Robert B. Greenblatt, M.D.*
Professor Emeritus, Department of Physiology and Endocrinology, Medical College of Georgia, Augusta, Georgia.
Though estrogens and progesterone are essential ingredients in the biologic and psychologic development of a woman, androgens, too, play an important role. The use of testosterone in the management of gynecic disturbances has been frowned upon. Embedded in the minds of most clinicians is the notion that its use for such purposes is not only contraphysiologic but also antipharmacologic. Somehow the point has been obscured that testosterone is not necessarily a male sex hormone but a metabolic one, common to both man and woman. In fact, the production of androgens by the adrenal is equal in both sexes, and the ovary in reproductive life as well as postmenopausally is also a source of androgens.
Many physicians believe that testosterone is the opposite of es-trogen and is antiestrogenic, the very antithesis of estrogen. In small but effective pharmacologic doses, testosterone does not alter normal endometrial development, does not cause atrophic changes of the vaginal mucosa, does not interfere with ripening of the cervical mucus, and rarely upsets normal cyclic menses. In the castrate monkey, both estrogen and testosterone will cause redness and tur- gescence of the perineum. Moreover, when simultaneously administered, these hormones do not neutralize one another, whereas progesterone will induce blanching and deturgescence.12
In the synthesis of ovarian steroids, progestagens, androgens, and estrogens occur in that order; thus the immediate precursors of estrogens are androgens. The ovary, in common with other steroid hormone-producing glands, converts acetate to cholesterol, the ob-ligatory precursors of all steroids. Pregnenolone and progesterone are derived from cholesterol, and these form the substrate for androgen synthesis. The most potent androgen is testosterone followed in order of decreasing activity by Δ4 androstenedione and dehydroepiandrosterone. Testosterone, however, must be converted to dihydrotestosterone before it is effective at the target gland level. Concentration of testosterone in plasma of women is about 1/20th that of men, but serum levels of Δ4androstenedione and déhydroépiandrostérone are far higher in women than in men. A large fraction of testosterone in women is derived from Δ4androstenedione in peripheral tissues.32 Testosterone may in a very real sense be considered a weak estrogen. In the relative scarcity of endogenous estrogen, testosterone per se can bind to and activate the estrogen receptor with subsequent regulation of the expression of specific genes, which are generally considered estrogen responsive.51 In fact, when testosterone is administered to women who have had ovariectomies, serum estrone and estradiol levels rise appreciably (Table l).25
Table 1. Serum Estrone and Estradiol (pg per ml) Levels After Administration of Testosterone*.

Are androgens merely intermediates in the biosynthesis of estrogens or actual secretory products of the ovary? In the polycystic ovary syndrome of Stein-Leventhal, the secretion of urinary androgens is markedly reduced after wedge resection of the ovaries.21 The isolation of Δ4androstenedione in pooled ovarian tissue was demonstrated by Zander.52 Wedges resected from normal ovaries contained small quantities of Δ4androstenedione but large amounts of 17ahydroxyprogesterone and Δ4androstenedione after in-vivo stimulation with human pituitary follicle-stimulating hormone (FSH), whereas polycystic ovaries contained large quantities of Δ4androstenedione and/or dehydroepiandrosterone without prior stimulation with gonadotropins.36 High levels of Δ4androstenedione were found in cystic fluid obtained from polycystic ovaries of Stein-Leventhal.46 The major radioactively labeled steroids, Δ4androstenedione, dehydroepiandrosterone, and testosterone, appear to be produced by the ovarian stroma.29
Androgen production in the aged woman
The menopausal ovary loses it capability to aromatize sex steroids; the lack of conversion of Δ4androstenedione to estrone, and testosterone to estradiol, results in elevatefl levels of serum androgens. Judd, Lucas, and Yen33 reported the results of ovarian and peripheral vein blood values of androgens in menopausal women. The mean ovarian testosterone levels were 15-fold higher than in the antecubital vein, and Δ4androstenedione levels were four to five times higher. Judd and co-workers concluded that ovarian Δ4andro- stenedione and testosterone secretion is greater in postmenopausal than in premenopausal women.
