H. de Boer,1 L. Verschoor,1 J. Ruinemans-Koerts2 and M. Jansen3
Departments of 1Internal Medicine, 2Clinical Chemistry and 3Pharmacology, Ziekenhuis Rijnstate, Arnhem, The Netherlands.
Dr Hans de Boer, Department of Internal Medicine, Ziekenhuis; E-mail: hdeboer@alysis.nl.
Background: Morbid obesity is associated with increased estradiol production as a result of aromatase-dependent conversion of testosterone to estradiol. The elevated serum estradiol levels may inhibit pituitary LH secretion to such extent that hypogonadotropic hypogonadism can result. Normalization of the disturbed estradiol-testosterone balance may be beneficial to reverse the adverse effects of hypogonadism.
Aim: To examine whether aromatase inhibition with Letrozole can normalize serum testosterone levels in severely obese men with hypogonadotropic hypogonadism.
Patients and Methods: Ten severely obese men, mean age 48.2 ± 2.3 (s.e.) years and body mass index 42.1 ± 2.6kg/m2, were treated with Letrozole for 6 weeks in doses ranging from 7.5 to 17.5 mg per week.
Results: Six weeks of treatment decreased serum estradiol from 120 ± 20 to 70 ± 9pmol/l (p = 0.006). None of the subjects developed an estradiol level of less than 40pmol/l. LH increased from 4.5 ± 0.8 to 14.8 ± 2.3 U/l (p < 0.001). Total testosterone rose from 7.5 ± 1.0 to 23.8 ± 3.0 nmol/l (p < 0.001) without a concomitant change in sex hormonebinding globulin level. Those treated with Letrozole 17.5 mg per week had an excessive LH response.
Conclusion: Short-term Letrozole treatment normalized serum testosterone levels in all obese men. The clinical significance of this intervention remains to be established in controlled, long-term studies.
Keywords: aromatase inhibition, male hypogonadism, obesity.
Introduction
Severe obesity may cause hypogonadism in men [1-6]. The first reports describing this phenomenon suggested that the reduction in total testosterone was mainly the result of a decrease in sex hormone-binding globulin (SHBG) [1-3]. Later studies, however, demonstrated a significant decrease in total as well as free testosterone [4-7]. Subsequently, adrenal androgens were also found to be decreased [8,9]. In addition to the decrease in androgen levels, there is an increase in serum oestro- gens. Both estrone and estradiol concentrations are significantly higher than in age-matched non-obese men [3,5,7]. Hypothalamic and pituitary function appear to be suppressed, as LH levels are inappropriately low for the degree of hypogonadism [7,10,11,12]. The combined result of these findings can be described as hyperestrogenic hypogonadotropic hypogonadism (HHH).
The changes in androgen and oestrogen levels are proportional to the degree of obesity [6-8]. The key abnormality is an increase in estradiol production, which is a result of an aromatase-dependent conversion of gonadal and adrenal androgens to estradiol and estrone [3]. This process occurs predominantly in fat tissue. The ensuing elevation of serum oestrogens exerts an inhibitory effect on pituitary LH secretion to such extent that hypogonadotropic hypogonadism may result [7,11,13-18]. Estrogen-mediated pituitary inhibition causes a marked decrease in LH-pulse amplitude [7,11,14]. In addition, there is evidence that oestrogens reduce hypothalamic gonadotropin-releasing hormone (GnRH)-pulse frequency [18].
The clinical implications of HHH, the question of whether it needs treatment, as well as the preferred method of treatment all remain to be established. Administration of testosterone is unlikely to normalize the androgen-oestrogen balance in obese men, because it will further enhance the increased estradiol production. As aromatase-dependent androgen conversion appears to be the key abnormality, we decided to examine the potential efficacy of Letrozole. Letrozole is a selective, non-steroidal, reversible aromatase inhibitor that blocks the conversion of androstenedione to estrone and of testosterone to estradiol. It does not affect adrenal corticosteroid or aldosterone synthesis. In healthy male volunteers, oestrogen-suppressive and testosteroneraising effects have been observed with doses as low as 0.02 mg [19].
