R. A. ANDERSON AND D. T. BAIRD
Medical Research Council Human Reproductive Sciences Unit (R.A.A.) and Contraceptive Development Network (D.T.B.), Centre for Reproductive Biology, University of Edinburgh, Edinburgh, Scotland EH16 4SB, United Kingdom
D. T. Baird, Center for Reproductive Biology, The University of Edinburgh Chancellor's Building, 49 Little France Crescent, Old Dalkeith Road, Edinburgh EH16 4SB, United Kingdom; E-mail: dtbaird@ed.ac.uk.
Abstract
The provision of safe, effective contraception has been revolutionized in the past 40 yr following the development of synthetic steroids and the demonstration that administration of combinations of sex steroids can be used to suppress ovulation and, subsequently, other reproductive functions. This review addresses the current standing of male contraception, long the poor relation in family planning but currently enjoying a resurgence in both scientific and political interest as it is recognized that men have a larger role to play in the regulation of fertility, whether seen in geopolitical or individual terms. Condoms and vasectomy continue to be popular at par-ticular phases of the reproductive lifespan and in certain cultures. Although not perfect contraceptives, condoms have the additional advantage of offering protection from sexually transmitted infection. The hormonal approach may have acquired the critical mass needed to make the transition from academic research to pharmaceutical development. Greatly increased understanding of male reproductive function, partly stimulated by interest in ageing and the potential benefits of androgen replacement, is opening up other avenues for investigation taking advantage of nonhormonal regulatory pathways specific to spermatogenesis and the reproductive tract
Abbreviations: CPA, Cyproterone acetate; DHT, dihydrotestoster-one; DMPA, depot medroxyprogesterone acetate; EpiT, epitestosterone (17α-hydroxyandrost-4-en-3-one); ER, estrogen receptor; HDL, high- density lipoprotein; LNG, levonorgestrel; MENT, 7α-methyl-19-nortes- tosterone; MPA, medroxyprogesterone acetate; NET, norethisterone; N9, nonoxynol-9; 5αR, 5α-reductase; STD, sexually transmitted disease; TE, testosterone enanthate; TU, testosterone undecanoate; WHO, World Health Organization.
Introduction
ACCESS TO EFFECTIVE contraception is a prerequisite of reproductive health (1). If the goal of ensuring that every birth results from a planned pregnancy is to be achieved, a wide range of methods of regulating fertility must be available. Because women literally are left “holding the baby,” family-planning organizations have traditionally concentrated on female methods. New developments in the last 10 yr, including new formulations of the oral contracep-tive pill, medicated intrauterine devices, and subdermal im-plants, have provided for women a wide range of contra-ceptive choice (Fig. 1). In contrast, advances in male-directed methods have been confined to refinements in the type of condom and technique of vasectomy. It has been argued that research on new male-directed methods is unnecessary and that resources would be better directed toward making ex-isting methods more widely available (2). Yet despite their limitations, up to 30% of couples worldwide use a male method of contraception (Fig. 2). Moreover, recent research has demonstrated that, in many societies, men are prepared to share the responsibility of contraception more equally with their partners (3). An individual's requirements for contraception differ depending on their changing social cir-cumstances. It is likely that the method of contraception that meets the requirements of an adolescent in an early explor-atory relationship will differ radically from that which is suitable for a stable couple that has completed its family. Thus, the development of new, effective methods of male contraception has been identified as a high priority by in-ternational organizations including the World Health Orga-nization (WHO; Refs. 4 and 5).

Figure 1. Contraceptive prevalence by regions of the world. Data are percentages of married women currently using modern methods of contraception (male and female sterilization, intrauterine contraceptive device, the pill, injectables, hormonal implants, condoms, and female barrier methods) and vary from 8% in Western Africa to 80% in Eastern Asia, with narrower variation in the more developed regions. Modern methods account for approximately 90% of contraceptive usage in less developed areas but for 70% in more developed areas, with traditional methods, e.g., withdrawal and calendar rhythm methods, which require male involvement, accounting for 26% in developed regions compared with 8% in less developed areas. Data are from the United Nations Population Fund (323).

Figure 2. Distribution of contraceptive usage by method in developed vs. less-developed regions of the world. Seventy percent of users in the more developed areas rely on short-acting, reversible methods (condoms, pills, traditional methods), whereas in the less-developed areas, 70% use longer-acting, clinic-based methods (injectables, sterilization, intauterine contraceptive device). Data are from the United Nations Population Fund (319).
The male reproductive system offers a range of potential targets for new contraceptives (Fig. 3). Spermatogenesis is a continuous process involving the daily production of millions of mature sperm from spermatogonia. This process takes approximately 75 d and involves reduction of the chro-mosome number from 46 to the haploid number of 23 present in ejaculated spermatozoa. This process of meiosis only occurs in the gonad in the adult and is carefully regulated

Figure 3. Potential targets for contraception in the male. The endocrine control of spermatogenesis is indicated, with contraceptive approaches in boxed text.
through a series of coordinated steps. Hence, it should be potentially possible to interfere specifically with key processes unique to the testis (6). Unfortunately, our knowledge of the physiological basis of spermatogenesis is still incomplete and, hence, developments of new methods still largely hypothetical. It has been known for more than 75 yr that normal testicular function is dependent on pituitary gonad-otropins, the secretion of which is regulated by hormones secreted by the testis. The principle of hormonal contraception for men was established more than 60 yr ago when it was shown that man becomes azoospermic when injected every day with large doses of testosterone (7,8). However, it is only recently that there has been a concerted effort to apply this knowledge to the development of a method that could be marketed as a practical contraceptive.
In this paper, we review briefly the methods of male con-traception currently available and point out their advantages and limitations. We will concentrate on the development of new hormonal methods that at long last offer a realistic prospect of marketing within 10 yr. Other approaches stem-ming from basic research have been reviewed extensively elsewhere and offer great potential but are unlikely to yield a practical method in the next few years (6).
II.The Control of Testicular and Epididymal Function
This article is primarily concerned with the regulation of male fertility. Although some discussion of the physiological basis for male fertility is therefore required, the following section does not attempt to be comprehensive. The effects of abnormalities in gonadotropic regulation of testicular function have been recently reviewed (9), as has the regulation of FSH secretion (10). Focus will be on those aspects of male reproductive function that have been or may become targets for contraceptive action.
A.The regulation of gonadotropin secretion
The testis, like the ovary, has both endocrine and game- togenic functions and is totally dependent on pituitary go-nadotropins. Gonadotropin secretion is under the overall stimulatory control of GnRH, with inhibitory inputs consist-ing of steroidal and peptide hormone feedback from the testes and local regulatory factors. Mechanisms and pathways involved in the regulation of GnRH secretion and action are thus central to the hormonal approach to male contraception, both by the use of GnRH analogs, in particular antagonists, and by the use of steroids to override physiological feedback signals. The pattern of both LH and FSH secretion in the peripheral circulation is pulsatile (11,12) and, in experimental animals, secretion of LH has been demonstrated to directly parallel that of GnRH into portal blood (13, 14). The pulsatile nature of GnRH secretion is believed to be crucial for the maintenance of gonadotroph responsiveness (15), preventing receptor down-regulation and subsequent fall in LH secretion. However, the absence of the COOH- terminal tail in the mammalian GnRH receptor, compared with other species, results in a much slower rate of receptor internalization, which may be of importance in the design of novel ligands (16).
Although testosterone is the major steroid secreted by the testis, it has been long recognized that other steroids may be involved in the regulation of gonadotropin secretion (17). Such steroids, such as estradiol, might be secreted directly by the testis (18) or produced by conversion from testosterone in extraglandular tissues. Testosterone inhibits LH secretion by acting at both the hypothalamus and anterior pituitary gland (19-24). Administration of dihydrotestosterone (DHT) has been widely used to investigate direct androgenic effects. High doses have generally been reported to result in suppression of LH concentrations (19, 25), whereas administration of more physiologically appropriate doses had little or no effect (17, 26, 27). The absence of an important effect of physiologically relevant amounts of endogenous DHT is suggested by the lack of effect of the 5α-reductase (5αR) inhibitor finasteride (28).
There is clear evidence that other steroids, including es-tradiol, are important in the regulation of gonadotropin se-cretion (17, 20). Estradiol infusion reduced LH secretion in response to pulsatile GnRH in men with idiopathic hypogo- nadotropic hypogonadism, whereas administration of testo- lactone, an aromatase inhibitor, caused both an increase in LH secretion when administered alone in this model and a reduction of the inhibitory effect of testosterone (26, 29). The relative contributions of androgen and estrogen have been recently reinvestigated by comparison of the effects of aro-matase inhibition and of biochemical castration by admin-istration of ketoconazole, inducing a fall in both testosterone and estradiol concentrations (30). These results indicate dif-ferential regulation of the two gonadotropins by testosterone and estradiol, with the effect of testosterone on FSH being largely mediated by aromatization.
