J. A CANTRILL, P. DEWIS, D. M. LARGE, M. NEWMAN AND D. C. ANDERSON
University of Manchester Departments of Pharmacy and Medicine*, Hope Hospital, Salford M6 8HD, UK.
Correspondence: Dr D. C. Anderson, Department of Medicine, University of Manchester School of Medicine, Hope Hospital, Eccles Old Road, Salford M6 8HD, UK.
Summary
Three different forms of testosterone (T) replacement therapy were compared; they were the intramuscular injection of mixed testosterone esters 250 mg; the subcutaneous implantation of 6 x 100 mg pellets of fused testosterone; and the oral administration of testosterone undecanoate (TU) 80 mg twice daily. Six hypogonadal males were treated with oral TU for an eight week period, during which time serial serum hormonal estimations were performed over 10 h at the initiation and after four and eight weeks of therapy. Serum T levels showed marked variability both between subjects and within the same subject on different occasions. We attribute this to variability in absorption of TU, which is formulated in oleic acid. The overall mean T level calculated from the areas under the profiles of TU was 12 0 nmol/1. Hormone responses to injected T esters were studied in nine hypogonadal males. Serum T rose to supraphysiological peak concentrations (mean 71 nmol/1) 24-48 h after an injection, followed by an exponential decay to reach baseline concentrations after 2-3 weeks. The overall calculated mean T level in subjects receiving testosterone esters 250 mg every three weeks was 27-7 nmol/1. Subcutaneous implantation of testosterone in six hypogonadal men produced a gradual rise in serum T followed by a slow decline, with T levels remaining within the normal range for 4-5 months. The calculated overall mean T level over 21 weeks after implantation was 17 0 nmol/1. Serum oestradiol (Ej) levels remained within the normal male range throughout the study periods on both TU and T implant therapy but showed a supraphysiological peak (mean 347 pmol/1) 24-48 h after a T injection. 5α-dihydrotestosterone (DHT) levels appeared to parallel those of T on the three forms of therapy, with DHT:T ratios being highest for TU therapy. This was also true for the target organ metabolite 5α-androstane-3α, 17β-diol. At the doses studied drug costs were similar for T implantation (every 5 months) and T ester injections (every 3 weeks), but were 7-8 times higher for TU (80 mg twice a day). We conclude that T implantation remains overall the most physiological form of androgen replacement therapy, is generally well accepted and attended by few side effects; TU may have a useful role in the initial phases of therapy.
The choice of androgen replacement therapy depends upon practicability, acceptability, safety and cost. In replacing an endogenous hormone a safe general principle appears to be to mimic, as closely as possible, the normal concentrations of that hormone, and any active metabolites. 5α-dihydrotestosterone (DHT) is a major target organ metabolite of testosterone (T) and is postulated to be more potent in some tissues (Wilson, 1980). In a two month trial of oral testosterone undecanoate (TU), Skakkebaek et al. (1981) demonstrated a disproportionately high plasma DHT concentration for a given T concentration. This may at least in part be due to reduction of TU to 5α-DHTU in the intestinal wall (Horst et al., 1976). DHT can itself undergo reversible 3α-reduction to 5α-androstane-3α,17β diol (3α-diol), which has been shown to be a very potent androgen in some bioassay systems (Moore & Wilson, 1973). Testosterone is also a major precursor for the potent oestrogen 17β-oestradiol (E2) which may influence male behaviour (Hamburger-Bar & Rigter, 1977), and if elevated cause gynaecomastia.
In recent years the most widely used form of T replacement therapy has been intramuscular injection of mixed T esters (Sustanon). This produces a good clinical response but may cause several side-effects including pain at the site of injection and breast tenderness (Nichols & Anderson, 1982) and with conventional dosage regimens wide fluctuations in plasma T levels result (Sokol et al., 1982).
For oral administration, the undecanoate ester of T has been formulated in oleic acid as a capsule (Restandol) and has recently been widely used (Franchi et al., 1978; Franchimont et al., 1978; Skakkebaek et al., 1981). The oleic acid is postulated to increase the absorption of T in chylomicrons, via the lymphatic system. Oleic acid may itself decrease the rate of gastric emptying with a subsequent increase in bioavailability (Frey et al., 1979). Franchimont et al. (1978) studied 10 hypogonadal men undergoing treatment with TU for 9 weeks and reported a progressive increase in plasma T levels. This seemed to us surprising and to merit further investigation.