Patients and Methods
Ten severely obese men, body mass index (BMI) 42.1± 2.6kg/m2 (mean± s.e.m.), with a diagnosis of acquired and isolated hypogonadotropic hypogonadism were included in the study. Their mean age was 48.2 ± 2.3 years. All subjects initially presented them-selves with a request for medical or surgical treatment of obesity. Biochemical hypogonadism was detected because assessment of gonadal status was recently included in the screening procedure for men with a BMI > 35kg/m2 applying for bariatric surgery. Hypogonadism was defined as a serum testosterone of less than 10mmol/l in blood samples taken between 8:00 and 10:00 h and confirmed by a second sample. All subjects had a normal puberty. Olfactory function was said to be intact. Eight men reported diminished libido, four had erectile dysfunction and two subjects needed to shave only twice a week. Testicular volumes were in the normal range. There was no clinical evidence for the presence of pituitary tumours. An MRI could be performed in only two subjects whose weights were less than 120 kg. The size and weight of the remaining patients did not permit this investigation. Total testosterone was less than 10 nmol/l in all subjects, except one. The latter (age 39 years, BMI 55 kg/m2) was included because of his grossly increased serum estradiol level (263 pmol/l) in combinaton with a low-normal plasma testosterone of 13nmol/l. In all men, LH levels were below the upper normal limit and thus inappropriately low for the decreased serum testosterone levels. Serum FT4, TSH, prolactin, cortisol, ACTH and IGF-I were within the normal range. After obtaining informed consent, all subjects were treated with Letrozole (Novartis Pharma AG, Basel, Switzerland) for 6 weeks. The first four subjects received Letrozole in a daily dose of 2.5 mg. They showed an excessive LH response (figure 1). Side effects were not reported by these men. To avoid supraphysio- logic disinhibition of LH secretion, it was decided to decrease the dose to 2.5 mg three times a week in the next six subjects, administered on Monday, Wednesday and Friday (Letrozole serum half life: 48 h). Blood samples were drawn in the fasting state, between 8:00 and 10:00 h, on Wednesday. All hormone assays were performed with commercially available assays (Roche Diagnostics, Mannheim, Germany). Reference ranges provided by the manufacturer are: total testosterone 10-28nmol/l, estradiol < 160pmol/l (detection limit 40pmol/l), LH 2.0—9.0 U/l and FSH 1.5-12.4U/l. SHBG was measured with a commercial kit from DPC, Los Angeles, CA, USA (reference range 13-71 nmol/l).

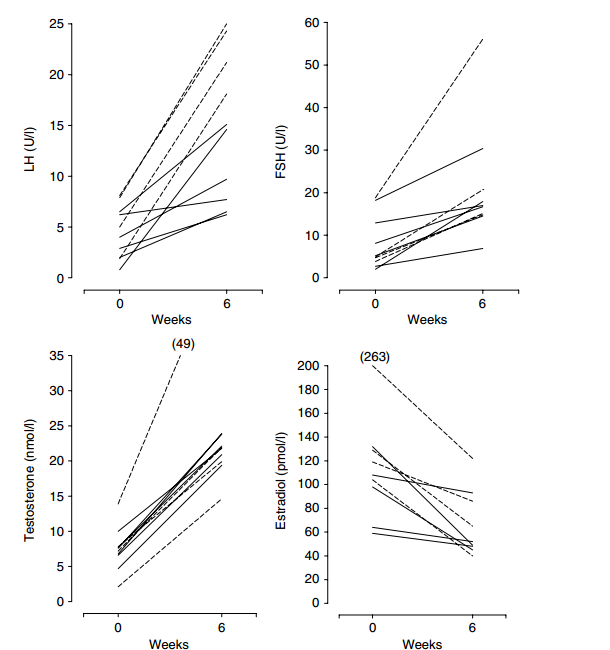
Figure 1. Changes in serum LH, FSH, estradiol and testosterone levels in obese men with hypogonadotropic hypogonadism, in response to a 6-week treatment with Letrozole (dashed line, daily dose of 2.5 mg; solid line, 2.5 mg three times a week).
