ANN J. CONWAY, LYN M. BOYLAN, C. HOWE, GLYNIS ROSS and D. J. HANDELSMAN*
Andrology Unit, Royal Prince Alfred Hospital and * Departments of Medicine and Obstetrics & Gynaecology, University of Sydney, Sydney, Australia.
Correspondence: Dr David J. Handelsman, Department of Medicine, University of Sydney, Sydney 2006, Australia.
Summary
We have compared the pharmacokinetics and pharmacodynamics of the three commonly used testosterone formulations in a prospective, randomized cross-over clinical trial. Plasma free and total testosterone and their ratio (proportion of unbound testosterone), sex hormone-binding globulin (SHBG), oestradiol, LH and FSH were measured in 15 hypogonadal men (nine hyper- and six hypo- gonadotrophic) who underwent, in a randomized sequence, three treatment periods each separated by an intervening washout period. The treatments were : (i) intramuscular injection of 250 mg mixed testosterone esters at 2-weekly intervals, (ii) oral testosterone undecanoate 120 mg bd, and (iii) subcutaneous testosterone pellets (6 x 100 mg). Pellet implantation gave the most prolonged effect with free and total testosterone levels being elevated for up to 4 months. This was accompanied by prompt and sustained suppression of plasma LH and FSH, an increase in plasma levels of oestradiol but no change in SHBG levels. In contrast, intramuscular injections induced marked but reproducible week-to-week fluctuations in free and total testosterone, which resulted in a small decrease in plasma SHBG levels, less marked suppression of LH and FSH and a smaller increase in plasma levels of oestradiol. Oral testosterone undecanoate produced the most variable plasma levels of free and total testosterone with a peak in the first treatment week and a fall thereafter and, despite maintenance of testosterone levels within the physiological range, there was no significant suppression of plasma levels of LH and FSH, and oestradiol levels were unchanged but levels of SHBG and total cholesterol were decreased. Free testosterone levels were increased disproportionately during testosterone treatment as the proportion of unbound testosterone was increased by all three treatments. All three testosterone preparations lowered plasma levels of urea and all were without biochemical or haemato- logical toxicity. Reported sexual function was better maintained and side-effects were fewer with parenteral compared with oral treatments. The marked decrease in SHBG and cholesterol levels during oral testosterone undecanoate, when compared with parenteral treatments, occurred despite lesser androgenic effects (suppression of gonadotrophin levels and reported sexual function), which suggests that the liver is exposed to excessive androgenic load via the portal vein during oral treatment with testosterone esters. It is concluded that testosterone pellets give the closest approximation to zero-order (steady-state) delivery conditions for up to 4 months after a single insertion. This is the most satisfactory approximation to physiological androgen replacement currently available, although improvements in androgen preparations are required.
Keywords: testosterone, androgens, clinical trial, hypogonadism, testis, sex hormone-binding globulin, pharmacokinetics, clinical pharmacology.
Introduction
Since the mid 1930s when it was first available, testosterone has been used clinically in a wide variety of pharmaceutical formulations (Wilson & Griffin, 1980; Sokol & Swerdloff, 1986). The principal clinical indication for treatment with testosterone is long-term androgen replacement therapy for hypogonadal men, although a variety of other clinical applications also exist including male contraception and as anabolic agents in anaemias and osteoporosis, in addition to a widespread illicit use of androgens in sports (Wilson & Griffin, 1980). The ideal pharmaceutical formulation of testosterone for use in androgen replacement regimes would be safe, inexpensive, administered in a convenient, infrequent and non-invasive manner, and be able to provide a reproducible, square-wave (zero-order) pattern of release for a prolonged duration. Early attempts to increase the poor oral bioavailability and potency, and short duration of action, of oral testosterone (Foss, 1939) led to the development of testosterone esters as depot preparations (Junkmann, 1957) and orally active substituted testosterone analogs. Subsequently the hepatotoxicity of the 17-alkyl substituted androgens has virtually eliminated them from safe clinical practice (Wilson & Griffin, 1980), which is now dominated by the use of testosterone in the form of injectable esters administered in oily vehicle (Sokol & Swerdloff, 1986). Despite the development of numerous additional pharmaceutical formulations, including subcutaneous pellets (Vest & Howard, 1939), oral (John- sen, Bennett & Jorgensen, 1974), sublingual (Escamilla & Gordan, 1950), nasal drops (Danner & Frick, 1980), dermal gels (Tager & Shelton, 1941) and rectal suppositories (Aakvaag & Vogt, 1969), none of the available formulations is considered ideal. Indeed, due to perceived inadequacies of the available preparations, new formulations with more desirable delivery profiles, such as longer acting esters (Weinbauer, Marshall & Nieschlag, 1986) and biodegradable injectable microspheres (Asch et al., 1986), or more convenient, non-invasive modes of application such as transdermal preparations (Bals-Pratsch et al., 1986) continue to be developed.
Despite the widespread use of current preparations and continued development of these newer formulations, little systematic information is available about the comparative pharmacokinetics and pharmacodynamics of the currently available preparations (Snyder & Lawrence, 1980; Sokol et al., 1982; Cantrill et al., 1984). Therefore, the aim of this randomized sequence, cross-over clinical trial was to compare the pharmacological profile and efficacy of the three most commonly used preparations, namely parenterally injectable testosterone esters, oral testosterone undecanoate and subcutaneous testosterone pellets, as androgen replacement therapy in hypogonadal men. Delivery of exogenous testosterone from any pharmaceutical formulation to androgen responsive tissues after administration is mediated by release from the depot, transport in the circulation by SHBG and transfer of free testosterone by diffusion into cells containing specific androgen receptors. Thus a complete pharmacological evaluation of a testosterone formulation should clarify the pharmacokinetic time-course of delivery of free and total testosterone as well as pharmacodynamic effects on SHBG, LH and FSH levels, and in this study wc have defined and compared these clinical pharmacological patterns for the three testosterone preparations.
