Mario Grassia,*, Dario Voinovichb, Mariarosa Moneghinib, Erica Franceschinisb, Beatrice Perissuttib, Jelena Filipovic-Grcicc
aDepartment of Chemical, Environmental and Raw Materials Engineering, University of Trieste, Piazzale Europa 1, 34127 Trieste, Italy. bDepartment of Pharmaceutical Sciences, University of Trieste, Piazzale Europa 1, 34127 Trieste, Italy. cDepartment of Pharmaceutics, Faculty of Pharmacy and Biochemistry, University of Zabreb, A. Kovaeiwa, 10000 Zagreb, Croatia.
M. Grassi. Tel.: 139-040-558-3435; fax: 139040-56-9823.; E-mail: mariog@dicamp.univ.trieste.it.
Abstract
The potential of a sustained release formulation for paracetamol produced by melt pelletisation was investigated. The chosen formulation was based on the combination of stearic acid as a melting binder and anhydrous lactose as a filler. After determination of the size distribution, the pellet characterisation included scanning electron microscopy (SEM), X-ray photoelectron spectroscopy (XPS), specific surface area and true density determination. Hence, the in vitro release from every single size fraction (2000, 1250, 800, 630, < 630 μm) was evaluated and the release mechanism was analysed with the help of an appropriate mathematical model. The results of drug content and superficial atomic composition were found to be constant in all pellets size fractions, attesting the ability of melt pelletisation in a high shear mixer to form a product with homogeneous composition. The mathematical model is built on the hypotheses that drug diffusion and solid drug dissolution in the release environment are the key phenomena affecting drug release kinetics. Smaller classes apart (particles are not perfectly spherical), the comparison between model best fitting and experimental data indicated the reasonability of these hypotheses. Moreover, model reliability is proved by its ability of predicting drug release from a known mixture of the above mentioned particles classes.
Introduction
The widely-used antipyretic analgesic paracetamol is normally administered in 0.5-1 g doses every 3-4 h. Blood levels of 10-20 mg/ml should be achieved reaching a peak concentration in approximately ≤ 1 h time after ingestion, from well-formulated tablets as well as from solutions [1]. The frequency of dosing suggests that there is a case for developing a sustained release oral formulation and such an approach has been attempted by several formulation strategies. Several authors set out to achieve a slow-releasing of paracetamol by preparing tablets or pellets: producing slow-releasing tablets combining an appropriate slow-release core with a rapid-releasing coating [2], preparing dry-coated tablets [3] or using a protein (ovoalbumin) as matrix system for oral administration [4] or coating pellets with ethyl cellulose [5,6].
Conversely, to promote a sustained release of the drug without a coating procedure, alternative methods were suggested. Extended-release matrices were prepared by incorporation of the drug and some lipophilic release-modifiers (such as cetyl alcohol and paraffin), into porous cellulose matrices [7] using a simple melt method. Stella et al. [8] reported a method of preparing soft capsules and chewable gums of the hydrophobic wheat protein, crude gliadin, showing significant paracetamol controlled- release potency. Finally, Thomsen and co-workers [9,10] revealed the possibility of preparing prolonged release matrix pellets by melt pelletisation in high shear mixer, based on the combination of several hydrophobic substances as melting binders.
The objective of this work was to develop a sustained release device for paracetamol, producing in a single step, a pelletised formulation in a 10 l high shear mixer. This formulation is based on the experience acquired in a previous work dealing with the application of experimental design analysis on the evaluation of the effect of some apparatus and process variables on the final product [11]. Accordingly, the best operation conditions for the production of a combination of stearic acid, lactose and paracetamol pellets were chosen. The melt pelletisation of these compounds proved to be a viable means of producing a sustained release device for theophylline [12]. The pellets were characterised from the technological (sieve analysis, drug content, SEM, specific surface area, XPS and true density determinations) and the dissolution point of view (U.S.P. dissolution test and determination of intrinsic dissolution rate). Further, a theoretical investigation on the mechanism regulating drug release from such a delivery system was carried out.
