C. Gusea, S. Koenningsa, F. Kreyeb,c, F. Siepmannc, A. Goepfericha, J. Siepmannb,c,⚹
aCollege of Pharmacy, University of Regensburg, Universitaetsstr. 31, 93040 Regensburg, Germany; bCollege of Pharmacy, Freie Universitaet Berlin, Kelchstr. 31, 12169 Berlin, Germany; cCollege of Pharmacy, University of Lille, 3 rue du Professeur Laguesse, 59006 Lille, France.
J. Siepmann. Tel.: +33 3 20964708; fax: +33 3 20964942; E-mail: juergen.siepmann@univ-lille2.fr.
Abstract
The aim of this study was to better understand the mass transport mechanisms involved in the control of drug release from lipid-based implants. Different types of triglyceride-based cylinders were prepared by compression. Glycerol-trilaurate, -trimyristate, -tripalmitate and -tristearate were used as model lipids, lysozyme and pyranine as model drugs. The effects of several formulation and processing parameters on the resulting drug release kinetics in phosphate buffer pH 7.4 were studied and the obtained results analyzed using Fick’s second law of diffusion. Interestingly, lysozyme release from implants prepared by compression of a lyophilized emulsion (containing dissolved drug and lipid) was found to be purely diffusioncontrolled, irrespective of the type of triglyceride. In contrast, the dominating release mechanism depended on the type of lipid in the case of pyranine- loaded implants prepared by compression of a lyophilized lipid-drug solution: with glycerol-trilaurate and -tristearate the systems were found to be purely diffusion-controlled, whereas also other mass transport phenomena are of importance in glycerol-trimyristate and -tripalmitate-based devices. Similarly, changes in the size of the compressed lipid-drug particles, drug loading and compression force significantly affected the underlying release mechanisms. The addition of a drug-free, poly(lactic-co-glycolic acid) (PLGA)-based coating around the implants delayed the onset of pyranine release for about 20 days. Interestingly, the subsequent drug release was purely diffusion-controlled, irrespective of the type of triglyceride. Also the addition of different amounts (and particle size fractions) of saccharose to pyranine-loaded implants led to purely diffusion-controlled drug release. © 2006 Elsevier B.V. All rights reserved.
Keywords: Lipid; Implant; Controlled release; Release mechanism; Mathematical modeling.
Introduction
Many proteins are promising drug candidates for various types of diseases. However, the development of pharmaceutical dosage forms for protein-based drugs is difficult. Due to denat-uration and enzymatic degradation in the gastro-intestinal-tract proteins cannot be administered orally. At present, parenteral administration is the standard route of application. However, due to the generally very short half-life of proteins in the human body, frequent administration is required. The use of time-controlled drug delivery systems offers an interesting possibility to overcome these restrictions. The drug is generally embedded within a matrix former, which protects the protein from degradation due to external factors (e.g., enzymes) and controls its release rate. This type of delivery systems can release proteins in a pre-determined and controlled manner over extended periods of time (weeks to months). Consequently, desired (e.g., about constant) drug concentrations can be maintained at the site of action.
Often, polymers are used as matrix formers in this type of controlled drug delivery systems, in particular poly(lactic- co-glycolic acid) (PLGA), because it is biocompatible and biodegradable. For example, the groups of Benoit and Menei (Menei et al., 1999, 2004, 2005) developed 5-fluorouracil- loaded, PLGA-based microparticles for the treatment of brain tumors. These particles are directly injected into the resection cavity of the tumor to prevent local recurrences. Clinical trials have shown promising results with this type of treatment method (Menei et al., 2004, 2005). However, the use of PLGA can significantly affect the biological activity of incorporated drugs, especially proteins, due to the creation of acidic micro-climates upon polymer degradation (Grizzi et al., 1995; Lu et al., 1999; Kang and Schwendeman, 2002). Several strategies have been proposed to overcome this restriction, including the use of lipids as matrix formers instead of PLGA (Guse et al., 2006). In addition to the avoidance of acidic microclimates upon degra-dation, lipids have the major advantage not to swell to a notable extent upon contact with aqueous media. This property is very important for drug delivery systems which are to be adminis-tered into the brain tissue, because significant swelling in the brain causes serious side effects.
