H. M. BUCKLER1, W. R. ROBERTSON, AND F. C. W. WU2
Department of Endocrinology and Medicine, University of Manchester, Hope Hospital (H.M.B.,W.R.R.), Salford, United Kingdom M6 8HD; and Manchester Royal Infirmary (F.C.W.W.), Manchester, United Kingdom M13 9PL.
Address all correspondence and requests for reprints to: Dr. H. M. Buckler, Department of Endocrinology and Medicine, University of Manchester, Hope Hospital, Eccles Old Road, Salford, United Kingdom M6 8HD.
⚹This work was supported by Organon Ltd. (UK) and Ethical Pharmaceutical (UK).
Abstract
Although the postmenopausal ovary remains an important source of testosterone (T) production, there is nevertheless a decline in total circulating androgen levels with age. A role for androgen replacement in addition to estrogens in some postmenopausal, particularly ovari- ectomized, women is increasingly gaining acceptance. We have compared the pharmacokinetics of two existing testosterone preparations, oral testosterone undecanoate (TU) and sc testosterone implants, with a new matrix transdermal delivery system for T. In study 1, three different doses of TU (40 mg, two 20-mg doses 6 h apart and two 10-mg doses 6 h apart, orally) were investigated in 10 postmenopausal women. Median peak levels of 18 nmol/L (range, 5.864.0 nmol/L; 40 mg), 12.3 nmol/L (range, 5.7-29.2 nmol/L; 20 mg), and 9.7 nmol/L (range, 7.8-28.7 nmol/L; 10 mg) were observed, but T levels varied considerably within and between subjects regardless of the dose used. In study 2, 30 women receiving sc estradiol therapy were randomized to receive either a 100-mg T implant or placebo. In the T-treated group, levels peaked at 8.9 ± 1.7 nmol/L 1 month after insertion and then declined gradually to 2.9 ± 0.4 nmol/L at 6 months. In study 3, a novel matrix transdermal delivery system for T was investigated in 6 females. Estimated daily delivery rates of840 (TD1), 1100 (TD2), and 3000 μg (TD3) T/24 h were investigated. T rose rapidly after a single application of TD1 and TD2 and were relatively constant for the next 18 h, at which time peaks of 2.3 ± 1.0 and 4.1 ± 1.6 nmol/L, respectively, at 24 h were seen. T concentrations fell to baseline levels within 6 h after patch removal. When TD2 was applied for 7 days, a T level of 4.3 ± 0.7 nmol was seen 24 h after application, falling gradually to 2.8 ± 0.7 nmol/L by day 7. During twice weekly application of TD2, stable T concentrations were maintained, and all peak levels were similar (peak level, 4.2 ± 0.3 nmol/L 24 h post-TD application) as were predose troughs (3.2 ± 0.3 nmol). Twice weekly application of TD3 produced a similar pattern of T, and the mean peak and trough levels were 7.5 ± 0.9 and 4.0 ± 0.4 nmol/L, respectively. In conclusion, TU produced inappropriate high T levels at all doses, with wide variations between subjects, confirming that TU is unpre-dictably absorbed and unlikely to be satisfactory for use in women. Subcutaneous testosterone implants produce unphysiological T levels for at least 1-2 months. The transdermal matrix delivery system maintained relatively stable T levels within narrow ranges with little within- and between-subject variation. We conclude that such transdermal systems may be of value for androgen therapy in postmenopausal women because they provide a highly controllable way of delivering T noninvasively and reliably, and achieve mean physiological levels not possible with existing methods. (J Clin Endocrinol Metab 83: 3920-3924, 1998).
MOST studies of androgens in women have focused on their roles in various pathologies of testosterone (T) excess, such as polycystic ovarian syndrome, hirsutism, and ovarian or adrenal tumors. Evidence is emerging, however, that T has a physiological role in female brain development (1), sexual function, mood, cognitive function, and wellbeing (2-8).
