H. A. Nash, Ph.D., Dale N. Robertson, Ph.D., Alfred J. Moo Young, Ph.D. and Linda E.Atkinson, Ph.D.*
Center for Biomedical Research The Population Council The Rockefeller University York Avenue and 66th Street New York, New York.
*Present Address: The Ford Foundation 320 East 43rd Street New York, New York 10017
Abstract
The release of steroids from SilasticR capsules and rods has been measured in human beings and rats by recovering the implants after periods of subdermal implantation and measuring steroid loss. Reasonably good agreement has been observed between average in vivo release rates in these two species and release rates in vitro. In vivo release rates from capsules frequently showed an appreciable decrease in the first 100 days of use and a more gentle decrease thereafter. In vitro release rates frequently showed a sharp decrease lasting only a few days, but thereafter a moderately declining rate. Rods showed a much steeper and continuing decline in rate.
Average measured release rates in human subjects over a one-year period, in μg/day/cm length of capsule, were 3.5 for levonorgestrel, 13.2 for norgestrienone, 17.5 for R2323, 16.4 for megestrol acetate and 8.7 for norethindrone. Calculated expected rates at the end of one year were lower: 2.7 for levonorgestrel, 11.0 for norgestrienone and 12.9 for R2323. Capsules were of 1.57 mm ID and 2.41 mm OD.
Significant differences in release rates among subjects using the same drug were observed for levonorgestrel, norgestrienone and megestrol acetate, with the differences being greatest for levonorgestrel.
Factors significantly affecting steroid release include the use of gamma irradiation for sterilization and the amount of steroid remaining in the capsules. Gamma irradiation markedly decreased release rate of several steroids through an effect on the steroid. The amount of steroid in the capsule had marked effects on rate in the instance of megestrol acetate, much less effect in the instance of norgestrienone and intermediate effects in the instance of levonorgestrel.
Introduction
The use of polydimethylsiloxane devices as carriers for contraceptive steroids from which they are slowly released after subdermal implantation has been the subject of a number of clinical investigations (1-6) and continues to be a method of promise (7). Both capsules made from polydimethylsiloxane (SilasticR*) tubing and solid rods formed by dispersing steroid in partially polymerized polydimethylsiloxane and then completing the polymerization in a suitable mold have been used as implant forms. Clinical interest in such sustained release systems has stimulated the development and testing of a body of theory to explain and predict release patterns (8).
The present paper presents data gathered as an integral part of a program of manufacture and clinical testing of contraceptive implants. It, therefore, focuses on observed release patterns in human subjects and on in vitro and animal experiments undertaken to explore the effects on release rates of variables incident to manufacturing procedures.
Materials and methods
Capsules and Rods
Capsules were made by filling Silastic (polydimethylsiloxane) tubing of 1.57 mm ID and 2.41 mm OD with steroid crystals and closing both ends with Silastic Medical Adhesive. The portion of the capsule filled with steroid was of either 2 or 3 cm length. Rods were made by mixing 25% by weight of steroid with SilasticR 382, mixing with a stannous octoate catalyst, and pressing into a DelrinR★ mold. Rods were of 2.4 mm diameter and either 2 or 3 cm length. Except where otherwise noted, implants were sterilized by exposure in paper-backed pouches for 4 hours to ethylene oxide at 1.5 atmospheres and 60 % relative humidity.
SilasticR* is the Registered Trademark of Dow Corning Corp. brand of polydimethylsiloxane.
DelrinR★ is the Registered Trademark for Du Pont's poly-formaldehyde acetol resins.
In Vitro Release Rate
In vitro release was determined by shaking the capsule or rod with 10 or 20 ml (depending on steroid solubility) of 1:750 benzalkonium chloride solution in a 24 ml screw cap vial. The vial was placed on its side and one end of the capsule or rod fixed to the bottom of the vial and the other end to the side of the vial with Silastic Medical Adhesive to prevent floating. The vials were shaken in a water bath shaker at 100 one-inch strokes per minute. The temperature was maintained at 37°C. The solutions were changed daily, except over weekends. Only the solutions obtained on days when they were changed daily were used in calculating release rates. Preliminary experiments were run using larger volumes of bathing solution to make certain that the release rate was not limited by incipient saturation of the bathing solution. All in vitro release rates were measured using at least three separate implants.
In Vivo Release Rate
In vivo release rates were determined by recovering implants after known periods of time and determining the amount of steroid lost. Implants used in animal experiments were manufactured individually. The weight of steroid placed in each capsule was determined by weighing; the amount of steroid in each rod was known from the weight of the rod and analysis of the SilasticR mix used in rod manufacture. Implants used in human studies were manufactured to a standard of ± 1 mg steroid content. Recovered implants were assumed to have initially contained an amount equal to that of the average for the lot. Implants were placed subdermally using an 11-gauge thin-walled trocar and were recovered through a 5-mm incision.
To determine the amount of steroid remaining, recovered implants were slit open and extracted three times with 10 ml aliquots of methylene chloride, allowing several hours for each extraction. The methylene chloride solution was diluted 1:5000 with ethanol and the optical density determined at the following wave lengths: 240 nm for levonorgestrel, norethindrone and its esters, testosterone and its esters and norethandrolone, 288 nm for megestrol acetate, 342 nm for norgestrienone, and 334 nm for R2323.
Table. Steroids.