Reithmeier et al. (2001a) reported the use of lipidic micropar-ticles for the parenteral administration of peptides. Glycerol- tripalmitate was used as matrix former for the delivery of insulin and the immunomodulating peptide thymocartin. The systems showed good biocompatibility in mice and promising drug release profiles. Similarly, somatostatin (a peptide with a short half-life in the human body) was encapsulated into glycerol- tripalmitate-based microparticles (Reithmeier et al., 2001b). The size range of the devices allowed intramuscular or subcutaneous injection and in vitro drug release could be controlled over 10 days. Vogelhuber et al. (2003a) demonstrated that the use of glycerol-trimyristate as matrix former ensured good protein stability. Hyaluronidase remained stable during the preparation of cylindrical, protein-loaded implants and upon contact with the triglyceride matrices. The release rate could effectively be adjusted by adding different amounts of gelatin to the systems. Vogelhuber et al. (2003b) prepared lipid-based, cylindrical matrices loaded with the model dye pyranine for parenteral con-trolled drug delivery over periods of several weeks. The matrices consisted of triglycerides or triglyceride/cholesterol mixtures. Pyranine release was found to strongly depend on the fatty acid chain length of the triglycerides and on the cholesterol content of the matrices. Increasing the chain length from C12 to C18 resulted in decreased release rates. Pongjanyakul et al. (2004) used a melting method to prepare glyceryl-palmitostearate-based pel-lets into which lysozyme was incorporated. The addition of hydrophilic components (polyethylene glycol: PEG and Gelu- cire 50/13) to the molten matrices led to increased protein release rates. Wang (1989, 1991) used palmitic acid for the preparation of insulin-loaded implants. In vivo studies in rats showed reduced blood glucose levels during approximately 50 days upon administration. Mohl and Winter (2004) prepared glycerol-tristearate-based implants containing rh-interferon α-2a and various amounts of PEG. Controlled drug release during 1 month could be achieved adding 10% PEG to the formulations. Furthermore, the addition of hydroxypropyl-β-cyclodextrin to the matrices proved to stabilize the protein and to increase the release rate.
Despite of the major advantages lipid-based implants offer for the controlled release of protein-based drugs, yet little is known on the underlying mass transport mechanisms in these systems. An interesting study was reported by Kaewvichit and Tucker (1994). They investigated the effects of the compression force as well as of the particle size and loading of bovine serum albumin (BSA) in stearic acid-based matrices on the resulting protein release kinetics. At low loadings (5%, w/w), only protein located in near-surface regions of the matrix was released and the extent of BSA release depended on the protein particle size. In contrast, at higher loadings (20%, w/w), BSA release occurred also via an interconnected pore network (which was created by the dissolution of protein particles and void spaces between stearic acid particles) from inner parts of the implants.
The major aims of the present study were: (i) to prepare different types of pyranine and lysozyme-loaded, lipid-based implants, which can be directly injected into the brain tissue, (ii)to investigate the effects of several formulation and pro-cessing parameters on the resulting drug release kinetics and (iii)to get further insight into the underlying mass transport mechanisms.
Materials and methods
Materials
Lysozyme (Sigma, Hanover, Germany), pyranine (Sigma- Aldrich, Deisenhofen, Germany), glycerol-trilaurate, -trimy- ristate, -tripalmitate, -tristearate (Dynasan® 112,114, 116, 118; Sasol GmbH, Witten, Germany), poly(lactic-co-glycolic acid) (PLGA; Resomer RG 502; PLGA 50:50; containing 50% lactic units and 50% glycolic units; Boehringer Ingelheim Pharma KG, Ingelheim, Germany), and saccharose (Suedzucker, Regens-burg, Germany) were used as received.