T in the premenopausal woman is secreted directly by the ovaries and is converted peripherally from androstenedione in approximately equal proportions. The menopause is associated with a decline in circulating estrogen levels and a decrease in androstenedione levels due to a fall in ovarian production (9-11). Although postmenopausal ovarian secretion of T can be similar to that in younger women (11), the overall blood production rate and circulating T levels may fall during and after the menopausal transition (10-15) as a result of the decline in peripheral conversion from its major precursor, androstenedione. However, it also appears as if a fall in T production may precede the menopause as a decrease in premenopausal women has been described such that T levels in women in their forties have been found to be around 50% lower than those in their twenties (16, 17).
Other adrenal androgens, dehydroepiandrosterone and dehydroepiandrosterone sulfate, also decrease with age, but this process appears to be independent of the menopausal transition (18).
Thus, although the postmenopausal ovary remains an im-portant source of T secretion, a decline in total circulating T can occur with age and results from a combination of ovarian failure, decreasing adrenal secretion, and peripheral conver-sion. This relative androgen deficiency is much more pro-nounced in women who have undergone bilateral oopho-rectomy, with serum T falling by 50% (19).
The relative androgen deficiency state in postmenopausal and ovariectomized women may be associated with a reduction in quality of life and sexual dysfunction (5, 6), and there is increasing awareness that androgens may be of therapeutic value in postmenopausal women in whom low doses of androgens are being increasingly used with estrogen for the treatment of loss of libido (7). Androgens may also have a potential therapeutic role in the treatment of postmenopausal osteoporosis and fracture prevention (8).
However, all the currently marketed androgen preparations are designed for replacement therapy for male hypogonadism, and there is currently no information concerning the most appropriate dose or the optimal mode or route of T delivery in women. Low doses of sc T implants have been used successfully in women for the treatment of postmenopausal sexual dysfunction (7) when 100-mg implants were used, which represents a daily delivery rate of around 1 mg T/24 h.
We have therefore carried out a pharmacokinetic study on the two existing T preparations [oral T undecanoate (TU) and sc T pellets] using lower doses than that available for the treatment of male hypogonadism. In addition, these were compared with a new matrix transdermal delivery system for T in an attempt to achieve more physiological and stable levels suitable for androgen therapy in women.
Subjects and methods
Study protocol
The three delivery systems for T in women were investigated in separate studies, each of which was granted ethical approval by the Salford and Trafford ethical committee.
Study 1: TU. Ten healthy postmenopausal women receiving estrogen hormone replacement therapy [50-mg estradiol (E2) sc implants; mean ± SD age, 55.2 ± 2.6 yr;, mean body mass index (BMI), 24.1 ± 2.1kgs/m2] who had never previously received androgen therapy were included. Three different doses of oral TU were investigated in the same subjects at least 1 month apart: 1) 40 mg TU at 0 h, 2) 20 mg TU at 0 and 6 h, and 3) 10 mg TU at 0 and 6 h; these were administered with a standard meal (15 g fat). Blood samples were obtained twice before and then hourly for 12 h after TU treatment.
Study 2: sc T pellets. Thirty women (mean age, 53.1 ± 3.2 yr; BMI, 23.9 ± 1.7 kg/m2) receiving sc E2 therapy for menopausal symptoms but who had continued to complain of low libido or reduced feelings of wellbeing were studied. E2 therapy used 50-mg E2 implants (Organon Laboratories, UK) implanted sc in the lower abdominal wall and monitored as previously described (20). No woman had previously received androgen therapy. They were randomized in a double blind fashion to receive a either a 100-mg T pellet (n = 15) or a placebo pellet (n = 15) implanted sc at the same time as their next E2 implant. Serum T levels were measured before the implant on two occasions and monthly for 6 months.
Study 3: transdermal T. Six healthy female volunteers with regular menstrual cycles (mean age, 33.4 ± 2.1 yr; mean BMI, 23.2 ± 1.9 kg/m2) took part in all four parts of the study to assess the pharmacokinetics of a novel matrix transdermal delivery system (Ethical Pharmaceuticals, UK) for T in women. All were using nonhormonal contraception. All transdermal patches were applied to the lower anterior abdominal wall. Patches containing three different estimated T delivery rates were examined: 840, 1100, and 3000 μg T/24 h for transdermal patch 1 (TD1), TD2, and TD3, respectively. The study was conducted in four parts as outlined below.