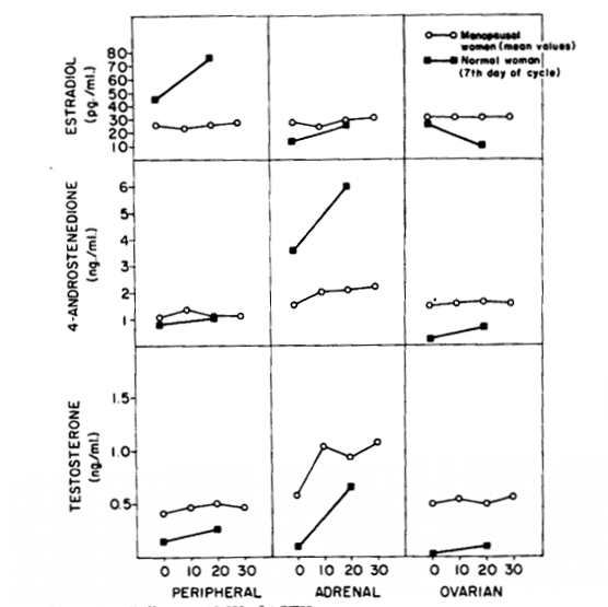
A similar study was performed by Greenblatt and co-workers23 following ovarian stimulation with 5000 IU of human chorionic go-nadotropin (hCG) intravenously. The results presented in Table 2 indicate that levels of Δ4androstenedione are much higher in ovarian vein blood (2.3 ± 0.28 ng per ml) of the menopausal woman than in normal women (1.72 ng per ml)). Peripheral vein (1.15 ± 0.17 ngper ml) and adrenal vein blood (1.72 ± 0.14 ng per ml) levels are also much lower than in ovarian vein blood. Testosterone values are also higher in the menopausal group and significantly higher than in postmenopausal peripheral and adrenal vein blood samples. Both Δ4androstenedione and testosterone rose dramatically in patients studied 30 minutes after an intravenous injection of hCG; the former was much higher than the latter (Fig 1). When adrenocorticotropic hormone was administered intravenously to one normal woman and several menopausal women, ovarian and adrenal vein blood obtained by catheterization revealed good adrenal response of Δ4 androstenedione and testosterone but not estradiol (Fig 2).23
Table 2.Mean ± SE Values of Testosterone, Δ4 Andros tenedione, and Estradiol in Menopausal and Nonmenopausal Women*.


Figure 1. Following 5000 IU of hCG given intravenously the Δ4 androstenedione and testosterone levels in ovarian vein blood increased considerably in menopausal women.

Figure 2. Following 40 IU of ACTH intravenously, testosterone levels rose sharply in the adrenal vein blood in both normal and menopausal women without a rise in peripheral or ovarian vein blood.
CONICAL CONSIDERATIONS
The use of androgens in the management of disorders in women was first suggested by Demarest and Capitain9 in Europe, and in the United States by Greenblatt.15 Salmon45 published a plea for their use in women. Controversy arose since it was claimed that androgens were contrasexual and ovary-negating and that there were no hy- poandrogenic states to justify their use.28 The editor of the Journal of Clinical Endocrinology asked this essayist to referee the gross difference in points of view as published by Salmon and Hamblen. The answer then was the same as it is now. In a letter to the editor, I stated that (1) androgens were not contrasexual; otherwise, we could not account for the appearance of the same androgens in the urine of men and women; (2) androgens, administered in nonvirilizing doses, were not ovary-negating since ovulatory menstrual cycles continue. Massive doses are contraphysiologic and ovary-negating, but large doses of estrogens also suppress ovarian activity; (3) hypoandrogenic states do exist in Addison’s disease and in sexual infantilism due to hypopituitarism. Furthermore, hormones are used not only in deficit states but also as pharmacologic agents, just as cortisone is employed in the management of rheumatoid arthritis or adrenaline in an acute case of asthma.16
MENOPAUSAL SYNDROME
None will dispute that estrogens will alleviate vasomotor symptoms such as the hot flash and night sweats. When estrogens are contraindicated, androgens frequently yield relief, though progestagens may also do so. The latter, however, do not provide the same degree of well-being and vigor. When estrogens alone are less than effective, then the addition of an androgen frequently will prove satisfactory. A double-blind randomized study using an estrogen, an estrogen-androgen combination, an androgen, and a placebo revealed that alleviation of hot flashes occurred in 96 per cent on estrogen, 89 per cent on androgen-estrogen, 55 per cent on androgen, and 16 per cent on a placebo.19 The estrogen-androgen preparation was preferred because not only were hot flashes relieved but also libido was greater than with the estrogen alone (Table 3).
Table 3. Increase in Libido of Menopausal Women on Androgens*.