Implant preparation
Lysozyme-loaded, lipidic implants were prepared by an emulsion-compression method: 1.5 ml of an aqueous lysozyme solution (containing 40 mg protein) was emulsified into a solu-tion of 960 mg triglyceride (glycerol-trilaurate, -trimyristate, -tripalmitate or -tristearate) in 10 ml methylene chloride (vortex mixing). The obtained emulsion was subsequently freeze-dried. The resulting dry powder was ground in an agate mortar and sieved to obtain particles < 106 μm in size. These particles were compressed using a self-made, manual compression tool [with cylindrical matrices (diameter = 2 mm) and a hydraulic press (Perkin Elmer, Rodgau-Jiigesheim, Germany)]. The theoretical lysozyme loading of the implants was 4%, the mass of each implant 7 mg.
Pyranine-loaded, lipid-based implants were prepared by a solution-compression method: the implants consisted of pyranine (used as a model drug), lipid (glycerol-trilaurate, - trimyristate, -tripalmitate, -tristearate) and optionally saccharose as pore-former. An aqueous solution of the drug was added to a solution of the triglyceride in tetrahydrofuran at a ratio of 1:9. The mixture was vacuum-dried and the obtained dry powder ground in an agate mortar. The particles were subsequently sieved to obtain size fractions of < 106 and 106-250 μm, respectively. Optionally, different amounts of saccharose (5, 10, 25 or 50%) (particle size fractions: 25-45 or 150-180 μm) were added to the lipid-drug particles and the blends manually shaken in a 2.0 ml micro test tube (Eppendorf, Hamburg, Germany) for 1 h. The obtained powders were compressed at 50, 250 or 500 N (as indicated) for 10 s using the self-made compression tool men tioned above. The diameter of the cylindrical implants was 1 or 2 mm, the theoretical drug loadings were 1, 10 and 33% (w/w), respectively.
The implants were optionally coated with a drug-free PLGA layer using a two stage-compression method: first, the lower part of the coating layer was prepared by compressing PLGA powder into a die cavity of 2 mm using an upper punch with a staggered shape (250 N for 10 s). In a second step, the core (1 mm diameter drug-loaded implant) was placed into the cavity of the lower part of the PLGA layer and the upper coating part was prepared by adding PLGA powder and subsequent compression (250 N for 10 s). Finally, the coated implants were thermally treated in order to close potential pores in the PLGA coatings. The press was heated in an oven to 48 °C, and the implants were re-compressed at 25 N for 10 s at this temperature.
In vitro drug release studies
In vitro lysozyme release was determined in phosphate buffer pH 7.4 (containing 0.01% sodium azide) at 37 °C (n = 3). The implants were placed into glass vials containing 1.5 ml release medium, which was regularly completely exchanged. The vials were either agitated (80rpm, GFL 3033; Gesellschaft fur Labortechnik, Burgwedel, Germany) or not agitated (as indi-cated). The total amount of released protein was measured using a MicroBCA assay (Sigma, Hanover, Germany).
In vitro pyranine release was determined in phosphate buffer pH 7.4 (containing 0.05% sodium azide) at 37 °C (n = 3). The implants were placed into glass vials filled with 50 ml release medium, followed by horizontal shaking (37 °C; GFL 1086; Gesellschaft fur Labortechnik, Burgwedel, Germany). At pre-determined time points, samples were withdrawn and replaced with fresh medium. The total amount of released drug was measured by fluorescence-spectrophotometry (λex=403nm, λem = 503 nm).