- 1) TD1 or TD2 patches were applied to the patient at 0800 h, and a blood sample was taken immediately before this. The patches were left on for 24 h, and blood was taken hourly for 8 h after the application and then every 4 h until the patch was removed. Additional samples were then taken hourly for the next 8 h and at 4-h intervals for the following 48 h.
- 2) TD2 was applied on day 1 and left in situ for 7 days before removal. T levels were measured before the attachment of the patch and twice daily for 10 days at 0800 and 2000 h.
- 3) This study was performed to monitor circulating levels of T and attainment of a steady state during multiple twice weekly applications of TD2. The TD2 patch was applied to the anterior wall at 0800 h on day 1 (Tuesday), removed at 0800 h an day 4 (Friday), and replaced by a new patch. This weekly cycle of patch changes on Tuesday and Friday was repeated for a total of 4 weeks so that a new patch was applied on days 1,4, 8,11,15,18, 22, and 25. Samples were obtained immediately before application of the patch and 24 h after a new patch was applied. The final patch was applied on day 25 and removed on day 29, and samples were taken twice weekly until day 39.
- 4) This study was similar to study 3, except the patch used was TD3.
RIAs
T. The T concentration in plasma samples were measured by in-house RIA after diethyl ether extraction. The limit of detection of the assay is 0.5 nmol/L, and intraassay (n = >200 samples) and interassay (n = 20 assays) coefficients of variation over the range 0.5-35 nmol/L are less than 6 and less than 10%, respectively. Cross-reactivities with dihydrotestosterone and TU are less than 4 and less than 0.02%, respectively.
Statistical analysis
Data are presented as the mean ± SD or as the median and range as appropriate and were analyzed using the Mann-Whitney U test and Student's t test as applicable.
Results
Study 1: TU
A median peak T level of 18.0 nmol/L (range, 5.8-64.0 nmol/L; normal range, 0.0-2.4 nmol/L) was achieved at 2.8 ± 0.7 h (mean ± SD) after the ingestion of a single 40-mg capsule. T levels remained elevated for 10.0 ± 0.8 h(P < 0.01), falling back to baseline by 12 h (Fig. 1).

Figure 1. T levels after ingestion of 40 mg TU at time zero. The median (●) and interquartile range (○) are shown.
The median peak T level after a 20-mg capsule was 10.0 nmol/L (range, 5.7-29.2 nmol/L), which occurred at 2.3 ± 0.2 h after ingestion. The T concentration remained elevated (median, 3.7; range, 2.5-4.8 nmol/L; P < 0.001) at 6 h when the second 20-mg capsule was administered, and T levels rose again to a median peak of 12.3 nmol/L (range, 2.2-39.5 nmol/L) and remained higher than the basal concentration for the next 6 h (9.0 nmol/L; range, 2.6-15.2; P < 0.001).
T levels rose to a median of 9.8 (range, 8.1-22.7 nmol/L) at 3.0 ± 0.4 h after the ingestion of 10 mg TU. With the second 10-mg dose, T levels increased to a median of 12.1 (range, 7.8-28.7 nmol/L) 4.0 ± 0.3 h postingestion and remained elevated at 7.5 (range, 2.5-28.7 nmol/L; P < 0.001) after 12 h. There was no difference in the peak T levels between the 20 - and 10-mg doses.
The absorption pattern for TU varied considerably within subject, such that peak T levels were greater in some subjects after a 20-mg dose compared to those after a 40-mg capsule (Fig. 2).

Figure 2. T levels after ingestion of 40 mg TU (●) at time zero and after ingestion of 20 mg TU (O) at time zero and at 6 h are shown in four different subjects. As shown, T levels between subjects are variable despite the administration of equivalent doses of TU. T levels within the same subject are also inconsistent with at times high levels being achieved with a lower dose of TU (subject 1).
Study 2: sc T pellets
Preimplant T levels were similar in both groups (T implant group, 1.5 ± 0.3 nmol/L; placebo group, 1.4 ± 0.5; mean ± SD). T levels reached peak values (8.9 ± 1.7 nmol/L; Fig. 3) 1 month after pellet implantation and then declined to 2.9 ± 0.4 nmol/L at 6 months, which was still significantly higher than the baseline (P < 0.01).

