DAVID J. HANDELSMAN, ANN J. CONWAY, AND LYN M. BOYLAN
Andrology Unit, Royal Prince Alfred Hospital and Departments of Obstetrics and Gynecology and Medicine, University of Sydney, Sydney New South Wales 2006, Australia.
✸This study was supported by assistance from the Wehlcome Trust, the National Health and Medical Research Council of Australia, World Health Organisation's Task Force on Methods for the Regulation of Male Fertility, Organon (Australia) Pty. Ltd. and Pharmacia (Australia) Pty. Ltd. Presented in part at the Annual Scientific Meeting of The Endocrine Society of Australia, Sydney, 1991.
Abstract
Hormonally induced azoospermia is an effective, reversible form of male contraception; however, some men treated with weekly im testosterone enanthate (TE) injections fail to become azoospermic. As weekly injections cause widely fluctuating and supraphysiological testosterone levels, we tested the hypothesis that more stable, physiological testosterone levels would consistently produce azoospermia. Using a depot testosterone formulation which provides stable, physiological range testosterone levels for up to 6 months, we studied nine men before and after insertion of six 200 mg testosterone implants under the abdominal wall skin and compared the results with 38 men treated in a previous study with weekly im injections of 200 mg TE. Testosterone implants suppressed sperm output to near-azoospermia between the second to fourth postimplant months returning to normal by the sixth postimplant month. The fall in sperm output at the first month was greater after testosterone implants than TE injections (58% vs. 17%, P = 0.011) but similar proportions of men became azoospermic (5/9 vs. 25/38) or severely oligozoospermic (<1 million/ml; 9/9 vs. 37/38). Plasma testosterone and estradiol levels remained mostly within the eugonadal range after implants but were markedly supraphysiological during TE injections. Both treatments suppressed immunoreactive LH and FSH to undetectable levels by ultrasensitive fluoroimmunoassay. Sex hormonebinding globulin levels were decreased and PRL levels increased by TE injections but neither was changed by testosterone implants. Prostate- specific antigen demonstrated a small rise of marginal significance (P = 0.065) after testosterone implants. Fewer men experienced acne after implants (0/9 vs. 25/38 p = 0.0004). Therefore a depot testosterone preparation with quasi-zero-order release demonstrates higher dose efficiency with similar (but not uniform) efficacy at inducing azoosper-mia but may cause fewer androgenic side-effects than weekly TE injections.
Introduction
A MALE contraceptive must reduce the number of fertile sperm ejaculated sufficient to prevent fertilization. Hormonal methods aim to reduce sperm output reversibly through inhibiting pituitary gonadotropin secretion and consequent depletion of intratesticular testosterone. Testosterone-induced azoospermia provides highly effective and sustainable contraception (1); however only 65% of men treated with weekly testosterone enanthate (TE) injections become consistently azoospermic whereas the remainder exhibited various degrees of oligozoospermia (1-3). The explanation for the nonuniform induction of azoospermia by testosterone remains unknown however it has been proposed (4) that unfavorable pharmacokinetics of TE, the prototype androgen employed in most male contraceptive studies, lead to supra-physiological circulating testosterone levels that prevent the adequate depletion of intratesticular testosterone. The practical requirement for longer interinjection interval led to development of new long-acting depot testosterone prepa-rations (5) but their effects on human spermatogenesis have not yet been determined. This study aimed to determine the effects of a long-acting depot testosterone preparation (6-8) on human spermatogenesis and test the hypothesis that steady-state testosterone levels within the physiological range might achieve azoospermia uniformly in fertile men.