Despite the use of progestogens to inhibit gonadotropin secretion in male contraceptive studies for several decades (31), surprisingly few studies have directly investigated the effects of these drugs in men. Progesterone receptors are present in the hypothalamus and anterior pituitary of male rats and rams (32, 33). An inhibitory effect of progesterone in castrated rams has recently been demonstrated when given with a low dose of testosterone, whereas progesterone given alone was ineffective (33). Thus, it is possible that the effect of progesterone on serum LH requires the presence of testosterone and/or estradiol, analogous to the effects of estradiol in the female. Increased LH concentrations in male progesterone receptor knockout mice suggest a possible physiological role (34). In normal men, the gestagen deso- gestrel caused a fall in LH, FSH, and testosterone concen-trations over a 3-wk administration (35), with testosterone concentrations falling to approximately 35% of pretreatment values with 300 pg desogestrel. We have recently demon-strated that progesterone administration to normal men re-duces both LH pulse frequency and amplitude and also reduces FSH secretion (36). These effects were similar to those observed with desogestrel administration, indicating that the effects of progestogens on gonadotropin secretion are not solely mediated by the androgen receptor but are, at least in part, mediated by the progesterone receptor, with evidence for both hypothalamic and pituitary sites of action.
In addition to steroidal feedback control of gonadotropin secretion, there is an important nonsteroidal gonadal con-tribution. This was recognized and given the name "inhibin" by McCullagh (37), who observed the inhibitory effect of an aqueous testicular extract on the formation of castrate cells in the pituitary gland. After the purification of inhibin from follicular fluid (38, 39) and the development of immunoassays specific for the dimeric forms of inhibin A and B, the presence of inhibin B, but not A, in the male was demonstrated. Blood concentrations are lower in men with testicular disorders, and an inverse relationship between inhibin B and FSH concentrations was confirmed (40, 41). This relationship between inhibin B and FSH was also observed across the physiological range in normal men (42). These data strongly suggest that inhibin B is an important component of the afferent arm of the feedback loop from the testis, selectively regulating FSH secretion (10).
B.Testosterone production
Testosterone is produced by the Leydig cells of the testis, under the stimulatory control of LH. The biosynthesis and metabolism of testosterone have been recently reviewed (43). Because the hormonal approach to male contraception in-volves administration of testosterone, the question of the appropriate dose arises. Some androgen-dependent functions, such as sexual behavior, are normalized with subphysiological testosterone concentrations and do not increase with supraphysiological doses (44, 45), whereas muscle mass and hemoglobin concentration continue to increase with increasing testosterone concentrations and high- density lipoprotein (HDL)-C continues to fall (46). Currently available preparations are limited, particularly the availability of long-acting formulations (Table 1). Most current regimens involve coadministration of a second agent such as a gestagen or GnRH analog to induce gonadotropin suppression, with replacement of testosterone to augment the suppressive effect on gonadotropin secretion and prevent hypogonadism. The dose required should therefore approx-imate physiological replacement. Derivation from measure-ment of the metabolic clearance rate of radiolabeled testos-terone gives a production rate of 6-7 mg/d (47,48), although a recent reinvestigation using stable isotope dilution indicated rather lower production rates of 3.7 ± 2.2 mg/d (49). In hypogonadal men, standard regimens include 250 mg testosterone esters every 3 wk, i.e., approximately 8 mg tes-tosterone per day, but with a large differential across the injection interval. Testosterone pellet and transdermal regi-mens are similar at approximately 5 mg/d (50, 51), with the pellets proving relatively stable concentrations, whereas the patches may mimic the physiological diurnal variation in testosterone production (52), the significance of which is unknown. These doses normalize prostate volume and main-tain bone mass in hypogonadal men (53, 54); thus, approx-imately 5 mg/d appears appropriate for physiological re-placement in contraceptive regimens.
Table 1. Androgen preparations currently investigated as components of a male contraceptive.

C.The regulation of spermatogenesis
The involvement of the pituitary gland in the control of spermatogenesis was first described by Smith in 1927 (55). Using the classic endocrine technique of gland removal fol-lowed by replacement of the postulated active substances, he demonstrated the importance of pituitary factors in the stim-ulation of testicular growth and spermatogenesis in the rat by observing the effect of hypophysectomy and subsequent administration of pituitary extracts. It was subsequently rec-ognized that two pituitary hormones are involved, with sep-arate effects on the Leydig cells and on spermatogenesis (56). This finding provides the basis for current understanding of the dual control of the endocrine and spermatogenic functions of the testes by LH (via production of testosterone) and FSH.
There remain uncertainties regarding the importance of FSH in the maintenance of adult spermatogenesis (10). In-activating mutations of the FSH β-subunit and FSH receptor have been identified in men (9) and in knockout models developed in mice (57, 58). Men with inactivating FSH receptor mutations showed qualitatively normal spermatogenesis and were in some cases fertile (59), whereas men with FSHjS mutations had a more marked phenotype and were azoospermic (60, 61), although there may have been coexisting abnormalities of Leydig cell function. The mouse knockout models for both the FSH β-subunit and receptor also showed qualitatively normal spermatogenesis (58, 62), whereas in the LH receptor knockout mouse, spermatogenesis was arrested at the round spermatid stage (63). In men who were administered supraphysiological doses of testosterone resulting in suppression of gonadotropins and spermatogenesis to azoospermia, subsequent administration of FSH resulted in a resumption of spermatogenesis (64). Conversely, administration of human chorionic gonadotropin or LH to men during testosterone-induced suppression (i.e., a model of selective FSH suppression) also resulted in reinitiation of spermatogenesis to sperm concentrations within the normal range, although lower than pretreatment concentrations for those men, despite FSH concentrations remaining suppressed (65, 66). Overall, these data indicate that FSH is not absolutely required for adult spermatogenesis, but it is required for quantitatively normal spermatogenesis to proceed. The testosterone regimen used in that and related studies investigating the effect of LH/human chorionic gonadotropin administration only induces azoospermia in a modest majority of Caucasian men (67), possibly related to the high testosterone concentrations achieved, which may directly support spermatogenesis in some men (65, 68). Whether FSH would induce spermatogenesis in a model with more complete intratesticular testosterone deprivation is uncertain. Although data from nonhuman primates support the existence of an important role for FSH in the regulation of spermatogonial replication in the presence of well- maintained intratesticular testosterone concentrations (69), it is unlikely that a contraceptive approach based on selective FSH withdrawal would be successful. The present availability of recombinant gonadotropin preparations and potent GnRH antagonists opens this area to further detailed study. The recent development of a transgenic model based on the gonadotropin-deficient hypogonadal (hpg) mouse with transgenic FSH expression provides an opportunity to study the effects of FSH in isolation from LH (70): in the absence of FSH, the germinal epithelium is disorganized with no tubular lumen and no spermatogonial progression beyond the pachytene stage, whereas in the presence of FSH such mice show near-complete spermatogenesis with a large number of round spermatocytes but few elongate spermatids, indicating lack of completion of spermiogenesis. This is similar to the testicular phenotype of the LH receptor knockout mouse (63), indicating the importance of FSH in the completion of germ cell meiosis.
A related finding is the effect of contraceptive steroid administration on inhibin B concentrations, as inhibin B is a Sertoli cell product reflecting both Sertoli cell number and the resident population of germ cells (71). Although initial studies using either testosterone alone (42) or testosterone with levonorgestrel (LNG; Ref. 41) demonstrated a fall in inhibin B concentrations, other studies using a range of testosterone/ progestogen combinations have demonstrated that inhibin B concentrations can be maintained even in the face of induced azoospermia (72, 73). Despite FSH concentrations being gen-erally suppressed to the limit of detection by such regimens, these data appear to suggest that Sertoli cell function is largely maintained. The predominant site of spermatogenic arrest, itself variable under these conditions (74), is at a relatively late stage of spermatogenesis. This has been recently investigated using stereological analysis of testicular biopsies from men receiving testosterone alone or with depot medroxyprogesterone acetate (DMPA) (75). Two major effects were noted, inhibition of maturation of Apale to B spermatogonia and a striking inhibition of spermiation, of which the latter is probably a mechanism for the early fall in sperm concentrations in clinical studies. Maturing germ cells were however present at approximately 20% of normal in treated men, indicating that qualitatively normal spermato-genesis continues in the testis despite most men having sperm concentrations of less than 0.1 X 106/ml in the ejaculate, with gonadotropins suppressed to minimal concentrations.