The use of subcutaneous implantation of fused pellets of testosterone was popular in the 1940’s (Howard & Vest, 1939; Biskind et al., 1941), but has fallen into decline in recent years for reasons that are not altogether clear. Following the revival of its use in this hospital in 1981, we found it to be generally acceptable to both patients and doctors.
In this paper we report a critical study of the hormone levels, acceptability and cost of these three forms of replacement therapy.
PATIENTS
The study was approved by Salford Health Authority Ethical Committee. The clinical details of the patients studied are shown in Table 1. Six hypogonadal patients (nos. 1-6), one of whom was hypogonadotrophic and five hypergonadotrophic agreed to take an eight week course of oral TU. Patients 1 and 3 had previously received intramuscular T injections, the last one four weeks before entering the study; patient 2 had not received any replacement therapy and patients 4-6 had all been on implant therapy and had received their last implant 4, 6 and 7 months previously, respectively. Of the nine hypogonadal patients whose hormonal profiles were performed while on intramuscular therapy three were hypergonadotrophic and six hypogonadotrophic, and of the six patients studied while on implant therapy three were hypogonadotrophic and three hypergonadotrophic.
Table 1..Clinical details of patients.

MATERIALS AND METHODS
Assays
Testosterone was assayed following extraction with diethyl ether by radioimmunoassay using antiserum which had been raised in rabbits against testosterone-3-0-(carboxy- methyl-oxime)-BSA (Bioanalysis, Tenovus Institute, Cardiff). The tracer was prepared by iodinating histamine with 125I using chloramine-T. The iodinated histamine was then coupled to testosterone-3-0-(carboxymethyl-oxime) (Hunter et al., 1975). The T standards were made up in horse serum (Wellcome Horse Serum 3). Separation of bound from free ligand was performed by immunological precipitation using donkey anti-rabbit and normal rabbit serum (Scottish Antibody Production Unit). A standard curve was constructed using doubling dilutions of T from 55-6 to 0-7 nmol/1. The assay tubes were centrifuged at 2500 rpm for 25 min at 4°C, the supernatant liquid aspirated and the radioactivity was counted for 75 s in a 1260 Multigamma counter (LKB).
Two different assays were used for the estimation of E2. The first involved a chromatographic separation method. Following extraction with diethyl ether, each sample was applied to an ethylene glycol/celite column and eluted with a series of solvents under positive pressure nitrogen (Large & Anderson, 1979). Each E2 fraction was then assayed using a radioimmunoassay. The tracer was 2,4,6,7(n)-3H oestradiol (Radiochemical Centre, Amersham) and the antiserum was from Specific Antisera Inc. Further sensitivity was obtained by the use of a disequilibrium method (Zettner & Duly, 1974). The second E2 assay used was a Steranti (EIRRIA) oestradiol direct Kit (Steranti Research Ltd). The kit contains, 125I-oestradiol label in ethanolic solution, antiserum to E2, six standards prepared in serum (0-3670 pmol/1), buffer concentrate and immunosorbent.
The estimation of DHT and 3α-diol involved a double extraction with a diethyl ether-ethyl acetate mixture and purification on a Lipidex 5000 micro column using a petroleum ether-chloroform solvent system (Leinonen et al., 1980; Hammond et al., 1977), and radioimmunoassay of the appropriate fractions. The conjugates were made and antibodies raised in the Department of Chemistry and Medical School, University of Manchester by Drs N. T. Pearce, G. N. Smith and D. Bu’Lock. The tracers used were 5α-( 1α ,2α(n)-3H)androstane-3α, 17βdiol and 5α-dihydro(lα,2α(n)-3H) testosterone (Radiochemical Centre, Amersham).
All samples were assayed for T, and samples shown to represent the peak and trough levels of T on each form of therapy were assayed for E2, DHT and 3α-diol.
Oral testosterone undecanoate
The six patients taking part in the TU study were commenced on a dose of 80 mg (2 x 40 mg capsules) twice daily. Blood samples were taken at the time of the first dose and four and eight weeks later on each occasion before and 1,2,3,4,5,6,8 and 10 h after the dose. Samples were allowed to clot, centrifuged and the serum stored at — 20°C until the time of assay. All patients were ambulant and had a normal diet throughout the study period.
While the patients were taking oral TU compliance was assessed by monthly capsule counts.
Implant therapy
Patients received a dose of 600 mg (6 x 100 mg) fused pellets of T. The implantation technique used is similar to that described by Studd & Thom (1980). Blood samples were taken on days 0,7,14,21 and 28 after implantation and monthly thereafter.