Results are shown as mean values and s.e.m. After confirmation of normal distribution, results of treatment were analysed by paired t-test. A p value less than 0.05 was considered to be statistically significant.
Results
Six weeks of Letrozole treatment decreased serum estradiol from 120 ± 20 to 70 ± 9 pmol/l (p = 0.006). LH increased from 4.5 ± 0.8 to 14.8 ± 2.3 U/l (p < 0.001) and FSH rose from 8.1 ± 2.0 to 21.0 ± 4.3 U/l (p < 0.001). Total testosterone rose from 7.5 ± 1.0 to 23.8 ± 3.0nmol/l (p < 0.001), without a concomitant change in SHBG (27.3 ± 6.3 vs. 24.3 ± 4.2 nmol/l, p = 0.89). The estradiol-testosterone ratio declined from 19.1 ± 5.4 to 2.9 ± 0.3 pmol/nmol (p < 0.005).
Individual responses of LH, FSH, total testosterone and estradiol are shown in figure 1. In the first four subjects, treated with Letrozole 2.5 mg daily, the LH response was considered excessive. The mean LH level after 6 weeks was 22.2 ± 1.6 U/l, i.e. exceeding the upper normal limit by more than 100%. In the next six patients treated with 2.5 mg of Letrozole, three times a week, the mean LH level rose to only 10.0± 1.6U/l. Despite the small number of subjects in the low-dose group, the changes in LH (p = 0.02), FSH (p = 0.005), estradiol (p = 0.03), testosterone (p < 0.001) and the estradioltestosterone ratio (p < 0.001) remained statistically significant. Moreover, mean testosterone levels before and after six weeks were comparable for the high- and low- dose regimens (before treatment, 7.8 ± 2.4 vs. 7.4 ± 0.8 nmol/l and, after treatment, 26.5 ± 7.8 vs. 22.0 ± 0.7 nmol/l). The subject that was included because of his very high estradiol level belonged to the group treated with 2.5 mg of Letrozole daily. He showed a decrease in serum estradiol from 263 to 122 pmol/l, and this was associated with an excessive rise in total testosterone from 13 to 49nmol/l. None of the other subjects developed supra- physiological testosterone levels. Letrozole did not cause complete oestrogen depletion. In the high-dose group, the lowest estradiol level after treatment was 40 pmol/l; in the low-dose group, the lowest level was 49 pmol/l. Adverse effects were not reported.
Discussion
The results of this open-label pilot study indicate that obesity-related HHH in men can be treated effectively with aromatase inhibiton. All 10 subjects responded similarly and showed a normalization of serum testosterone after 6 weeks of treatment. Although the number of patients is far too small for firm conclusions, the data do suggest that Letrozole in a daily dose of 2.5 mg is too high. All four subjects treated with this dose showed a supraphysiological LH response. Considering the observation that two out of six subjects in the low-dose group also had a LH response exceeding the upper normal limit, the optimal dose may even be lower than 7.5mg/week.
In general, our experience with Letrozole confirms the earlier observations of Zumoff [5] who in 1988 was the first to describe the effects of the aromatase inhibitor testolactone in four obese men. Recently, they repeated the experiment in six obese men and reached the same conclusion [20]. In contrast to Letrozole, Testolactone is a steroidal aromatase inhibitor.
Exact figures on the prevalence of HHH in obesity are not available at present. There are, however, indications that it is likely to be high. Estradiol production correlates linearly with increasing fat mass and may be increased up to fivefold in morbid obesity [3]. In addition, there is a negative correlation between BMI on one hand and total, free and non-SHBG-bound testosterone levels on the other hand [6]. In obese adult men with BMI’s ranging from 21 to 95kg/m2, mean total testosterone decreased by 0.26nmol/l per unit increase in BMI [6]. A comparably strong relationship was found between BMI and free testosterone levels [6].
