JOHN W. W. STUDD Consultant, E. F. NIGEL HOLLAND Research Registrar, ANDREW T. LEATHER Research Registrar, ROGER N. J. SMITH Research Registrar
Department of Gynaecology, Chelsea and Westminster Hospital, London.
Correspondence: Mr J. W. W. Studd, Chelsea and Westminster Hospital, 309 Fulham Road, London SW10 9NH, UK.
Abstract
Objective: To determine whether there is a dose-response effect of percutaneous oestradiol implants on the skeletons of postmenopausal women using a range of doses available in clinical practice.
Design: One year randomised study.
Subjects: Forty-five postmenopausal women who requested oestrogen replacement therapy were randomised to receive 25 mg, 50 mg, or 75 mg oestradiol implants. The bone mineral density changes were compared with a control group of 15 untreated women.
Main outcome measures: Dual energy X-ray absorptiometry using Hologic 1000 QDR before treatment and after one year of treatment. Plasma oestradiol and follicle stimulating hormone levels before treatment and after one year.
Results: There were significant correlations between the plasma oestradiol levels and the percentage increase in bone density at the lumbar spine, the total hip, the femoral neck, and the trochanter. The median (range) plasma oestradiol level was 327 pmol/1 (114-853) in the 25 mg group, 358 pmol/1 (220-957) in the 50 mg group and 518 pmol/1 (167-828) in the 75 mg group. Three women who lost a significant amount of bone from the clinically relevant sites in the 25 mg oestradiol group all had plasma oestradiol levels below 300 pmol/1. None of the women in either the 50 mg or 75 mg oestradiol groups lost bone from these sites.
Conclusions: Oestradiol implants resulted in a wide range of circulating oestradiol levels with each of the doses used. There was a significant relation between plasma oestradiol levels and the increases in bone density at both the lumbar spine and the proximal femur. None of the women lost bone density at the clinically important sites of the spine and femoral neck if their plasma oestradiol levels were above 300 pmol/1.
Oestrogen replacement is the cornerstone for the pre-vention and treatment of postmenopausal osteoporosis. Systemic administration of oestrogen orally (Civitelli et al. 1988; Munk-Jensen et al. 1988) by transdermal patches (Ribot et al. 1990) or by percutaneous implants (Studd et al. 1990) can all significantly increase bone mineral density. Epidemiological studies have confirmed that oestrogen therapy reduces the incidence of osteoporotic fractures (Spector et al. 1992).
There is also evidence that the bone density of the osteoporotic skeleton of older women can be increased with oestrogen therapy with the greatest response in women with the lowest bone density (Lindsay & Rohme 1990). Studd et al. (1990) previously have demonstrated a significant correlation between the post-treatment plasma oestradiol levels and the percentage increase in vertebral bone density measured by dual photon absorptiometry. In that study 75 mg oestradiol implants were given together with 100 mg testosterone implants. No correlation between bone density and testosterone levels was found, and a subsequent report showed that the addition of testosterone results in no significant increase in bone density compared with oestradiol alone (Garnett et al 1992).
We have undertaken a study to determine whether it is the dose of subcutaneous oestrogen implant administered that is critical to increase bone density, or whether it is the level of circulating oestradiol obtained, irrespective of the dosage, that is the most important factor.
Subjects and methods
Forty-five healthy, postmenopausal women were recruited to participate in this study. None of the women had used any medication known to affect bone metabolism. Women with an excessive use of tobacco (> 10 cigarettes/day) or alcohol consumption (> 14 units/week) were excluded. The onset of the menopause was taken as the time of their last spontaneous menstrual period. Those who had previously had a hysterectomy were regarded as being menopausal from the time of onset of menopausal symptoms if the ovaries were conserved, or at the time of surgery if the ovaries were removed.
The women were randomised by blind selection to receive 25 mg (« = 15), 50 mg (n = 15) or 75 mg (n = 15) percutaneous oestradiol implants (Organon Laboratories Ltd, Cambridge, UK) for one year. These were inserted under the skin of the anterior abdominal wall at 0, 6, and 12 months (Thom & Studd 1980). None of the women received testosterone. Women who had not undergone hysterectomy were given cyclical medroxyprogesterone (5 mg daily) for the first 10 days of each calendar month to protect the endometrium against hyperplasia.
The bone density at the hip and the lumbar spine was measured before treatment and at one year using a DEXA Hologic 1000 QDR dual energy X-ray absorptiometer (Hologic Inc, Waltham, Massachusetts, USA). The changes in bone mass were compared with a control group of 15 postmenopausal women who did not want oestrogen replacement therapy. Plasma assays of follicle stimulating hormone (FSH), performed by chemiluminescence, and of oestradiol, performed by radio-immunoassay, were done at 12 months before insertion of a further implant.
Statistical analysis
The coefficient of variation for the densitometer was calculated by measuring a spinal phantom daily and was 0-67 % during the course of the study. Precision in vivo was determined by serial scans in 10 healthy premenopausal volunteers. The mean coefficient of variation was 0-98 % at the lumbar spine, 1-03 % at the femoral neck, 1-22 % at the trochanteric region, L21 % at the total hip, L32% at the inter-trochanteric region, and 1-83% at Ward’s triangle.
To compare the three dosage groups, Mann-Whitney V test was used for the baseline demographic data and the two-tailed Student’s t test was used for the baseline bone mineral density data. The percentage changes in bone density were calculated using the Wilcoxon test. Spearman correlation coefficient was used to examine the relation between the parameters.
Results
The three dosage groups and the control group were very similar in their age, menopausal age, height, weight, body mass index, and initial bone mineral density. The baseline demographic data are shown in Table 1 and the baseline bone mineral density data are shown in Table 2.
Table 1. Baseline demographic data for the control group (n = 15) and the three treatment groups who received 25 mg (n = 15), 50 mg (n = 15), or 75 mg (n = 15) percutaneous oestradiol implants. Values are shown as median (range). BMI = body mass index.