SEXUAL DYSFUNCTION
When dyspareunia adversely affects and dampens desire for sexual relations in menopausal women, the chief reason usually is vaginal dryness caused by atrophy of the mucosa. Estrogens administered orally, parenterally, or locally by the use of estrogen creams are often quite satisfactory. When estrogens prove insufficient to restore lost sexual desire, when a trial with androgens is indicated.
Several reports in the literature on androgens in sexual dysfunction meet fairly rigid criteria. In the previously mentioned doubleblind study, an increase in libidinous drive was experienced in 65 per cent of the women on androgen, 12.3 per cent on the estrogen only, and 1.8 per cent on the placebo (Table 3).19 A study of 76 women who received pellet implants of 50 mg of estradiol, a combination of 50 mg of estradiol and 100 mg of testosterone, or a blank showed that only the women on the combination experienced a decided increase in sexual response and frequency of coitus.48
Sherwin and Gelfand46 investigated the effects of intramuscular injections of estradiol valerate, testosterone enanthate, alone or in combination, and a placebo on the physical and psychologic symptoms in surgical menopause. The study was carried out prospectively, in a double-blind cross-over fashion. They concluded “although estrogen reliably relieves atrophic vaginitis and dyspareunia, it has no effect on sexual arousal, desire, or number of orgasms, but in women who received androgens or the combined androgen-estrogen drug, the mean level of sexual desire, the number of sexual fantasies, and the level of sexual arousal was greater than in those women who received the estrogen alone or the placebo.”
Androgens are the hormones of choice in helping restore lost sex drive, although estrogens alone may help some women. Even pro- gestogens are occasionally effective. In women with primary frigidity, sex counseling and the assistance of a psychologist to uncover a deep- seated complex may be needed; nonetheless, several trials with hormones may prove rewarding. In an open-ended study of intelligent and apparently well-adjusted women reporting loss of libido, a variety of hormones were tried, including estrogen, androgens, progestagens, and placebo. The response to androgens, especially when pellets of testosterone were employed (1 or 2 pellets of 75 mg of pure testosterone), was most gratifying. Figure 3 charts a typical response. In a series of depressed menopausal women who reported lost or low sexual drive, marked improvement or return of libido was noted in a good percentage following implantation of two pellets of estradiol (2o mg each). Actually, even better results were obtained when a testosterone pellet was added to the regimen. In this series, the low serum free and total tryptophan levels increased decidedly, confirming the findings of Aylward,1 who found an increase in serum tryptophan after estrogen administration. Coincident with the lessening of depression, a good percentage of these women experienced a marked improvement in libido. The question remains whether the lifting ot the depression or the hormones per se accounted for the beneficial sexual response (Table 4).24

Figure 3. Comparative effects of various hormones on libido in a 36-year-old woman complaining of frigidity. Top, sequence of hormone dosages. Bottom, Responses ( + to 5 + ). A = methyitestosterone; B == placebo; C = testosterone by implantation; D = no therapy; E = testosterone propionate s.c.; F = progestogens; G = estrogens. (From Greenblatt RB, Leng J-J: Factors influencing sexual behavior. J Am Geriatr Soc 20:49, 1972; with permission).
Table 4. Serum Tryptophan Values in Depressed Menopausal Women*.

Sexual libido is a complex phenomenon that can be studied only in the human. The state of one’s health and psychogenic, anatomic, neurologic, and hormonal factors play important roles. Many sex therapists believe that most of the problems of sexual dysfunction are psychogenic and therefore could be treated by psychiatrists, psychol- ogists or sex counselors. This may be true for a small proportion ot women, but it is good to remember that libido may be compared to a test tube equation—there may be many factors but the androgenic component is essential. A beautiful woman with feminizing testes (androgen-resistant syndrome), as a rule, has little if any sexual libido.
The metabolic fate of testosterone involves conversion into es-tradiol and 5αhydroxytestosterone; one of the enzymes in the pathway of biosynthesis has aromatase activity (Fig. 4). The intracerebral administration of an aromatase blocker (andros l,4,6,triene- 3,17-dione) will inhibit masculine sex behavior in spite of presence of testosterone.4 It appears that estradiol and 5αhydroxytestosterone are essential for expression of such behavior rather than the parent testosterone.5

Figure 4. Testosterone is reduced to DHT (dihydrotestosterone, the active form of testosterone) through aromatization to estradiol. A blockade of aromabehavior. Estradiol and dihydrotestosterone are essential for expression of sexual behavior. (From Christensen LW, Clemens LG: Blockade of testosterone-induced mounting behavior in in the male rat with intracranial application of the aromatization inhibitor, androst l,4,6-triene-3,17-dione. Endocrinology 97:1545, 1975; with permission.)