Morphological studies
The morphology of the lipid-based implants was studied using an optical imaging system (Nikon SMZ-U; Nikon, Tokyo, Japan; camera: Sony Hyper HAD model SSC-DC38DP; Elvetec, Templemars, France; Optimas 6.0; Media Cybernetics, Silver Spring, USA) and scanning electron microscopy (S-4000; Hitachi High-Technologies Europe GmbH, Krefeld, Germany) [samples were covered under an argon atmosphere with a fine gold layer (10 nm; SCD 040; Bal-tec GmbH, Witten, Germany)].
Theory
Drug release was described using Fick’s second law of diffusion, considering axial as well as radial mass transfer in cylinders (Crank, 1975):

Where c is the concentration of the drug; t represents time; r, ζ denote the radial and axial coordinates and 0 the angle perpendicular to the r-ζ-plane; D represents the apparent diffusion coefficient of the drug within the implant.
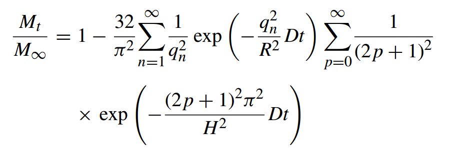
Using infinite series of exponential functions this partial dif-ferential equation can be solved considering the respective initial and boundary conditions [homogeneous drug distribution at t=0 (before exposure to the release medium) and perfect sink conditions], leading to (Vergnaud, 1993):

Where Mt and M∞ represent the absolute cumulative amounts of drug released at time t, and infinite time, respectively; qn are the roots of the Bessel function of the first kind of zero order [J0(qn) = 0], and R and H denote the radius and height of the cylinder.
If drug release leveled off below 100%, the experimentally determined plateau value (amount of mobile drug) was considered as 100% reference value for drug diffusion.
Results and discussion
Implant morphology and drug release kinetics
All implants had macroscopically smooth surfaces. Their shape remained cylindrical upon exposure to the release medium during the investigated time periods. No significant erosion or swelling was observed. Fig. 1a shows exemplarily a lysozyme- loaded, glycerol-tripalmitate-based implant prepared by the emulsion-compression method. Scanning electron microscopy revealed that individual glycerol-tripalmitate plates were clearly visible at the surfaces of the implants. Importantly, submicronsized pores and channels exist between the lipidic plates.

Figure 1. Morphology of glycerol-tripalmitate-based, lysozyme-loaded implants prepared by the emulsion-compression method: (a) optical microscopy picture of the entire implant and (b) scanning electron microscopy picture of the surface of the implant.
The in vitro release kinetics of lysozyme from implants pre-pared with the emulsion-compression method based on different types of triglycerides in phosphate buffer pH 7.4 are shown in Fig. 2 (symbols: experimentally determined values). Clearly, a broad spectrum of protein release rates can be obtained by varying the chain length of the fatty acid of the triglyceride. The following ranking order in the lysozyme release rate was observed: glycerol-trilaurate > -trimyristate > -tristearate > -tripalmitate.

Figure 2. Effects of the type of matrix former (indicated in the figure) on lysozyme release in phosphate buffer pH 7.4 from lipid-based implants prepared by the emulsion-compression method [symbols: experimental values, solid curves: theory (Eq. (2))].
Mechanisms controlling drug release
Importantly, the shape of all lysozyme release profiles was similar, independent of the type of triglyceride: at early time points, the protein release rate was very high and then monoton- ically decreased with time. To better understand the underlying mass transport mechanisms controlling protein release from the investigated implants, an analytical solution of Fick’s second law of diffusion [Eq. (2)] was fitted to the experimentally determined lysozyme release kinetics. As it can be seen in Fig. 2, good agreement between theory (curves) and experiment (symbols) was obtained in all cases. This indicates that protein diffusion through the cylindrical matrices is the dominating mass transport mechanism.