The concentration of testosterone within the testis is un-doubtedly much higher than in the circulation, although the quantification of intratesticular testosterone concentrations has been the subject of considerable debate (76). The functional significance of such high concentrations remains unclear, as the androgen receptor present in the testis is believed to be identical with that expressed throughout the body (77). Of relevance to the present discussion, however, is the repeated observation that Leydig cells continue to produce some testosterone after hypophysectomy (78, 79). Although testosterone concentrations in the interstitial fluid are less than 5% of normal under those conditions, this remains similar to physiological concentrations in peripheral blood. Con-traceptive approaches whose mechanism is predominantly through gonadotropin suppression are therefore unlikely to reduce intratesticular concentrations much lower than this. Such low concentrations may support spermatogenesis in some men, as antiandrogen administration results in a further decline in spermatogenesis (80). There are very limited human data on intratesticular testosterone concentrations under such circumstances, but weekly administration of testosterone propionate caused a fall in intratesticular testosterone concentrations to only double the total testosterone concentration in plasma (81). Similar data have recently been obtained in men undergoing testicular biopsy after treatment with testosterone enanthate (200 mg/wk) alone or with DMPA (75). Testicular testosterone concentrations declined to 2% of normal after 6 wk of treatment and were then similar to circulating concentrations of total testosterone. Because of the fall in sex hormone-binding globulin concentrations resulting from testosterone administration, the rise in free testosterone is considerably greater than that of total testosterone (68). The potential for a reverse gradient between the peripheral circulation and the testis therefore exists when high peripheral concentrations are achieved by exogenous steroid administration in the presence of suppressed LH secretion. An alternative approach to this question is the measurement of epitestosterone (EpiT; 17α-hydroxyandrost- 4-en-3-one), a natural epimer of testosterone secreted predominantly by the testis (82, 83). Its excretion is suppressed by exogenous testosterone administration (84, 85) to approximately 10% of normal. EpiT remains detectable in all men during testosterone treatment, with concentrations severalfold higher than those found in hypogonadal men (83). These data suggest that that there remains a low rate of steroidogenesis within the testis during testosterone treatment, consistent with data from hypophysectomized rats (78, 79).
Analysis of the effects and mechanism of action of testos-terone within the testis is further complicated by the potential for conversion to other steroids, particularly DHT and estradiol. The ability of rat testicular tissue to convert tes-tosterone to DHT in vitro has long been recognized (86, 87) and is differentially distributed with greater activity in the seminiferous tubules than in the interstitium (86). 5αR activity has also been demonstrated in the human testis (88,89), and there appeared to be an increase in activity at the expected time of puberty (90). The presence of mRNA for both isoenzymes of 5αR has been demonstrated in the human male reproductive tract (91, 92). Although mRNA and enzyme activity levels were very low in human testis, the presence of enzyme activity at pH 5.0, but not 7.0, is consistent with the presence of the type 2 enzyme (91). Conversely, the type 1 isoenzyme is the predominant isoform in the rat testis (92, 93). There may therefore be significant species difference in the testicular expression of 5αR isoenzymes. DHT can quantitatively support spermatogenesis in rats at lower doses than are required with testosterone (94, 95). Under physiological conditions, i.e., in the presence of an apparent vast excess of testosterone within the testis, what the potential role of the amplification of testosterone action by conversion to DHT might be is unclear. However, when intratesticular testosterone concentrations are low, such as during gonadotropin suppression, the amplification of androgen signaling may become of importance in supporting sper-matogenesis. This has been investigated using the 5αR inhibitor L675-272 (80, 96) in rats after induction of hypo- gonadotrophism by administration of testosterone and es-tradiol implants. In that experimental model, testosterone administration results in dose-dependent stimulation of spermatogenesis. Coadministration of the 5αR inhibitor re-sulted in a reduction of the ability of lower testosterone doses to restore spermatogenesis. Detailed morphological analysis demonstrated a reduction in the progression of round sper-matids through midspermiogenesis as well as in the number of elongate spermatids produced (80). The two isoforms of 5αR also appear to be differentially regulated in the testis, with 5αR1 negatively regulated by testosterone and 5αR2 positively regulated by FSH (97). Although data regarding 5αR isoforms in the testis are not available for the human, it has been demonstrated that intratesticular DHT concentrations do not fall after gonadotropin suppression in men (75). This further illustrates the potential importance of 5αR1 in conditions of reduced intratesticular testosterone concentrations, although attempts to exploit this using the 5αR inhibitor finasteride have been unsuccessful (98, 99).
The second major metabolic pathway of testosterone me-tabolism is conversion to estradiol by the enzyme aromatase. Aromatase activity is high in the Sertoli cells of the immature testis but decreases thereafter (100) and is also present in both Leydig and germ cells (101, 102). Human testicular venous blood contains higher estradiol concentrations than are found in the peripheral circulation (18). The study of the role of estradiol in the testis has received a considerable stimulus by the identification of a second estrogen receptor, ERβ, and the demonstration of the expression of ERβ receptors by many cell types, including germ cells, within the male reproductive tract (reviewed in Ref. 102). Analysis of the effects of ERα knockout mice gave rise to the novel finding of a major physiological role for estrogen/ERα in the regulation of epididymal fluid transport, whereas ERβ knockout mice have apparently normal reproductive function. Analysis of the physiological role of ERβ is complicated by the recent identification of several variants of the receptor, some of which may not be active as transcription activators and are expressed by human testicular germ cells (103). Further study of ERβ receptor function may give rise to novel insights on the steroidal control of spermatogenesis.
D.The epididymis
The essential role of the epididymis is the maturation of spermatozoa, including the capacity for motility and fertil-ization. Although spermatozoa can be used for in vitro fer-tilization after surgical recovery before passage through the epididymis, fertilization rates are low without intracytoplas-mic sperm injection. The epididymis secretes proteins that modulate spermatozoal function (104) and has absorptive and secretory functions. The major problem with the consideration of the epididymis in this regard is the identification of cellular processes specific to the epididymis that could be used as potential targets without toxicity in other organs. Advances in molecular biology and proteomics are likely to improve identification of epididymis-specific regulatory pathways (105-107).
E.Conclusion
In summary, the adult testis is controlled by a feedback system involving the hypothalamus, anterior pituitary, and testis. The main testicular components of the feedback loop involve testosterone, inhibin B, and estradiol, secreted directly or arising by aromatization of testosterone in peripheral tissues. Testosterone and possibly DHT have important effects on spermatogenesis directly within the testis as well as systemic effects maintaining libido and sexual function. Testosterone suppresses LH secretion by acting directly at both the hypothalamus and anterior pituitary. FSH secretion is mainly controlled by the action of inhibin and estradiol. Progesterone and synthetic gestagens suppress the concen-trations of FSH and LH, although the role, if any, of pro-gesterone in the physiological regulation of gonadotropin secretion in men is unknown. Because spermatogenesis is dependent on gonadotropins, an obvious contraceptive ap-proach is suppression with exogenous steroids.
III. Currently Available Male Contraceptive Methods
A.Condoms
Condoms have been in use since antiquity. Their initial use was predominantly to provide some protection from sexually transmitted disease (STD), an issue that has come full circle with the emergence of HIV. Condom usage is the only method, other than lifelong mutual monogamy, that can reduce the risk of HIV infection and other STDs, with other contraceptive methods, particularly female hormonal meth-ods, possibly increasing susceptibility to STD acquisition (108 -110). In the United States, one in five adults has an STD, and many go untreated; thus, approximately 15 million new sexually transmitted infections occur annually in the United States (111). The great majority of condoms are made from latex rubber and undergo testing for water leakage, tensile strength, and longevity. Possible improvements to these tests include testing with viral particles, which have demonstrated the potential for viral penetration in approximately 2% of condoms (112). However, the volume of semen contamination from such holes is very low, orders of magnitude lower than for not using the condom and probably of little significance compared with slippage and breakage.
The effectiveness of condoms is influenced by the nature of the product; variation in use of the product by individual users, including variation between users, as to risk of preg-nancy or STD acquisition; and characteristics of the population being studied, including background prevalence of STDs. There are two pertinent aspects of the nature of condoms: 1) by providing a physical barrier to semen, the effectiveness of condoms will depend on the proportion of acts of intercourse during which they are used (i.e., correctly and consistently); and 2) they are prone to physical complications, particularly breakage and slippage. The term “efficacy” is used to denote the protection afforded by usage under ideal conditions, and “effectiveness”' is the term used to describe the protection afforded under real conditions. Effectiveness therefore includes the contribution of the user as well as that of the device. The great majority of studies that have investigated the effectiveness of condoms have been observational in design with inherent risk of confounding bias. Another major source of bias is the necessity for reliance on self-report for much of the information to be gathered, including the occurrence of slippage and breakage, although more objective tests are being developed (113-115). These factors have all contributed to uncertainties in establishing whether condom usage really provides protection against STDs.
1.Prevalence of condom usage. The usage of all methods of contraception is limited by availability. This in itself is not only a societal issue but is relevant at the level of the indi-vidual. Thus, many aspects of contraceptive use and failure are partly determined by relative poverty and its associated barriers (116), in addition to inherent method differences. Condoms are very widely used by men at some point in their lives, with up to 90% of respondents in a survey across different cultures reporting usage of the condom at a rate higher than that for any other method (3). There have also been large increases in the use of condoms over the last two decades; these increases are associated with increased aware-ness of HIV and public information campaigns (117, 118). Usage by women in the United States aged 15-44 yr increased from 12% in 1982 to 20% in 1995 (119), with higher usage in the young and unmarried. Reported usage of condoms by men aged 15-19 in all acts of intercourse also increased from 33% in 1988 to 45% in 1995, with a halving to 9.5% in the proportion of men reporting never having used condoms (120). The prevalence of HIV infection in some high-risk groups, however, remains very high (121), resulting in concern that the perceived risk of HIV has diminished, perhaps as a result of the increasing effectiveness of antiretroviral therapy.