OSTEOPOROSIS
Postmenopausal osteoporosis was described by Albright and col-leagues in 1940.2 They believed that loss of calcium and phosphate, the principal minerals of bone, resulted from the estrogen deficiency. In a retrospective study of 220 women with far-advanced osteoporosis followed for 1507 patient-years, Gordan, Picchi, and Roof14 showed that estrogen replacement therapy reduced the fracture rate to 0.3 per 1000 women per year. Henneman and Wallach30 reviewed the prolonged use of estrogens and androgens by Albright and concluded that the patient (man or woman) for the most part ceased losing height and stopped having fractures. Hernberg31 used androgens and estrogen with satisfactory results. Davidson and co-workers7 found that women with hip fractures had lower levels of free estrogen and testosterone than control subjects.
Justification for the addition of androgens to the estrogen regimen may be found in a report by Lindsay and co-workers,35 who showed that the more rapid bone loss in the early menopausal years was associated with low circulating levels of androstenedione and estrogen. Furthermore, they confirmed that steroid agents other than estrogens also prevent bone loss and showed that an anabolic agent (OD 14) was quite effective. Moreover, the addition of a progestational agent to an estrogen regimen, either in combination or sequentially, not only prevented bone decay but actually increased bone density.41
Osteoporosis, in most instances, is a preventable disease—provided hormonal therapy is instituted within 3 years of the menopause and continued as long as possible, along with an adequate intake of calcium and a moderate degree of activity (exercise). Actually, it is never too late to start hormonal therapy: even in advanced osteoporosis, further bone decay often may be prevented.
LICHEN PLANUS VEL ATROPHICUS
Invariably associated with thickening and whitening of the vulvar tegument and shriveling of the labia is an intense pruritus. This disorder, usually seen in aging women, may also occur in younger women with a marked estrogen deficiency. Other terms used to describe this condition are leukokraurosis, chronic atrophic dermatitis of the vulva, and kraurosis vulvae.
Little is known about the etiology of the syndrome. Some believe that the estrogen deficiency is associated with a nutritional factor. Swift49 suspected that achlorhydria prevented proper vitamin A absorption from the diet. Actually, in our own series of 18 cases, analysis of gastric juices revealed that only three had free hydrochloric acid; the others had low values for total hydrochloric acid.20 Although the treatment of choice is an estrogen administered orally or parenterallv along with the local use of hydrocortisone creams or their analogues, there are many reports on the effectiveness of local testosterone ointments, as recommended by Richardson and Williams.44
NOCTURIA AND INCONTINENCE
Disorders of micturition in women not due to infection, anatomic defects, cardiovascular-renal disease, or psychogenic disturbances may be the result of hormonal dysfunction. Nocturnal frequency of micturition is the most common urinary symptom in the elderly, and usually it is not associated with infection.38 In a doubleblind trial using estrogens and placebo in 29 incontinent patients, Walter and colleagues50 found that symptomatic relief frequently occurred in the estrogen-treated group.
If estrogens are useful, why employ androgens? Androgens alone or in combination with estrogens may be used in those not responsive to estrogens alone. Furthermore, some women who require large dosages of estrogen may actually develop urinary frequency just as occurs early in pregnancy. Actually, testosterone was used for the alleviation of disorders of micturition in menopausal patients by Mocquot and Moricard as far back as 1936.39 Androgens were also employed in an attempt to reduce the size of fibromyo- mata. Reduction in the size of massive uterine tumors failed to occur, but the nocturia was alleviated in the majority of women treated with testosterone pellets (Fig. 5).17 Few reports have appeared to corroborate the beneficial action of androgens in the management of urinary problems. De Watteville8 felt that in cases of slight stress incontinence transitory relief sometimes followed moderate doses of testosterone propionate (25 mg intramuscularly at 10- to 15-day intervals). Muellner and Hamilton40 found that testosterone propionate administered to both men and women improved tonus of bladder musculature.

Figure 5. Influence of pellets of testosterone on nocturia. (From Greenblatt RB: Testosterone propionate pellet implantation in gynecie disorders. JAMA 121:11, 1943; with permission).