Based on these calculations, the apparent diffusion coefficient of lysozyme in the investigated systems could be determined: D = 4.5 x 10-9, 2.4 x 10-9, 1.2 x 10-9, 0.5 x 10-9 cm2/s for glycerol-trilaurate, -trimyristate, -tristearate, -tripalmitate-based implants, respectively. These are relatively high values, because drug diffusion through the crystalline triglyceride plates can be expected to be negligible. Based on the observed microscopic structures of the investigated implants (e.g., Fig. 1b), it can be assumed that water penetrates into the submicron-size spaces between the lipid plates and that drug release occurs via diffusion through these water-filled channels. Obviously, the structure of this network of submicron-sized voids determines the resulting drug release kinetics.
Thus, it can be expected that the type of preparation method of the implant and type of drug significantly affect the resulting release kinetics. This has been confirmed experimentally: drug release was measured from implants that were prepared by compression of lipid-drug particles obtained either by freeze-drying a triglyceride-drug solution (solution-compression method) or by freeze-drying a water-in-oil emulsion (containing dissolved drug in the inner aqueous and dissolved triglyceride in the outer organic phase: emulsion-compression method). Pyranine release from cylindrical implants prepared by the solution-compression method based on glycerol-trilaurate, - trimyristate, -tripalmitate and -tristearate in phosphate buffer pH 7.4 is shown in Fig. 3. The symbols represent the experimentally determined release kinetics, the solid curves the fitted theory [Eq. (2)]. As in the case of lysozyme-loaded implants prepared by the emulsion-compression method, good agreement between theory and experiment was obtained in the case of glycerol- trilaurate and -tristearate-based implants, indicating that drug diffusion through the water-filled channel-network controls pyranine release. In contrast, significant deviations between the-ory and experiment were observed with glycerol-tripalmitate and -trimyristate-based devices: pyranine release was systemat-ically over/under estimated at early/late time points. Thus, also other processes must be involved in the overall control of drug release from these systems.

Figure 3. Effects of the type of matrix former (indicated in the figure) on pyra- nine release in phosphate buffer pH 7.4 from lipid-based implants prepared by the solution-compression method [symbols: experimental values, solid curves: theory (Eq. (2))].
Interestingly, the ranking order of the release rates observed for the investigated triglycerides is different from that observed with the lysozyme-loaded implants prepared by the emulsion-compression method: glycerol-trilaurate > - tristearate > -tripalmitate > -trimyristate. Recently, Vogelhuber et al. (2003b) reported pyranine release from triglyceride- based implants, which were prepared by a different method. In that case, again another ranking order in the release rates was observed: glycerol-trilaurate > -trimyristate > - tripalmitate >-tristearate. This clearly demonstrates that the underlying mass transport mechanisms and relationships between the formulation and processing parameters and drug release rates from lipidic implants are not straightforward, and need to be studied on a case by case basis.
Importance of the lipid-drug particle size
Fig. 4 shows the effects of the particle size of the triglyceride-drug particles (obtained by freeze-drying a lipid- pyranine solution) (which were compressed to the implants) on the resulting drug release kinetics in phosphate buffer pH 7.4 (symbols: experimentally determined values). Clearly, the release rate significantly increased with increasing particle size. Similar effects were observed by Kaewvichit and Tucker (1994) with bovine serum albumine (BSA)-loaded, stearic acid-based matrices. A possible explanation for this effect is that the compression of larger lipid-drug particles results in the creation of larger inter-particular voids. Thus, the porosity of the system increases, and the drug can more easily diffuse out of the implant.

Figure 4. Importance of the particle size of the lipid-drug powder (obtained by freeze-drying a solution of glycerol-tripalmitate and pyranine) (indicated in the figure) for drug release in phosphate buffer pH 7.4 from implants prepared by the solution-compression method [symbols: experimental values, solid curves: theory (Eq. (2))].
Again, good agreement between theory [Eq. (2)] and experiment was obtained in the case of large lipid-drug particles (over the entire release period) and smaller lipid-drug particles (during the first 80% of pyranine release), indicating that drug release is primarily diffusion-controlled. Interestingly, significant deviations were observed in the case of the smaller lipid-drug particles at late time points, indicating that also other phenomena are of importance.
