.