PRIMARY AND SECONDARY HYPOPITUITARISM
Women who develop destructive pituitary lesions (Simmonds’ disease) or hypopituitarism as a result of postpartum pituitary necrosis (Sheehan’s syndrome) will manifest varying signs and symptoms of multiglandular failure. Hormone replacement therapy with estrogens and progestogens, and thyroid hormone and corti- coids when needed, will allow the patient to enjoy a modicum of good health. But unless androgens are added to the regimen, sexual hair loss will not be restored, anemia usually remains unresponsive to iron, and vitality remains low. So, too, it is with young women with sexual infantilism resulting from hypopituitarism (Kallmann’s syndrome), primary hypopituitarism, craniopharyngioma, chromophobe tumor and failure to menstruate or develop secondary sex characteristics (breast growth and pubic and axillary hair). Menses may be induced and breasts may grow after sequential treatment with estrogen and progestogen, but sexual hair will not appear unless an androgen is added to the regimen of therapy. If after the appearance of pubic and axillary hair a placebo replaces the androgen, sexual hair will regress (Figs. 6).18 Androgens play a primary role in the maintenance of normal sexual hair.

Figure 6. A, Sexual infantilism in a 23-year-old woman with hypopituitarism. B, Following 2 years of cyclic estrogen and progesterone therapy, breast development occurred, as did regular withdrawal menstrual bleeding, but no growth of sexual hair occurred. C, The addition of androgens to the regimen resulted in pubic hair, which regressed when a placebo was substituted. (From Greenblatt RB: Sexual infantilism in females. West J Surg 53:222, 1945; with permission).
The current notion is that the onset of menopause will put an end to the misery experienced by the woman with premenstrual syndrome. The reverse is more likely to occur. Many such women are destined to suffer the agonies of a severe menopausal syndrome. The personality defects and the inability to cope continue with the changing hormonal status.
Ten to 20 per cent of women in their reproductive years seek medical aid because of cyclic bouts of nervousness, irritability, depression, and hostility often accompanied by bloating and breast tenderness. These signs and symptoms start between day 14 of the cycle and a few days before the expected menses. They usually disappear with the onset of the menstrual flow. The symptom complex usually appears only in ovulatory women, and for that reason faulty progesterone metabolism or an abnormal psychophysical response to progesterone has been suspected. In fact, Gillman13 warned that progesterone administration might provoke the syndrome.
A dozen theories as to etiology have been offered since Frank first described the syndrome in 1931. Many therapeutic procedures, all with some measure of success, have been offered for its alleviation ranging from psychotherapy, vitamins, diuretics, hormones, tranquilizers, and placebos. Dalton6 recommends massive doses of progesterone up to 2400 mg per day in the form of suppositories. Magos and Studd36 suggest inhibiting ovulation by subcutaneous implantation of 100 mg of estradiol pellets at 6-month intervals. Unfortunately, characteristic symptoms of premenstrual syndrome may recur during the seven to 10 days of the progestogen therapy needed to induce orderly withdrawal periods. Barfield and co-workers3 offered a comprehensive approach to treatment with a progestogen-diuretic-tranquil- izer combination, but there is no standard form of treatment since the etiology remains an enigma.
If every modality of treatment fails, a trial of androgens is recom-mended26—such as injection of testosterone (50 mg of testosterone cypionate), or one or two pellets of pure testosterone implanted at 6-month intervals, or methyl testosterone, 2.5 to 5 mg administered orally for 10 to 14 days during the luteal phase.11
ENDOMETRIOSIS
In the past, endometriosis was managed either surgically, hormonally, or both. Earliest attempts to modify the pelvic discomfort common to women with endometriosis were by the use of androgens. Several publications attested to its value. Even Hamblen,28 who had once opposed the use of androgens in gynecic disorders, finally reported on the beneficial use of methyl testosterone in endometriosis. For many years, my group employed two testosterone pellets implanted at 6-month intervals. At this dose level, menses as a rule continued, relief was frequently obtained, and masculinizing symptoms (hirsutism, acne) were rare or minimal. Later, Kistner34 introduced continuously increasing doses of oral contraceptives lnduce a pseudopregnancy. Many women were relieved of their discomfort by the prolonged period of amenorrhea. A good percentage of women, however, could not tolerate the large doses needed to prevent breakthrough uterine bleeding.