Materials and methods
Materials
Paracetamol reagent-grade (ACEF, Fiorenzuola D’Arda, Piacenza—Italy), stearic acid reagent-grade (Galeno, Milano—Italy), and monohydrate lactose (Pharmatose 200 mesh, Meggle, Wasserburg—Germany) were used as starting materials and were used as received. The particle size of the starting materials were determined by microscopical analysis technique (Olympus BH-2 microscope, equipped with a com-puter-controlled image analysis system Optomax V Cambridge, UK). The mean diameter (±S.D.) of particle size was 13.91 (63.83), 16.00 (±11.30), and 204.20 (±95.78) μm for paracetamol, lactose and stearic acid, respectively.
The melting range of the stearic acid was determined by a differential scanning calorimeter (Mod. TA 4000, equipped with a measuring cell DSC 20 Mettler, Greifensee, CH). Samples of about 8 mg were placed in pierced aluminium pans (nominal capacity of 40 μl) and heated from 25 to 100 °C at a scanning rate of 10 °C per min, under air atmosphere. Stearic acid melted with a peak temperature of 58.3 °C.
Granulation manufacture
The granules were prepared in the 10 l laboratory scale Zanchetta Roto J high shear mixer equipped with an electrically heated jacket (maximum temperature 100 °C), already described in a previous work [13]. The temperature of the powders inside the bowl were continuously recorded by a thermo-resistance probe fixed on the bowl lid and dipped in the powder mass.
The granulation procedure was standardised on the basis of both the preliminary trials and the methodology already applied in the pelletisation of mixtures, the latter being based on the combination of stearic acid and lactose [12]. With respect to this previous work, the impeller speed was fixed below 300 rpm. Hence, in consideration of the previous study [11] focused on the influence of some process and apparatus variables on the melt granulation of a mixture of paracetamol/lactose/stearic acid in the same proportion, the below reported procedure was adopted for the production of the pellets. The composition of the mixtures, totally weighing 1 kg, was paracetamol/lactose/stearic acid: 60/20/20 w/ w. Paracetamol and lactose were first mixed at an impeller speed of 50 rpm while heating (using an impeller blade having an inclination angle of 30°), until their temperature had reached 55 °C. The dry mixing was interrupted to add the stearic acid, and then re-started for 3 min at 100 rpm to obtain a uniform distribution of the binder. At this point, the stearic acid reached a molten state (the temperature was around 65 °C). During the subsequent massing process, the impeller speed was kept constant at 289 rpm for 8 min (massing time). At the end of the granulation process the granules were cooled at room temperature by spreading them out in thin layers on trays and then stored in sealed bags.
Granule characterisation
The cooled granules were sieved in order to remove lumps larger than 3 mm and stored in sealed bags for 10 days before characterisation.
Sieve analysis
A vibrating apparatus (Octagon 200, Endecotts, London, UK) and a set of sieves (2000, 1250, 800, 630 μm) plus a receiver were used for size distribution determinations.
Determination of drug content
The analysis of paracetamol content in each fraction was carried out by dissolving 100 mg of granules in 250 ml of freshly distilled water; the amount of drug was then assayed spectrophotomet- rically (Perkin Elmer Spectrophotometer Mod. 552, Norwalk, USA) at 245 nm. Each fraction was analysed in triplicate.
Scanning electron microscopy
The shape and surface characteristics of the granules were observed by SEM. Samples were sputter-coated with Au/Pd using a vacuum evaporator (Ewards, Milano, Italy) and examined using a scanning electron microscope (model 500, Philips, Eindhoven, The Netherlands) at 10 KV accelerating voltage using the secondary electron technique.
Specific surface area
The specific surface area of pellets was determined with a mercury porosimeter (Autopore III 9420 system, Micrometrics Instrum. Corp., Norcross, GA, USA). A dilatometer for powders with capillary diameter of 1.5 mm was loaded with 0.75 g samples. Before measuring, a degasification procedure under vacuum pressure for 30 min was performed.