Table 2. . Baseline bone density data for the control group (n = 15) and the three treatment groups who received 25 mg (n = 15), 50 mg (n = 15), or 75 mg (n = 15) percutaneous oestradiol implants. Values are shown as mean (SD) bone density in g/cm2.

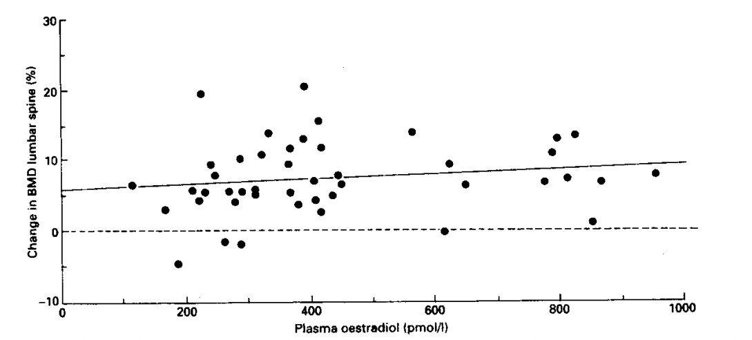
There were significant correlations between the plasma oestradiol levels of the 45 treated women and the percentage increase in bone density at the lumbar spine (r = 0·26, P < 0·05) (Fig. 1), the total hip (r = 0·32, P < 0·05) (Fig. 2), the femoral neck (r = 0·25, P < 0·05) (Fig. 3), and the trochanter (r = 037, P < 0·01).

Figure 1. The relation between the increase in bone mineral density at the lumbar spine and post-treatment oestradiol levels, r = 0.26; P < 0 05.

Figure 2. The relation between the increase in bone mineral density at the proximal hip and post-treatment oestradiol levels, r = 0.25; P < 0.05.

Figure 3. . The relation between the increase in bone mineral density at the femoral neck and post-treatment oestradiol levels, r = 0-32; P < 0 05.
There were also significant correlations between the age (r = 0·56, P < 0.001) and menopausal age (r = 0.48, P < 0.001) of the women who received oestradiol implants and the percentage increase in bone mass at the spine, but not at any of the sites measured at the proximal femur.
The median percentage changes in bone density with 95% confidence intervals (Cl) for all the sites in each dosage group are shown in Table 3. The median post-treatment plasma oestradiol and FSH levels are shown in Table 4. There was a statistically significant difference (P < 0.01) between the 25 mg and 75 mg dosage groups in the percentage increase in bone mass at the spine. There were no statistically significant differences between dosage groups at the other sites. There were no statistically significant differences in the plasma oestradiol and FSH levels between the three dosage groups.
Table 3. Changes, given as percentage of change, in bone density in the treatment and control groups after one year of treatment. Values are median (95% confidence intervals).