Patients and methods
Study design
Hypogonadal men without complicating chronic hepatic, renal or other serious medical illness, and undergoing regular androgen replacement therapy, were re-cruited from the Endocrinology and Andrology clinics at Royal Prince Alfred Hospital, Sydney, Australia. The study design was a randomized, cross-over design with three treatment periods separated by two intervening washout periods, and the protocol was approved by the Royal Prince Alfred Hospital Human Ethics Review Committee. The order of treatments for each subject was determined by the study co-ordinator after subject registration from a list of randomized sequences. The treatments were: (i) intramuscular injection of 250 mg mixed testosterone esters (30 mg testosterone propionate, 60 mg testosterone phenyl- propionate, 60 mg testosterone isocaproate and 100 mg testosterone decanoate; Sustanon) at 14-day intervals for 4 weeks, with a 4 week washout period; (ii) oral testosterone undecanoate (Andriol) 120 mg twice daily for 4 weeks, with a 1 week washout period, and (iii) subcutaneous (lower abdomen) implantation of fused crystalline testosterone pellets (6 x 100 mg); washout was considered complete when monthly plasma testosterone and gonadotrophin levels had returned to the subject’s own baseline values. Blood samples were collected prior to the start of each treatment period, then weekly for 4 weeks and monthly until the end of the pellet period. During oral treatment a blood sample was taken 2 h after medication. Plasma was separated and stored at -20 C until assayed for luteinizing hormone [LH], follicle-stimulating hormone [FSH], total and free testosterone, oestradiol and sex hormone-binding globulin [SHBG]. Testicular volume was estimated by comparison with a Prader orchidometer. Subjects were requested to keep daily logs of sexual function and underwent medical examination and toxicological screening including haematological (Coulter Counter) and biochemical (20- channel autoanalyser) profiles monthly throughout the study period. At the completion of the study period subjects were asked to rate the three forms of therapy in order of preference and continued maintenance on their treatment of choice.
Hormone assays
Hormones (LH, FSH, total testosterone, oestradiol) were measured by radio-immunoassays and free testosterone by centrifugal ultrafiltration (AMICON, Mel-bourne, Australia), as described previously (Handelsman et al., 1984, 1986). Sex hormone-binding globulin was measured by a solid phase commercial radioimmu-noassay (Farmos Diagnostica, 90460, Oulunsalo, Finland). Luteinizing hormone and FSH levels have been expressed in terms of international units per litre (IU/1) of the World Health Organization standards (LH 68/40; FSH 69/104). Within- and between-assay coefficients of variation were < 10% for all assays.
Statistical methods
All data were stored in a customized SIR/DBMS database (Robinson et al., 1980), which provided direct interface to statistical analysis using appropriate BMDP programs (Dixon, 1985); all software was implemented on a VAX 8600 computer. Baseline hormone results have been reported as the medians of the individual (post-washout) baselines for the three treatment periods. Since baseline steroid and SHBG levels did not differ between men with primary and secondary hypogonadism, results for these variables were subsequently pooled across all subjects and serial results across each treatment period were analysed by repeated-measures analysis of variance. Post-hoc comparisons were evaluated by suitable linear contrasts and probability (P) values for hypothesis tests are reported exactly. Where multiple comparisons were unavoidable (e.g. multichannel autoanalysers) the nominal significance levels of group-wise comparisons was maintained by the Bonferroni adjustment. Correlation was performed by the least squares method and the effects of categorical variables on a regression was determined by the method of dummy variables. Sequence effects were evaluated by testing whether the time-course of hormones was influenced if a treatment was administered first or subsequently. In view of the study design (repeated-measures with cross-overs), data are illustrated by a graphical method based on mean between-subject changes from individual baselines for each variable in order to be consistent with the most appropriate analytical methods.
Results
Subjects
The study group comprised 15 androgen-deficient men, of whom nine had primary (hypergonadotrophic) and six had secondary (hypogonadotrophic) hypogonadism. Prior to entry all had received regular androgen replacement therapy with intramuscular injections of mixed testosterone esters for a mean of 5.1 (range 2-11) years, which was ceased at least 4 weeks before commencement of the first study period. Four men were on other medications [bromocryptine-3, thyroxine-2, cortisone acetate-2, insulin-lj and these were continued unchanged throughout the study. Apart from one man who was withdrawn from the trial due to the development of an unrelated medical illness, all subjects completed the full trial protocol.
Design validity
Prior to entry into the trial, men with primary and secondary hypogonadism did not differ in anthropometric (age, height, weight, testicular volume) or in hormonal (testosterone, SHBG, oestradiol) variables apart from the differences (expected by selection) in plasma LH and FSH levels. Since there variables apart from the gonadotrophins were pooled for subsequent analysis. The randomization was successful in producing balance in all baseline anthropometric and hormonal variables across treatment groups. Baseline levels in plasma of LH, FSH, SHBG and oestradiol were similar (P > 0.15) at entry to each of the three treatment periods. However, testosterone levels were higher (free: F = 12.2, P = 0.0002; total: F — 9.4, P = 0.001) at entry to the pellet period, compared with either of the other two baselines. This unexpected finding was attributable to the prolonged washout period used after pellet treatment unlike the predetermined fixed-length washout periods used for the other two treatments. This had the effect that treatment periods following pellet treatment (i.e. the other two treatments) had lower testosterone baselines due to more complete washout. Randomization sequence effects were excluded for all of the hormone time-courses apart from LH and FSH suppression during pellet treatment, which was significantly greater following, compared with that preceding, other treatments. This was also attributed to variations in completeness of the washout periods. The effects on the overall analysis of the post-hoc design problem of incomplete washout was relatively minor since all results were considered as individual changes from the subject’s own averaged baselines. The net effect, although small, was to underestimate the apparent increases in testosterone levels and the suppression of LH and FSH during pellet treatment alone.
Table 1. Comparison of men with primary and secondary hypogonadism.

Plasma testosterone and oestradiol
Free and total testosterone levels increased markedly above baseline in all three treatments with distinctly different time-courses (Figs 1-3). Free and total testos-terone were closely correlated (overall r = 0.938, n = 315) and this correlation was influenced by underlying diagnosis (primary vs secondary hypogonadism; t = 3.5, P = 0.0005) and treatment (t = 2.3, P = 0.021) but did not differ between individuals (t = 0.2, P > 0.8). These effects of diagnosis and treatment were accounted for entirely by variations in SHBG levels since they were removed completely by inclusion of SHBG as a co-variate in the regression of free or total testosterone.