Materials and methods
Study design and procedures
The study aimed 1) to describe prospectively the effects of testosterone implants and 2) to compare retrospectively with men receiving weekly injections of 200 mg TE (Testoviron, Schering AG, Berlin, Germany) in the Sydney centre of a World Health Organization multicenter efficacy study of hormonal male contraception (1). The two studies drew from the same pool of volunteers but were consecutive in sequence rather than randomized. Recruitment for the implant study commenced immediately after termination of intake to the WHO study. The design and overall outcomes for the WHO study have been described in detail elsewhere (1). In the implant study subjects provided two baseline sets of semen and blood samples at least 2 weeks apart before implantation of six 200 mg (total dose 1200 mg, release rate 9 mg/day) pellets of fused crystalline testosterone (Organon, Sydney, Australia) subdermally in the lower abdominal wall under local anaesthesia as described (7, 8). The pellets, being composed of only crystalline testosterone, are fully biodegradable and do not require removal. Subsequently subjects provided monthly semen and blood samples until their sperm density reached pretreatment baseline geometric mean or consistently normal levels (>20 million sperm/mL). In men receiving weekly TE injections, blood was sampled at 7 days after the last injection during the visit to receive the next dose. Both studies were approved by the Royal Prince Alfred Hospital Human Ethics Review Committee.
Subjects
Healthy men aged between 21 and 50 yr of age free of chronic medical illness, not taking regular medication and having normal testicular function were recruited. Exclusion criteria were any history of gonadal dysfunction (including infertility) or other abnormalities in medical screening tests. Subjects were advised to continue reliable contraception throughout this study to avoid conception.
Assays
Semen collected by masturbation was analyzed within 60 min according to methods described in the WHO Semen Manual (9) using a Makler chamber. Assays of total and free testosterone, estradiol, PRL, and sex hormone-binding globulin (SHBG) were performed by standard immunoassays described previously (7, 10). LH and FSH were assayed by an ultrasensitive time-resolved fluoroimmunoassay (Delfia, Pharmacia, Piscataway, NJ) with a detection limit of 0.1 U/L for both LH and FSH. Prostate-specific antigen (PSA) was measured by immunoassay (DPC, Los Angeles, CA). Between-assay coefficients of variation ranged from 6-12% for all assays. Eugonadal ranges for semen and hormone assays were determined from a contemporary and ongoing study of men (n = 394) screened as potential sperm donors (11).
Data analysis
Results are expressed as mean ± SEM. Data were analyzed by a twoway analysis of variance or Fisher's test as appropriate (12). Semen data were cube-root transformed and hormonal data log-transformed to normalize the distribution and stabilize variance. The degree of suppression of sperm output (azoospermia or oligozoospermia) was defined on the basis of the lowest recorded monthly sperm density.
Results
Subjects
The men entering the testosterone implant (n = 9) and WHO TE injection (n = 38) studies were similar in height, weight, body surface area, body mass index, and testis size and neither group differed significantly in these anthropometric variables from the control group of healthy men (n = 394) screened as potential sperm donors (data not shown).
Implantation of testosterone pellets was very well tolerated (7, 8) and none of the men complained of any side-effects including changes in sexual function, bleeding, infection, or extrusion. Fused crystalline implants do not cause irritation or fibrosis unlike the compressed, cholesterol-containing pellets originally used in the United States (8). Among men having weekly TE injections, four discontinued within 4 months for medical reasons including two due to discomfort and intolerance of injection frequency and two due to acne. Acne (defined as any degree of typical pimples on back, chest, or face) was not observed in men having implants whereas it was common in men receiving TE injections (0/9 vs. 25/38, p = 0.0004). Prostate-specific antigen rose by about 20% in the first 2 months after testosterone implantation returning subsequently to normal levels (P = 0.066). PSA levels were not measured in the TE study as blood samples were not consistently obtained before digital rectal examination of the prostate which may increase circulating PSA levels (13).
Sperm output
Pretreatment sperm density was similar in men entering the implant and TE injection studies (medians 123 vs. 107 M/mL, respectively) but both were significantly higher (P = 0.029 and 0.002, respectively) than among the healthy vol-unteers screened as potential sperm donors (median 74 M/ mL). This difference presumably reflects the selection bias for men with normal reproductive function required to enter these studies.