A substantial overlap of serum estradiol levels between obese and non-obese men has been described in several studies [1,5,8]. Similarly, in our study, most estradiol levels were in the upper half of the general reference range, with only one single value exceeding the upper normal limit. This does not imply that the term hyperestrogenism is incorrect. The production of estradiol is fuelled by testosterone, and therefore, the actual testosterone values must be taken into account when interpreting serum estradiol levels in men. Due to inhibitory effects of oestrogens on LH secretion, testosterone levels will decline which will cause a new equilibrium at a lower serum estradiol and testosterone level. In fact, for a better understanding of the relative increase of oestrogen levels in obese men and as an estimate of aromatase activity, it might be useful to employ the estradiol-testosterone ratio. In the present study, the estradiol-testosterone ratio decreased sixfold.
The results of aromatase inhibition are interesting in that they create the possibility of treating obesity-related HHH. It appears to be a more logical choice than testosterone replacement therapy. There is only limited and short-term experience with testosterone treatment in overweight and mildly obese eugonadal men. These studies suggest that androgens can have beneficial effects on fat mass, body fat distribution, insulin sensitivity, LDL cholesterol level and blood pressure [21-25]. We were unable to find controlled studies on testosterone treatment in severely obese HHH men. Although testosterone treatment may normalize serum testosterone in these men, it is also likely to raise serum estradiol levels into the supraphysiological range. This might antagonize some of the effects of testosterone [21].
Aromatase inhibition in men may carry some risks. In theory, the main risk of long-term aromatase inhibition in men is oestrogen deficiency. The potential consequences of oestrogen deficiency can be inferred to some extent from two reports describing males with undetectable oestrogen levels because of congenital aromatase deficiency. The main finding was premature osteoporosis [26-29]. In our study, the lowest estradiol level was 40pmol/l, achieved with 2.5 mg of Letrozol daily. Whether this is a safe level or not remains to be established. Comparison with age-matched normal values and also a thorough evaluation of Letrozole’s metabolic effects will be essential to define the safety limits of treatment.
In conclusion, this pilot study indicates that the aromatase inhibitor Letrozole can normalize the estradioltestosterone balance in obese men with HHH. The clinical significance of this intervention remains to be evaluated in controlled, long-term studies.
References
Glass AR, Swerdloff RS, Bray GA, Dahms WT, Atkinson RL. Low serum testosterone and sex-hormone-binding- globulin in massively obese men. J Clin Endocrinol Metab 1977; 45: 1211-1219.
Amatruda JM, Harman SM, Pourmotabbed G, Lockwood DH. Depressed plasma testosterone and fractional binding of testosterone in obese males. J Clin Endocrinol Metab 1978; 47: 268-271.
Schneider G, Kirschner MA, Berkowitz R, Ertel NH. Increased estrogen production in obese men. J Clin Endocrinol Metab 1979; 48: 633-638.
Strain GW, Zumoff B, Kream J et al. Mild hypogonado- tropic hypogonadism in obese men. Metabolism 1982; 31: 871-875.
Zumoff B. Hormonal abnormalities in obesity. Acta Med Scand 1988; 723: 153-160.
Zumoff B, Strain GW, Miller LK et al. Plasma free and non-sex-hormone-binding globulin-bound testosterone are decreased in obese men in proportion to their degree of obesity. J Clin Endocrinol Metab 1990; 71: 929-931.
Giagulli VA, Kaufman JM, Vermeulen A. Pathogenesis of the decreased androgen levels in obese men. J Clin Endocrinol Metab 1994; 79: 997-1000.
Tchernof A, Despres JP, Belanger A et al. Reduced testosterone and adrenal C19 steroid levels in obese men. Metabolism 1995; 44: 513-519.
Tchernof A, Labrie F, Belanger A, Despres JP. Obesity and metabolic complications: contribution of dehydroe- piandrosterone and other steroid hormones. J Endocrinol 1996; 150: S155-S164.
Vermeulen A. Decreased androgen levels and obesity in men. Ann Med 1996; 28: 13-15.
Lima N, Cavaliere H, Knobel M, Halpern A, Medeiros-Neto G. Decreased androgen levels in massively obese men may be associated with impaired function of the gonadostat. Int J Obes 2000; 24:1433-1437.