Results
A general summary of the rates of release of steroids from standard SilaticR capsules is contained in Table I. Data are given for rates observed in vitro, in rats and in human beings. To allow comparison, the rates are given in each instance as the average over the period from the beginning of the test to the end of the indicated interval. This is necessary because the in vivo rates were obtained by measuring the total steroid loss-during the time of use. A similar summary of average release rates for the rod dosage form is contained in Table II.
Table 1. Average Release Rates from Capsules.


Table II. Average Release Rates from Rods.

In Vitro Release Rates
Release rates for the dosage forms studied for relatively long periods of time in vitro are given in Table III. In contrast to Tables I and II, Table III shows average rates during successive intervals rather than the average from the beginning of the study.
Table III. Average Release Rates from Implants In Vitro (pg/cm/Day during the Indicated Interval).

In Vivo Release Rates
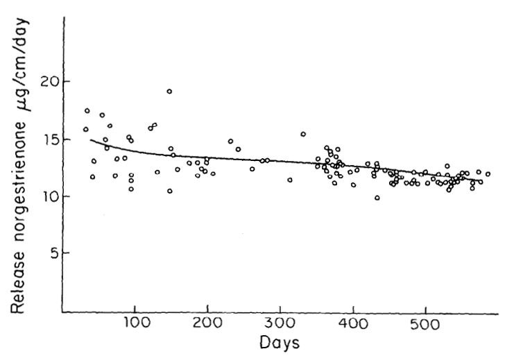
Average release rates during the time capsules were implanted in human subjects are shown in Figures 1, 2 and 3 for levonorgestrel, norgestrienone, and R2323. Each point represents the average release per day per centimeter of implant length during the interval of use for implants recovered from a single subject. At least four implants were analyzed for each subject included in the graphs (occasionally an implant was punctured during removal and so could not be included in the analysis). The datum point is plotted on the last day of use.

Figure 1. Release of levonorgestrel from SilasticR capsules. Each circle represents average release per cm capsule length for the implants recovered from a single subject. The circle is plotted opposite the last day of use. All subjects had 4 or more capsules.

Figure 2. Release of norgestrienone from SilasticR capsules. See legend Figure 1 for additional details.

Figure 3. Release of R2323 from SilasticR capsules. See legend Figure 1 for additional details.
Data are also available on release of levonorgestrel from the rod dosage form as determined by analysis of implants recovered from human subjects. The findings are represented graphically in Figure 4.

Figure 4. Release of levonorgestrel from SilasticR rods. See legend Figure 1 for additional details.
Variation Among Subjects
The magnitude of variation in release among subjects on each steroid has been examined by calculating the coefficient of variation for those subjects on each, steroid who had their implants removed between 300 and 400 days after implantation. The results are shown in Table IV.
Table IV. Variation in Steroid Release Rates Among Subjects UsingCapsules for 300 to 400 Days.