The specific surface area was calculated according to the Rootare-Prenzlow equation [14].
True density measurement
True density was measured with a helium pycnometer (Multi-pycnometer, Quantachrome Corp. Boynton Beach, USA) in a 35 cm3 cell calibrated with a steel sphere. The measurements were carried out in triplicate experiments.
X-Ray photoelectron spectroscopy (XPS)
The XPS measurements were performed in a ultra high vacuum chamber working at a base pressure of ≈1X10-7 mbar, equipped with a conventional Mg- anode X-ray source (Physical Electronics, Eden Prairie, USA, Mod. 20 095) (h^= 1253.6 eV) and a double pass Cylindrical Mirror Analyzer (PHI Physical Electronics, Eden Prairie, USA, Mod. 15-255 g). The samples were prepared by pressing a suitable amount of pellets onto foils of pure tantalum (99.999% purity, Goodfellow, Huntingdon, UK).
The C 1s, N 1s and O1s concentrations (conc.) were calculated from the areas of the XPS measured spectra, taking into account the sensitivity factors (s) of the elements present on the surface, with the help of the following equation (e.g. for C1s):

In vitro dissolution studies
The USP 24 rotating basket apparatus (Mod. DT- 1, Erweka, Heusenstamm, Germany) was used with a stirring rate of 100 rpm and maintained at 3760.1 °C. The composition of the dissolution media was 0.2 M NaCl/0.2 M HCl (pH 1.2) or 0.2 M KH2PO4/0.2 M NaOH (pH 7.4) according to USP 24. Samples of pellets, containing a suitable amount (3.36 g) of paracetamol for sink condition (C « Cs) were added on the surface of 900 ml of dissolution medium. Samples of 5 ml were extracted at regular time intervals (0.25, 0.5, 1, 1.5, 2, 2.5, 3, 3.5, 4, 4.5, 5, 5.5, 6, 6.5, 7, 7.5, 8 h), filtered and assayed spectrophotometrically at 245 nm. The aliquot withdrawn for analysis was immediately replaced with an equal volume of fresh dissolution medium at the same temperature. The carriers did not interfere with the UV analysis. The results were averaged from at least triplicate experiments and the standard deviations were within 5% of mean value.
In order to determine the paracetamol diffusion coefficient in the buffer environment, intrinsic disso-lution rate studies were performed in 300 ml pH 1.2 buffer (T = 3760.1 °C). Non-disintegrating disks of 3 mm thickness and 20 mm diameter were prepared by double compression of 300 mg of the crystalline material at a load of 3 tons in a manual tablet presser (Perkin Elmer, Norwalk, USA). XRD confirmed that the crystal form of the original powder was retained following the compression procedure. The USP 24 dissolution apparatus was used (Mod. DT-1, Erweka, Heusenstamm, Germany) using a beaker having a nominal capacity of 500 ml instead of the conventional vessel. The shaft, usually employed for holding the basket, served to hold the paraffin-mounted disk, thus allowing only one surface to be exposed to the dissolution medium. The dissolution surface is 2.15 cm far from the beaker bottom. In order to measure the paracetamol diffusion coefficient in the buffer environment according to Levich theory [15,16], different shaft angular velocities were considered: 40, 60, 80, 100 and 140 rpm. The aqueous solution was filtered and continuously pumped to a flow cell in a spectrophotometer and absorbances were recorded at 245 nm. Experimental points were the average of at least three replicates, and standard deviations did not exceed 5% of the mean value.