With the advent of danazol (an impeded androgen derived from 17-ethinyl testosterone), remarkable relief was attained in 50 to /0 per cent of women treated with a dosage deemed adequate for the particular case. Doses ranged from 100 to 800 mg per day in trials ranging from 3 to 9 months, depending on the severity of the complaints and the objective findings on pelvic examination or laparoscopy. In the larger doses, amenorhea usually occurred; untoward reactions such as mild acne, hirsutism, weight gain, and many other trivial side effects were frequent.10,22 The benefits outweighed the untoward effects.
FIBROCYSTIC BREAST DISEASE
Growth hormone, prolactin, insulin, corticoids, androgens, but particularly estrogens and progesterone influence breast growth and function. Fibrocystic breast disease is a common disorder of women. It begins during the early reproductive years as a consequence of histologic changes induced by the monthly ebb and flow of hormones. Inappropriate physiologic responses result in mastodynia, mazoplasia, dysplasia, adenosis, fibromatous changes, and apocrine epithelial metaplasia. These are thought to be abnormal histologic changes rather than disease. However, women with gross breast cysts that occur mainly in the perimenopausal years often have papillary excrescences and ductal papillomas. These women are thought to be at four times greater risk of developing mammary cancer. It is therefore prudent to try to prevent the progression of fibrocystic breast disease. When danazol was first employed in the treatment of endometriosis, many women volunteered the information that breast pain and lumpiness frequently lessened or disappeared. Danazol (in doses varying from 50 to 400 mg per day) has proved quite effective.42 When danazol is contraindicated because of untoward effects, then bromocriptine, progestogens, thyroid hormones, and even placebo may be tried.43
ADDISON’S DISEASE
Chronic adrenal cortical hypofunction, known as Addison’s disease, was once a fatal disease. With the advent of cortisone therapy, patients may be kept in a good state of health. The adrenal cortex produces three distinct sets of hormones: the mineralocorticoids (aldosterone), the glucocorticoids (hydrocortisone), and gonadal steroids (androgens). While cortisone and its analogues alone may prove satisfactory in management of most cases, there remain those who also require salt-retaining corticoids such as Florinef or desoxycorti- costerone to help maintain electrolyte and water balance and to normalize blood pressure. Because of the androgen deficit, the addition of testosterone to the treatment regimen has proved of value in restoring lost sexual hair, muscle mass, strength, and sexual drive.20
UNTOWARD EFFECTS
Large doses of testosterone will cause cessation of menses, induce regressive changes of the vaginal mucosa, and defeminize a woman, but only rarely on low pharmacologic doses. A small percentage of women will develop some hirsutism, mild acne, and, more rarely, voice changes or slight enlargement of the clitoris even on low dosages. If so, further androgen therapy should be discontinued; the untoward effects usually subside. In some cases, one quarter of a teaspoonful of a 1 per cent testosterone cream applied locally to the genital area may be used to advantage in those women highly sensitive to oral or parenteral testosterone. But even this modality is not without some untoward effects in the occasional case. Despite such untoward reactions, many women prefer to continue androgen medi-cation because the benefits far outweigh the inconveniences. Whenever parenteral estrogens in combination with androgens are used in women who have not had hysterectomies, cyclic 7- to-10 day courses of an oral progestogen are mandatory to assure regular withdrawal bleeding and reduce the risk of endometrial cancer. In those who are opposed to withdrawal periods, 1.25 mg of methyl testosterone or the equivalent and 0.625 mg of conjugated estrogens or the equiva- lent may be administered orally from Monday to Friday of each week. If breakthrough bleeding occurs on this regimen, then an endometrial biopsy is mandatory to rule out endometrial neoplasia.
In the United Kingdom, estrogen pellets are readily available, but in the United States their availability is limited to physicians who obtain, by application, IND (investigational new drug) status from the FDA. Testosterone pellets are available in the United States; no FDA permission is required.
Androgen dosage should be limited when used orally to 100 mg of methyl testosterone or 50 mg of fluoxymesterone per month; intramuscular injections of testosterone enanthate or cypionate to 50 mg every 3 to 4 weeks; or pellets of testosterone, 75 to 150 mg every 6 months. Table 5 lists available commercial preparations.
Table 5. Clinical Experience with Androgens.

CONCLUSIONS
In the menopausal woman, anabolic androgens take on considerable importance. Perhaps their role, aside from being a source of estrogens through conversion, is to conterbalance the continuing catabolic effect of glucocorticoids, which do not, to any degree, diminish with age. In the aging woman, signs of a forme fruste of a Cushing-like syndrome frequently become manifest, such as thinning of the skin (with loss of subcutaneous matrix, easy bruisability, petechial hemorrhages), loss of muscle mass (protein wasting), demineralization of bone (loss of bone mass, collapsed vertebrae, dowager hump), rising blood pressure, and impairment of carbohydrate metabolism. The addition of androgens to estrogen medication may serve to counteract the catabolic milieu of the postmenopausal period.