Intramuscular therapy
Patients received an injection of250 mg of mixed T esters. Blood samples were obtained on days 0,1,2,4,7,14 and 21 after the injection.
Results
Hormone concentrations
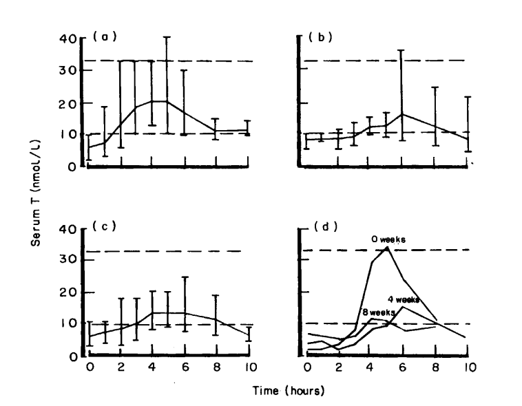
The results of serial T estimations after 0, 4 and 8 weeks of TU are shown in Fig. 1 together with an example of the complete profile from one patient (JE). The peak concentration of T ranged from 11·5-60·1 nmol/1 (normal male range 10-33 nmol/1). In most profiles, the plasma T had either returned to or was below baseline at the end of the sampling period. The time at which the peak plasma T concentration occurred was between 2 and 6 h after the dose (mean 4·6 h). The area under the curve was calculated using the trapezoidal rule for each T profile at 0,4 and 8 weeks. These values ranged from 67·0-276·0 nmol/1.h and showed a significant interpatient variation (P < 0-001). The overall mean T level calculated from these data was 12·0 nmol/1.

Figure 1. Plasma testosterone concentration profiles (geometric mean ± 1 SD) obtained at a, 0; b, 4; and c, 8 weeks of Restandol therapy, d, the profiles of one patient (JE) are also shown. Oral administration of 80 mg T undecanoate at time 0. Dotted lines mark limits of normal male range.
The T concentrations obtained on implant therapy are shown in Fig. 2. The peak concentration ranged from 19·2-40·0 nmol/1 with a mean of 28·0 nmol/1, and occurred between 2 and 10 weeks after the implantation. The mean concentration fell to the lower limit of the normal male range at 16-18 weeks post implant. The overall mean T level was 17·0 nmol/1.

Figure 2. SPlasma testosterone concentration (geometric mean ± 1 SD) following 600 mg testosterone implant (time 0). Dotted lines mark limits of normal male range.
Testosterone concentrations obtained from patients while on intramuscular injection are shown in Fig. 3. The peak concentration obtained ranged from 42-121 nmol/1 (mean 71 nmol/1) and occurred 24-48 h after the injection. The mean concentration fell to within the normal male range after one week and fell to the lower limit of the normal male range after 21 days. The overall mean T level was 27·7 nmol/1.

Figure 3. Plasma testosterone concentration (geometric mean ± 1 SD) following 250 mg intramuscular Sustanon injection (time 0). Dotted lines mark limits of normal male range.
The values of E2, 3α-diol and DHT at T peaks and troughs obtained on all three forms of therapy are shown in Fig. 4 and Table 2. All E2 assays were performed using the Steranti direct assay except for two sets of samples (patient nos 13 and 16) obtained while on intramuscular therapy which were assayed by the column separation/radioimmunoas- say technique; results were repeated in 23 samples by the Steranti direct assay and were on average 25% lower, but otherwise correlated well.

Figure 4. Peak and trough concentration (geometric mean ± 1 SD) of a, DHT; b, 3α-diol; and c, E2 on all forms of therapy. Dotted lines mark limits of normal male range (limits for E2 are those determined by Steranti method). S, Sustanon; I, Implant; R, Restandol).
Table 2. Metabolite concentrations attained on each form of therapy.

Testosterone ester therapy produced consistently higher peak metabolite concentrations than either oral TU or T implantation. Peak 3α-diol and DHT concentrations were only just outside the normal male range, but those of E2 were twice the upper limit of normal (Table 2).
The following side effects were reported while on intramuscular therapy and attributed by the patients to the injection: pain at injection site (5); increased aggression (2); breast tenderness (2); testicular pain (1) and leg cramp (1).
Two patients receiving oral TU complained of flatulence. A patient (no 5), who was a poor complier, experienced symptoms of extreme lethargy and weakness on several occasions after omitting his morning dose. Extrusion of one or more pellets has occurred on two out of more than 50 occasions after implantation but was not attributed to infection since swabs from the implant site were negative, and may have been due to inadequate depth of insertion of the trocar.