Figure 1. Serial changes in (a) total (□), free (O) and percentage unbound (■) testosterone, (b) LH (▲) and FSH (Δ) and (c) SHBG (●) levels in plasma during 24 weeks alter subdermal implantation of fused crystalline testosterone pellets (6 x 100 mg) into the abdominal wall in 15 hvpogonadai subjects. Note that all hormones values are plotted as the mean ± SEM ol changes from the subject's individual baselines and gonadotrophin levels are reported only for men (n = 9) with hypergonadotrophic hypogonadism.

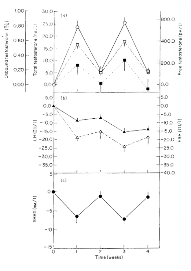
Figure 2. Serial changes in (a) total (□), free (O) and percentage unbound (■) testosterone, (b) LH (▲) and FSH ( Δ ) and (c) SHBG (●) levels in plasma during 4 weeks after intramuscular injections at 14-day intervals of 250 mg mixed testosterone esters in oily solution in 15 hypogonadal subjects. Note that all hormones values are plotted as the mean ± SEM of changes from the subject's individual baselines and gonadotrophin levels are reported only for men (n = 9) with hypergonadotrophic hypogonadism.
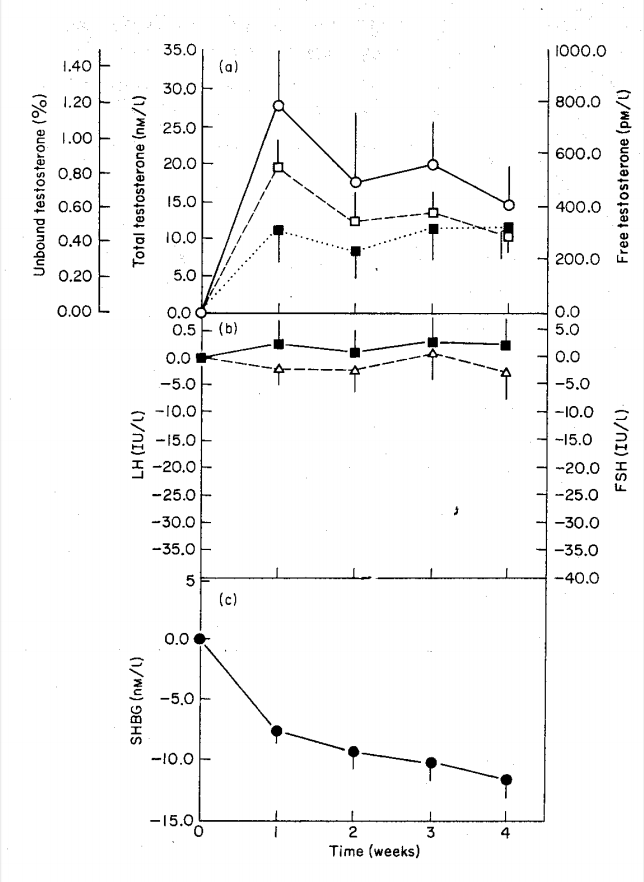
Following pellet implantation (Fig. 1), testosterone levels peaked at week 3 (free: 945 ± 77 pmol/1; total: 28.7 ± 2.6 nmol/1; unbound: 3.29 ± 0.17%) and declined gradually until week 20 when they were then indistinguishable from pretreatment baseline levels. After intramuscular injections (Fig. 2), testosterone levels fluctuated markedly from week to week, being elevated 1 week after injection (free: 797 ± 80 and 829 ± 81 pmol/1; total: 26.3 ± 2.3 and 27.1 ± 2.1 nmol/1; unbound: 3.06 ± 0.17 and 3.14 ± 0.16% at weeks 1 and 3, respectively) and much lower (free: 382 ± 37 and 363 ± 33 pmol/1; total: 13.9 ±1.3 and 13.3 ±1.1 nmol/1; unbound: 2.82 ± 0.17 and 2.77 ± 0.16% at weeks 2 and 4, respectively) 2 weeks after injection. Although lower, testosterone levels in the second week after injection remained significantly higher than pre-injection baseline (free: P = 0.0003; total: P = 0.0003; unbound: P = 0.012). Testosterone levels after each injection were reproducible since plasma levels did not differ significantly at the 1 week post-injection peak (i.e. study weeks 1 vs 3; free: P = 0.724; total: P = 0.785; unbound: P = 0.231) and the 2 week post-injection trough (i.e. study weeks 2 vs 4; free: P = 0.347; total: P = 0.371; unbound: P = 0.646). During oral treatment (Fig. 3), testosterone levels peaked at week 1 (free: 1039 ± 241 pmol/1; total: 28.4 ± 5.2 nmol/1; unbound: 3.31 ± 0.21%) and declined during the subsequent weeks. The averaged between-subject variability of testosterone levels was greater during oral (pooled SEM; free: 478 pmol/1; total: 11.1 nmol/1) than with either intramuscular (free: 363 pmol/l; total: 4.9 nmol/1) or pellet (free: 227 pmol/1; total: 6.5 nmol/1) treatment. Oestradiol levels increased significantly during paren-teral therapy with pellets (F=7.4, F < 0.0001) and marginally during intramuscular injections (F = 2.6, P - 0.05), whereas oral treatment had no effect on oestradiol levels (F = 0.8, P = 0.52).

Figure 3. Serial changes in (a) total (□), free (O) and percentage unbound (■) testosterone, (b) LH (A) and FSH (A) and (c) SHBG (●) levels in plasma during 4 weeks of daily ingestion of testosterone undecanoate (120 mg twice daily) in 15 hypogonadal subjects. Note that all hormones values are plotted as the mean ± SEM of changes from the subject’s individual baselines and gonadotrophin levels are reported only for men (n = 9) with hypergonadotrophic hypogonadism.