Figure 3. T levels after sc implantation of T (100 mg) or placebo at time zero. The mean and SD are shown.
Study 3: transdermal T
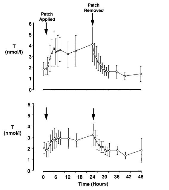
T levels rose rapidly (within 6 h) after application of TD1 and TD2 and remained relatively constant. Peaks of 3.2 ± 1.0 and 4.1 ± 1.6 nmol/L (mean ± SD), respectively, at 24 h were seen (Fig. 4). The T concentration fell to baseline levels within 6 h after patch removal.

Figure 4. T levels after application of TD2 (1100 μg for 24 h; upper panel) and TD1 (840 μg for 24 h; lower panel). T levels are shown for 48 h. The arrows show the time of application and removal of the patch. The mean and SD are shown.
TD2 was applied for 7 days. Peak T levels (4.3 ± 0.7 vs. 1.6 ± 0.4 nmol/L basally; P < 0.001) were seen 24 h after application of the patch, falling gradually to 2.8 ± 0.7 nmol/L by day 7 (Fig. 4). Basal levels were reached 2 days after patch removal.
During the twice weekly application of TD2, T levels rose briskly after application of the first patch and remained elevated (P < 0.01) throughout the study. There was no progressive increase in the plasma T concentration with continued twice weekly transdermal T treatment (Fig. 5a). The peak (24 h post-TD application; 4.2 ± 0.3 nmol) and the trough (immediately before the next TD application; mean trough level, 3.2 ± 0.3 nmol/L) levels were stable throughout the treatment period. Peak T levels were consistently higher than the troughs (P < 0.01).

Figure 5. . T levels are shown after a twice weekly application of TD2 (a) and TD3 (b). Patch application is indicated by the arrows, the mean and SD are shown.
After twice weekly application of TD3 (Fig. 5b), a pattern similar to that with TD2 was seen. Mean peak and trough levels (7.5 ± 0.9 and 4.0 ± 0.4 nmol/L, respectively) were significantly different (P < 0.01) throughout.
The terminal half-life, mean retention time, maximum serum concentration, time to reach maximum serum levels, and area under the concentration vs. time curve for single dose application of TD1 and TD2 are shown in Table 1. Table 2 shows the maximum serum concentration, C-min, area under the concentration vs. time curve, time to reach maximum serum levels, and peak trough fluctuation for the multiple dose studies (TD2 and TD3).
Table 1. Pharmacokinetic analysis for transdermal T patch for single dose studies (Parts 1 and 2).

Table 2. Pharmacokinetic analysis for transdermal T patch for multiple dose day 25-29 (Parts 3 and 4).

No side-effects of treatment were experienced with any preparation in this short term study.
Discussion
Currently available T preparations are designed for adult male androgen replacement therapy in the treatment of male hypogonadism. However, lower doses of T are appropriate for use in women. Intramuscular injection of T esters is the most popular form of androgen replacement for men but is unlikely to be satisfactory in women because high levels of T in the first 2-3 days postinjection are generally unavoidable even at reduced doses (21). We have therefore compared two other popular T preparations (for male hypogonadism) with a new delivery system that may be more suitable for clinical use in women.
An orally active preparation of T (TU) may be a more suitable as well as a more convenient method of administering androgens to women. TU is widely used for androgen replacement in hypogonadal men in some countries in rec-ommended doses of 40 mg, three or four times daily. Our study of androgen replacement in women examined the pharmacokinetics of lower doses (10-40 mg) of TU. Despite this dose reduction the present results show that oral TU produced inappropriately high T levels at all doses examined. A wide individual variation in T levels was also apparent between subjects. This suggests that TU is unpredictably absorbed in women as it is in men (peak concentrations of 11.5-60.1 nmol/L with a dose of 80 mg twice daily) (22) and adolescent boys (23).