Implants of testosterone sharply reduced sperm output (Fig. 1) which remained at near zero levels between the 2nd and 4th month after implantation. Essentially identical patterns were observed whether expressed as concentrations or total output of motile, morphologically normal, or of all sperm. The fall in sperm output was similar to that observed among men having TE injections except that the rate of fall (expressed as a percentage of geometric mean baseline sperm density) was significantly greater at the first month in men bearing implants (17 ± 6% vs. 58 ± 7%, P = 0.011). After the 5th month after testosterone implantation, sperm output returned to normal whereas mean sperm density remained suppressed on men continuing on TE injections. Similar proportions of men achieved azoospermia [5/9 (56%) vs. 25/38 (66%)] or severe oligozoospermia [<1 million sperm/mL, 9/9 (100%) vs. 37/38 (97%)]. The implant study provided a power of 80% to exclude the hypothesis that testosterone implants consistently induce azoospermia but, due to the limited study sample size, the power was too low however to exclude an improved rate of achieving azoospermia but to less than 100%.

Figure 1. Time course of sperm output (expressed as sperm density in million sperm per milliliter) before and after either implantation of six 200 mg (1200 mg total) testosterone pellets in nine healthy fertile men in the implant study (filled circles) and in a previous WHO study of weekly im injection of 200 mg testosterone enanthate (open squares). Time of commencement of treatment is indicated by the triangular symbol. Results expressed as mean and SEM.
Reproductive hormones and SHBG
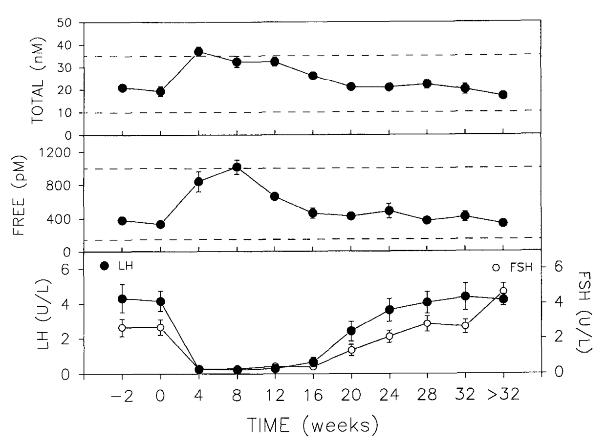
After testosterone implantation, plasma testosterone levels increased (Fig. 2) but remained within the eugonadal range at each time-point apart from the 1st month for total testosterone (37.0 nM) and the 2nd month for free testosterone (1015 pM) when levels just exceeded the upper limit of the eugonadal range (35 nM for total, 1000 pM for free testoster-one). Plasma LH and FSH were suppressed to undetectable levels from the 1st until the 4th month when levels increased significantly by the 5th and returned to baseline by the 6th month. Plasma estradiol levels (Fig. 3) rose to peak at the 1st month but remained within the eugonadal range. Neither PRL nor SHBG levels changed significantly after testosterone implantation. After TE injections, plasma total and free tes-tosterone and estradiol were markedly higher whereas PRL levels increased and SHBG levels fell (Table 1). Plasma LH and FSH were both suppressed to virtually undetectable levels during continued treatment.
Table 1. Effects of testosterone on reproductive hormones from two studies.


Figure 2. Plasma total (upper panel) and free (middle panel) testosterone and gonadotropins (lower panel) before and after either implantation of six 200 mg (1200 mg total) testosterone pellets in nine healthy fertile men. In lower panel plasma LH is indicated by filled circles and FSH by open circles. Dashed lines indicate the eugonadal range as determined from healthy volunteers (n = 394) screened as potential sperm donors. Results expressed as mean and SEM.

Figure 3. Plasma estradiol (upper panel), SHBG (middle panel), and PRL (lower panel) before and after either implantation of six 200 mg (1200 mg total) testosterone pellets in nine healthy fertile men. All values remain within the eugo- nadal range at all times. Results ex-pressed as mean and SEM.