Plasma SHBG
Sex hormone-binding globulin levels did not change during pellet implantation (F = 1.3, P = 0.258) but were reduced in response to testosterone administration by intramuscular (F = 5.4, P = 0.001) or oral (F = 33.8, F < 0.0001) routes. Following intramuscular injections, SHBG levels 1 week post-injection were reduced reproducibly by approximately 20%, whereas by 2 weeks post-injection they had returned to levels indistinguishable from pre-injection baseline. During oral treat-ment, SHBG levels fell most markedly to approximately 50% of baseline after 1 week and remained suppressed for the full duration of the treatment. Overall, the SHBG level was correlated inversely with the percentage unbound testosterone (r = A).368, n = 300, P = 0.00001), although SHBG levels were not correlated significantly with testosterone (free: r = 0.033, P = 0.573; total: r = 0.105, P = 0.067) or oestradiol (r = 0.056, P = 0.337) levels. The correlation of SHBG levels with unbound testosterone was influenced by underlying diagnosis (t = 3.9, P = 0.0001), treatment (t = 5.5, P < 0.0001) and between-subject effects (t = 5.5, P < 0.0001).
Plasma LH and FSH
Serial LH and FSH levels were not altered by testosterone treatment in men with secondary (hypogonadotrophic) hypogonadism so that analysis was restricted to men with primary (hypergonadotrophic) hypogonadism. In these men, LH and FSH levels were suppressed promptly apd progressively by either pellet (F = 6.9 and 7.7, respectively, both P < 0.0001) or intramuscular injections (F = 16.4 and 17.5, P < 0.0001). Both LH and FSH levels were related inversely to total (r = -0.227, P = 0.002 and r = -0.267, P = 0.0002) and free (r = -0.164, P = 0.023 and r = -0.187, P = 0.010) testosterone levels overall. The reciprocal relationship between gonadotrophin and testosterone levels was influenced significantly by the various treatments (F > 6.8, P < 0.00001) independent of the influence of SHBG levels and between-subject differences.
During pellet treatment, the lowest plasma levels of LH and FSH were achieved at week 8 (9.5 ± 3.3 IU/1 and 13.3 ±5.9 IU/1) with return to baseline levels by week 20. Intramuscular injections also produced progressive suppression of LH and FSH with a nadir at week 3 (13.5 ± 4.0 and 18.9 ± 6.2 IU/1); however, nadir values for LH and FSH following intramuscular injections were significantly higher than those obtained during pellet treatment. In contrast to parenteral therapies, there was no significant fall in LH or FSH levels during oral therapy (F = 0.2 and 1.6, P > 0.2). Although the degree of suppression of both LH and FSH were proportionately similar (e.g. 33% and 34% during pellet treatment), in absolute terms the nadir mean LH values fell into the eugonadal range (0-12 IU/1) whereas nadir mean FSH values remained markedly elevated beyond eugonadal levels (0-7 IU/1).
Biochemistry and haematology
There were no significant baseline pretreatment differences between men with primary compared with secondary hypogonadism in biochemical or haematological variables. The only significant changes observed during testosterone treatment were a fall in plasma urea, cholesterol and aspartate aminotransferase (Table 2). The fall in plasma urea was equivalent for all three treatments (6.04 vs 7.05 mmol/1, F — 38.5, P < 0.0001). The decrease in plasma total cholesterol was restricted to oral treatment with testosterone undecanoate (5.27 vs 5.58 mmol/1, F= 11.6, P = 0.005). There was no significant change overall during the trial in any other biochemical (sodium, potassium, chloride, bicarbonate, glucose, creatinine, calcium, phosphate, uric acid, bilirubin, total protein, albumin, alkaline phosphatase, alanine, aminotransferase, gamma glutamyl transferase, iron) or haematological (red cell, leucocyte, platelet or differential leucocyte counts, haemoglobin, haema- tocrit, mean corpuscular volume) variables.
Table 2. Effects of testosterone treatment on plasma biochemistry.

Clinical response
Subjective reports of androgenic effects (libido and potency, muscular strength and general well-being) were generally satisfactory during both intramuscular injections and pellet treatments. In contrast only three of 14 patients reported consistently adequate androgenic effects with oral treatment. At the end of the study six patients elected to remain on intramuscular injections, six on pellet and two on oral treatment.
Side-effects
No side-effects were reported during intramuscular treatment by the subjects who were already familiar with this form of treatment. The only side-effect observed during pellet treatment was extrusion, and six of 15 subjects had at least one pellet extrude. Pellets were extruded at any time from 1 to 5 months after insertion, but clinical and/or biochemical androgenic effects were diminished only where three or more pellets were lost. In none of the extrusions was there any evidence of wound infection. During oral treatment six of 14 subjects complained of gastrointestinal symptoms, predominantly nausea, although in no subject did this require cessation or interruption of treatment.
Discussion
Direct measurement of free and, by implication, biologically active testosterone (Riad-Fahmy etal., 1982) has seldom been reported in clinical trials of testosterone replacement therapy. The three formulations in this study all produced marked increases of plasma free testosterone levels into the physiological range with, however, very distinctive pharmacokinetic and pharmacodynamic profiles. Testos-terone pellet implants increased plasma free testosterone levels, which were main-tained in the physiological range for up to 4 months. This was accompanied by marked suppression of LH and FSH levels, which were inversely related to testosterone levels, an increase in oestradiol but no change in SHBG levels. The other parenteral regime, intramuscular injections of testosterone esters every 14 days, also produced very marked (but reproducible) week-to-week fluctuations in plasma free testosterone levels, which were increased into the high-normal range at 7 days but returned to near pre-injection baseline after 14 days. After each intramuscular injection, SHBG decreased and oestradiol increased while LH and FSH levels were progressively suppressed. Although both gonadotrophin levels were suppressed by either form of parenteral administration of testosterone, the suppression of LH was more effective, resulting in levels within the physiological range, whereas even at nadir levels FSH levels remained markedly supraphysio- logical, supporting the role of inhibin as a non-steroidal negative feedback regulator of FSH levels (Findlay, 1986). Oral treatment with testosterone undecanoate increased plasma free testosterone levels into the physiological range during continued ingestion of the drug, although a gradual decline after the first week and marked between-subject variability in plasma levels were apparent. In contrast to parenteral testosterone, oral treatment had no effect on LH, FSH or oestradiol levels but induced a marked suppression in SHBG levels. Since the plasma testosterone levels were similar among the three regimes and hormonal effects of parenteral formulations were clearly evident within the first 2 weeks, it is most likely that the observed differences in hormonal responses in this study are attributable to the routes of administration rather than to testosterone dose or duration.
