Xiao-Hong Zhang, PhD, Hui-Min Sun, MD, Jian Ji, MD, Hong Zhang, MD, Wen-Jiang Ma, Zhi Jin, Jia-Qin Yuan, MD
From the Research Laboratory, International Implant Training Center, Tianjin Medical University Tianjin, China.
Xiao-Hong Zhang, PhD, University of Pennsylvania School of Medicine, CRB 232A, 415 Curie Boulevard, Philadelphia, Pennsylvania 19104, USA; E-mail: mszhxh@yahoo.com.
Abstract
Purpose: To determine the sex hormone levels in the serum and aqueous humor in patients with age-related cataract and the corresponding hormone receptors in cataract lens epithelial cells (LECs).
Setting: Research Laboratory, International Intraocular Implant Training Center, Tianjin Medical University, Tianjin, China.
Methods: Serum and aqueous humor were drawn from patients with cataract and a control group. Enzyme-linked immunosorbent assay was used to determine the levels of estradiol, progesterone, and testosterone in the serum and the aqueous. The anterior lens capsules with attached LECs were obtained during cataract surgery, and the expressions of estrogen receptor, progesterone receptor, or androgen receptor were examined by immunohistochemistry.
Results: The testosterone level in the serum was significantly higher in the control group than in the cataract group. In the cataract group, there was no difference between sexes in the serum levels of estradiol or progesterone; however, the testosterone level in men was significantly higher than in women. The aqueous level of each hormone was lower than in serum; however, there was no difference between sexes and no association with corresponding serum levels. No estrogen, progesterone, or androgen receptor was detected in the LECs of patients with age-related cataract.
Conclusions: There was no statistical difference between men and women or between the cataract and control groups in the levels of estradiol or progesterone in serum. There was no between-sex difference in the aqueous levels. It appears that sex hormone levels can be regarded only as a risk factor for cataractogen- esis, not as a key factor.
Introduction
Age-related cataract is the most common eye disease in older people and is an important cause of loss of vision. It can be classified according to the anatomic location within the lens as cortical, nuclear, posterior subcapsular, or mixed. Epidemiologic studies of a range of populations show that in humans, being a woman is a risk factor for cortical and nuclear cataract. The Beaver Dam Eye Study showed that nuclear sclerosis and cortical opacities occurred more commonly in women, while there was no difference between sexes in the prevalence of posterior subcapsular opacities.1 Regarding the cumulative incidence of cataract, women are more likely than men to have nuclear cataract.2 Prevalence data from the Barbados Eye Study,3 which had a predominantly black population, demonstrated that cortical and nuclear opacities are more frequent in women than in men. A survey of the Chinese Ophthalmological Society revealed that in China, cataracts are more common in women than in men.4
Although women are at a higher risk of developing cataracts than men, this increased risk comes after menopause. Recent epidemiologic studies suggest that female hormones play a role in protecting against cataract. The Beaver Dam Eye Study5 showed that post-menopausal hormone replacement therapy is associated with a decreased risk of nuclear sclerosis and that older age at menopause carries a decreased risk of cortical opacities. The Blue Mountains Eye Study6 also suggests that current users of hormone replacement therapy aged 65 years and older have a lower prevalence of cortical cataract than nonusers.
Despite the current evidence that sex hormones may play a pivotal role in cataractogenesis, the mechanisms are largely undetermined. In this study, we determined the sex hormone levels in the serum and aqueous of patients with age-related cataract. The expressions of these sex hormone receptors in the lens epithelial cells (LECs) of these patients were also examined.
Patients and methods
Ninety-eight patients aged 50 years or older with age- related cataract were randomly selected; half were women. Patients were divided into 2 groups: cataract group 1 (50 cases) and cataract group 2 (48 cases). The patients did not have other sex-related ocular disease including age-related macular degeneration (ARMD), uveitis, glaucoma, and corneal disease nor a systemic disease that may cause complicated cataracts such as diabetes mellitus. Peripheral blood was drawn from each patient before cataract surgery to extract serum. Samples were stored at — 80°C before analysis. Patients with traumatic cataract or retinal disease other than ARMD served as a control group (Table 1).
Table 1. Characteristics of patients.

In both groups of cataract patients, most cataracts were mixed, with a few cases of pure nuclear, cortical, and posterior subcapsular. Therefore, cataract classification was not considered during data analysis. In the control group, the need to eliminate interference of other sex-related ocular diseases and matched ages made it difficult to obtain enough cases. There were 6 cases in the control group aged 50 years or older, 1 woman and 5 men. Two in the control group had traumatic cataract in 1 eye and a transparent lens in the fellow eye. Three in the control group had rhegmatogenous retinal detachment with transparent crystalline lenses in both eyes. The last patient had anterior ischemic optic neuropathy and had a clear crystalline lens in both eyes.