Metabolic effects of testosterone
The biochemical effects of testosterone on lipids, urea, calcium, albumin total protein, and hemoglobin were similar in magnitude for implants and TE injections; however due to larger sample size, these effects were statistically significant for TE injections only (Table 2). There were no significant effects of either testosterone treatment on electrolytes (bilirubin, alkaline phosphatase, 3 transaminases), creatinine, uric acid, leukocyte, or platelet counts.
Table 2. Biochemical effects of testosterone from two studies Study Baseline During.

Discussion
A recent WHO multicenter study demonstrated that tes-tosterone-induced azoospermia provides highly effective and reversible contraception with minimal side-effects (1). In countries such as Indonesia (14), India (15), and China (1) where testosterone induces azoospermia in virtually all fertile men, testosterone can constitute the basis of a reliable, re-versible hormonal male contraceptive. In developed countries, however, weekly injections of 200 mg TE induces azoospermia in only 60% of fertile men (1-3) with the remaining men exhibiting various degrees of severe oligo- zoospermia (1-3). Although residual sperm are unable to penetrate zona-free hamster oocytes in vitro (16, 17) and azoospermia may therefore not be necessary for reliable contraception (18), until the contraceptive efficacy of testosterone-induced oligozoospermia is firmly established it remains an unexplained limitation of a testosterone-based regimen that not all men become azoospermic.
Virtually all previous studies of the effects of exogenous steroids on human spermatogenesis have used either injectable and/or oral androgens (1-3,19), most commonly weekly im doses of 200 mg TE. The failure to produce azoospermia uniformly among fertile men treated with TE cannot be attributed to the dose or frequency of injections. Increasing the weekly dose above 200 mg does not further increase the proportion achieving azoospermia (3) whereas prolonging the interinjection interval fails to sustain suppression of spermatogenesis (2). From the single-dose pharmacokinetics of TE (20), where peak testosterone reaches supraphysiol- ogical levels at 48 h and returns to baseline levels over 1014 days, both simulation (21) and empirical (22) studies indicate that chronic weekly administration results in marked fluctuations and frequently supraphysiological plasma testosterone levels. Such supraphysiological circulating testosterone levels might counteract the depletion of intratesticular testosterone necessary for effective hormonal suppression of spermatogenesis (4). If supraphysiological peripheral testos-terone levels raised the interstitial and seminiferous tubular testosterone levels (23), this might maintain sufficient andro-gen effects on Sertoli cells to continue low levels of sperma-togenesis. Although sex steroid levels were considerably higher in men having TE injections, these kinetic considera-tions also indicate that the nadir levels reported in this study at 7 days after the last TE injection actually underestimate the mean integrated testosterone levels to which subjects were exposed throughout the week during regular weekly TE injections. Whereas the testosterone levels at 3 months after testosterone pellet implantation are also lower that peak levels (7, 8), this fall-off from peak testosterone levels is much less and therefore the discrepancy between integrated testosterone and estradiol levels on the two regimens is even greater than indicated by Table 1.
Testosterone implants provide the first opportunity to test the effects of steady-state testosterone levels on normal human spermatogenesis. These implants provide virually zero order release kinetics ensuring stable, physiological tes-tosterone levels for up to 6 months after subdermal implan-tation (6-8). This duration of action is significantly longer than other depot testosterone formulations including testosterone microcapsules (24, 25) or testosterone buciclate (5) which would need to be administered in multiple overlapping doses to maintain suppression for more than the full duration of a human spermatogenic cycle. The present study shows that a long-acting depot testosterone formulation can effectively and reversibly suppress human spermatogenesis. This suppression of spermatogenesis is achieved without mean testosterone levels exceeding the eugonadal range and at a lower daily testosterone dose than either conventional (1-3) or even lower TE dose (3) injections. Furthermore lower and less fluctuating testosterone levels from the depot preparation caused fewer hormonal side-effects while effecting an equivalent degree of spermatogenic suppression and similar biochemical effects as that of weekly TE injections. Nevertheless testosterone implants still did not produce azoospermia uniformly in all men. This finding suggests it is unlikely that other newly developed depot testosterone formulations such as biodegradable testosterone microspheres (24, 25) and new long-acting testosterone esters (5) would solve the problem of the nonuniformity of induction of azoospermia in testosterone-based regimens. One caveat is however that a smaller dose of testosterone implanted with a lower daily release rate, if equally effective at maintaining gonadotrophin suppression, may yet produce uniform azoospermia and further studies at a lower dose would be required to clarify this issue.