Total and free testosterone concentrations were increased markedly by exogenous testosterone whether it was esterified or not. The increases in plasma free testosterone were, however, disproportionately greater than the increases in plasma total testosterone, as indicated by the consistently increased proportion of unbound testosterone during all three treatment regimes. Thus, despite the generally close correlation between free and total testosterone, plasma free testosterone levels during exogenous testosterone treatment cannot necessarily be directly inferred from plasma total testosterone levels, which would systematically underestimate the unbound levels, particularly where SHBG levels are altered. The direct measurements of plasma free testosterone and the proportion of unbound testosterone following testosterone administration in hypogonadal men in this study confirm and extend the limited previous observations confined to measurements by dialysis (Demisch & Nickelsen, 1983) and inferred from salivary testosterone levels (Wang et al., 1981; Riad-Fahmy et al., 1982; Schurmeyer et al., 1983; Schurmeyer & Nieschlag, 1984). Direct estimates by centrifugal ultrafiltration in this study support previous observations by equilibrium dialysis in showing that, following a single intramuscular injection of esterified testosterone, free testosterone levels were disproportionately increased since the non-protein bound fraction of testosterone also increased (Demisch & Nickelsen, 1983). In contrast, salivary testosterone levels are reported to represent an unvarying fraction of plasma total testosterone levels (Wang et al., 1981; Schurmeyer et al., 1983). This suggests that estimates of free testosterone by dialysis, but not necessarily those from salivary measurements, provide additional non-redundant biological information on the pharmacokinetics of exogenous testosterone. The interpretation of salivary testosterone levels has recently been questioned since salivary glands avidly metabolize testosterone rather than allowing passive diffusional equilibration (Cefalu et al., 1986). These authors suggest that the correlation of salivary with plasma total testosterone levels (reviewed in Riad-Fahmy et al., 1982) could be spurious. Alternatively, even trace contamination of saliva with blood from the oral cavity could bias apparent salivary steroid measurements since the blood levels are fifty-fold higher. Such trace contamination could explain the very wide range of reported normal levels in salivary testosterone (Riad-Fahmy etal., 1982) as well as producing an artefactual correlation with plasma total testosterone levels. The observed time-course of plasma levels of total testosterone generally confirms previous reports of fixed-dose, single agent trials with oral testosterone undeca- noate (Skakkebaek et al., 1981; Cantrill et al., 1984), intramuscular esters (Nieschlag et al., 1976; Schulte-Beerhul & Nieschlag, 1980; Snyder & Lawrence, 1980; Sokol et al., 1982; Demisch & Nickelsen, 1983) and very limited information on testosterone pellets (Cantrill et al., 1984).
The overall tight correlation of free and total testosterone is attributable primarily to the specific, high-affinity binding of circulating testosterone by SHBG (Dunn, Nisula & Rodbard, 1981). The marked decrease in circulating SHBG levels induced by oral testosterone undecanoate treatment are in sharp contrast with the much lesser decreases (20% for intramuscular, nil for pellet) observed after parenteral testosterone treatment. These discrepancies occur despite comparable circulating testosterone levels and even greater gonadotrophin suppression (indicative of greater androgenic negative feedback effect) by parenteral treatments in the same subjects. Together with the lack of correlation between SHBG and circulating sex steroid (free or total testosterone, oestradiol) levels, this strongly suggests that the oral route of androgen administration is specifically associated with reduced plasma SHBG levels. We propose that the fall in SHBG levels is due to exposure of the liver to supraphysiological testosterone levels. Following oral testosterone undecanoate ingestion, the liver may be exposed to excessive androgen levels via the hepatic portal vein blood, which drains the gastrointestinal tract and supplies most of the hepatic blood flow. The smaller effect on SHBG levels observed after intramuscular testosterone treatment may be due to the marked supraphysiological elevation in circulating (peripheral and portal) testosterone levels reported within the first few days after injection (Sokol et al,, 1982; Cantrill et al., 1984), whereas the unchanged SHBG levels during pellet treatment may reflect the more stable physiological testosterone levels obtained without overshoot or extreme portal- peripheral gradient.
The excessive androgenic (‘first-pass’) impact of oral testosterone undecanoate on the liver, as exemplified by the decreased SHBG and plasma total cholesterol (and presumably lipoprotein) levels, is presumably related to its mechanism of absorption from the gastrointestinal tract. Although the intact undecanoate ester of testosterone is absorbed preferentially via intestinal and thoracic duct lymphatics, the bulk of an orally administered dose of the undecanoate is hydrolysed at the gut wall, and the metabolites absorbed via the portal vein (Coert et al., 1975; Horst et al., 1976). Therefore, quantitatively the bulk of an androgenic dose enters the hepatic portal vein and this is likely to exert a major direct androgenic effect on the liver that is out of proportion with the androgenic effect exerted on the post-hepatic circulation into which the unmetabolized testosterone is distributed and diluted. This postulate is supported by similar effects of oral micronized unesterified testosterone on hepatic biochemical function (Johnsen et al., 1976). Presumably the excessive effects of androgens are due to decreases in hepatic synthesis and/or secretion of SHBG, although the liver may also be a site of SHBG metabolism (Belogorsky, Scorticati & Rivarola, 1983).