Table 4. The post-treatment plasma oestradiol and follicle stimulating hormone (FSH) levels after one year. Values are shown as median (range).

Two women in the 25 mg dosage group lost a substantial amount (more than twice the precision of the densitometer) of bone density from the spine. They had plasma oestradiol levels of 188 and 288 pmol/1, respectively. Another women in the 25 mg dosage group with a plasma oestradiol level of 230 pmol/1 lost bone density from the femoral neck. None of the women in the 50 mg or 75 mg dosage groups lost substantial amounts of bone mass at these sites.
Discussion
Oral preparations are the most commonly prescribed form of oestrogen for postmenopausal women, largely because they are cheap, convenient and have been shown to be safe and effective after more than 20 years of use. Ingested oestradiol (E2) is metabolised by the liver to the less potent oestrone (E1) with a reversal of the normal physiological E1:E2 ratio (Powers et ai 1985). It is claimed that the minimum daily dose of oral oestrogen necessary to maintain bone mass is the equivalent of 0*625 mg conjugated equine oestrogens (Lindsay et al. 1984) or between 1 mg and 2 mg oestradiol (Christiansen et al. 1982). These doses are used widely in clinical practice. Unfortunately, compliance with oral therapy is poor. It has been reported that less than 30% of women prescribed oestrogen replacement therapy collect their prescriptions and, of those who do, only a third continue with medication for more than three months (Nachtigall 1990).
The percutaneous route of administration avoids the entero-hepatic circulation and is associated with physio-logical premenopausal plasma ratios and levels of oestradiol and oestrone (Thom et al. 1981). The minimum dose of transdermal patch effective for preventing post-menopausal bone loss is 50 pg daily (Stevenson et ai 1990), but they are expensive and can cause allergic skin reactions. Percutaneous oestradiol implants are not only inexpensive and convenient, but they also overcome the problem of poor patient compliance. This treatment produces higher oestradiol levels than, other preparations and should therefore produce a greater therapeutic response in the skeleton.
Our study is the first to demonstrate significant correlations between plasma oestradiol levels and the percentage increase in bone density at both the lumbar spine and the proximal hip. The increase in density at the spine was also greatest in older women furthest into the menopausal years. There were wide variations in the circulating oestradiol levels with each of the three doses, indicating that the pharmacodynamics of oestradiol implants vary between women. This variation results in an individual response to a particular dose and explains why there are not incremental changes in bone density at some sites with increasing oestrogen dose. The increase in bone mass with higher doses is most evident at the spine which contains a greater amount of trabecular bone than the hip, and therefore any subtle difference in response is more readily revealed.
Some women continue to lose bone despite taking expected bone-sparing doses of oestrogen (Stevenson et al. 1990). In our study the women who lost bone density were only in the 25 mg oestradiol group which produced a median plasma oestradiol level of 327 pmol/l. To ensure an appropriate skeletal response, particularly to low dose therapy, serial bone densitometry must be regarded as a necessary investigation. However, if this is not available, plasma oestradiol should be monitored to ensure that the levels of circulating oestrogen are in the therapeutic range of at least 300 pmol/l.