Androgens are psychotrophic drugs, participating in both physiologic and psychologic components of sexual behavior. They modulate the neurohumors of the brain and influence affective behavior. Androgens in non virilizing doses complement estrogens, are synergistic rather than contraphysiologic, and may be employed effectively by most women to whom the steroid has been administered alone or in combination with an estrogen. The menopausal women who has failed to experience the expected benefits of estrogen replacement therapy should be offered a trial of an estrogen-androgen combination. Androgens are helpful in many gynecologic and nongynecologic disorders. Their use has not been exploited fully.
References
Aylward M: Plasma tryptophan levels in mental depression in postmenopausal subjects. Effect of oral piperazine oestrone sulfate. Med Sei 1:30, 1973
Albright F, Bloomberg E, and Smith PH: Postmenopausal osteoporosis. Trans AssocAm Phys 55:298, 1940
Barfield WM, Jungck EC, Greenblatt RB: The premenstrual tension syndrome. South Med J 55:1139, 1962
Baum MJ, Starr MS: Inhibition of sexual behavior by dopamine antagonist or serotonin agonist drugs in castrated male rats given estradiol or dihydrotestosterone. Pharmacol Biochem Behav 13:57, 1980
Christensen LW, Clemens LG: Blockade of testosterone-induced mounting behavior in the male rat with intracranial application of the aromatization inhibitor, androst l,4,6-triene-3,17-dione. Endocrinology 97:1545, 1975
Dalton K: Sex hormone binding-globulin concentrations in women with severe premenstrual syndrome.Postgrad Med J 57:560, 1981
Davidson BJ, Ross RK, Paganini-Hill A, et al: Total and free estrogens and androgens in postmenopausal women with hip fractures. J Clin Endocrinol Metabol 54:115, 1982
De Watteville PH: In Greenblatt RB (ed): Clinical Obstetrics and Gynecology. NewYork, Paul B Hoeber, 1960
Demarest, Capitain: Quoted by de Watteville PH: In Greenblatt RB (ed): Clinical Obstetrics and Gynecology. New York, Paul B Hoeber, 1960
Dmowski WP, Cohen MR: Antigonadotropin (danazol) in the treatment of endome triosis. Am J Obstet Gynecol 130:41, 1981
Freed SC: The treatment of premenstrual distress with special consideration of the androgens. JAMA 127:377, 1945
Gillman J: The effect of multiple injections of progesterone on the turgescent perineum of the baboon (Papio porcarius). Endocrinology 26:1072, 1940
Gillman J: Nature of subjective reactions evoked in women by progesterone with special reference to the problem of premenstrual tension. J Clin Endocrinol 2157 1942
Gordan CS, Picchi J, Roof BS: Antifracture efficacy of long-term estrogens for osteoporosis. Trans Assoc Am Phys 86:326, 1973
Greenblatt RB: Syndrome of nocturnal frequency alleviated by testosterone propionate. J Clin Endocrinol 2:321, 1942
Greenblatt RB: Hormone factors in libido. J Clin Endocrinol 3:305, 1942
Greenblatt RB: Testosterone propionate pellet implantation in gynecic disorders. JAMA 121:11, 1943
Greenblatt RB: Sexual infantilism in females. West J Surg 53:222, 1945
Greenblatt RB, Barfield WE, Gamer JE, et al: Evaluation of an androgen, an estrogen, an estrogen-androgen combination and a placebo in the treatment of the menopause. J Clin Endocrinol 10:1547, 1950
Greenblatt RB: Office Endocrinology. Ed. 4. Springfield, Illinois, Charles C Thomas, 1952
Greenblatt RB: Cortisone in treatment of the hirsute woman. Am J Obstet Gynecol 66:700, 1953
Greenblatt RB, Dmowski WP, Mahesh VB, et al: Clinical studies with an antigonadotropin—danazol. Fertil Steril 22:101, 1971
Greenblatt RB, Colle ML, Mahesh VB, et al: Ovarian and adrenal steroid production in the postmenopausal woman. Obstet Gynecol 47:383, 1976
Greenblatt RB, Chaddha JS, Teran AZ, et al: Aphrodisiacs. In Iversom SD (ed): Psychopharmacology. Recent Advances and Future Prospects. London, Oxford Press, 1985