Modelling of drug release mechanism
The complexity of the developing topology (e.g. changing porosity) makes any attempt of a detailed matrix description in terms of Euclidean geometry meaningless. A fractal approach could be useful to this purpose, but it would result in a considerable complication when writing the equation ruling mass transfer [17]. Consequently, we assume that the soluble compound instantaneously dissolves and that the topology of matrix channels is not affected by drug dissolution. Moreover, although we are clearly dealing with an inhomogeneous system as drug molecules diffuse only inside the fluid filling the channels and no drug transport occurs through the insoluble channel walls, matrix homogeneity is as sumed. This, of course, obliges to define an effective drug diffusion coefficient De characterising drug molecules motion in the matrix [18]. Additionally, we assume that matrix density does not vary due to diffusion, that we are dealing with perfectly spherical particles characterised by a determined particle size distribution and that neither erosion nor swelling affect the matrix. Although, in principle, particles are surrounded by a stagnant layer—its thickness de-pending on the hydrodynamic conditions imposed on the release environment—hindering drug diffusion into the dissolution medium, we assume that this resistance is negligible in comparison with drug dissolution and diffusion inside the matrix.
On the basis of these hypotheses, the overall drug release process can be schematically represented by the following equations:

Where t is time, Nc is the number of classes in which the particle size distribution can be subdivided, Cj and Cdj are, respectively, the concentrations of the dissolved and not-dissolved drug fractions inside the particles of the jth class at Rj (radial co-ordinate), Kt is the dissolution constant and Cs is the drug solubility in the release fluid. Eq. (2) represents the drug mass balance referred to the jth particle class, while Eq. (3) states that dissolution contribution disappears when Cj is equal to Cs or when Cdj vanishes [19-21].
Eq. (2) has to be numerically solved (control volume method [22]) with the following initial conditions:

And boundary conditions:

Where nj and Rpj are, respectively, the number and the radius of the particles belonging to the jth class, Cd0 is the initial not-dissolved drug concentration, Cr is the drug concentration in the release environment, Kp is the drug partition coefficient, Mo is the drug amount initially present in all the particles andVris the volume of the release environment.
Eq. (8) ensures the partitioning condition at the particle / dissolution medium interface whereas the total drug mass balance made up on the release environment and on the particles is given by Eq. (9). Such an equation substitutes the most usual flux condition at the particle/release environment interface [23], thus ensuring a more reliable and safe numerical solution for the model [24].
Results and discussion
The results of sieve analysis and the content of paracetamol in each granule fraction are reported in Table 1. The drug content is quite constant in all size fractions and approaches the theoretical one. This fact proved the capacity of the melt granulation, in this high shear mixer, to promote coalescence phenomenon and subsequently to form pellets with homogenous composition without any significant loss of active material.
Table 1. Characterisation of each granule size fraction.

The morphology of the samples is shown in Fig. 1. The comparison between the appearance of the pellets with the size fraction indicated that the 2000 μm fraction mainly consisted of spherical particles having a satisfactory regular surface, while the smaller the pellet size, the smaller the roundness and the surface smoothness of the particles. The pellets having dimensions smaller than 630 μm were in fact quite irregularly shaped, caused by the short massing time (8 min) chosen to avoid the uncontrolled ball growth phenomenon [11].

Figure 1. SEM photographs of: 2000 μm (a); 1250 pm (b); 800 μm (c); 630 μm (d); < 630 μm (e) size fraction pellets.
The dissolution profiles of the pellets were conducted on every single size fraction and on a sample consisting of an ensemble of all size fractions. A suμmary of the dissolution results (e.g. time for 10% and time for 50% drug dissolution) of each size fraction at both pH buffers is reported in Table 2. As shown in this table, paracetamol showed a greater rate of dissolution in every size fraction in pH 7.4 due to the increased rate of ionisation at higher pH values and the greater aqueous solubility of the ionised form of the drug [2]. It must be noticed that drug release increased when pellet size decreased in both pH buffers. Comparable results were obtained in our previous work with a melt pelletised formulation containing theophylline as a model drug [12].
Table 2. Dissolution parameters of pellets.

With the aim of describing the mechanism of drug release from this device, further characterisations of the system were performed.