Levonorgestrel is seen to show the greatest variation in apparent release rate. It is also to be noted, however, that the fraction of the initial load lost at the time of analysis was least for levonorgestrel. This would tend to magnify the effect of analytical errors.
Effect of Preparative Methods on Release Rate
Means of Sterilization
Sterili zation was conducted by gamma irradiation and by ethylene oxide. Sterilization by gamma irradiation had profound effects on release rate, at least in some cases. The most thoroughly explored case was R2323. To determine whether the effect was on the steroid or on the SilasticR tubing, steroid and SilasticR tubing were irradiated simultaneously, but separately, and irradiated and non-irradiated tubing filled with irradiated or non- irradiated steroid. The results are shown in Table V. They show the release rate to have been markedly decreased by irradiating the steroid but not by irradiating the tubing. In spite of this changed diffusion behavior, melting points and mixed melting points, infra-red spectra, ultra violet spectra,chromatography, mass spectroscopy and x-ray diffraction failed to show differences between irradiated and non-irradiated samples of steroid. After some months of storage, the irradiated R2323 showed color changes not shown by non-irradiated material stored under the same conditions. The color changes were more marked and a change in melting point also occurred in irradiated implants exposed to moisture. Non-irradiated implants did not show changes even when exposed to moisture.
Table V. Effect of Gamma Irradiation (2.5 Megarad from a Cobalt 60 Source) on In Vitro Release of R2323 from Capsules*.

Levonorgestrel and megestrol acetate were similarly affected by gamma irradiation. Irradiated levonorgestrel implants showed an in vitro release rate of only 1.7±0.24 (S.D.) μg/cm/day. Non-irradiated implants in the same experiment averaged 4.25±0.30. In human subjects, the irradiated levonorgestrel implants released 20% as much steroid per day as non-irradiated implants (9).
Size of Steroid Reservoir
It was considered that the release rate might be sensitive to the amount of steroid used to fill the capsule and that the rate might diminish during use by reason of diminishing steroid supply in the capsule. To explore these possibilities, varying amounts of megestrol acetate, norgestrienone, and levonorgestrel were placed in capsules and the release rates measured in vitro. Results are shown in Figures 5 and 6. In the instance of norgestrienone, the amount of steroid in the capsule has made little difference to performance. There were no consistent differences in 12.5 mg fill per centimeter and 7.5 mg per centimeter over one year. The release rate from capsules initially containing 2.5 mg/cm was essentially the same until 180 days as that from capsules containing 12.5 mg/cm. At that time, almost no steroid remained. Megestrol acetate release rates were more sensitive to the amount of steroid in the capsules. Capsules containing 2.5 mg/cm delivered steroid at about 65% of the rate of capsules with 12.5 mg/cm fill. In the instance of levonorgestrel, capsules containing 7.5mg/cm of steroid delivered steroid at a rate 80% as great as capsules containing 12.5 mg/cm. Capsules containing 5 mg/cm released steroid at 70% of the rate of capsules containing 12.5 mg/cm.

Figure 5. Release of norgestrienone in vitro from 2-cm long capsules containing different amounts of steroid:0 = 25 mg, □ = 15 mg, ▲ = 5 mg.