Greenblatt RB, Vasquez JM: Extragonadal sources of oestrogens. Pharmatherapeutica 2(suppl 2):76, 1980
Greenblatt RB: Syndrome of major menstrual molimina with hypermenorrhea alleviated by testosterone propionate. JAMA 115:120, 1940
Hamblen EC: Rationale of androgenic therapy in gynecology. J Clin Endocrinol 1:180, 1941
Hamblen EC: Androgenic therapy of women. South Med J 50:493, 1957
Hammerstein J, Rice BF, Savard K: Steroid hormone formation on the human ovary: identification of steroids formed in vitro from acetate-l-C in the corpus luteum. J Clin Endocrinol 24:597, 1964
Henneman PH, Wallach S: A review of the prolonged use of estrogens and androgensin postmenopausal and senile osteoporosis. Arch Intern Med 100:715, 1957
Hemberg CA: Treatment of postmenopausal osteoporosis with oestrogens and androgens. Acta Endocrinol 34:51, 1966
Horton R, Tait J: Androstenedione production and interconversion rates measured in peripheral blood and studies on the possible site of its conversion to testosterone. J Clin Invest 45:301, 1966
Judd HL, Judd GE, Lucas WE et al: Endocrine function of the postmenopausal ovary, concentration of androgens and estrogens in ovarian and peripheral vein blood. J Clin Endocrinol Metabol 39:1029, 1974
Kistner RW: Three new synthetic progestins in the treatment of endometriosis. Obstet Gynecol 31:821, 1968
Lindsay R, Hart DM, Kraszewski A: Prospective double-blind trial of synthetic steroid (Org OD 14) for preventing postmenopausal osteoporosis. Br Med J 280:1207, 1980
Magos A, Studd JWW: PMS—a new approach to cause and cure. Contemp Obstet Gynecol 24:85, 1984
Mahesh VB, Greenblatt RB: Steroid secretions in the normal and polycystic ovary. Rec Prog Horm Res 20:341, 1964
Milne JS, Williamson J, Maule MM: Urinary symptoms in older people. Mod Geriatr 2:198, 1972
Mocquot P, Moricard R: Etude préliminaire des effets provoques par l’hormone male (acetate de testosterone) sur les troubles fonctionnels urinaires de la femme et de l’utilisation des hormones males en gynécologie. Bull Soc Gynecol Obstet 25:791, 1936
Muellner SR, Hamilton JB: The effect of testosterone propionate on the tonus of the urinary bladder. J Urol 52:139, 1944
Nachtigall LE, Nachtigall RH, Nachtigall RD, et al: Estrogen replacement therapy. I. A 10-year prospective study in the relationship to osteoporosis. Obstet Gynecol 53:277, 1979
Nezhat C, Asch RH, Greenblatt RB: Danazol for benign breast disease. Am I Obstet Gynecol 137:604, 1980
Peters F, Pickardt CR, Breckwoldt M: Endocrinology of Cystic Breast Diseuse. New York, Raven Press, 1983
Richardson AC, Williams GA: Topical androgenic hormones in vulvar kraurosis-leukoplakia syndrome. Am J Obstet Gynecol 76:791, 1958
Salmon UJ: Rationale for androgen therapy in gynecology. J Clin Endocrinol 1:162, 1941
Sherwin BB, Gelfand MM: Differential symptom response to parenteral estrogen and/or androgen administration in the surgical menopause. Am J Obstet Gynecol 151.152, 1985
Short RV: Further observations on the defective synthesis of ovarian steroids in the Stein-Leventhal syndrome. J Endocrinol 24:359, 1962
Studd JWW, Collins WP: Oestradiol and testosterone implants in the treatment of psychosexual problems in the post-menopausal women. Br J Gynaecol 84:314, 1977
Swift BH: Achlorhydria as an aetiological factor in pruritus vulvae, associated with kraurosis or leucoplakia. J Obstet Gynaecol Br Emp 43:1053, 1936
Walter S, Wolf H, Barlebo H, et al: Postmenopausal urinary problems. Clin Obstet Gynaecol 3:198, 1976
Watson GH, Korach KS, Muldoon TG: Obstruction of estrogen-receptor complex formation. Further analysis of the nature and steroidal specificity of the effect Endocrinology 101:1733, 1977
Zander J: Steroids in the Human Ovary. J Biol Chem 232:117, 1958