A similar degree of suppression of SHBG levels has been reported after oral administration of testosterone undecanoate (Skakkebaek et al., 1981; Sarris, Swyer & Lawrence, 1977) and intramuscular injection of testosterone esters, but not after human chorionic gonadotrophin (hCG) injection (Plymate et al., 1983). As with testosterone pellets, the failure of hCG to lower SHBG levels may be due to the less extreme elevations of endogenous testosterone (Padron et al., 1980) as a consequence of hCG-induced desensitization of the Leydig cells. These effects of excessive androgen levels and the dependence of the hepatic response on the route of administration may be analogous to the exaggerated local effects on the liver observed in women receiving oral, as opposed to parenteral, oestrogens (Lignieres et al., 1986), where changes in a variety of hepatic proteins (lipoproteins, renin substrate, antithrombin activity and SHBG) follow oral but not percutaneous oestradiol administration. Thus, unphysiological modes of administration rather than hormonal treatment per se may create or increase risks of the undesirable consequences, such as vascular disease, thromboembolism, hypertension and lipid abnormalities, which have been ascribed to sex steroid treatment. It may, therefore, be postulated that parenteral formulations of testosterone, which provide steady- state release patterns and avoid extreme supraphysiological peaks in testosterone delivery profile, may avoid potentially harmful effects on hepatic function such as lipoprotein profiles (Webb, Laskarzewski & Glueck, 1984; Baker & Balasz, 1986). These androgen-induced effects on hepatic biochemical function must be distinguished from the hepatotoxicity, which was not observed in this trial nor after up to 6 years of treatment with oral testosterone undecanoate (Gooren, 1986). The lack of gonadotrophin suppression by a fixed dose oral testosterone undecanoate regime (Weil et al., 1980; Skakkebaek et al., 1981), together with the patients’ subjective evaluation of poor androgenic effects, may be a reflection of poor peripheral (i.e. post-hepatic) androgenization achieved by this regime despite the high doses used and prominent androgenic effects on the liver.
The gradual decline in plasma free and total testosterone over the 4 weeks of treatment with oral testosterone undecanoate has not been described previously and is most likely a reflection of the decline in SHBG levels with the associated increase in metabolic clearance rate of testosterone (Southren, Gordon & Tochi- moto, 1968; Johnsen et al., 1976). Variable compliance might be considered important in view of the subjects’ reports of inadequate androgenic effects and gastrointestinal side-effects, since lack of reinforcement by perceived benefits, high medication frequency and undesirable side-effects all predispose to reduce therapeutic compliance (Haynes, Taylor & Sackett, 1979). Nevertheless, it remains an unlikely explanation since the medication was supervised at weekly visits and no evidence of inadequate compliance or discrepancies in pill counts was observed. Furthermore, the persistently lowered SHBG levels throughout the test period indicate a continuing drug effect. The marked variability in plasma testosterone levels after oral testosterone undecanoate, which confirms previous observations (Nieschlag etal., 1975; Weil etal., 1980; Schurmeyer & Nieschlag, 1983; Cantrill et al., 1984), is presumed to be due to an erratic rate and extent of gastrointestinal absorption. The true diurnal variability of circulating testosterone levels may even have been underestimated in this study since the sampling time was fixed in relation to dosage.
Pellet implantation demonstrates many of the ideal features for androgen replacement therapy since, compared with the other two preparations in current use, it is the least expensive and provides reproducible, quasi-zero-order release for at least 4 months. In view of its generally favourable features, it is therefore remarkable that, although pellet implantation was first described nearly 50 years ago (Vest & Howard, 1939), the use of pellets has not gained widespread acceptance. It may be that the lack of information about its favourable pharmacokinetic and pharmacodynamic profile have contributed to this. The major limitation of this modality, however, is that its administration, despite being infrequent, is the most invasive — requiring a local anaesthetic and minor surgery — and requires some experience to avoid extrusions. Improvements in the implantation procedure to reduce the size and number of pellets required, by using more potent and safe androgens (e.g. dihydrotestosterone, 19-nortestosterone), might ameliorate this limitation.
Another feature of interest is the degree of variability in plasma testosterone profiles during these three regimes. In contrast to the stability of testosterone levels during pellet treatment over prolonged periods (months), marked day-to-day (intramuscular) and especially hour-to-hour (oral) fluctuations in testosterone levels may have contributed to the observed differences in suppression of gonadotrophins and SHBG levels. Studies have indicated that steady-state testosterone levels are more effective than intermittent doses of testosterone in maintaining stable androgenic effects in castrated animals (Decker, Loriaux & Cutler, 1981). Furthermore, highly variable testosterone levels may compromise the use of testosterone as an adjunctive therapy in male contraceptive regimes since intermittent very high plasma testosterone levels may counteract the spermatogenic suppression of a variety of compounds (Bint Akhtar, Marshall & Nieschlag, 1983; Weinbauer, Surmann & Nieschlag, 1987). Thus, the relative stability of plasma testosterone levels might make the implant or similar quasi-zero-order release testosterone preparations favourable for androgen replacement and synergistic effects in suppressing spermatogenesis. Injectable testosterone esters were only marginally more expensive than pellets, had equal safety and provided reproducible time-courses of plasma testosterone. However, the need for relatively frequent injections and the grossly unphysiological pharmacokinetics are limitations of this modality. In comparison, the oral testosterone ester was the most expensive. Although it avoided parenteral administration, the convenience of oral administration has to be balanced against the requirement for multiple daily doses, lower acceptability, more erratic pharmacokinetics, and unphysiological pharmacodynamics, which suggest a disproportionate androgenic load on the liver compared with peripheral tissues. These limitations of the current testosterone ester preparations could be removed if the pattern of absorption of the esters from the vehicle depot could be regulated more carefully to produce more prolonged and steady-state type release. The major factor regulating the rate-limiting step in testosterone delivery from these preparations is the differential solvent partitioning of the testosterone esters between the oily vehicle and the aqueous extracellular fluid, since the esters are hydrolysed rapidly in tissues and the bloodstream (Sokol et al., 1982) or in the gut wall or liver (Coert et al., 1975; Horst et al., 1976) to liberate testosterone. Thus, increasing the hydrophobicity of side-chains should retard the rate of release of esters (by physicochemical partitioning) from the oily injection vehicle or favour preferential absorption into the intestinal lymphatics rather than the portal vein. More recent studies have suggested limitations of this approach since side-chain effects in varying pharmacokinetic profiles have been absent (Schulte-Beerbuhl & Nieschlag, 1980) or very slight (Schurmeyer & Nieschlag, 1984; Belkein et al.,1985). These limitations may, however,,reflect the relatively narrow range of side- chains tested so far (Junkmann, 1957), and a recent report suggests that a novel hydrophobic side-chain ester can prolong the duration of plasma testosterone elevations beyond those of testosterone enanthate in primates (Weinbauer et al., 1986) . However, this ester has yet to be tested in man and ultimately it remains unclear whether the initial excessive overshoots in plasma testosterone levels can be avoided with this modality.