This study underlines the fact that the testicular mechanisms involved in the testosterone-induced suppression of human spermatogenesis are still poorly understood. Classically, endocrine effects on spermatogenesis are mediated via the action of pituitary FSH and testosterone on Sertoli cells (26) and thereby indirectly on the later stages of spermatogenesis (27). Exogenous testosterone suppresses hypothalamic GnRH, and consequently pituitary LH and FSH, secretion through negative feedback inhibition and the cessation of LH secretion reduces Leydig cell testosterone biosynthesis causing a depletion of intratesticular testosterone. By this means exogenous testosterone causes indirectly a potentially reversible withdrawal of both major hormonal stimuli, FSH, and intratesticular testosterone, which provide the dual en-docrine drive to Sertoli cells in their role of maintaining, nourishing, and coordinating spermatogenesis. Empirically however testosterone-induced suppression of spermatogenesis is more complex. In rats, testosterone has biphasic effects on spermatogenesis with low doses causing suppression while higher doses continue to maintain sperm production in the absence of gonadotrophin secretion (26, 27) suggesting that sufficiently high intratesticular testosterone levels may substitute for some FSH effects required to maintain sper-matogenesis (26).
Although the usually prevailing intratesticular testosterone levels in the human testis may be too high to reproduce by exogenous injections of testosterone (27, 28), intratesticular testosterone levels obligatory for maintenance of rat sper-matogenesis are only 5-20% of those normally present in the testis (23, 29). Thus if a hormonal regimen caused depletion of intratesticular testosterone to just below threshhold levels required to maintain spermatogenesis (30, 31), any accompanying supraphysiological circulating testosterone levels could then approach or exceed the intratesticular threshold to reinitiate spermatogenesis. This mechanism has been invoked to explain how testosterone injections can partially induce spermatogenesis in immature (32), stalk- sectioned (33), or hypophysectomized (34) monkeys and that the coadministration of testosterone with a GnRH analog can retard the fall of sperm output in nonhuman primates (4) and men (35). The present study however does not support this hypothesis in men since steady-state testosterone levels which stayed mostly within the eugonadal range failed to achieve higher rates of azoospermia than did testosterone injections. If the high-normal testosterone levels maintained by the testosterone implants in this study are still too high, then it is unclear if lower testosterone levels can be achieved that would still provide adequate androgen replacement and complete gonadotrophin suppression required for near-total inhibition of spermatogenesis. The failure of stable, physiological testosterone levels to produce azoospermia uniformly therefore argues that the reasons for the inconsistency of testosterone-induced azoospermia is more likely to reflect intrinsic differences in spermatogenesis rather than general metabolic actions of testosterone.
Another interesting finding from this study is that TE injections induced more hormonal changes than did the testosterone implants. This is evident in the greater prevalance of acne as well as the decrease in SHBG and increase in PRL exhibited by men receiving TE injections compared with men having testosterone implants. In contrast the biochemical effects were generally of similar magnitude. Where hormonal effects were greater, this may relate to the supra- physiological testosterone and/or higher estradiol levels produced by regular TE injections compared with the more physiological levels maintained by the testosterone implants. It remains unclear whether these effects are due to testosterone itself or to its 5-a reduced metabolite, 5-a dihydrotestosterone (DHT), acting upon androgen receptors and/or upon estrogen receptors following aromatization of testosterone to estradiol. DHT levels were not measured in this study however it is unlikely that they differed between regimens. The subdermal implants are placed well below hair follicles which contain dermal 5-a reductase and transdermal passage of testosterone across truncal skin does not increase circulating DHT levels (36) in contrast with passage across scrotal skin where 5-a reductase levels are high (37). In any case our findings do indicate that the lower effective daily dose of testosterone produced by the depot testosterone preparation has the advantage of less hormonal side-effects while exhibiting the same degree of suppression of spermatogenesis. This dose-sparing effect of a steady-state formulation may reduce the risks of potential long-term side-effects of androgens such as cardiovascular or prostatic disease which need to be considered in relation to testosterone therapy.