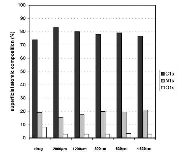
Firstly, the presence of paracetamol on pellet surfaces of each size fraction was checked. The chemical composition of the surface layer was obtained from XPS spectra [12,25]. The surface atomic concentration on the surface of the pellets, derived from Eq. (1), is depicted in Fig. 2. It must be noticed that the percentage of paracetamol on the pellet surfaces was constant in all the pellet size fraction, indicating that the difference between their dissolution profiles was not attributable to a difference in the composition of the pellets. This result also attested the capability to form a granule with homogeneous composition, in good agreement with the results previously reported of drug content assay.

Figure 2. .Superficial atomic composition (%) of the pellets.
The results of true density measurements, reported in Table 1, show that the differences between the various size fractions are not statistically significant. The different release kinetics of the various particle classes may not be attributed to matrix density. Indeed, drug release from this kind of delivery systems is a complex phenomenon ruled by different and concurrent mechanisms. When the aqueous dissolution medium wets the system, the soluble compound (lactose) and the drug (paracetamol) in the outer matrix layers begin dissolving, however, with very different kinetics proportional to their aqueous solubility (at 37 °C 0.28 g/ml for lactose, 0.018 g/ml at pH 1.2 and 0.033 at pH 7.4 for paracetamol). Accordingly, two solid-liquid interfaces (lactose-dissolution medium and drug-dissolution medium) move inward with very different speeds. This process gives origin to a porous matrix characterised by a series of interconnecting channels developing inside the insoluble compound (stearic acid) and hosting the dissolved drug and soluble compound molecules that diffuse outward due to the concentration gradient. The release process terminates when the thermodynamic equilibrium between the matrix and the dissolution medium is attained.
In order to better understand the phenomena ruling paracetamol release from our delivery system, the developed mathematical model is tested on the release data coming from each fraction and from the ensemble of all the fractions at both pH (1.2, 7.4). For the sake of simplicity, each fraction is supposed to be characterised by a mean diameter Øm, regardless of the fact that it is certainly poly-dispersed. Accordingly, Øm, the effective diffusion coefficient De and the dissolution constant Kt represent model fitting parameters. A positive test of the model will be attained whether it is able (1) to well fit the release data of each fraction by means of the same values of De and Kt (being different Øm ) and (2) to correctly predict the release from the ensemble of all the fractions on the basis of the known particles size distribution and assuming the above determined De and Kt values.
Fig. 3 shows the comparison between the model best fitting (solid line) and the experimental data (symbols) relative to each fraction. For what concerns the 2000 μm fraction (pH =1.2) (■), the fitting is performed knowing that the volume of the dissolution medium Vris equal to 900 cm3, the w/w particle composition is stearic acid:lactose:paracetamol = 20:20:60 (this implies an initial value of the not-dissolved drug concentration Cd40 reported in Table 3), paracetamol solubility Cs is equal to 18 000 mg/cm3 and the amount of particles considered is Wo (this implies a drug amount equal to Mo), as reported in Table 3.

Figure 3. Drug concentration in the release environment (Cr) as a function of time for the fractions considered (2000 μm (■), 1250 μm (▲), 800 μm (*), 630 μm (♦), < 630 μm (●), all fractions (□), model best fitting (_) model prediction (_ _) (maximum standard error: 5%).
Table 3. Fitting results for each particle class.