Recent data from the United Kingdom indicate that the proportion of family-planning clinic attenders using condoms rose from 6% to 35% over the yr 1975 to 2000 -2001, whereas the proportion using the combined contraceptive pill fell from 70% to 42%. Condoms were the most widely used method of contraception by partners of girls under age 16 yr, with more than 50% of those attending family-planning clinics using this method. The proportion using the pill was, however, greater than that using condoms in all other than the youngest age group and was highest in the 20- to 24-yr age group (122).
Usage and attitudes about condoms vary greatly among different societies. As part of a recent survey of attitudes regarding male contraception, condom usage was found to differ by more than 3-fold among men in Cape Town and in Hong Kong. Men in Hong Kong were found the most likely to currently use condoms (62% of subjects; Ref. 3) and, compared with men in other locations, appeared to rate the convenience of condoms highly while being least likely to think that they provided effective protection against pregnancy; they were also the least enthusiastic about novel male methods.
2.Protection from pregnancy. Estimates of the pregnancy rate during condom usage vary greatly according to the population studied. With near-perfect use, pregnancy rates as low as 3% have been reported, although national data probably more closely reflecting typical use show a rate of 14% in the first year (116). Condom usage is generally highest in the young, which, by their high fecundity, accentuates the problems of the learning curve: the pregnancy rate is approximately 50% lower in the second year of use than in the first (123). This is paralleled in the data for slippage and breakage, which are also related to user experience and knowledge (124). Data from recent prospective studies (125-127) indicate that slippage occurs on 0.6-1.3% of occasions and breakage on 0.4 -2.3% of occasions. Although these data may be taken to reflect the overall difficulties with the method (i.e., the relative ease of misuse and nonuse), they also show that very good contraceptive protection can be obtained when condoms are used consistently and correctly (128).
3.Protection from STDs. STDs include bacterial, viral, and parasitic infections, may be ulcerative or nonulcerative dis-charge diseases, and may be clinically overt or asymptomatic. A large number of these and other microbiological, physiological, and behavioral factors contribute to the risk of disease acquisition, including the coexistence of other STDs (129) and, for the female partner, the hormonal status of the vaginal and cervical epithelium. These and the methodological issues mentioned previously complicate interpretation of the available data. However, the results of meta-analysis of the 12 studies, which were regarded as sufficiently informative, of the potential protective effect of condom usage on HIV transmission clearly show a reduction in risk of infection with condom usage of approximately 87% (130). Among those reporting consistent usage of the condom, HIV incidence was 0.9 per 100 person-years, compared with 6.8 per 100 person-years for male-to-female transmission and 5.9 per 100 person-years for female-to-male transmission in those who reported never using condoms.
The data on protection against other STDs are more limited, and a recent workshop concluded that the data showing a protective effect was only consistent for HIV for both men and women and for gonorrhea for men (131). The available epidemiological studies pertaining to other infections were either inconsistent or regarded as methodologically flawed; thus, it was considered impossible to give an accurate estimate of the degree of potential protection offered by condom usage. However, the panel also concluded that there was strong laboratory-based evidence for protection against gonorrhea for women and against chlamydia and trichomoniasis, and that condom use might reduce the risk of human papillomavirus-associated diseases including genital warts and cervical neoplasia. Since that report, additional prospec-tive studies have indicated protective effects of condoms against transmission of herpes simplex virus type 2 from men to women but not from women to men (132) and against transmission of several STDs in a study of Kenyan prostitutes (110).
4.New developments in barrier male contraceptives. Develop-ments in condom manufacture include the use of polyure-thane, styrene ethylene butylene styrene (125, 133), and hy-poallergenic latex (134). These are useful for those with latex allergy, and although most men found the polyurethane condom gave increased sensitivity, it had higher slippage and breakage rates (relative risks of 6.0 and 6.6, respectively) than latex (125). In a randomized trial comparing latex with two new materials, two thirds of both male and female participants preferred one of the synthetic condoms (133). No information is available regarding protection from STDs, and there are only limited data on protection from pregnancy (126).
A separate line of development is in the microbicidal coat-ing of condoms. At present, many condoms are coated with lubricant containing the nonionic detergent nonoxynol-9 (N9). This was originally introduced as a spermicide, but it became apparent that this and similar compounds had antiinfective (including antiviral) activity by disrupting cell membranes (135). N9 decreased the rate of simian immunodeficiency virus transmission to monkeys (136) and has also been suggested to reduce HIV transmission in women in one epidemiological study (137). However, by virtue of the same cell membrane activity responsible for its antimicrobial activity, it also has irritant activity on the epithelia of the penis and vagina with changes in approximately 50% of women administered N9 suppositories 4 times per day for 2 wk (138). It has been suggested that the use of N9 and related compounds might actually increase the risk of HIV infection; evidence to support this was found in a study of female sex workers in Kenya who used vaginal sponges containing N9 (139), but additional large studies are required for confirmation. There is, however, probably a dose threshold below which N9 has no significant detrimental effect, and there is no evidence that this effect is relevant to the doses involved in condom use. A recent randomized, controlled study comparing condom use with and without N9 in more than 1000 women at high risk for STD (but excluding sex workers) showed no difference in the rate of urogenital gonorrhea and chlamydial infection (140). There is currently much interest in the development of combined spermicides and microbi- cides that may come to have a major role in both contraception and prevention of STDs. Although these are generally considered in terms of female application, they may also be used in condom lubricants.
B.Vasectomy
Division and/or occlusion of the vas deferens (vasectomy) is a highly effective method of contraception that has been shown to be extremely cheap and cost effective (141). Between 40 and 60 million couples (about 7%) in the world depend on vasectomy as their method of contraception (Ref. 142 and Fig. 2). Although it is usually regarded as permanent, the pregnancy rate reported after reversal by trained surgeons using microsurgical techniques is as high as 50% (143). The international incidence of vasectomy varies greatly and within each country by ethnic origin, socioeconomic status, age, and marital status. For example, in United States, the incidence of vasectomy rises from 1% in men aged 20 -24 yr to 20% in men aged over 40 yr (144), although it has been becoming relatively less popular than female sterilization over the last four decades (145). In Great Britain in 1992, nearly 30% of couples over 35 yr old were using vasectomy as their contraceptive method compared with approximately 20% choosing female sterilization (146). Vasectomy was found to be more popular in men who are better educated, more affluent, and who are currently married. Cultural factors also influence the popularity of vasectomy: in Europe, less than 1% of French men are vasectomized (147), whereas it is particularly common in New Zealand (148). Thus, it would appear that cultural and socioeconomic factors are more important than concerns about safety and efficacy in determining the popularity of vasectomy.
Vasectomy almost always involves occlusion and/or di-vision of the vas under local anesthesia (149). The vas can be accessed either by traditional surgical incision or by the “no-scalpel” technique using a specially designed sharp, pointed forceps (150). Occlusion of the ends of the tube by cautery, sclerosing agent, or interposition of fascia are more effective than simple division and ligation. A number of modifications of the technique, including possible reversible methods, have been investigated, including insertion of rubber plugs into the vas or injection of styrene polymer, the latter having the advantage of administration by injection (151). Assessment of efficacy is not easy. Short-term failure is usually defined as the presence of sperm in the ejaculate at some arbitrary time after operation (3-6 months) or after 23-25 ejaculates (141). There are always some sperm present in the initial ejaculates, although after 4 wk the number and quality in the majority of men is probably insufficient to achieve fertilization. In practice, a significant proportion of men fail to provide postvasectomy ejaculates for examination, and failures are identified only after an unexpected pregnancy in the partner. Late failure can occur at any time after vasectomy and is thought to be due to recanalization of the vas. The pregnancy rate in partners whose fertility status is unknown is only an indirect measure of efficacy. The apparent failure rate is inversely related to the age of the partner because of the marked decline in fertility of older women. In one study, the cumulative pregnancy rate after 10 yr was only 1.9 per 100 when the woman was over 40 yr at the time of vasectomy, as compared with 12 in 100 cases when the wife was 25-29 yr (152). Common sense dictates that vasectomy should be more successful when performed by experienced surgeons using a technique that involves occlusion and division of the vas. Case series by individual surgeons report failure rates of 0 -2%. In one prospective series, 2250 men were followed up for at least 1 yr after at least two postvasectomy samples had no sperm (153). In the first year, 15 men had sperm in the ejaculate, 4 in the second, and only 1 in the third. All the men had sperm counts less than 0.1 million/ml, and there were no pregnancies reported. The same clinic reported only 9 failures that resulted in pregnancy in more than 30,000 vasectomies performed between 1970 and 1999. The low failure rate (1 in 2000) is probably an underestimate due to underreporting. However, there are no published prospective studies equivalent to those for female sterilization [e.g., Collaborative Review of Sterilization (CREST); Ref. 154] in which the incidence of failure can be assessed in relation to these factors. It is likely that the effectiveness, as judged by the number of unplanned pregnancies, is lower than the results of these individual series would suggest.