Acknowledgements
The authors are grateful to the staff of the Endocrinology laboratory for their excellent technical assistance with hormone assays.
References
World Health Organization Task Force On Methods For The Regulation Of Male Fertility. 1990 Contraceptive efficacy of testosterone induced azoospermia in normal men. Lancet. 336:955-959.
Patanelli DJ, ed. 1978 Hormonal control of male fertility. US Department of Health, Education and Welfare, publication number (NIH) 78-1097.
Matsumoto AM. 1990 Effects of chronic testosterone administration in normal men: safety and efficacy of high dosage testosterone and parallel dose-dependent suppression of luteinizing hormone, follicle-stimulating hormone and sperm production. J Clin Endocrinol Metab. 70:282-287.
Weinbauer GF, Gockeler E, Nieschlag E. 1988 Testosterone prevents complete suppression of spermatogenesis in the gonadotropinreleasing hormone (GnRH) antagonist-treated non-human primate (Macaca fascicularis). J Clin Endocrinol Metab. 67:284-290.
Weinbauer GF, Marshall GM, Nieschlag E. 1986 New injectable testosterone ester maintains serum testosterone of castrated monkeys in the normal range for four months. Acta Endocrinol. 113:128— 132.
Conway AJ, Boylan LM, Howe C, Ross G, Handelsman DJ. 1988 A randomized clinical trial of testosterone replacement therapy in hypogonadal men. Int J Androl. 11:247-264.
Handelsman DJ, Conway AJ, Boylan LM. 1990 Pharmacokinetics and pharmacodynamics of testosterone pellets in man. J Clin Endocrinol Metab. 71:216-222.
Handelsman DJ. 1990 The pharmacology of testosterone pellet implants. In: Nieschlag E, Behre HM, eds. Testosterone: action, deficiency and substitution. Berlin: Springer-Verlag.
World Health Organisation Laboratory Manual for the Examination of Human Semen and Semen-Cervical Mucus Interaction. 1987 2nd ed. Cambridge: Cambridge University Press.
Grunstein RR, Handelsman DJ, Lawrence SJ, Blackwell C, Ca- terson ID, Sullivan CE. 1989 Hypothalamic dysfunction in sleep apnea: reversal by nasal continuous positive airways pressure. J Clin Endocrinol Metab. 68:352-358.
Handelsman DJ, Conway AJ, Boylan LM, Turtle JR. 1984 Testicular function in potential sperm donors: normal ranges and the effects of smoking and varicocele. Int J Androl. 7:369-382.
Dixon WJ (ed) BMDP Manual. 1990 Berkeley: University of California Press.
Stamey TA, Wang N, Hay AR, McNeal JE, Freiha FS, Redwine E. 1987 Prostate-specific antigen as a serum marker for adenocarcinoma of the prostate. New Engl J Med. 317:909-916.
Pangkahila W. 1991 Reversible azoospermia induced by an andro-gen-progestin combination regimen in Indonesian men. Int J Androl. 14:248-256.
Reddy PRK, Rao JM. 1972 Reversible antifertility action of testosterone propionate in human males. Contraception. 5:295-301.
Matsumoto AM. 1988 Is high dosage testosterone an effective male contraceptive? Fertil Steril. 50:324-328.
Wu FCW, Aitken RJ. 1989 Suppression of sperm function by medroxyprogesterone acetate and testosterone enanthate in steroid male contraception. Fertil Steril. 51:691-698.