Effects of the drug loading
The effects of the initial pyranine loading on drug release from glycerol-tripalmitate-based implants prepared by the solution-compression method are shown in Fig. 5. An increase in the drug loading from 1 to 33% (w/w) led to a dramatic increase in the resulting release rate. After 100 days, only 11% pyranine was released from implants loaded with 1% pyranine, whereas almost 87% was released from implants with 10% initial drug loading. Complete release after only 8 h was observed with implants loaded with 33% pyranine. This can be attributed to the fact that the porosity of the lipidic matrix upon drug release significantly increases and that this phenomenon is more pronounced at high initial pyranine contents. Increased matrix porosities lead to increased drug mobilities and, thus, increased absolute and relative release rates. Interestingly, not only the release rate was affected by the initial drug loading, but also the underlying pyranine release mechanisms: good agreement between the diffusion theory and the experimental results was observed with implants loaded with 1% pyranine, indicating that drug release is primarily controlled by pure diffusion. In contrast, this was not the case at 10% pyranine loading: systematic over and under estimations were observed at early and late time points. This might be explained by time-dependent diffusion coefficients of pyranine in the system: upon contact with the release medium the drug starts to leach out of the implant, result-ing in increased matrix porosities and, thus, increased pyranine mobility. This increase in drug mobility seems to compensate the increase in the length of the diffusion pathways, resulting in an about constant pyranine release rate. In the case of 33% initial drug content, no experimental data points were available in the early part of the release curves.

Figure 5. Effects of the pyranine loading (indicated in the figure) on drug release in phosphate buffer pH 7.4 from glycerol-tripalmitate-based implants prepared by the solution-compression method [symbols: experimental values, solid curves: theory (Eq. (2))].
Effects of the compression force
The compression force applied during implant preparation significantly affected the resulting pyranine release profiles (Fig. 6). Drug release was rather slow from implants prepared with 250 and 500 N, whereas very rapid release was observed at 50 N. This can be attributed to a lower degree of cohesion between the lipid particles, allowing faster and higher water uptake and consequently increased release rates. The compression force also affected the underlying drug release mechanisms: at 50 N, pyranine release was primarily controlled by pure diffusion (good agreement between theory and experiment), in contrast to 250 and 500 N (significant deviations). Importantly, the difference in the release patterns between implants prepared at 250 and 500 N was only minor. Thus, potential slight variations in the compression force during production can be expected to be negligible.

Figure 6. Effects of the compression force (indicated in the figure) on pyranine release in phosphate buffer pH 7.4 from glycerol-tripalmitate-based implants prepared by the solution-compression method [symbols: experimental values, solid curves: theory (Eq. (2))].
Addition of a drug-free PLGA coating
In order to further modify the resulting drug release patterns, an external coating consisting of the biodegradable polymer PLGA was added to the systems. As it can be seen in Fig. 7, this external coating resulted in a lag-time for drug release of approximately 20 days. This delay can be attributed to the time needed for the polymer to erode. Comparing pyranine release from uncoated and PLGA-coated implants (Fig. 3 versus Fig. 7), it becomes evident that the effects of the fatty acid chain length on the resulting drug release patterns remain similar once pyra- nine release has started (same ranking order). However, the underlying drug release mechanism changed: pyranine release from uncoated systems was not always diffusion-controlled (systematic over and under estimations in the case of glycerol- tripalmitate and -trimyristate-based implants), whereas it was always diffusion-controlled from coated implants (once drug release started). This might be attributable to the fact that water completely penetrated into the lipidic cores in the case of coated implants prior to pyranine release, whereas the cores were dry when drug release started in the case of uncoated implants.

Figure 7. Pyranine release from lipidic implants coated with a drug-free PLGA layer in phosphate buffer pH 7.4: effects of the type of matrix former (indicated in the figure) in the implant core [symbols: experimental values, solid curves: theory (Eq. (2), with a time shift by the experimentally observed lag-time)].