Vasectomy under local anesthesia has few serious side effects. Perioperative complications include bleeding and he-matoma, the prevalence of which is related to the experience of the surgeon and the type of procedure (155). Incisional vasectomy is associated with a higher complication rate than no-scalpel techniques (156). Although sperm granulomas at the site of occlusion occur in 15-40% of vasectomies, they are usually asymptomatic. Although long-term complications such as chronic pain and epididymitis are rare (157), it is important that prevasectomy counseling includes information about these risks.
The majority of men develop antisperm antibodies that persist in the circulation for several years (158,159) and may lead to continuing infertility even when the patency of the vas has been reestablished by surgical reversal (160). The interval between vasectomy and reversal is also an important predictor of success, as are the techniques of both surgical procedures. Initial reports of a high incidence of atherosclerosis in monkeys after vasectomy have not been confirmed (161,162). Epidemiological surveillance fails to demonstrate any increase in cardiovascular disease in vasectomized men (163). Case control and cohort studies investigating the incidence of carcinoma of the prostate and testis in vasecto- mized men have given conflicting results (141, 164, 165). Interpretation of these studies is complicated by the difficulty of removing confounding factors, especially detection bias. A recent review (165) concluded overall that there was no association between vasectomy and cancer of the prostate or testis.
In summary, vasectomy is one of two existing methods of contraception available to men. It is more effective than the condom and has the advantage that it does not rely on com-pliance at the time of coitus to be effective. However, it provides no protection against STD, and reversal is expensive and only partially successful. The fact that men in many countries choose vasectomy reflects their commitment to sharing the burden of fertility control with their partners and is an indication of the potential demand for new methods of contraception.
IV.The Hormonal Approach to Male Contraception
Whatever the precise mechanisms of actions of the two gonadotropins and their relative importance in maintaining spermatogenesis in the adult may be, it is clear that sup-pression of gonadotropin secretion will result in a fall in sperm production, which is the basis of the hormonal ap-proach to male contraception. Suppression of testicular ste-roidogenesis is therefore also a consequence of endocrino-logical male contraception, requiring coadministration of androgen to prevent the symptoms and consequences of hypogonadism. Suppression of gonadotropin secretion can be achieved by overriding the physiological negative feedback control mechanisms at the hypothalamus and pituitary gland by administration of exogenous steroids, or perhaps more directly, the effect of GnRH on the pituitary may be prevented by administration of a GnRH analog or by a combination of such agents. The requirement for androgen to provide replacement for the secondary hypogonadism will also provide a physiological feedback signal at the hypothalamus, preventing increased GnRH secretion, which may increase the effectiveness of a coadministered GnRH analog. The major issues are the need for rapid, consistent, and sustained suppression of spermatogenesis to a level that will give adequate contraceptive efficacy, potential adverse effects of administered steroids or other agents, and the need for appropriately acceptable drug formulations. Conversely, there is the potential for noncontraceptive health benefits as well as risks from such alterations in the hormonal milieu, as with the female combined contraceptive pill.
A. Testosterone alone: demonstration of contraceptive efficacy
The potential of this concept is far from new; the demon-stration that administration of testosterone resulted in sup-pression of spermatogenesis dates back to 60 yr ago (7, 8, 166). These initial observations and subsequent studies (Ref. 167 and Fig. 4) demonstrated that testosterone could induce fully reversible azoospermia using the short-acting ester tes-tosterone propionate. The development of the longer-acting testosterone enanthate (TE) allowed investigation of the effect of varying dosage and administration frequency, par-ticularly to reduce exposure to supraphysiological doses of testosterone, and introduced a distinction between frequent administration for induction followed by a reduced-frequency maintenance phase (168). These and similar studies involving varying injection intervals (169, 170) were encouraging, with near-azoospermia maintained during TE injections at 10- to 12-d intervals, although longer injection intervals resulted in partial recovery.

Figure 4. Illustration of reversible, testosterone-induced azoospermia in normal men, whom in this study were treated with 25 mg testosterone propionate im daily, as indicated. [Derived from Ref. 167.
These studies illustrated the side effects associated with testosterone administration, e.g., weight gain and acne in some men, but the degree of spermatogenic suppression was sufficiently encouraging to lead to the initiation of two large international studies sponsored by WHO to investigate the true contraceptive potential of this approach. The regimen investigated was 200 mg im TE weekly, and subjects used no other contraceptive for 12 months once their sperm concen-tration had fallen below the set threshold. In the first study (171), the threshold was azoospermia, and 137 men (70%) entered the efficacy phase. Only one pregnancy resulted. However, this large study clearly demonstrated the variable degree of suppression of spermatogenesis achieved, with only two thirds of men achieving azoospermia within 6 months of TE treatment. This relatively low proportion, however, allowed the investigation of the contraceptive efficacy of induced oligozoospermia (67,172), which may carry a very different risk of pregnancy from that observed in subfertile men (173). Initially, the threshold for entering the efficacy phase was 5 X 106/ml, which was later reduced to 3 X 106/ml after an interim analysis that identified that three of five pregnancies at that stage had occurred among men with sperm concentrations greater than 4 X 106/ml. Inadequate suppression of spermatogenesis to preclude entry to the ef-ficacy phase occurred in only 8 (2.2%) of the 357 men who completed the suppression phase. Four pregnancies occurred during the 49.5 person-years of exposure in the oli- gozoospermic (0.1 to 3.0 X 106/ml) group, with none in 230 yr of exposure in the azoospermic group. These data gave an overall pregnancy rate of 1.4 (95% confidence interval, 0.4 - 3.7) and of 8.1 (95% confidence interval, 2.2-20.7) in the oligozoospermic group alone. These landmark studies clearly demonstrate the contraceptive efficacy of hormonally induced azoospermia. Although induced oligozoospermia also appears to offer contraceptive efficacy similar to other male methods, i.e., condoms, the number of pregnancies involved was very small and, thus, the confidence intervals wide. In vitro studies have also demonstrated the fertilizing ability of residual spermatozoa during TE-induced suppression (174).
The relationship between spermatogenic suppression and contraceptive efficacy raises the issue of the degree of efficacy required from a hormonal method. All existing methods of contraception have a failure rate, and although some recently introduced methods are more effective than sterilization, the range is wide. Condoms have an important place in contra-ceptive practice despite their evident shortcomings. Thus, it cannot be assumed that a male contraceptive that does not offer near-100% contraceptive efficacy will have no place in global provision. However, the skepticism still associated with the introduction of a hormonal male method (2) is such that the first method to be introduced should be as efficacious as possible.
These WHO studies also identified significant ethnic dif-ferences in the proportion of men who achieved azoospermia, being greater in Chinese (91%) than Caucasian (60%) men (171). High azoospermia rates in Asian men have been confirmed in subsequent studies using both testosterone alone (175, 176) and androgen/progestogen combinations (177). The basis for this is uncertain and could not be explained on the basis of body size or pretreatment endocrine or seminal differences in data from the WHO study (178). Overall, men achieving azoospermia had slightly higher pretreatment FSH concentrations and showed a gonadotropin rebound in the recovery phase (178).
On the basis of investigation of men taking part in the second WHO study (172), it had been suggested that the maintenance of oligozoospermia was associated with higher 5αR activity than in men achieving azoospermia (48,179). As discussed above, inhibition of 5αR activity in the rodent testis has been demonstrated to reduce the supportive effect of low-dose testosterone on spermatogenesis (80, 96), and in-tratesticular DHT concentrations are maintained during go-nadotropin suppression (75). Differences in 5αR activity be-tween Caucasian and Chinese men and women have been identified (180) in parallel to the greater suppression of sper-matogenesis in Asian men. The possible importance of 5αR in supporting low rates of spermatogenesis in some men has been investigated in two studies involving administration of the 5αR inhibitor finasteride. One protocol involved selective administration of finasteride to men once incomplete sup-pression had been identified (98), and the second protocol involved administration to men from the initiation of sup-pression using a submaximal regimen of testosterone with the oral progestogen desogestrel (99). In both studies, no additional effect of finasteride was demonstrated. However, because it is likely that 5αR type 1 is the predominant isoform in the testis and finasteride has preferential activity on the type 2 isoform, it is possible that more selective inhibition of the type 1 isoform may be more effective.
Other reproductive differences between Caucasian and Asian men include differences in feedback sensitivity to tes-tosterone (181) and in rates of germ cell apoptosis (182). A recent analysis of differences in androgen production and metabolism between Caucasian and Chinese men concluded that, although there were differences, they were largely due to dietary/environmental rather than genetic factors (183). Although there are several possible contributory factors to the increased sensitivity of Asian men to steroidal suppression of spermatogenesis, none have been clearly demonstrated to be of direct importance.