The fitting parameter values obtained (De, Kt, Øm, see Table 3) underline the fact that the dissolution process is fast and, consequently, the release process is mainly ruled by diffusion. It can be seen that the agreement between the model best fitting (solid line) and data referring to the 1250 μm fraction (pH = 1.2) (▲) (the particles belonging to this class have a diameter ranging from 2000 μm to 1250 μm) and the 800 μm fraction (pH = 1.2) (*) (the particles belonging to this class have a diameter ranging from 1250 to 800 μm), is even better than in the 2000 μm fraction case. The fitting parameters De and Kt = 12 assume, in both cases, the same value of the 2000 μm fraction case (see Table 3), while Øm is equal to 1300 and 1025 μm for the 1250 and 800 μm fractions, respectively. Fig. 3, on the contrary, shows that the model, especially at the beginning, does not provide a completely satisfactory description of the release data in the case of the 630 μm fraction (pH = 1.2) (♦) (the particles belonging to this class have a diameter ranging from 800 to 630 μm) and the residual fraction (●) (the particles belonging to this class have a diameter smaller than 630 μm). The reason for this discrepancy lies in the fact that while for the other classes the hypothesis of spherical particles was true, for this class it is no more the case, as evidenced by Fig. 1. Fitting results indicate that De and Kt do not modify while Øm is equal to 540 and 315 μm for the 630 μm and residual fractions, respectively. It is interesting noticing that in the 630 μm case, the model interprets the particle as spheres having a diameter lower than the physically acceptable value of 630 μm, in the attempt of describing the experimental data, a clear evidence that the spherical particle hypothesis was wrong.
The most important proof of the model reliability is given always in Fig. 3 where model prediction is compared with paracetamol release data (pH = 1.2) (□) from one possible mixture of the classes (this is a small particles reach distribution that could be critical for our model as it is not totally able to describe the release from small fractions) (w/w particle size distribution: ω2000 = 0.153, ω1250 = 0.159, ω800 = 0.210, ω630 = 0.160, ωresidual = 0.319). The calculated curve assumes Vr = 5000 cm3, Cd40 = 741528 μg/cm3, Wo = 88.8 mg (Mo = 53.28 mg), De = 1.7*10-4 cm2/min, Kt = 12 cm/min, Øm2000 = 2500 μm, Øm1250 1300 μm, Øm800 1025 μm, Øm630 = 540 μm and ØmResidual =315 μm UndOUbtedly, the description is fully satisfactory and the model can be now considered a good tool to predict drug release from an ensemble of different classes characterised by different particle size distribution.
The theoretical interpretation of the pH = 7.4 case presents an issue due to the swelling phenomenon of particles. While this behaviour is not that important in the analysis of the single fractions data (the swelling entity is moderate and the model can reasonably fit the experimental data), it assumes a more important role in the release from a mixture of different particles classes. In this case the experimental apparatus described in the In vitro dissolution studies section is no longer suitable for studying the release kinetics since particle swelling in the rotating basket promotes the formation of particle clusters that alter the real particle size distribution of the delivery system. When this is the case, drug release takes place from a delivery system characterised by a totally different and unknown particle size distribution such that the model analysis of experimental data becomes meaningless. To overcome this problem the experimental apparatus was modified simply by directly putting the formulation in the release environment.
Remembering that in the pH = 7.4 case Cs = 32585 mg/cm3, the model fitting on the experimental data yields De = 0.8 X 10-4 cm2/min and Kt = 10 cm/min. As the release data do not substantially differ from the pH = 1.2 case, we can say that the increased diffusive barrier (lower De value in comparison with the pH = 1.2 case) due to a moderate swelling is approximately balanced by the higher solubility (Cs = 18 000 mg/cm3 pH= 1.2).
It is interesting noticing that, in the pH = 1.2 case, it is possible to estimate particles tortuosity t on the basis of De and Dw (paracetamol diffusion coefficient in the dissolution medium). Indeed, while De comes out from data fitting, Dw can be calculated resorting to intrinsic dissolution test led in buffer pH = 1.2 at T = 37 °C) (Dw = 7.1 X 10—4 cm2/min). Accordingly, τ can be determined by means of the following well known equation [18]:

Where ε is the particle void fraction. Due to the fact that both lactose and paracetamol dissolve, ε changes with time so τ was calculated as the average of two distinct ε values. Accordingly, ε is estimated at the beginning of the release process (paracetamol is not dissolved and, as a result of the model hypotheses, lactose is totally dissolved) (ε=0.169) and at the end of the process, when only stearic acid constitutes the matrix (ε = 0.739). As a consequence τ= 15.1. The same treatment is not applicable for the pH = 7.4 as the limited swelling would make questionable ε estimation.