Cost
The figures calculated are for the cost of the drug itself and do not include medical, nursing or pharmacy costs; the first of these is clearly highest for the implant and other costs higher for the other two forms of therapy! See Table 3.
Table 3. Comparison of cost of each form of therapy.

Capsule count
This revealed that patient compliance over the study period varied between 91 and 100% (mean 98%).
Discussion
Our results show that there is a significant interpatient variation in plasma T concentration following a fixed dose of oral TU. This may in part be due to alteration in bioavailability by the presence of a fatty load in the stomach (Frey et al., 1979). This degree of variability has not been previously reported; unfortunately we did not record the time and content of the patients last food intake prior to the sampling period. A fatty meal will increase chylomicron formation with subsequent uptake of TU into the lymphatic system. Another consequence of formation of TU in an oil (oleic acid) may be altered gastric emptying time. In contrast to the findings of Skakkebaek et al. (1981) (which were based on single observations after each dose) we did not observe a progressive increase in T concentrations over the eight week study period.
The dose of oral TU used in this study is equivalent to 100 mg of T (normal endogenous production rate in men is about 7 mg/d; Horton & Tait, 1966). This represents a large steroid load to the liver, the long term effects of which have not been studied.
Figure 5 represents the ratio of T to DHT plasma concentration attained with each form of therapy. Evidently as reported previously on oral TU there is a disproportionately high DHT for a given T concentration (Franchimont et al., 1978; Skakkebaek et al., 1981). Elderly men with benign prostatic hyperplasia have raised plasma DHT and decreased plasma T concentrations although it is not clear whether the high DHT is a cause or an effect of the underlying disease (Ishimaru et al., 1977; Ghanadian et al., 1977). Figure 5 also shows a high 3α-diol:T concentration ratio for patients on oral TU compared to those on the other two forms of therapy.

Figure 5. Relationship between a, T and DHT; and b, T and 3 < r-diol on serum samples obtained during each form of therapy. X, Sustanon; □, implant; Δ, Restandol; O, normal males.
Although the number of patients taking oral TU was small the overall clinical response was unsatisfactory. One patient dropped out of this study after five weeks, despite a one week trial of 120 mg twice a day of TU, due to inadequate subjective response. Nevertheless, oral TU may have a place in the initial treatment of longstanding hypogonadism. In these patients the use of a flexible dosage form which produces relatively low T concentrations initially and which can be easily withdrawn by the patient himself if he feels that his sex drive is excessive, may be important, for medico-legal reasons discussed elsewhere (Nicholls & Anderson, 1982).
Intramuscular injections of T esters produced supraphysiological levels of both T and E2 soon after the injection persisting for up to 7 d, with peak concentrations occurring within 24-48 h. Two patients experienced breast tenderness in the first few days following injection which may be a consequence of the high E2 concentrations. Similarly two patients reported increased aggression soon after their injections. Otherwise the clinical response to intramuscular injection was generally good.
Subcutaneous implantation goes some way to providing safe, and near physiological, T replacement therapy. The peak concentrations of T were, with one exception, within the normal male range and levels declined slowly requiring replacement of the implant every 4-6 months. It may be found in the future that the subcutaneous dosage can be increased to prolong the effective life of the implant while maintaining physiological hormone levels. The implant procedure is quick and painless in skilled hands. The extrusion of pellets may have been due to a failure to push the pellets far enough into the subcutaneous tissue in the early stages of our experience with this technique.
The cost of each preparation is an important consideration when life-long replacement therapy is being undertaken. In the doses used in this study oral TU is 7-8 times as expensive as the other two forms of therapy. There are obviously many other cost factors involved including doctors, nurses and pharmacists time; cost of preparing and sterilizing implant sets; and amount of time the patient must be absent from work to visit hospital or doctors surgery. Some of these are evidently lower for oral TU than for either of the other forms of therapy. Nevertheless the annual drug cost of TU is £250-300 more than either of the other two forms of therapy, and we believe this to be hard to justify for routine long term use in the absence of clear advantages. We conclude that judged by hormone measurements T implantation remains overall the most physiological form of androgen replacement therapy, and one which is generally safe and well accepted.
Acknowledgements
We are grateful to Professor M. Rowland for helpful advice, and to Organon Laboratories for financial support. This work forms part of an M.Sc. project by J. A. Cantrill, and was presented at the Second Annual Meeting of the British Endocrine Societies in York, in April, 1983.
References
BISKIND, G.R., ESCAMILLA, R.F. & LISSER, H. (1941) Implantation of testosterone compounds in cases of male eunuchoidism. Acta Endocrinologica, 1, 38-49.