In summary, the time-course of plasma free testosterone and the effects on plasma levels of LH, FSH and SHBG varied markedly between the three testosterone preparations. However, despite the distinctive pharmacokinetic and phar-macodynamic profiles, none of these can yet be considered ideal. Whereas both oral and intramuscular testosterone esters produce marked fluctuations in plasma testosterone levels, the pellet form appeared to produce the most stable plasma testosterone levels and has by far the lowest dosing frequency. These differences may enhance flexibility in various applications, e.g. the oral undecanoate may be preferable for slow initiation of replacement therapy, for androgen-sensitive subjects or for men with gynaecomastia, whereas the parenteral forms are more effective in subjects in whom marked androgenic effects are desirable. The biochemical consequences of testosterone replacement therapy were also route- dependent, and the decreases in SHBG and cholesterol levels after oral testosterone undecanoate imply that this formulation exerts a pronounced androgenic effect on the liver out of proportion with its lesser androgenic effects on the peripheral post-hepatic tissues so the metabolic consequences of excessive andro- genization of the liver warrant further study. It is likely that the lack of an ideal form of testosterone for replacement therapy will require the development of newer formulations with more desirable androgenic delivery properties and that the pharmacological profiles described here may assist in the planning of comparative studies.
Acknowledgements
We thank Organon (Australia) Pty Ltd for support in conducting this trial and the staff of the Endocrinology laboratory for their expert help in performing the assays.
This study was supported by the National Health and Medical Research Council of Australia and the Wellcome Trust.
References
Aakvaag, A. & Vogt, J. (1969) Plasma testosterone values in different forms of testosterone treatment. Acta Endocrinologica, 60, 537-542.
Asch, R., Heitmen, T. O., Gilley, R. M. & Tice, T. R. (1986) Preliminary results on the effects of testosterone microcapsules. In: Male Contraception: Advances and Future Prospects (eds G. I. Zatuchni, A. Goldsmith, J. M. Spieler and J. J. Sciarra), pp. 347-360. Harper & Row, London.
Baker, H. W. G. & Balasz, N. (1986) Adverse lipid profile in hypogonadal men, reduction of HDLC with testosterone treatment. Proceedings of the Annual Scientific Meeting of the Endocrine Society of Australia, 29, abstr. 25.
Bals-Pratch, M., Knuth, U. A., Yoon, Y. D. & Nieschlag, E. (1986) Transdermal testosterone substitution therapy for male hypogonadism. Lancet, ii, 943-946.
Belkein, L., Schurmeyer, T., Hano, R., Gunnarsson, P. O. & Nieschlag, E. (1985) Pharmacokinetics of 19-nortestosterone esters in normal men. Journal of Steroid Biochemistry, 22, 623-629.
Belogorsky, A., Scorticati, C. & Rivarola, M. A. (1983) Sex hormone binding globulin in arterial and in peripheral, hepatic, renal and spermatic venous blood of children and adults. Acta Endocrino-logica, 103, 428-432.
Bint Akhtar, F., Marshall, G. R. & Nieschlag, E. (1983) Testosterone supplementation attenuates the antifertility effect of an LHRH agonist in male rhesus monkeys. International Journal of Andrology, 6, 461-468.
Cantrill, J., Dewis, P., Large, D., Newman, M. & Anderson, D. (1984) Which testosterone replacement therapy? Clinical Endocrinology, 21, 97-107.
Cefalu, W. T., Pardridge, W. M., Chaudhuri, G. & Judd, H. L. (1986) Serum bioavailability and tissue metabolism of testosterone and estradiol in rat salivary glands. Journal of Clinical Endocrinology and Metabolism, 63, 20-28.
Coert, A., Geelen, J., de Visser, J. & van der Vies, J. (1975) The pharmacology and metabolism of testosterone undecanoate (TU), a new orally active androgen. Acta Endocrinologica, 79, 789-800.
Danner, C. & Frick, J. (1980) Androgen substitution with testosterone containing nasal drops. Inter-national Journal of Andrology, 3, 429-435.
Decker, M. H., Loriaux, D. L. & Cutler, D. B. (1981) A seminiferous tubular factor is not obligatory for regulation of plasma follicle stimulating hormone. Endocrinology, 108, 1035-1039.
Demisch, K. & Nickelsen, T. (1983) Distribution of testosterone in plasma proteins during replacement therapy with testosterone enanthatc in patients suffering from hypogonadism. Andrologia, 15, 536-541.
Dixon, W. J. (1985) BMDP Statistical Software, University of California Press, Berkeley.
Dunn, J. F., Nisula, B. C. & Rodburd, D. (1981) Transport of steroid hormones: binding of 21 endogenous steroids to both testosterone-binding globulin and corticostcroid-binding globulin in human plasma. Journal of Clinical Endocrinology and Metabolism, 53, 58-68.
Escamilla, R. F. & Gordan, G. S. (1950) Efficacy of testosterone compounds administered sublingually to hypogonadal men. Journal of Clinical Endocrinology, 10, 248-264.
Findlay, J. (1986) The nature of inhibin and its use in the regulation of fertility and diagnosis of infertility. Fertility and Sterility, 46, 770-783.
Foss, G. L. (1939) Clinical administration of androgens. Lancet, i, 502-504.
Gooren, L. (1986) Long-term safety of the oral androgen testosterone undecanoate. International Journal of Andrology, 9, 21-26.
Handelsman, D. J., Conway, A. J., Boylan, L. M. & van Nunen, S. A. (1986) Testicular function and fertility in men with homozygous alpha-1 antitrypsin deficiency. Andrologia, 18, 406-412.
Handelsman, D. J., Conway, A. J., Boylan, L. M. & Turtle, J. R. (1984) Testicular function in potential sperm donors: normal ranges and the effects of smoking and varicocele. International Journal of Andrology, 7, 369-382.
Haynes, R. B., Taylor, D. W. & Sackett, D. L. (eds) (1979) Compliance In Health Care. John Hopkins University Press, Baltimore.
Horst, H., Holtje, W., Dennis, M., Coert, J., Geelen, J. & Voigt, K. (1976) Lymphatic absorption and metabolism of orally administered testosterone undecanoate in man. Klinische Wochenschrift, 54, 877-879.