At the beginning of cataract surgery in cataract group 1, aqueous humor was extracted from a closed eye via a paracentesis at the limbus under the surgical microscope. The samples were stored at — 80°C. During surgery, the anterior lens capsule with attached LECs was obtained and was immediately placed on a silane-coated slide glass (Sigma).
An enzyme-linked immunosorbent assay (ELISA) was used to determine the levels of estradiol, progesterone, and testosterone in the serum and aqueous humor. The kits were purchased from Syntron Biotech. Briefly, a 50 μL sample was added to a microtiter ELISA plate coated with a specific anti-body. Then, 25 μL of standard antigen conjugated with horseradish peroxidase was added. After gentle mixing, the plate was incubated at 37°C for 1 hour. Subsequently, the wells were washed 5 times with a wash buffer. After substrate addition, the plate was incubated for another 15 minutes at room temperature without light. The reaction was stopped by 1 M of sulfuric acid, and the absorbance at 450 nm was measured with a microplate reader (Bio-Rad 550). The results were compared to a standard calibration curve using standard antigen, and the hormone concentration in each specimen was determined. The intraassay and interassay coefficients of variation for estradiol, progesterone, and testosterone were all lower than 5%.
The expressions of hormone receptors in LECs of cataract patients were examined by immunohistochemistry. Mouse antiestrogen receptor antibody (1:50), mouse antiprogesterone receptor antibody (1:50), biotinylated-immuno-globulin, and streptavidin-labeled peroxidase were purchased from Zymed Laboratories, Inc. Mouse antiandrogen receptor antibody (1:20) was obtained from Santa Cruz Biotech. The procedures were the same as previously described.7 To enhance epitope recovery, the specimens were immersed in preheated 10 mM citrate buffer (pH 6.0) at 96°C for 10 minutes. They were then allowed to cool for 30 minutes in the buffer before the nonspecific binding sites were blocked. Tissue controls, known to stain positively with the antibody, were included in each batch. Omission of the primary antibody served as a negative control.
To compare the levels of hormones, an F test was per-formed first. In cases of homoscedasticity, the t test was used; otherwise, the t' test was used. The association between the serum and aqueous hormone levels was assessed by correlation analysis. All statistical tests were 2-tailed. Data are reported as mean ± standard deviation. A probability of 0.05 or less was considered statistically significant.
Results
Serum and Aqueous Hormone Levels
Table 2 shows the sex hormone levels in the serum of the cataract cases. There was no difference between sexes in the serum levels of estradiol or progesterone, while the testosterone level was significantly higher in men than in women (P < .01). There was no statistical difference in the serum levels of estradiol or progesterone between the cataract and control groups (Table 3). However, the testosterone level was significantly higher in the control group than in the cataract groups (P < .05).
Table 2. Difference in sex hormone levels in serum in cataract groups by sex.

Table 3. Sex hormone levels in serum in cataract and control groups.

Table 4 shows the sex hormone levels in the aqueous humor in cataract group 1. There was no difference in sex hormone levels between men and women.
Table 4. Difference in sex hormone levels in aqueous in cataract group 1 by sex.

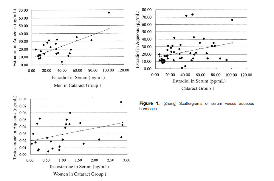
A correlation analysis to assess the association between serum and aqueous hormone levels showed the aqueous level of each hormone was lower than in serum (Table 5). For estradiol, there were positive correlations between serum and aqueous levels in men and in cataract group 1. For testosterone, there was a positive correlation between serum and aqueous levels in women. No correlation for progesterone was found. The correlation coefficient was less than 0.5 in all cases. Thus, although there was correlative significance by the correlation coefficient, the correlative strength by determination coefficient was not high enough. Figure 1 shows there was no distinctly regressive trend between the 2 groups of data.
Table 5. Association between serum and aqueous hormone levels in cataract group 1.


Table 5 (cont.)

Hormone Receptors in LECs
Careful examination under the microscope revealed no positive reaction on specimens. No estrogen, progesterone, or androgen receptors were detected in the LECs of the age-related cataracts.
Discussion
Epidemiologic studies of humans demonstrate sig-nificant differences between the sexes in the propensity to develop age-related cataract. Postmenopausal women have an increased incidence of cataract compared with age-matched men. Moreover, hormone replacement therapy decreases the prevalence and severity of cataract in postmenopausal women.