Finally, two important aspects regarding the model potential as a designing and scientific tool should be stressed. Firstly, the model allows for paracetamol release prediction of any particle size distribution; this way the optimal particle size distribution for a desired release kinetics can be accurately selected. Secondly, the model permits the theoretical calculation of the drug concentration profile (both dissolved, Cj, and not-dissolved, Cdj) inside each particle class as shown, respectively, in Figs. 4 and 5 for the 2000 μm particles class. These figures refer to the theoretical calculation related to model prediction of paracetamol release from the ensemble of all fractions (see Fig. 3) and consider the concentration profiles at 10, 50 and 150 min. Clearly, the particles are progressively depleted of drug (see Fig. 4) and the diffusion front moves inward with time [26] (see Fig. 5). This pattern is similar for all the particle classes with the obvious difference that the smaller the particle, the faster the depletion. Accordingly, small particles characterise the release at the beginning of the process, whereas large particles sustain the release in the long run.

Figure 4. Drug concentration (C = dissolved drug) profiles at different dissolution times (— = 10 min, _ _ = 50 min, -- 150 min) for the 2000 μm size fraction pellets according to the model. R represents the particle radius.

Figure 5. Drug concentration (Cd = not dissolved drug) profiles at different dissolution times (- = 10 min, _ _ = 50 min, -- 150 min) for the 2000 μm size fraction pellets according to the model. R represents the particle radius.
Conclusion
It can be concluded that the melt pelletisation technique in high shear mixer is a viable method to develop a sustained-release device for paracetamol in a single step, without any coating procedure, even including a high drug loading. Besides the release prolonging features, the formulation based on the combination of stearic acid and lactose, had favour-able technological properties. In fact, the characteri-sation proved the ability of the adopted technique to give a product with homogeneous composition. Pellets mainly having spherical shape and satisfactory regular surface were obtained in the 2000 μm size fraction, which exhibited the slowest in vitro drug release. The comparison between the best-fit mathematical model and experimental data shows clearly the reasonability of the model hypotheses. Only when the spherical character of the particles fails, is the model best fitting not satisfactory. This problem could be overcome by introducing a proper shape factor in the model in order to account for the non-spherical character of the particles. Nevertheless, overall model reliability is confirmed by the fact that it proved to well predict the drug release from a known mixture of particles classes. Further, the model represents a useful designing and scientific tool as it allows for reliable prediction of drug release kinetics from delivery systems characterised by different particle size distributions. Thus, the optimisation of the particle size distribution becomes an easier task, less time consuming compared to the usual experimental routines. Finally, the model permits the theoretical calculation of the drug concentration profile (both dissolved, Cj, and not-dissolved, Cdj ) inside each particle class and some speculations about particles topology via the determination of particles tortuosity. Research on the in vivo bioavailability of the different systems to evaluate the chance of administering a single size fraction or polydisperse sample is ongoing.
References
T.J. Schnitzer, Non-NSAID pharmacologic treatment options for the management of chronic pain, Am. J. Med. 105 (1998) 45S-52S.
M. Ahmed, R.P. Enever, Formulation and evaluation of sustained release paracetamol tablets, J. Clin. Hosp. Pharm. 6 (1981) 27-38.
I.S. Moussa, L.H. Cartilier, Evaluation of cross-linked amylose press-coated tablets for sustained drug delivery, Int. J. Pharm. 149 (1997) 139-149.
G. Torrado, C. Carrascosa, S. Torrado-Santiago, Correlation of in vitro and in vivo acetaminophen availability from albumin microaggregates oral modified release formulations, Int. J. Pharm. 217 (2001) 193-199.
M. Hossain, J.W. Ayres, Relative bioavailability of a novel sustained-release acetaminophen molded tablet, Int. J. Pharm. 133 (1996) 223-235.
J.J. Sousa, A. Sousa, M.J. Moura, F. Podczeck, J.M. Newton, The influence of core materials and film coating on the drug release from coated pellets, Int. J. Pharm. 233 (2002) 11-122.