These two WHO studies (171,172) demonstrated conclu-sively that hormonal suppression of spermatogenesis suffi-cient for contraceptive efficacy was possible. The main draw-backs of the TE preparation used were the need for frequent injection; the relatively high proportion of men not achieving azoospermia and, thus, the need for identifying nonre-sponders; and side effects due to the high dose of testosterone administered. The influence of the testosterone formulation has been demonstrated using testosterone pellets. These pel-lets consist of fused crystalline testosterone, which is usually inserted sc using a trocar, with the patient under local an-esthesia, into the lower abdominal wall at a dose of 800 mg (4 X 200 mg pellets, each releasing 1.3 mg/d), providing hypogonadal replacement for approximately 5 months with good acceptability and reproducibility (184). Although the pellets may occasionally be extruded, their long duration of action with near-zero-order pharmacokinetics make them an excellent prototype preparation for long-acting injectable preparations with similar properties that are yet to be de-veloped. Their use allows considerable reduction in the dose of testosterone required for gonadotropin and spermato- genic suppression (98,185), resulting in a reduced prevalence of side effects while maintaining similar efficacy to TE. The absence of supraphysiological testosterone concentrations, while also avoiding diurnal fluctuations, may also contribute to spermatogenic suppression (68). We have recently investigated the effect of repeated administration of testosterone pellets in combination with a gestagen; the findings in these studies are discussed in Section IV.B.
A variety of other testosterone preparations, particularly longer-acting injections and, more recently, transdermal for-mulations, have also been investigated. The data from in-vestigations in which these preparations have been in com-bination with other suppressive agents are discussed below. Injectable testosterone preparations are 17β-esters, slowly absorbed from the site of injection then rapidly hydrolyzed in the circulation (186), with the speed of absorption being related to the length and hydrophobicity of the side chain (187).
The longest-acting ester tested as a potential contraceptive thus far is testosterone buciclate, which has a duration of action of 3-4 months (188). Single administration of 1200 mg to a small group of men resulted in encouraging spermato- genic suppression, with three men becoming azoospermic (189), but this androgen has not been available for further investigation due to difficulties with formulation and potential toxicity. More information is available regarding injectable preparations of testosterone undecanoate (TU), different preparations of which have been developed in China and Europe. Pharmacokinetic analysis of the Chinese preparation, in which the TU is dissolved in tea seed oil, indicated that administration of 500 mg provides replacement for 6 - 8 wk (190). A subsequent study investigating contraceptive potential demonstrated that 500 mg every 4 wk resulted in azoospermia in 11 of 12 men, and a higher dose of 1000 mg per 4 wk resulted in azoospermia in all 12 men, although there was some accumulation of testosterone (176). A large efficacy study using this preparation involving 308 men demonstrated that only 9 failed to suppress spermatogenesis to a sperm concentration of 3 X 106/ml or lower within 6 months, and that there were no pregnancies among partners of men whose sperm concentration remained below that threshold for an additional 6 months (191). As with the WHO studies, most contraceptive exposure was with azoospermia, and pregnancies were reported in partners of the small number of men whose sperm concentration showed a partial recovery to above 3 X 106/ml. The 8-ml injection volume appeared to be well tolerated: although it is reduced in the preparation developed by the pharmaceutical company Jenapharm (Jena, Germany) in which the drug is dissolved in caster oil with improved pharmacokinetics (192), the diluent volume required for 1000 mg TU remains 4 ml. This preparation has also been investigated as a potential contraceptive: 1000 mg TU administered every 6 wk resulted in azoospermia in 7 of 14 men (193). It appears from studies of repeated administration in hypogonadal men (194) that this injection interval can be significantly increased, and this is therefore a promising development in testosterone therapy with contraceptive potential, particularly when combined with another gonadotropin-suppressing agent.
Transdermal testosterone preparations including scrotal and nonscrotal patches and gels are becoming widely avail-able (Refs. 51,195,196 and Table 1). Because their main value is in maintaining physiological testosterone concentrations, data so far on their potential in contraception have been as components of a combination preparation (72, 197, 198), in which the degree of spermatogenic suppression achieved has been surprisingly low. This may, in part, reflect poor com-pliance because the transdermal patches currently available are irritant to the skin (199, 200).
In summary, the studies described illustrate the develop-ment from proof of concept that testosterone-based regimens could provide efficacious contraception in at least a proportion of men to newer preparations with improved pharma-cokinetics allowing for significant dosage reductions. However, the long-term side effects (and low efficacy in Caucasian populations) associated with this approach make it unlikely that testosterone alone will be developed as a male contraceptive.
Testosterone-progestogen combinations
The ability of progesterone and synthetic progestogens to suppress spermatogenesis has long been recognized, with azoospermia being achieved in all 19 men administered 50 mg progesterone im or 30 mg daily of one of three synthetic progestogens administered by mouth (31). The administration of the progestogens alone resulted in loss of libido; thus, these potent suppressors of gonadotropin secretion have been widely investigated in combination with testosterone to allow a reduction in testosterone dosage while potentially augmenting the degree of spermatogenic suppression (Fig. 5). In addition to suppression of gonadotropin secretion, progestogens may have additional intratesticular effects. Inhibitory effects on Leydig cell steroidogenesis, specifically on 17β-hydroxysteroid dehydrogenase activity, have been identified (201), as well as inhibitory effects on LH receptor expression and function (202), possibly mediated by a nonclassical progesterone receptor also identified in spermatozoa (203). Both effects might be important in a gonadotropin-depleted state, by further reducing Leydig cell steroidogenesis and, thus, intratesticular testosterone concentrations.

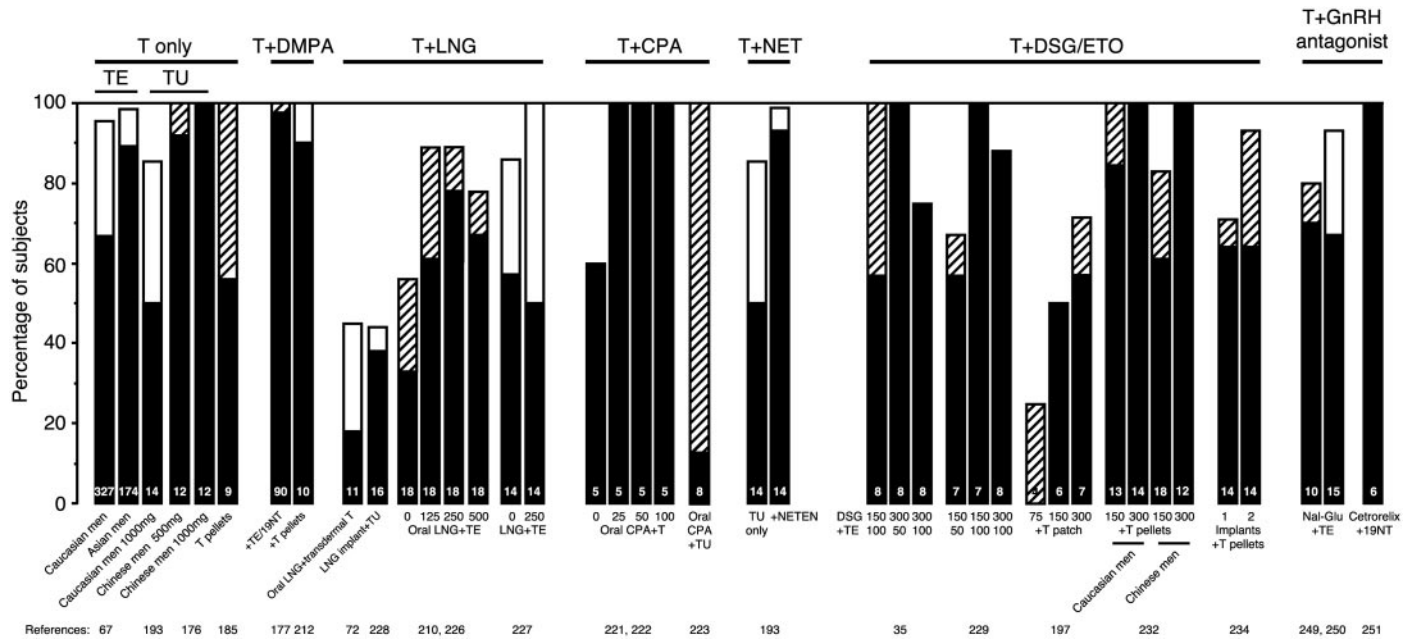
Figure 5. Comparison of spermatogenic suppressive efficacy in a number of recent studies of testosterone-only and combination regimens. Data indicate percentages of subjects achieving azoospermia (solid columns) and oligozoospermia (open/shaded columns). Open columns indicate threshold of less than 3 X 106/ml, and shading indicates less than 1 X 106/ml. Numbers within base of columns indicate numbers of subjects. T, Testosterone (precise preparation specified at base of figure); DSG, desogestrel (oral); ETO, etonogestrel (implant). Horizontal lines indicate groups of columns to which the text refers. Numbers immediately below columns indicate doses (see text for details). Reference numbers are indicated at the base of the figure below the appropriate columns.
The following section describes the current status of several combination approaches (see Table 2). It will be immediately recognized that many of these studies have involved only small numbers of subjects (see Fig. 5). Interpretation is further complicated by the use of different criteria for sper- matogenic suppression (thresholds of 1,3, or 5 X 106/ml) and variation in the ethnic background of subjects. Few studies have involved drug administration for longer than 6 months; thus, very limited information is available as to the effects of these regimens in the medium term.
Table 2. Progestogens currently investigated as potential components of a hormonal male contraceptive regimen.