Pasquali R, Casimirri F, De Iasio R et al. Insulin regulates testosterone and sex hormone-binding globulin concentrations in adult normal weight and obese men. J Clin Endocrinol Metab 1995; 80: 654-658.
Finkelstein JS, Whitcomb RW, O’dea LSL, Loncope C, Schoenfeld DA, Crowley WF. Sex steroid control of gonadotropin secretion in the human male. I. Effect of testosterone administration in normal and gonadotropinreleasing hormone deficient men. J Clin Endocrinol Metab 1991; 73: 609-620.
Finkelstein JS, Odea LSL, Whitcomb RW, Crowley WF. Sex steroid control of gonadotropin secretion in the human male. II. Effect of estradiol administration in normal and gonadotropin-releasing hormone deficient men. J Clin Endocrinol Metab 1991; 73: 621-628.
Bhatnagar AS, Muller P, Schenkel L, Trunet PF, Schieweck BK. Inhibition of estrogen biosynthesis and its consequences on gonadotropin secretion in the male. J Steroid Biochem Mol Biol 1992; 41: 437-443.
Bagatell CJ, Dahl KD, Bremmer WJ. The direct pituitary effect of testosterone to inhibit gonadotropin secretion in men is partially mediated by aromatization to estradiol. J Androl 1994; 15: 16-21.
Vermeulen A, Kaufman JM, Deslijpere JP, Thomas G. Attenuated LH pulse amplitude but normal LH pulse frequency and its relation to plasma androgens in hypogonadism of obese men. J Clin Endocrinol Metab 1993; 76: 1140-1146.
Hayes FJ, Seminara SB, Decruz S, Boepple PA, Crowley WF. Aromatase inhibition in the human male reveals a hypothalamic site of estrogen feedback. J Clin Endocrinol Metab 2000; 85: 3027-3035.
Trunet PF, Muller P, Bhatnagar AS, Dickes I, Monnet G, White G. Open dose-finding study of a new potent and selective aromatase inhibitor, CGS 20267, in healthy male subjects. J Clin Endocrinol Metab 1993; 77: 319-323.
Zumoff B, Miller LK, Strain GW. Reversal of the hypogo- nadotropic hypogonadism of obese men by administra-tion of the aromatase inhibitor testolactone. Metabolism 2003; 52: 1126-1128.
Mohamed-Ali V, Pinkney J, Coppack AW. Adipose tissue as an endocrine and paracrine organ. Int J Obes 1998;
22: 1145-1158.
Rebuffe-Scrive M, Marin P, Bjorntorp P. Effect of testos-terone on abdominal adipose tissue in men. Int J Obes 1991; 15: 791-795.
Marin P, Holmang S, Jonsson L et al. The effects of testosterone treatment on body composition and metab-olism in obese men. Int J Obes 1992; 16: 991-997.
Marin P, Krotkiewski M, Bjorntorp P. Androgen treatment of middle-aged, obese men: effects on metabolism, muscle and adipose tissues. Eur J Med 1992; 1: 329-336. Loveoy JC, Bray GA, Greeson CS et al. Oral anabolic steroid treatment, but not parenteral androgen treatment, decreases abdominal fat in obese older men. Int J Obes 1995; 19: 614-624.
Smith EP, Boyd J, Frank GR et al. Estrogen resistance caused by a mutation in the estrogen-receptor gene in a man. N Engl J Med 1994; 331: 1056-1061.
Morishima A, Grumbach MM, Simpson ER, Fisher C, Qin K. Aromatase deficiency in male and female siblings caused by a novel mutation and the physiological role of estrogens. J Clin Endocrinol Metab 1995; 80: 3689-3698. Carani C, Qin K, Simoni M et al. Effect of testosterone and estradiol in a man with aromatase deficiency. N Engl J Med 1997; 337: 91-95.
Bilezkian JP, Morishima A, Bell J, Grumbach M. Increased bone mass as a result of estrogen therapy in a man with aromatase deficiency. N Engl J Med 1998; 339: 599-603.