Figure 6. Release of megestrol acetate in vitro from 2-cm long capsules contaiing different amounts of steroid: 0 = 25 mg, ● = 15 mg, ▲ = 10 mg, □ = 5 mg.
Discussion
As has been previously reported (10) there are large differences in the rates of release of different steroids from Silastic capsules and rods. Among factors known to control release rates are the rate of dissolution of the steroid in the Silastic, diffusion through the Silastic, and diffusion into the boundary layer of solvent at the surface of the Silastic (8). aider different conditions, any one of these steps may predominate in control of rate. Transport through the Silastic matrix is known to be controlled by solubility in the matrix and by interactions of the solute with the matrix. Among a closely related series of compounds, solubility in the Silastic is usually the most important variable controlling the amount of steroid diffusing through the matrix. Diffusion in the boundary layer is similarly controlled by solubility in the aqueous medium and by the interaction factors summed up in the term "diffusion constant."
Discussion of factors controlling rate are to be found in several sources (8, 11, 12). Plotting measured solubility in Silastic against release rate for the steroids studied in the present investigation showed a reasonably good straight line correlation, with levonorgestrel showing the most deviant behavior.
Table I shows reasonably good agreement among average release rates determined in vitro, in rats and in human beings. This is to be expected if the controlling barrier is in each case the Silastic membrane itself rather than the boundary layer of unstirred liquid surrounding the membrane. To further define the relative roles of the membrane and boundary layers in vitro, trials were conducted with levonorgestrel, norgestrienone and testosterone in which the inner diameter of the capsules was held constant but the membrane thickness was doubled. The rates of release were found to be about 60% as great as with standard capsules. The increase in wall thickness was accompanied by an increase in external surface area to 140% of that of standard capsules. If the boundary layer had been the rate-controlling factor and had continued to be rate controlling in the capsule with the thicker wdll, an increase in rate would have been observed. The observed decrease indicates the membrane itself to have been the major control of rate in this experiment.
It is especially important to note that the release rates calculated by averaging release over the duration of implant use, as in Tables I and II and Figures 1-4, do not give the actual release rate on any selected day. If the rate declines with time, the actual rate on day 300, for example, will be lower than the average over the 300 days of use. The degree of protection on day 300 will be dependent on the release rate at that time rather than on the average release rate from day 1 to day 300. A curve more closely representing actual release at points in time can be drawn by calculating average release over successive short intervals of time from the curves representing averages over the entire period of use. It is, of course, to be recognized that the derived curve places a heavy demand on the accuracy of the original data. Such curves for the daily release of levonorgestrel from capsules and rods in human subjects have been calculated from the curves of Figures 1 and 4 and are reproduced in Figure 7. Also represented in Figure 7 are the release rates in vitro as determined from daily assays of the bathing solution. The in vitro curve for levonorgestrel capsules is flat through one year, except for a burst of release in the first few days. The in vivo curve shows an initial release rate that exceeds the iri vitro rate and which drops for about 200 days. Between 200 and 700 days, the rate is constant at 2.7 μg/cm/day. For six 3 cm capsules, this amounts to an average delivery of 49 μg/day after 200 days. The initially high rate may be exaggerated by the inherently higher percentage uncertainty in measure of the small losses in the first 200 days of levonorgestrel capsule use. It is to be noted that the total loss of steroid from levonorgestrel capsules at 700 days amounts to only 19% of the total load. The rate may well deteriorate as a greater fraction of the steroid supply is lost.

Figure 7. Release of levonorgestrel in vitro •—• and in human subjects o-----o. The curves represent rates during successive time intervals instead of average rates from the beginning of the test to the end of the period of observation as in Figures 1 and 4.
Both iii vivo and in vitro rates of levonorgestrel release from rods decrease rapidly with time. The initial rate in vitro from the rod is about 54 μg/cm/day. By day 300, It is down to about 10 μg/cm/day. The rate in the human subject is initially lower, about 30 μg/cm/day, but it has declined to about 4 μg/cm/dav by 4.50 days. At this time, about 40% of the initial load has been lost. A decline in rate with time would be expected on a theoretical basis since exhaustion of the reservoir of crystalline steroid in the zones nearest the surface progressively increases the distance the remaining steroid must diffuse to reach the surface. This depletion zone is clearly evident on examination of sections of rods after one year of in vitro diffusion. Blood level curves reflect the changing release rates (13).
Daily release from capsules of norgestrienone in vitro and daily release in vivo calculated from the curve of Figure 2 is shown in Figure 8. The curves are seen to correspond well and show a moderate decline in release rate over the one year for which in vitro data are available and the 1.5 year for which in vivo data are available. The in vivo release rate during the 500 to 600 day interval of use appears to be about 58% as great as during the first 100 days of use. By 600 days, about 64% of the steroid load has been released. This decline in release rate is reflected in increasing pregnancy rates at longer periods of use (7).