Subcutaneous T implants have been available for the treat-ment of male hypogonadism for many years. They do not produce short-lived high T peaks, but result in more stable T levels over reasonable periods of time (24, 25). Low doses of sc T implants have been used in women for the treatment of postmenopausal sexual dysfunction (7, 8, 26). Thomm et al. (26) showed a 5-fold increase in plasma T levels after a 100-mg T implant, with peak levels occurring at 1-2 months with a return to pretreatment levels by 5 months, representing an initial daily delivery rate of around 1 mg T/24 h. Further studies showed that 100- and 50-mg T implants produce peak T levels of 6.7 (7) and 3.5 nmol/L (8), respectively, at 1 month. Our study using peak T levels of 8.9 nmol/L 1 month after insertion followed by a gradual fall. Thus, although sc T treatment appears to be clinically effective (7,8), the T levels achieved are high and are characterized by substantial rises and falls over several months.
In an attempt to produce a controlled release preparation that can deliver stable and physiological T levels in postmenopausal women, we have investigated a novel matrix transdermal drug delivery system that offers several advantages, including rapid perfusion through the skin, painless delivery, increased compliance, and avoidance of the first pass hepatic metabolism. The systems were applied only to a single site, the anterior abdominal wall. Potential differences in drug delivery characteristics with different sites were not investigated.
It is not known what target levels of T are required to restore sexual function and well-being, and preserve bone mass in postmenopausal women. We have empirically based our studies on 100-mg T sc implants that initially delivered about 1 mg T/24 h (26), giving rise to mean level of approximately 4.0 nmol/L in postmenopausal women over the 6-month period. The new matrix transdermal delivery systems were therefore designed for delivering around 1 mg T/24 h and producing similar circulating levels of steroid, and this was achieved with the TD2 patch (1100 μg/24 h). Similar levels were produced after twice weekly application of this patch over a 4-week period (mean peak and trough levels of 4.0 and 3.2 nmol/L). It has also been reported that a 50-mg sc T implant (delivering a mean T level of ~3.5 nmol/L) also improves sexual dysfunction in postmenopausal women (8); thus, TD1 (840 μg/24 h) may also be suitable, as we achieved similar levels of T with this patch. The TD3 patch (3000 μg/24 h) produced T levels similar to those seen in the first month after insertion of a 100-mg T implant (8.9 nmol/L in the present study). The overall production rate of T in women falls from around 250 μg/24 h premenopausally to 180 μg/24 hpostmenopausally (11). The levels achieved in this study are much higher than the normal female physiological range and could lead to virilization with prolonged use. TD3 is therefore unsuitable for women, but it may have a potential role in the treatment of men with low levels of T.
These preliminary data show that the transdermal route can be used successfully to generate stable levels of T in women for hormone replacement with twice weekly applications. Further investigation is required to determine the optimal delivery rate dose and dosing frequency suitable for clinical use in women of this novel transdermal delivery system.
We conclude that the established methods of delivering T have a variety of drawbacks when used in women, and that the new matrix delivery system represents a major advance in androgen therapy with a number of advantages particularly suited for clinical use in women. It produces and maintains stable T levels within narrow ranges with little within- and between-subject variation, is easy to use and remove, requires no nursing or medical staff to administer, and is well tolerated. This technology opens the way to controlled studies on the value of androgen therapy for postmenopausal women, will allow the best therapeutic range to be established, and provides a highly controllable way of treating women with T in a far more physiological manner than is possible with existing methods.
References
McEwen BS. 1991 Sex differences in the brain, what are they and how do they arise? In: Notman MT, Nadelson CC, eds. Women and men, new perspectives on gender differences. Washington DC: American Psychiatric Press; 35-41.
Sherwin BB, Gelfand MM. 1985 Differential symptom response to parental oestrogen and or androgen administration in the surgical menopause. Am J Obstet Gynecol. 1512:153-159.
Sherwin BB, Gelfand MM. 1987 The role of androgen in the maintenance of sexual functioning in ovarectomised women. Psychosom Med. 49:397-409.
Sherwin BB. 1988 Affective changes with oestrogen and androgen replacement therapy in surgically menopausal women. J Affect Dis. 14:177-187.
Davis SR, Burger HG. 1996 Androgens and the postmenopausal woman. J Clin Endocrinol Metab. 81:2759-2763.
Sands R, Studd J. 1995 Exogenous androgens in post-menopausal women. Am J Med. 98(Suppl 1A):76S-79S.