Addition of pore-formers
Fig. 8 illustrates the effects of adding different amounts of saccharose as a pore-former to glycerol-tripalmitate-based implants on the resulting pyranine release patterns. Two dif-ferent saccharose particle size fractions have been investigated: 25-45 μm (Fig. 8a) and 150-180 μm (Fig. 8b), respectively. In both cases, increasing amounts of saccharose led to increased drug release rates. This can be attributed to the increased porosity of the lipidic matrices upon saccharose dissolution. Importantly, the size of the saccharose particles significantly affected the resulting pyranine release rates (Fig. 8a and b). Smaller-sized saccharose particles led to higher pyranine release rates. This might be attributable to the fact that many small voids created due to the leaching of small saccharose particles can more effec-tively contribute to the formation of an interconnected pore network [together with the already existing submicron-sized voids (Fig. 1b)] than much fewer larger voids created due to the dissolution of large saccharose particles.

Figure 8. Effects of the addition of saccharose (relative amounts indicated in the figures) on pyranine release from glycerol-tripalmitate-based implants prepared by the solution-compression method in phosphate buffer pH 7.4: (a) saccharose particle size fraction: 25-45 μm and (b) saccharose particle size fraction: 150-180 pm [symbols: experimental values, solid curves: theory (Eq. (2))].
Interestingly, diffusion was the dominating mass transport mechanism in all saccharose containing formulations (good agreement between theory and experiment). Based on the mathematical analysis, the apparent diffusion coefficient of pyranine in the investigated systems could be determined: D varied between 0.4 and 27 x 10-9 cm2/s. Fig. 9 shows the effects of the relative amount and particle size of saccharose on the resulting drug diffusivity within the implants. Clearly, the latter increased with increasing saccharose content and decreasing saccharose particle size (for the reasons explained above). Importantly, the following quantitative relationships between the apparent dif-fusion coefficient of pyranine, D, and the relative saccharose content could be established:

S3.
Based on these equations, the mobilities of the drug within the lipidic implants can be calculated for arbitrary saccharose contents (except for very small amounts in the 150-180 μm range). Knowing these values, the resulting drug release kinetics can be predicted for arbitrary implant dimensions and compositions.

Figure 9. Dependence of the apparent diffusion coefficient of pyranine within glycerol-tripalmitate-based implants prepared by the solution-compression method on the relative amount and particle size fraction of saccharose.
Conclusion
The mass transport mechanisms controlling drug release from lipidic implants are complex and the relationships between the formulation and processing parameters and resulting release kinetics are not straightforward. Importantly, broad ranges of lysozyme and pyranine release patterns could be obtained by varying the compressing force, type of lipid, drug loading, par-ticle size, type of preparation technique, addition of different amounts of a pore-former and presence of a drug-free outer PLGA layer. Interestingly, not only the slope, but also the shape of the resulting lysozyme/pyranine release curves was affected, indicating changes in the underlying release mechanisms. In many cases, lysozyme and pyranine release could adequately be described using Fick’s second law. Thus, drug release is pri-marily controlled by pure diffusion from these systems. Based on the obtained knowledge, the effects of different formulation and processing parameters (e.g., composition and size of the implants) on the resulting drug release kinetics can be predicted in a quantitative way. This type of mathematical analysis can help to facilitate the optimization of these advanced drug delivery systems.
Acknowledgements
The authors are grateful for the support of this work by the European Commission (Research and Technological Develop- mentProject; BCDDS: Biodegradable Controlled Drug Delivery Systems for the Treatment of Brain Diseases; Contract No. QLK3-CT-2001-02226) and the French Association for Cancer Research “ARC” (“Association pour la Recherche sur le Can-cer”: postdoctoral fellowship for Florence Siepmann).