Handelsman DJ 1991 Bridging the gender gap in contraception: another hurdle cleared. Med J Aust. 154:230-232.
Shearer SB, Alvarez-Sanchez, Anselmo J, et al. 1978 Hormonal contraception for men. Int J Androl [Suppl], 2:680-712.
Sokol RZ, Palacios A, Campfield LA, Saul C, Swerdloff RS. 1982 Comparison of the kinetics of injectable testosterone in eugonadal an hypogonadal men. Fertil Steril. 37:425-430.
Behre HM, Oberpenning F, Nieschlag E. 1990
Comparative phar-macokinetics of androgen preparations: application of computer analysis and simulation. In: Nieschlag E, Behre HM (eds). Testosterone: action, deficiency and substitution. Berlin: Springer-Verlag. Snyder PJ, Lawrence DA. 1980 Treatment of male hypogonadism with testosterone enanthate. J Clin Endocrinol Metab. 51:1335-1339.
Zirkin BR, Santulli R, Awoniyi CA, Ewing LI. 1989 Maintenance of advanced spermatogenic cells in the adult rat testis: quantitative relationship to testosterone concentration within the testis. Endocrinology. 124:3043-3049.
Burris AS, Ewing LL, Sherins RJ. 1988 Initial trial of slow-release testosterone microspheres in hypogonadal men. Fertil Steril. 50:493-497.
Bhasin S, Swerdloff RS, Steiner B, et al. 1992 A biodegradable testosterone microcapsule formulation provides uniform eugonadal levels of testosterone for 10-11 weeks in hypogonadal men. J Clin Endocrinol Metab. 74:75-83.
Weinbauer GF, Nieschlag E. 1990 The role of testosterone in spermatogenesis. In: Nieschlag E, Behre HM (eds). Testosterone: action, deficiency and substitution. Berlin: Springer-Verlag. Steinberger E. 1971 Hormonal control of mammalian spermatogenesis. Physiol Rev. 51:1-22.
Morse HC, Horike N, Rowley MJ, Heller CG. 1973 Testosterone concentrations in testes of normal men: effects of testosterone propionate administration. J Clin Endocrinol Metab. 37:882-886.
Cunningham GR, Huckins C. 1979 Persistence of complete spermatogenesis in the presence of low intratesticular concentrations of testosterone. Endocrinology. 105:177-186.
Sharpe RM. 1987 Testosterone and spermatogenesis. J Endocrinol. 113:1-2.
Rommerts FFG. 1988 How much testosterone is required for maintenance of spermatogenesis? J Endocrinol. 116:1-6.
Marshall GR, Wickings E, Nieschlag E. 1984 Testosterone can initiate spermatogenesis in an immature non-human primate, Macaca fascicularis. Endocrinology. 114:2228-2233.
Marshall GR, Wickings E, Nieschlag E. 1983 Stimulation of spermatogenesis in stalk-sectioned monkeys by testosterone alone. J Clin Endocrinol Metab. 57:152-159.
Marshall GR, Jockenhovel F, Ludeke D, Nieschlag E. 1986 Maintenance of complete but quantitatively reduced spermatogenesis in hypophysectomized monkeys by testosterone alone. Acta Endocrinol (Copenh). 113:424-431.
Behre HM, Nashan D, Hubert W, Nieschlag E. 1992 Depot go-nadotropin-releasing hormone agonist blunts the androgen-induced suppression of spermatogenesis in a clinical trial of male contraception. J Clin Endocrinol Metab. 74:84-90.
Meikle AW, Mazer NA, Moellmer JF, et al. 1992 Enhanced transdermal delivery of testosterone across nonscrotal skin produces physiological concentrations of testosterone and its metabolites in hypogonadal men. J Clin Endocrinol Metab. 74:623-628.
Place VA, Atkinson L, Prather DA, Trunnell N, Yates FE. 1990 Transdermal testosterone replacement through genital skin. In: Testosterone: action, deficiency and substitution. Nieschlag E, Behre HM (eds). Berlin: Springer-Verlag.