Burger H, Hailes J, Nelson J, Menelaus M. 1987 Effects of combined implants of oestradial and testosterone on libido in post-menopausal women. Br Med J. 294:936-937.
Davis SR, McCloud P, Strauss BJG, Burger H. 1995 Testosterone enhances estradiol effects on post-menopausal bone density and sexuality. Maturitas. 21:227-236.
Abraham GE, Lobotsky J, Lloyd CW. 1969 Metabolism of testosterone and androstenedione in normal and ovariectomized women. J Clin Invest. 48:696-703.
Vermeulen A. 1975 The hormonal activity of the postmenopausal ovary. J Clin Endocrinol Metab. 42:247-253.
Adashi EY. 1994 The climacteric ovary as a functional gonadotrophin driven androgen producing gland. Fertil Steril. 62:20-27.
Burger HG, Dudley EC, Hopper JL, et al. 1995 The endocrinology of the menopausal transition. A cross sectional study of a population-based sample. J Clin Endocrinol Metab. 80:3537-3545.
Rannevik G, Jeppsson S, Johnell O, Bjerre B, Laurell-Borulf Y, Svanberg L. 1995 A longitudinal study of the pituitary hormones, SHBG, and bone mineral density. Maturitas. 21:103-113.
Longcope C. 1986 Adrenal and gonadal androgen secretion in normal females. Clin Endocrinol Metab. 15:213-228.
BancroftJ, Cawood HH. 1996 Androgens and the menopause: a study of 40-60 year old women. Clin Endocrinol (Oxf). 45:577-587.
Longcope C, Franz C, Morello C, Baker K, Johnston Jr CC. 1986 Steroid and gonadotropin levels in women during the perimenopausal years. Maturitas. 8:189-196.
Zumoff B, Strain GW, Miller LK, Rosner W. 1995 Twenty-four hour mean plasma testosterone concentration declines with age in normal premenopausal women. J Clin Endocrinol Metab. 80:1429-1430.
Zumoff B, Rosenfield RS, Strain GW, Levin J, Fukushima DK. 1980 Sex differences in the twenty-four hour mean plasma concentrations of dehy- droeiandrosterone (DHA) and dehydroepiandrosterone sulfate (DHAS) and DHA to DHAS ratio in normal adults. J Clin Endocrinol Metab, 51:330-333.
Judd HL, Lucas WE, Yen SSC. 1974 Effect of oophorectomy on circulating testosterone and androstenedione levels in patients with endometrial cancer. Am J Obstet Gynecol. 118:793-798.
Buckler HM, Kalsi PK, Cantrill JA, Anderson DC. 1995 An audit of oestradiol levels and implant frequency in women undergoing subcutaneous implant therapy. Clin Endocrinol (Oxf). 42:445-450.
Behre HM, Oberpenning F, Nieschlag E. 1990 Comparative pharmacokinetics of androgen preparations: application of computer analysis and stimulation. In: Nieschlag E, Behre HM, eds. Testosterone action, deficiency substitution. Berlin: Springer-Verlag; 115-135.
Cantrill JA, Dewis P, Large DM, Newman M, Anderson DC. 1984 Which testosterone replacement therapy? Clin Endocrinol (Oxf). 21:97-107.
Butler GE, Sellar RE, Walker RF, Hendry M, Kelnan CJH, Wu FCW. 1992 Oral testosterone undecanoate in the management of delayed puberty in boys: pharmacokinetics and effects on sexual maturation and growth. J Clin Endocrinol Metab. 75:37-44.
Handelsman DJ, Conway AJ, Boylan LM. 1990 Pharmacokinetics and phar-macology of testosterone pellets in men. J Clin Endocrinol Metab. 71:216-222.
Jockenhovel F, Vodel E, Kreutzer M, Rheinhardt W, Lederbogen S, Reinwein D. 1996 Pharmacokinetics and pharmacodynamics of subcutaneous testoster-one implants in hypogonadal men. Clin Endocrinol (Oxf). 45:61-71.
Thomm H, Collins WP, Studd JW. 1981 Hormonal profiles in post menopausal women after therapy with subcutaneous implants. Br J Obstet Gynaecol. 88: 426-433.