References
Crank, J., 1975. The Mathematics of Diffusion. Clarendon Press, Oxford. Grizzi, I., Garreau, H., Li, S., Vert, M., 1995. Hydrolytic degradation of devices based on poly(DL-lactic acid) size-dependence. Biomaterials 16, 305-311.
Guse, C., Koennings, S., Blunk, T., Siepmann, J., Goepferich, A., 2006. Pro-grammable implants—from pulsatile to controlled release. Int. J. Pharm. 314, 161-169.
Kaewvichit, S., Tucker, I.G., 1994. The release of macromolecules from fatty acid matrices: complete factorial study of factors affecting release. J. Pharm. Pharmacol. 46, 708-713.
Kang, J., Schwendeman, S.P., 2002. Comparison of the effects of Mg(OH)2 and sucrose on the stability of bovine serum albumin encapsulated in injectable poly(D,L-lactide-co-glycolide) implants. Biomaterials 23, 239-245.
Lu, L., Garcia, C.A., Mikos, A.G., 1999. In vitro degradation of thin poly(DL- lactic-co-glycolic acid) films. J. Biomed. Mater. Res. 46, 236-244.
Menei, P., Venier, M.C., Gamelin, E., Saint-Andre, J.P., Hayek, G., Jadaud, E., Fournier, D., Mercier, P., Guy, G., Benoit, J.P., 1999. Local and sustained delivery of 5-fluorouracil from biodegradable microspheres for the radiosensitization of glioblastoma: a pilot study. Cancer 86, 325-330.
Menei, P., Jadaud, E., Faisant, N., Boisdron-Celle, M., Michalak, S., Fournier, D., Delhaye, M., Benoit, J.P., 2004. Stereotaxic implantation of 5- fluorouracil-releasing microspheres in malignant glioma. Cancer 100, 405-410.
Menei, P., Capelle, L., Guyotat, J., Fuentes, S., Assaker, R., Bataille, B., Francois, P., Dorwling-Carter, D., Paquis, P., Bauchet, L., Parker, F., Sabatier, J., Faisant, N., Benoit, J.P., 2005. Local and sustained delivery of 5- fluorouracil from biodegradable microspheres for the radiosensitization of malignant glioma: a randomized phase II trial. Neurosurgery 56, 242248.
Mohl, S., Winter, G., 2004. Continuous release of rh-interferon a-2a from triglyceride matrices. J. Controlled Release 97, 67-78.
Pongjanyakul, T., Medlicott, N.J., Tucker, I.G., 2004. Melted glyceryl palmi- tostearate (GPS) pellets for protein delivery. Int. J. Pharm. 271, 53-62.
Reithmeier, H., Herrmann, J., Goepferich, A., 2001a. Lipid microparticles as a parenteral controlled release device for peptides. J. Controlled Release 73, 339-350.
Reithmeier, H., Herrmann, J., Goepferich, A., 2001b. Development and char-acterization of lipid microparticles as a drug carrier for somatostatin. Int. J. Pharm. 218, 133-143.
Vergnaud, J.M., 1993. Controlled Drug Release of Oral Dosage Forms. Ellis Horwood Limited, Chichester.
Vogelhuber, W., Magni, E., Mouro, M., Spruß, T., Guse, C., Gazzaniga, A., Goepferich, A., 2003a. Monolithic triglycerides matrices: a controlled- release system for proteins. Pharm. Dev. Technol. 8, 71-79.
Vogelhuber, W., Magni, E., Gazzaniga, A., Goepferich, A., 2003b. Monolithic glyceryl trimyristate matrices for parenteral drug release applications. Eur. J. Pharm. Biopharm. 55, 133-138.
Wang, P.Y., 1989. Lipids as excipient in sustained release insulin implants. Int. J. Pharm. 54, 223-230.
Wang, P.Y., 1991. Palmitic acid as an exipient in implants for sustained release of insulin. Biomaterials 12, 57-62.