Figure 8. Release of norgestrienone in vitro o—o and in human subjects •----•. The points represent rates during successive time intervals instead of average rates from the beginning of the test to the end of the period of observation as in Figure 2.
A similar in vivo release rate curve for R2323 has not been drawn because of a paucity of data at short time intervals and because the curve for average release for the time period for which data is available is a straight line (Figure 3). Calculation of the daily release over the straight line portion of the curve shows a decline of 29% in rate between days 100 and 400. The rate at day 400 is calculated to be 12.7 μg/cm/day. If there is in reality an initial burst effect, the rate at 400 days is somewhat lower than obtained by this calculation. At 400 days, about 66% of the original steroid supply has been released.
The only direct measures of daily release of steroid from capsules in human subjects of which we are aware were carried out by Benagiano et al.(11)and by Coutinho et; al. (15) using labeled megestrol acetate and measuring excretion of label. The findings of Benagiano et al. were an initially high release with a rapid decline in the First 100 days followed by a slow decline in rate thereafter. Coutinho et al. followed excretion for only 80 days. A declining rate was recorded during this time with the most rapid decline in the first 20 days. Insufficient data are available in the present study at early time intervals to allow a detailed examination of the release pattern from megestrol acetate capsules in the human being. The pattern reported by Benagiano et al. (14) and by Coutinho et ad. (15) for megestrol acetate and seen in the present studies for levonorgestrel and norgestrienone seems to be a general pattern of in vivo release behavior. It is a pattern of an appreciable decrease in rate over 50 to 100 days followed by a much slower rate of decline. The pattern is evident in the results of Weise et al. (6) for nore-thindrone capsules in the human being and is reflected in blood levels reported for capsules releasing norgestrel (16), megestrol acetate (17), norethindrone acetate (18) in human beings and capsules releasing R2323 in monkeys (19). It is to be noted that blood levels can reflect other influences such as effects of the steroids on sex hormone binding globulin levels (20). A pattern of initially rapidly declining rates is evident from the rat data in Table I for levonorgestrel, norgestrienone, megestrol acetate, norethindrone acetate, and norethandrolone. An initially more rapid rate is seen in in vitro studies also, but it generally plateaus within two weeks or less. It is thought that the initial burst in vitro represents the effect of initial saturation of the SilasticR with steroid. The more prolonged drop observed in vivo may reflect deposition of some fibrous tissue around the implants, as has been suggested by several investigators (14, 21, 22).
The reason for the moderate decrease in release rate after 100 days is not known. Examination of whether the rate is directly a function of the amount of steroid in the capsule led to conflicting results with an important correlation being found for megestrol acetate (Figure 6), but a much less marked relationship being found for norgestrienone (Figure 5). Examination of the relationship for levonorgestrel showed capsules containing 5 mg/cm to release steroid only 70% as rapidly as capsules containing 12.5 mg/cm. There is possibly reduced efficacy of contact with the inner wall with a lesser steroid load.
The question of individual variation in release rates is an important one and one which appears most acutely in the levonorgestrel capsule data. The coefficients of variation reported in Table IV show an apparent difference between levonorgestrel and several other steroids. The apparently high variation for levonorgestrel is brought into some question by the fact that total steroid loss from levonorgestrel capsules at the time interval chosen for comparison averages only 11.1% of the load. This means that any variations in the load actually present in the capsules will contribute in a larger way to calculations of the loss and that even small errors in the determination of the amount of steroid remaining will importantly affect the apparent loss. Examination of consistency of apparent release among the six capsules recovered from individual subjects shows the differences from subject to subject are not easily ascribed to assay error or uncertainties in steroid fill. Figure 9 shows averages and ranges comprising ± two standard errors for subjects using capsules between 300 and 400 days. Many of the differences plainly meet tests of statistical significance. Differences in fibrous capsule formation among subjects may account for the differences in release rate, but no attempt has been made to examine that hypothesis. Another possible factor is placement of of the implants. If placed close together, local saturation effects could moderate steroid release.