We used ELISA to determine the sex hormone levels in patients with age-related cataract. In the serum of cataract patients, there was no difference between men and women in the levels of estradiol or progesterone; however, the testosterone level was significantly higher in men than in women. Sex hormone levels in men remain almost unchanged throughout life, while those in women decrease substantially after menopause. Thus, the protective effects of female hormones may be lost, which may be why the prevalence of cataract increases in postmenopausal women.
Benitez del Castillo and coauthors8 performed flu- orophotometry to measure lens transmittance, and the data suggested a protective effect of estrogen use on the lenses of postmenopausal women. Animal studies also indicate a correlation between a higher incidence of cataract in women and the lack of estrogen. Bigsby and coauthors9 found that methylnitrosourea induces cataract in Sprague-Dawley rats. By 8 months, 74% of rats receiving no hormones had evident opacity in 1 or both eyes. Estradiol or estrone treatment reduced the incidence of cataractous eyes to 12% and 25%, respectively.
In our study, only the testosterone level was signif-icantly different between the control and cataract groups. This may be a result of the sex ratios in the 2 groups. In the cataract group, there were equal numbers of men and women. There were only 6 cases in the control group, which comprised 1 woman and 5 men.
Age-related cataracts is common. Its prevalence in-creases with increasing age in older people, whether male or female. Sex hormones cannot explain this inevitable tendency. Maybe there are senile genes to regulate the occurrence of age-related disorders. Or, perhaps proteins in the lens gradually aggregate into high-molecular-weight clusters, leading to lens opacification. On the basis ofthese changes, we believe that different hormone levels and metabolite concentrations result in various susceptibilities to cataract formation. Hence, sex hormone levels in serum can be regarded only as a risk factor for cataractogenesis, not as a key factor.
The mammalian lens is a biconvex structure located in the posterior chamber. It lacks blood supply and depends mainly on the aqueous for its nourishment. In our study, we found that all hormone levels were lower in the aqueous than in the serum. The association between the serum and the aqueous hormone levels was uncentain. There were no between-sex differences in aqueous hormone levels; thus, it appears that sex hormones in the aqueous have no influence on the lens.
Numerous studies indicate that sex hormones mod-ulate the structural characteristics and functional activity of many ocular tissues, including meibomian gland lipid release, corneal wetting time, conjunctival goblet cell density, and intraocular pressure.10-12 Except for cataract, hormone actions may account for many sex- related differences in the eye, such as dry-eye syndrome, glaucoma, and ARMD.13 The classic cellular mechanisms by which steroid hormones act are intracellular receptors, which modulate transcription and protein synthesis on the target cell after becoming activated. Whether steroid hormone receptors are present in ocular tissues has been examined in several studies. We studied 50 patients with age-related cataract and found no estrogen, progesterone, or androgen receptors in their LECs. Ogueta and coauthors14 report that estrogen receptor protein was detected in the lens epithelium in a 17-year- old girl but not in men or postmenopausal women. Rocha et al.15 report that androgen receptor protein existed in the LECs in a 13-year-old boy. This may be part of the reason sex hormones cannot act directly on LECs ofage-related cataracts.
The extent of sex steroid receptor expression in the eye may be tissue, species, and gender dependent. Using reverse transcription polymerase chain reaction in human, estrogen receptor and progesterone receptor mRNA were detected in lacrimal gland, meibomian gland, bulbar conjunctiva, cornea, and retinal pigmented epithelicon (RPE) cells. Androgen receptor mRNAwas identified in the lacrimal gland, meibomian gland, RPE cells, male bulbar conjunctiva, and male cornea.16 Another investigation of the retina showed that mRNA expression of estrogen receptor α had sex and age differences.14 In addition to LECs, Rocha et al.15 found androgen receptor protein in the human lacrimal gland, meibomian gland, cornea, bulbar and forniceal conjunctiva, and RPE cells. Specimens in a study by Esmaeli and coauthors12 gave different results. Conjunctiva and accessory lacrimal glands of Wolfring were negative for estrogen, progesterone, and androgen receptors. Meibomian glands were all positive for estrogen receptor, but progesterone receptor and androgen receptor were positive in only 1 case each.