Although the skeletal dose-response with oestrogen suggests that new bone is produced, there have been no histological studies to confirm this. The only reported histomorphometric study of iliac crest bone samples used a low dose oral preparation (Steiniche et al. 1989) and showed a reduction in bone turnover and activation frequency, but no change in bone volume after one year. In an unpublished study of osteoporotic women treated with 75 mg oestradiol implants for one year, we also have shown a reduction in bone turnover (Holland et al. unpublished data) but, despite large increases in bone mineral density of 14·4% at the spine and 5·3 % at the hip in older women using dual energy X-ray absorptiometry, there was no significant increase in trabecular bone volume in iliac crest biopsies. The answer will only become apparent from long term prospective histological studies, together with epidemiological data on the fracture rates with different oestrogen treatment regimens.
It is probable that there is a threshold oestradiol level above which the bone mass will begin to increase. Conversely, there is also likely to be a saturation oestradiol level at which the oestrogen receptors on bone respond maximally and above which the bone mass will not rise further. This hypothesis could only be confirmed by a larger long term study.
Acknowledgements
We would like to thank Dr D. Cooper, Statistician, Kings College Hospital, London. We are also grateful to Wellbeing (formerly Birthright) and Remedi for funding this study.
References
Christiansen C., Christensen M. S., Larsen N.-E. & Trans bol I. B. (1982) Pathophysiological mechanisms of estrogen effect on bone metabolism. Dose-response relationships in early postmenopausal women. J Clin Endocrinol Metab 55, 1124-1130.
Civitelli R., Agnusdei D., Nardi P., Zacchei F., Avioli L. V. & Gennari C. (1988) Effects of one-year treatment with estrogens on bone mass, intestinal calcium absorption, and 25-hydroxyvitamin D-lalpha-hydoxylase reserve in postmenopausal osteoporosis. Calcif Tissue Int 42, 77-86.
Garnett T, J., Studd J. W. W., Savvas M., Watson N. & Leather A. T. (1992) The effects of plasma oestradiol levels on the increase in vertebral and femoral bone density following estradiol and testosterone implants Obstet Gynecol 79, 768 - 772.
Lindsay R. & Rohme J. F. (1990) Estrogen treatment of patients with established postmenopausal osteoporosis. Obstet Gynecol 76, 290-295.
Lindsay R., Hart D. M. & Clark D. M. (1984) The minimum effective dose of estrogen for prevention of postmenopausal bone loss. Obstet Gynecol 63, 759-763.
Munk-Jensen N., Pors Nielsen S., Obéi E. B. & Bonne Eriksen P. (1988) Reversal of postmenopausal vertebral bone loss by oestrogen and progestogen : a double blind placebo controlled study. Br Med /296, 1150-1152.
Nachtigall L. E. (1990) Enhancing patient compliance with hormone replacement therapy at the menopause. Obstet Gynecol 75, 77-80.
Powers M. S., Schenkel L., Darley P. E., Good W. R., Balestra J. C. & Place V. A. (1985) Pharmacokinetics and pharmacodynamics of transdermal dosage forms of 17 beta estradiol: comparison with conventional oral estrogens used for hormone replacement. Am J Obstet Gynecol 152, 1099-1106.
Ribot C., Tremollieres F„ Pouilles J. M., Louvet J. P. & Peyron R. (1990) Preventive effects of transdermal administration of 17 beta-estradiol on postmenopausal bone loss: a 2-year prospective study. Obstet Gynecol 75, 42-46.
Spector T. D., Brennan P., Harris P. A., Studd J. W. W. & Silman A. J. (1992) Do current regimes of hormone replacement therapy protect against subsequent fractures? Osteoporosis Int 2, 219-224.
Steiniche T., Hasling C., Charles P., Eriksen E. F., Mosekilde L. & Melsen F. (1989) A randomized study on the effects of estrogen/ gestagen or high dose oral calcium on trabecular bone remodeling in postmenopausal osteoporosis. Bone 10, 313-320.
Stevenson J. C, Cust M. P., Ganger K. P. F., Hillard T. C., Lees B. & Whitehead M. I. (1990) Effects of transdermal versus oral hormone replacement therapy on bone density in spine and proximal femur in postmenopausal women. Lancet 336, 265—269.
Studd J. W. W., Savvas M., Watson N., Fogelman I. & Cooper D. (1990) The relationship between plasma estradiol and the increase in bone density in postmenopausal women after treatment with subcutaneous hormone implants. Am J Obstet Gynecol 163, 1474-1479.
Thom M. & Studd J. W. W. (1980) Practical procedures: hormone implants. Br Med J 1, 648-650.
Thom M., Collins W. P. & Studd J. W. W. (1981) Hormonal profiles in postmenopausal women after therapy with subcutaneous implants. Br J Obstet Gynaecol 88, 426-433.