FRANCHI, F., LUISI, M. & KICOVIC, P.M. (1978) Long term study of oral testosterone undecanoate in hypogonadal males. International Journal of Andrology, 1, 270-278.
FRANCHIMONT, P., KICOVIC, P.M., MATTEI, A. & ROULIER, R. (1978) Effects of oral testosterone undecanoate in hypogonadal males. Clinical Endocrinology, 9, 313-320.
FREY, H., AAKVAAG, G., SAANUM, D. & FALCH, J. (1979) Bioavailability of oral testosterone undecanoate in males. European Journal of Clinical Pharmacology, 16, 345-349.
GHANADIAN, R., LEWIS, J.G., CHISHOLM, G.D. & O’DONOGHUE, E.P. (1977) Serum dihydrotestosterone levels in patients with benign prostatic hyperplasia. British Journal of Urology, 49, 541-544.
HAMBURGER-BAR, R. & RIGTER, H. (1977) Peripheral and central androgenic stimulation of sexual behaviour of castrated male rats. Acta Endocrinologica, 84, 813-828.
HAMMOND, G.L., RUOKONEN, A., KONTTURI, M., KOSKELA, M. & VIHKO, R. (1977) The simultaneous radioimmunoassay of seven steroids in human spermatic and peripheral venous blood. Journal of Clinical Endocrinology and Metabolism, 45, 16-24.
HORST, H.J., HOLTJE, W.J., DENNIS, H., COERT, A., GEELEN, J. & VOIGT, K.D. (1976) Lymphatic absorption and metabolism of orally administered testosterone undecanoate in man. Klinische Wochenschrift, 54,875-879.
HORTON, T. & TAIT, J.F. (1966) Androstenedione production and interconversion rates measured in peripheral blood and studies on the possible sites of conversion to testosterone. Journal of Clinical Investigation, 45, 301-313.
HOWARD, J.E. & VEST, S.A. (1939) Clinical experiments with male sex hormones. American Journal of Medical Sciences, 198, 823-827.
HUNTER, W.M., NANS, P.W. & RUTHERFORD, F.J. (1975) Preparation and behaviour of l25I-labellcd radioligands for phenolic and neutral steroids. In Proceedings of 5th Tenovus Workshop, (ed. E.H.D Cameron, S.G. Hillier & K. Griffiths) pp. 141-145. Alpha-Omega Pub. Ltd., Cardiff.
ISHIMARU, T., PAGES, L. & HORTON, R. (1977) Altered metabolism of androgens in elderly men with benign prostatic hyperplasia. Journal of Clinical Endocrinology and Metabolism, 45, 695-701.
LARGE, D.M. & ANDERSON, D.C. (1979) Twenty-four hour profiles of circulating androgens and oestrogens in male puberty with and without gynaecomastia. Clinical Endocrinology, 11, 505-521.
LEINONEN, P., HAMMOND, G.L. & VIHKO, R. (1980) Testosterone and some of its precursors and metabolites in human epididymis. Journal of Clinical Endocrinology and Metabolism, 51, 423-428.
MOORE, R.J. & WILSON, J.D. (1973) The effect of androgenic hormones on the reduced nicotinamide adenine dinucleotide phosphate, A4-3-ketosteroid-5α-oxidoreductase of rat ventral prostate. Endocrinology, 93, 581-592.
NICHOLLS, D.P. & ANDERSON, D.C. (1982) Clinical aspects of androgen deficiency in man. Andrologia, 14(5), 379-388.
SKAKKEBAEK, N.E., BANCROFT, J., DAVIDSON, W.D. & WARNER, D. (1981) Androgen replacement therapy with oral testosterone undecanoate in hypogonadal men: a double blind controlled study. Clinical Endocrinology, 14, 49-61.
SOKOL, R.Z., PALACIOS, A., CAMPFIELD, L.A., SAUL, C.C. & SWERDLOFF, R.S. (1982) Comparison of the kinetics of injectable testosterone in eugonadal and hypogonadal men. Fertility and Sterility, 37, 425-430.
STUDD, J.W.W. & THOM, M.H. (1980) Hormone implantation. British Medical Journal, i, 848-850.
WILSON, J. (1980) The pathogenesis of benign prostatic hyperplasia. The American Journal of Medicine, 68, 745-756.
ZETTNER, A. & DULY, P.E. (1974) Principles of competitive binding assays (Saturation analyses) II Sequential saturation. Clinical Chemistry, 20, 5-14.