Although determining the basis of these sex-associated ocular variations is important, the fundamental causes are still unknown. Sex hormones are known for their profound effects on the reproductive systems of both men and women. Relatively recent findings demonstrate their important roles in the cardiovascular system, specific brain regions, the liver, and maintenance of bone tissue. Research developments in these fields may enlighten us. Death from cardiovascular disease is relatively rare in premenopausal women compared with age-matched men. However, after menopause, the risk of coronary heart disease increases significantly. Hormone replacement therapy reduces cardiovascular disease in postmenopausal women. Garcia-Duran et al.17 report that the in vivo levels of circulating estrogen concentrations seem to be associated with the level of neuronal-type NO synthase (nNOS) protein expression in neutrophils of women. Moreover, low doses of 17β- estradiol upregulate nNOS protein expression in neutrophils of men. Alzheimer’s disease is another common senile disorder. Hormone replacement therapy appears to delay the onset of the disease. Research suggests that by suppressing membrane lipid peroxidation in synaptic membranes, estrogen may prevent impairment of the transport systems that maintain ion homeostasis and energy metabolism, thereby forestalling excitotoxic synaptic degeneration and neuronal loss in Alzheimer’s disease.18
With the population aging, senile diseases are becoming a notable social problem. Most diseases are sex associated. For research and prevention, the cooperation among different fields is important. Large experimental studies should be done to ascertain the mechanisms of hormone action, which may lead to the development of unique preventive and therapeutic strategies to treat diverse disorders.
References
Klein BEK, Klein R, Linton KLP. Prevalence of age- related lens opacities in a population; the Beaver Dam Eye Study. Ophthalmology 1992; 99:546 —552
Klein BEK, Klein R, Lee KE. Incidence of age-related cataract; the Beaver Dam Eye Study. Arch Ophthalmol 1998; 116:219 -225
Leske MC, Connell AMS, Wu S-Y, et al. Prevalence of lens opacities in the Barbados Eye Study. Arch Ophthalmol 1997; 115:105-511; correction, 931
Zhang S-Y. Epidemiology of cataract in China. In: Jia- Qin Y, Lim A, eds, The Frontier of Ophthalmology in the 21st Century. Tianjin, Tianjin Science and Technology Press, 2001; 28 -42
Klein BEK, Klein R, Ritter LL. Is there evidence of an estrogen effect on age-related lens opacities? The Beaver Dam Eye Study. Arch Ophthalmol 1994; 112:85-91
Cumming RG, Mitchell P. Hormone replacement therapy, reproductive factors, and cataract; the Blue Mountains Eye Study. Am J Epidemiol 1997; 145:242-249
Zhang X-H, JiJ, Zhang H, et al. Detection ofintegrins in cataract lens epithelial cells. J Cataract Refract Surg 2000; 26:287-291
Benitez del Castillo JM, del Rio T, Garcia-Sanchez J. Effects of estrogen use on lens transmittance in postmenopausal women. Ophthalmology 1997; 104:970- 973
Bigsby RM, Cardenas H, Caperell-Grant A, Grubbs CJ. Protective effects of estrogen in a rat model of age- related cataracts. Proc Natl Acad Sci USA 1999; 96: 9328-9332
Mathers WD, Stovall D, Lane JA, et al. Menopause and tear function: the influence of prolactin and sex hormones on human tear production. Cornea 1998; 17:353-358
Sator MO, Akramian J, Joura EA, et al. Reduction of intraocular pressure in a glaucoma patient undergoing hormone replacement therapy. Maturitas 1998; 29:93-95
Esmaeli B, Harvey JT, Hewlett B. Immunohistochemical evidence for estrogen receptors in meibomian glands. Ophthalmology 2000; 107:180-184
Smith W, Mitchell P, Wang JJ. Gender, oestrogen, hormone replacement and age-related macular degeneration: results from the Blue Mountains Eye Study. Aust NZ J Ophthalmology 1997; 25(suppl 1):S13—S15
Ogueta SB, Schwartz SD, Yamashita CK, Farber DB. Estrogen receptor in the human eye: influence of gender and age on gene expression. Invest Ophthalmol Vis Sci 1999; 40:1906-1911
Rocha EM, Wickham LA, da Silveira LA, et al. Identification of androgen receptor protein and 5a-reductase mRNA in human ocular tissues. Br J Ophthalmol 2000; 84:76 -84
Wickham LA, Gao J, Toda I, et al. Identification of androgen, estrogen and progesterone receptor mRNAs in the eye. Acta Ophthalmol Scand 2000; 78:146-153
Garcia-Duran M, de Frutos T, Diaz-Recasens J, et al. Estrogen stimulates neuronal nitric oxide synthase protein expression in human neutrophils. Circ Res 1999; 85:1020-1026
Keller JN, Germeyer A, Begley JG, Mattson MP. 17p- estradiol attenuates oxidative impairment of synaptic Na+/K+-ATPase activity, glucose transport, and glutamate transport induced by amyloid p-peptide and iron. J Neurosci Res 1997; 50:522-530