1. Medroxyprogesterone acetate (MPA). Early studies sponsored by the International Committee for Contraceptive Research of the Population Council in the 1970s investigated the effects of megestrol acetate, norethindrone, and norgestrien- one with testosterone (204-206). Azoospermia was achieved in approximately 50% of men, and these studies were followed by a series of studies investigating the combination of DMPA with testosterone (207). These studies demonstrated suppression of spermatogenesis to sperm concentrations of less than 1 X 106/ml in the majority of men and provided some information regarding the potential contraceptive efficacy of these regimens (208). The additive effect of DMPA on the degree of suppression achieved with the synthetic androgen 19-nortestosterone was also suggested, although it was not demonstrated in direct comparative studies (209, 210), and multicenter studies in Indonesia were undertaken by WHO to compare testosterone and 19-nortestosterone with DMPA (177). This demonstrated the high efficacy of this combination, with 97-98% of men achieving azoospermia with both androgens, although androgen-only groups were not included. As discussed above, azoospermia is more readily achieved in Asian men, and the dose of testosterone (100 mg/wk) used in this WHO study resulted in 100% azoospermia in a small study in Indonesia when administered alone (175), compared with much lower efficacy in Caucasian populations (211). Investigation of this combination also highlighted potential adverse effects on serum lipoproteins (212). The combination of DMPA with testosterone pellets has also allowed the clear demonstration of the additive effect of that progestogen to testosterone with single-dose administration (213), although no data are at present available regarding repeated administration of this combination. The efficacy, ready availability, and economy of DMPA mean that it continues to be the subject of ongoing investigation, with a large study investigating the contraceptive efficacy of testosterone pellets/DMPA, i.e., a dual depot regimen, underway (D. J. Handelsman, personal communication). It appears, from a recent study with only small numbers of men, that the speed of spermatogenic suppression with testosterone/DMPA is similar to that with testosterone alone (75). There are also concerns regarding potential delay in restoration of spermatogenesis due to accumulation of DMPA in adipose tissue (214).
MPA can also be administered orally and has been inves-tigated in combination with early percutaneous testosterone preparations (215, 216). Although effective suppression of spermatogenesis could be achieved (216), absorption of the testosterone by the female partners was troublesome (217). This would not be anticipated using current transdermal testosterone preparations, although their use results in a very high incidence of allergic reaction (199), which can be severe (200). Transdermal testosterone with oral LNG or desogestrel induced dose-dependent suppression of spermatogenesis (72, 197), although this was not complete, and significant numbers of subjects withdrew because of skin irritation.
2.Cyproterone acetate (CPA). CPA is an orally active antian-drogen and progestogen that is widely used in the treatment of hirsutism in women and prostate cancer in men. Its po-tential use in male contraception is therefore perhaps sur-prising, but some very informative data have been obtained. Initial studies demonstrated that high doses (200 mg/d) re-sulted in marked suppression of spermatogenesis, with five of six men reaching sperm concentrations less than 1 X 106/ml, two of whom became azoospermic (218). Gonadotropin secretion in that study was estimated using urinary analysis. The lack of change in gonadotropin excretion was interpreted to indicate a direct effect within the testis, and although subsequent studies of the effects of lower doses (5-30 mg daily; Refs. 219 and 220) using more accurate gonadotropin assays demonstrated that gonadotropin secretion was indeed suppressed, the possibility that intratesticular effects contribute to the efficacy of CPA remains.
The high prevalence of side effects of even the low doses of CPA (219-221), including loss of libido and fatigue, precluded further studies without androgen supplementation. A series of studies have more recently been carried out reinvestigating oral CPA with TE (222, 223). These studies, although involving small numbers of men in each group, suggested that the combination of CPA in doses of 25-100 mg/d with 100 mg TE per week resulted in the rapid onset of azoospermia in all subjects, whereas that dose of TE alone was less effective. The antiandrogenic effect of CPA appeared to be reflected in a dose-dependent fall in hemoglobin concentration and hematocrit and also in body weight, despite the mildly supraphysiological dose of testosterone. CPA with oral TU offers the potential for complete selfadministration; suppression of spermatogenesis was achieved in all eight subjects, and one became azoospermic despite the relatively low dose of 12.5 mg CPA (224). Although this approach remains attractive, it is likely to require novel oral androgens to become a more realistic method.
The high prevalence of side effects of even the low doses of CPA (219-221), including loss of libido and fatigue, precluded further studies without androgen supplementation. A series of studies have more recently been carried out reinvestigating oral CPA with TE (222, 223). These studies, although involving small numbers of men in each group, suggested that the combination of CPA in doses of 25-100 mg/d with 100 mg TE per week resulted in the rapid onset of azoospermia in all subjects, whereas that dose of TE alone was less effective. The antiandrogenic effect of CPA appeared to be reflected in a dose-dependent fall in hemoglobin concentration and hematocrit and also in body weight, despite the mildly supraphysiological dose of testosterone. CPA with oral TU offers the potential for complete selfadministration; suppression of spermatogenesis was achieved in all eight subjects, and one became azoospermic despite the relatively low dose of 12.5 mg CPA (224). Although this approach remains attractive, it is likely to require novel oral androgens to become a more realistic method.
3.LNG. LNG, as with the other progestogens previously discussed in this review, is widely used in female contra-ception both orally and as the Norplant device (Wyeth, Phil-adelphia, PA). Initial studies using LNG alone or in combi-nation with testosterone showed only modest suppression of spermatogenesis (225, 226), with no subjects achieving azoospermia when administered 500 xg LNG orally with 200 mg TE monthly. Oral LNG at that dose does induce improved suppression with a higher dose of TE (100 mg/wk), with 12 of 18 men becoming azoospermic, compared with 6 of 18 with TE alone, with more rapid onset of azoospermia (211). Titration of the dose of LNG downward to 125 xg daily demonstrated the continuance of good, although incomplete, spermatogenic suppression but with reduced metabolic effects (227). The importance of the dose of testosterone is demonstrated by comparison of these studies involving weekly administration of TE with the earlier study (226) involving less frequent administration of TE and with a recent study of the combination of LNG with transdermal testosterone patches in which only 2 of 11 men became azoospermic (72); thus, maintenance of serum testosterone concentrations appears crucial to prevent escape of gonadotropin secretion and, thus, spermatogenesis. Conversely, when high doses of testosterone as injectable testosterone undecanoate are administered with oral LNG (228), no additive effect of the gestagen on suppression of spermatogenesis was observed, with only 50% of subjects achieving azoospermia, although suppression of serum lipoproteins was greater in the combination group.
LNG is also formulated as an implant. The potential ad-vantage of sustained-release preparations include avoidance of reliance on the subject's compliance, and as with the tes-tosterone pellets (185), a dose-sparing effect may be evident. Administration as a two-rod implant, each rod containing 75 mg LNG, with TU (250 mg/month) resulted in azoospermia in 6 of 16 men in a Chinese study, but sperm concentrations remained in the normal range in 4 men (229). Higher doses of either the progestogen or androgen may improve on these results (198).
4.Desogestrel and etonogestrel. Promising results have been obtained with the oral progestogen desogestrel (35, 73, 230 - 232). Desogestrel is a potent progestogen converted to the active agent, etonogestrel, by first-pass metabolism (233). In one study, eight of eight men became azoospermic with 300 Xg oral desogestrel daily in combination with 50 mg im TE weekly (35). This study also demonstrated the apparent nar-row dose-response relationship with this combination: either decreasing the dose of desogestrel to 150 xg or a higher dose of testosterone (100 mg/wk) resulted in a lower apparent incidence of azoospermia, although the groups were of small size. Comparable results were obtained in a similar study (230), although the combination of 150 xg desogestrel with 100 mg TE per week resulted in azoospermia in all eight subjects. The differences in prevalence of azoospermia between these two studies highlight the need for caution in interpreting data based on very small subject groups.
In a dose-finding study using testosterone pellets with oral desogestrel, 300 xg desogestrel resulted in greater spermat- ogenic suppression than 75 or 150 xg (73). We have recently demonstrated that this combination resulted in azoospermia in all subjects investigated in both Scotland and Shanghai (231) using a dose of testosterone designed to give no more than physiological replacement (400-mg testosterone pellets every 12 wk, i.e., 4.8 mg/d at steady state after repeated administration). This is reflected in the serum testosterone concentrations, which fall slightly but remain within the normal range during repeated administration (231). Similar results have also been obtained in a study involving African men in South Africa and Nigeria (232). The stability of serum testosterone concentrations with this regimen may more than compensate for the dose being lower than in previous com-bination studies of testosterone. It is similar, however, to transdermal administration that delivers 5 mg/d, but with significant diurnal variation (51), and appears to be markedly less effective at inducing spermatogenic suppression in com-bination with an effective dose of progestogen (72). The low rate of spermatogenic suppression during administration of transdermal testosterone has recently been confirmed using oral desogestrel as the progestogen in doses up to 300 xg (197). Thus, comparison of the degree of spermatogenic suppression achieved with the various testosterone regimens used with oral desogestrel clearly illustrates the overriding importance of formulation as well as dose, as both the testosterone pellets and transdermal methods deliver approximately 5 mg/d: 300 xg desogestrel daily with testosterone pellets resulted in azoospermia in 100% of subjects (231), but with transdermal testosterone, only 57% of men became azoospermic (197). The significant dose-sparing effect with the use of testosterone pellets probably results in serum testosterone concentrations straying neither into the supra- physiological range, inducing side effects and possibly supporting spermatogenesis, nor into the hypogonadal range, allowing escape of gonadotropins from effective suppression. This applies equally to combination as to testosterone- only regimens (185).