Johnsen, S. G., Bennett, E. P. & Jensen, V. G. (1974) Therapeutic effectiveness of oral testosterone. Lancet, ii, 1473-1475.
Johnsen, S., Kampmann, J., Bennett, E. & Jorgensen, S. (1976) Enzyme induction by oral testosterone. Clinical Pharmacology and Therapeutics, 20, 233-237.
Junkmann, K. (1957) Long-acting steroids in reproduction. Recent Progress in Hormone Research, 13, 389-419.
Lignieres, B., Basdevant, A., Thomas, G., Thalabard, J., Mercier-Bodard, C., Conard, J., Guyene, T., Mairon, N., Corvol, P., Guy-Grand, B., Mauvais-Jarvis, P. & Sitruk-Ware, R. (1986) Biological effects of estradiol-17 beta in postmenopausal women: oral versus percutaneous administration. Journal of Clinical Endocrinology and Metabolism, 62, 536-541.
Nieschlag, E., Cuppers, H. J., Wiegelmann, W. & Wickings, E. J. (1976) Bioavailability and LH suppressing effect of different testosterone preparations in normal and hypogonadal men. Hormone Research, 7, 138-145.
Nieschlag, E., Mauss, J., Coert, A. & Kivocic, P. (1975) Plasma androgen levels in men after oral administration of testosterone or testosterone undecanoate. Acta Endocrinologica, 79, 366-374.
Padron, R. S., Wischusen, J., Hudson, B., Burger, H. G. & de Kretser, D. M. (1980) Prolonged biphasic response of plasma testosterone to single intramuscular injection of human chorionic gonadotropin. Journal of Clinical Endocrinology and Metabolism, 50, 1100-1104.
Plymate, S., Leonard, J., Paulsen, C., Fariss, B. & Karpas, A. (1983) Sex hormone-binding globulin changes with androgen replacement. Journal of Clinical Endocrinology and Metabolism, 57, 645-648.
Riad-Fahmy, D., Read, G. F., Walker, R. F. & Griffiths, K. (1982) Steroids in saliva for assessing endocrine function. Endocrine Reviews, 3, 367-395.
Robinson, B. N., Anderson, G. D., Cohen, E., Gadzik, W. F., Karpel, L. C., Miller, A. H. & Stein, J. R. (1980) SIR Users Manual — Version 2. Scientific Information Retrieval Inc., Evanston, Illinois, U.S.A.
Sards, S., Swyer, G. & Lawrence, D. (1977) Hypogonadal men treated with oral testosterone undeca-noate. Acta Europaea Fertilitas, 8, 297-299.
Schulte-Beerbuhl, M. & Nieschlag, E. (1980) Comparison of testosterone, dihydrotestosterone, lutein- ising hormone and follicle stimulating hormone in serum after injection of testosterone enarithate or testosterone cypionate. Fertility and Sterility, 33, 201-203.
Schurmeyer, T. & Nieschlag, E. (1984) Comparative pharmacokinetics of testosterone enanthate and testosterone cyclohexanecarboxylate as assessed by serum and salivary testosterone levels in normal men. International Journal of Andrology, 7, 181-187.
Schurmeyer, T., Wickings, E., Freischem, C. & Nieschlag, E. (1983) Saliva and serum testosterone following oral testosterone undecanoate administration in normal and hypogonadal men. Acta Endocrinologica, 102, 456-462.
Skakkebask, N. E., Bancroft, J., Davidson, D. & Warner, P. (1981) Androgen replacement with oral testosterone undecanoate in hypogonadal men: a double blind controlled study. Clinical Endo-crinology, 14, 49-61.
Snyder, P. & Lawrence, D. (1980) Treatment of male hypogonadism with testosterone enanthate. Journal of Clinical Endocrinology and Metabolism, 51, 1335-1339.
Sokol, R. Z., Palacios, A., Campfield, L. A., Saul, C. & Swerdloff, R. S. (1982) Comparison of the kinetics of injectable testosterone in eugonadal and hypogonadal men. Fertility and Sterility, 37, 425-430.
Sokol, R. Z. & Swerdloff, R. S. (1986) Practical considerations in the use of androgen therapy. In: Male Reproductive Dysfunction (eds R. J. Santen and R. S. Swerdloff), pp. 211-225. Marcel Dekker, New York.
Southren, A. L., Gordon, G. G. & Tochimoto, S. (1968) Further studies of factors affecting metabolic clearance rate of testosterone in man. Journal of Clinical Endocrinology and Metabolism, 28, 1105-1112.
Tager, B. M. & Shelton, E. K. (1941) Testosterone propionate inunction and methyl testosterone orally. Journal of Clinical Endocrinology, 1, 131-133.
Vest, S. A. & Howard, J. E. (1939) Clinical experiments with androgens. IV: a method of implantation of crystalline testosterone. Journal of the American Medical Association, 113, 1869-1872.
Wang, C., Plymate, S., Nieschlag, E. & Paulsen, C. A. (1981) Salivary testosterone in men: further evidence of a direct correlation with free serum testosterone. Journal of Clinical Endocrinology and Metabolism, S3, 1021-1024.
Webb, O. L., Laskarzewski, P. M. & Glueck, C. J. (1984) Severe depression of high-density lipoprotein cholesterol levels in weight lifters and body builders by self-administered exogenous testosterone and anabolic-androgenic steroids. Metabolism, 33, 971-975.
Weil, J., Bidlingmaier, O., Butenandt, W., Sippell, W., Baumgartner, W. & Knorr, D. (1980) Treatment of anorchia with oral testosterone undecanoate: pharmacodynamics and clinical effectiveness. Acta Endocrinologica, 95, 244-250.
Weinbauer, G. F., Marshall, G. R. & Nieschlag, E. (1986) New injectable testosterone ester maintains serum testosterone of castrated monkeys in the normal range for four months. Acta Endocrinologica, 113, 128-132.
Weinbauer, G. F., Surmann, F. J. & Nieschlag, E. (1987) Suppression of spermatogenesis in a nonhuman primate (Macaca fascicularis) by a concomitant gonadotropin-releasing hormone antagonist and testosterone treatment. Acta Endocrinologica, 114, 138-146.
Wilson, J. D. & Griffin, J. E. (1980) The use and misuse of androgens. Metabolism, 29, 1278-1295.