Figure 9. Average rate of levonorgestrel release from capsules during residence in human beings for 300 to 400 days. Each entry represents average ± 2 S.E. for 5 or 6 capsules recovered from a single subject.
Acknowledgements
This work was conducted as part of the contraceptive development program of the International Committee for Contraception Research of The Population Council. The assistance of Mrs. Jane Dinh, Mr. Ray Sanchez, and Ms. Joana Wang is gratefully acknowledged. Special thanks are due to Wyeth Laboratories, Roussel UCLAF, Schering AG, and E. Merck for generous gifts of steroids.
References
Croxatto, H., Diaz, S., Vera, R., Etchart, M. and Atria, P.: Fertility control in women with a progestogen released in microquantities from subcutaneous capsules. Am. J. Obstet. Gynecol. 105:1135, 1969.
Coutinho, E.M., Mattos, C.E.R., Sant'Anna, A.R.S., Filho, J.H., Silva, M.C. and Tatum, H.J.: Longterm contraception by subcutaneous Silastic capsules containing megestrol acetate. Contraception 2:313, 1970.
Tejuja, S.:Use of subcutaneous capsules for longterm steroid contraception. Am. J. Obstet. Gynecol. 107: 954, 1970.
Croxatto, H.B., Diaz, S., Quinteros, E., Simonetti, L., Kaplan, E., Rencoret, R., Leixelard, P. and Martinez, C.: Clinical assessment of subdermal implants of megestrol acetate, d-norgestrel and norethindrone as a long term contraceptive in women. Contraception 12:615, 1975.
Diaz, S., Pavez, M., Quinteros, E., Robertson, D.N. and Croxatto, H.B.:Clinical trial with subdermal implants of the progestin R2323. Contraception 16:155, 1977.
Weise, J. , Markey, L. , Holma, P., Vartiainen, E., Osier, M., Pyorala, T., Johansson, E. and Luukkainen, T.: Long term contraception with norethindrone subcutaneous capsules. Ann. Clin. Res. 8:93, 1976.
Coutinho, E. et al.: Contraception with long acting subdermal implants. Contraception, this issue.
Flynn, G.L., Yakowsky, S.H. and Roseman, T.J.: Mass transport phenomena and models: Theoretical concepts. J. Pharm. Sci. 63:479, 1974.
Alvarez, F., Robertson, D.N., Montes de Oca, V., Brache, V. and Faundes, A.: Comparative clinical trial of the progestins R2323 and levonorgestrel administered by subdermal implants. To be published.
Kratochvil, P., Benagiano, G. and Kind, F.A.: Sustained release hormonal preparations 6. Permeability constant of various steroids. Steroids 15:505, 1970.
Roseman, T.J.:Controlled release from matrix systems. J. Pharm. Sci. 64:1731,1975.
Roseman, T.J. and Ylakowsky, S.H.:Influence of solute properties on release of p-aminobenzoic acid esters from silicone rubber:Theoretical considerations. J. Pharm. Sci. 63:1639, 1974.
Nash, H.A., Robertson, D.N. and Jackanicz, T.M.: Release of contraceptive steroids from sustained release dosage forms and resulting plasma levels. Contraception, this issue.
Benagiano, G., Ermini, M., Carenza, L. and Rolfini, G.: Studies on sustained contraceptive effects with sub-cutaneous polydimethylsiloxane implants. 1. Diffusion of megestrol acetate in humans. Acta Endocrinol. 73: 335, 1973.
Coutinho, E.M., Ferreira, A.M., Prates, H. and Kind, F.: Excretion of (6 1C) megestrol acetate (6-methyl-17-acetoxypregna-4,6-diene-3,20-dione) released from subcutaneous Silastic implants in women. J. Reprod. Fertil. 23: 345, 1970.
Weiner, E. and Johansson, E.D.B.:Plasma levels of d-norgestrel, estradiol, and progesterone during treat-ment with Silastic capsules containing d-norgestrel. Contraception 14:81, 1976.
Weiner, E. and Johansson, E.D.B.:contraception with megestrol acetate implants. Megestrol acetate levels in plasma and the influence on the ovarian function. Contraception 13:685, 1976.
Hillier, S.G., Jha, P., Griffiths, K. and Laumas, K.R.: Long term contraception by steroid releasing implants. VI. Serum concentrations of norethindrone in women bearing a single Silastic implant releasing norethindrone acetate. Contraception 15:473, 1977.
Bahgat, R. and Atkinson, L.E.:Contraceptive steroid administration by subdermal implants:Serum concentration of R2323, estrogen and progesterone in Rhesus monkeys. Contraception 15:335, 1977.
Victor, A. and Johansson, E.D.B.:Effects of d-norgestrel induced decreases in sex hormone binding globulin capacity on the d-norgestrel levels in plasma. Contra-ception 16:115, 1977.
Ermini, M., Carpino, F., Russo, M. and Benagiano, G.: Studies on sustained contraceptive effects with subcutaneous polydimethylsiloxane implants. Acta Endocrinol. 73:360, 1973.
Lifchez, A.S. and Scommegna, A.: Diffusion of progestogens through Silastic rubber implants. Fertil. Steril. 21:426, 1970.