T. Gren, C. Nystrom, Porous cellulose matrices containing lipophilic release modifiers—a potential oral extended-release system, Int. J. Pharm. 184 (1999) 7-19.
V Stella, P. Vallee, P. Albrecht, E. Postaire, Gliadin films. I: Preparation and in vitro evaluation as a carrier for controlled drug release, Int. J. Pharm. 121 (1995) 117-121.
L.J. Thomsen, T. Schaefer, J.M. Sonnegard, H.G. Kristensen, Prolonged release matrix pellets prepared by melt pelletization I. Process variables, Drug Dev. Ind. Pham. 19 (1993) 1867-1887.
L.J. Thomsen, T. Schaefer, H.G. Kristensen, Prolonged release matrix pellets prepared by melt pelletization II. Hydrophobic substances as meltable binders, Drug Dev. Ind. Pham. 20 (1994) 1179-1197.
D.Voinovich, M. Moneghini, B. Perissutti, E. Franceschinis, Melt pelletization in high shear mixer using a hydrophobic melt binder: influence of some apparatus and process variables, Eur. J. Pharm. Biopharm. 52 (2001) 305-313.
D. Voinovich, M. Moneghini, B. Perissutti, J. Filipovic-Grcic, I. Grabnar, Preparation in high-shear mixer of sustained- release pellets by melt pelletisation, Int. J. Pharm. 203 (2000) 235-244.
D. Vojnovic, P Rupena, M. Moneghini, F. Rubessa, S. Coslovich, R. Phan-Tan-Luu, R.M. Sergent, Experimental research methodology applied to wet pelletization in a high shear mixer. Part I. S.T.P, Pharma Sci. 3 (1993) 130-135.
H.M. Rootare, C.F. Prenzlow, Surface areas from mercury porosimeter measurements, J. Phys. Chem. 71 (1967) 27332736.
VG. Levich, Physicochemical Hydrodynamics, Prentice- Hall, Englewood Cliffs, NJ, 1962.
M. Grassi, I. Colombo, R. Lapasin, Experimental determination of the theophylline diffusion coefficient in swollen sodium-alginate membranes, J. Control. Rel. 76 (2001) 93-105.
M. Giona, Statistical analysis of anomalous transport phenomena in complex media, AIChEJ 37 (1991) 1249-1254.
N. Peppas, in: R.S. Langer, D.L. Wise (Eds.), Medical Application of Controlled Release, Mathematical Models For Controlled Release Kinetics, Vol. I, CRC Press, Boca Raton, 1984, p. 169.
M.J. Abdekhodaie, Y.L. Cheng, Diffusional release of a dispersed solute from planar and spherical matrices into finite external volume, J. Control. Rel. 43 (1997) 175-182.
M. Grassi, R. Lapasin, S. Pricl, The effect of drug dissolution on drug release from swelling polymeric matrices: mathematical modelling, Chem. Eng. Com. 173 (1999) 147-173.
Y.R. Byun, Y.K. Choi, S.Y. Jeong, Y.H. Kim, A model for diffusion and dissolution controlled release from dispersed polymeric matrix, J. Kor. Pharm. Sci. 20 (1990) 79-88.
SV Patankar, Numerical Heat Transfer and Fluid Flow, Hemisphere Publishing, New York, 1990.
J. Crank, The Mathematics of Diffusion, 2nd Edition, Clarendon Press, Oxford, 1975.
M. Grassi, I. Colombo, R. Lapasin, Drug release from an ensemble of swellable crosslinked polymer particles, J. Control. Rel. 68 (2000) 97-113.
F. Carli, F. Garbassi, Characterisation of drug loading in crospovidone by X-ray photoelectron spectroscopy, J. Pharm. Sci. 74 (1985) 963-967.
P. Colombo, R. Bettini, P. Santi, A. De Ascentiis, N.A. Peppas, Analysis of the swelling and release mechanisms from drug delivery systems with emphasis on drug solubility and water transport, J. Control. Rel. 39 (1996) 231-237.