As with other testosterone/gestagen preparations, weight gain and HDL-C suppression are reported and demonstrated to be dependent on the doses of both desogestrel and tes-tosterone (230), although there was no weight gain in the study by Wu et al. (35). The speed of onset of azoospermia is also high with desogestrel/testosterone combinations, with 23 of 28 men achieving azoospermia within 12 wk (231). Although slowness of onset is perceived to be a potential drawback of the hormonal approach, these results approach those achieved after vasectomy.
Etonogestrel implants have recently been developed for female contraception, with a single implant (Implanon, Or-ganon, Cambridge, UK) providing effective contraception for 3 yr and acting by inhibition of ovulation (234). The implants release approximately 50 xg etonogestrel per day; thus, by comparison with oral dosages of desogestrel (73), it would be expected that a minimum of two implants would be required for spermatogenic suppression when given in combination with testosterone pellets, the logical choice as the longest-acting testosterone preparation available. We have recently completed a study of this combination, comparing one with two implants, both with testosterone pellets (235). In the two-implant group, sperm concentrations were reduced to less than 0.1 X 106/ml in 14 of 15 men, with more variable suppression in the single-implant group. It is possible that part of the efficacy of etonogestrel is mediated by direct intratesticular effects, as gonadotropins were not suppressed to the same extent as with high-dose TE (68), yet suppression of spermatogenesis was more rapid and consistent. As discussed previously for testosterone pellets compared with other preparations, these data indicate the dose sparing achieved with depot/implant preparations. The avoidance of exposure of the liver to high concentrations after gastrointestinal absorption may also account for the reduced effect ( < 10% fall) in HDL-C concentrations compared with that observed with oral desogestrel.
5.Norethisterone (NET). NET enanthate is formulated as a depot contraceptive for women, with 200 mg being admin-istered every 8 wk. NET is a relatively androgenic proges-togen, binding to the androgen with approximately 45% of the affinity of testosterone, resulting in approximately 15% of the androgen action of testosterone (236). It is also metabolized to ethinyl estradiol and 5α-NET. In postmenopausal women, the production of ethinyl estradiol is approximately 6 xg per milligram of NET (237); thus, the resulting estrogenicity will be expected to contribute to suppression of gonadotropins. The low receptor affinity of 5α-NET results in an antiandrogenic effect in the rat prostate (238). Analysis of its overall effects is therefore complex and will differ between androgen-dependent organs, e.g., the pituitary, prostate and testis, with potentially advantageous effects at each site. Despite the long time it has been available, it is surprising that it has been relatively little studied in men, although azoospermia was reported in all five men administered NET acetate orally with percutaneous testosterone (216). A recent pharmacokinetic investigation of NET enan- thate demonstrated marked gonadotropin suppression (239), and subsequent administration of 200 mg NET enanthate with injectable TU (1000 mg), both administered every 6 wk demonstrated very high efficacy, with 13 of 14 men becoming azoospermic compared with 7 of 14 men receiving TU alone (193). Interestingly, although spermatogenic suppression was more rapid in the combination group, the maximal degree of suppression was not seen until wk 24 of the study, with the final drug administration having been at 18 wk.
C.Estrogens in male contraception
The increasing recognition of the importance of estrogen in male reproductive physiology has been discussed in the previous sections. In particular, much of the feedback effect of testosterone on FSH secretion is mediated by conversion to estradiol (30). Administration of implants containing LNG and estrone, without testosterone supplementation, resulted in variable suppression of spermatogenesis (240). This approach has been recently reinvestigated using sc implants of both estradiol and testosterone (241), demonstrating increased spermatogenic suppression with addition of estradiol, but a very narrow therapeutic window before estrogenic side effects, particularly gynecomastia, became problematic. This combination is therefore attractive in theory but of limited practical benefit at present, although the potential development of ER modulators with high selective activity at the gonadotroph might reopen this avenue of investigation. It is also pertinent to the potential effects of synthetic androgens, which, if not subject to aromatization to active estrogenic compounds, may have reduced activity at suppressing gonadotropins, in particular FSH, and may not adequately mimic the effects of testosterone on bone metabolism.
D.Testosterone with GnRH analogs
The combination of a progestogen with testosterone thus allows a reduction in the dose of testosterone while also increasing the proportion of men achieving azoospermia. However, these combinations continue to have significant side effects, including weight gain and alterations of lipoprotein metabolism. Metabolic effects may be inevitable with a method that relies on interference with steroidal negative feedback on gonadotropin secretion. A potentially more el-egant method would be to abolish gonadotropin secretion by interference with the action of GnRH on the gonadotrophs; thus, testosterone would be required solely for the prevention of hypogonadism. The elucidation of the structure of GnRH opened new possibilities for the manipulation of reproductive function, many of which have come to fruition in both the male and the female.
1.GnRH agonists. Administration of GnRH agonist analogs results in an initial increase followed by suppression of go-nadotropin secretion, and the contraceptive potential of this approach in men has been investigated in approximately a dozen trials (reviewed in Ref. 242). These studies have in-volved D-Trp6, buserelin, and nafarelin and a total of more than 100 men treated with doses between 5 and 500 ^g/d both alone and in combination with androgen. However, even the most successful of these studies induced azoospermia in only a minority of subjects (243), rather less than when the androgen was administered alone. It became clear that the predominant mechanism for this lack of efficacy was the escape of gonadotropins, in particular FSH, from continuing suppression (244), and this area has not been pursued further.
2.GnRH antagonists. GnRH antagonists prevent the action of GnRH on the gonadotroph without inducing the initial stim-ulation of gonadotropin secretion characteristic of the agonist analogs (245). Despite promising results in primate models (246,247), relatively few clinical studies have been carried out with sufficient duration to assess the effect on spermat-ogenesis. This reflects problematic histamine-like allergic re-actions at the site of injection, the need for daily adminis-tration by injection, and the difficulties and expense of manufacture. However, the clinical studies that have been performed have been promising, and new antagonists have fewer side effects. In two initial studies in which testosterone replacement was delayed for the first 2 wk of administration of the antagonist Nal-Glu, azoospermia was induced in 14 of 16 men (248,249). Neither study included a testosterone-only arm, precluding clear demonstration of the additive effect of the antagonist. Such an arm was included in a study using the relatively high dose of TE, 200 mg/wk (250), as in the multicenter WHO studies. Azoospermia was induced in 7 of 10 men in the antagonist-plus-TE group, compared with 6 of 9 in the TE-only group. Although this study did not have sufficient power to allow a clear comparison of the two regimens, it provided no evidence for an additive effect of the antagonist. It is possible that this reflects the high dose of TE: if the relatively low prevalence of azoospermia induced by this dose reflects a direct stimulatory effect on spermatogenesis in some men, it is unlikely that any greater suppression of gonadotropins by the GnRH antagonist would have an appreciable effect. Although these studies are therefore promising, the small study groups preclude the conclusion that GnRH antagonists can result in a higher prevalence of azoospermia with less metabolic impact than the progesto-gen-based regimens.
The practical difficulties with these drugs has, however, had the effect of stimulating research into biphasic administration protocols, with one drug regimen for the suppression phase followed by a lower-dose maintenance phase. Administration of Nal-Glu with TE for 16 wk induced azoospermia in 10 of 15 men; subsequent TE-only maintenance for 20 wk sustained suppression in 13 of 14 subjects, with only 1 showing escape (251). This dose of 100 mg TE/wk alone is relatively ineffective in inducing azoospermia in Caucasians (211). A second study used the GnRH antagonist cetrorelix in combination with 19-nortestosterone (200 mg every 3 wk) (252). All six men became azoospermic with the combined drug regimen, but when cetrorelix was discontinued and the androgen continued alone, spermatogenesis was restored. This may have resulted from inadequate androgen dosage or too prolonged a dosage interval and was associated with a strikingly rapid but transient increase in gonadotropin concentrations into the normal range on cessation of cetrorelix. Selective metabolism of 19-nortestosterone compared with testosterone results in relatively low estrogenic activity, which may contribute to the lack of suppression of gonadotropins. Limiting GnRH treatment to the induction phase may reduce costs as well as drug exposure, a potentially important issue with these compounds. However, the overall advantages of GnRH antagonists in the primary outcome, i.e., suppression of spermatogenesis to near-azoospermia, have yet to be clearly demonstrated. Orally active nonpeptide GnRH antagonists have also been described (253), but no data relevant to the present discussion are yet available.
E.Adverse effects and long-term considerations
Many of the side effects of the regimens previously dis-cussed in this review were largely predictable on the basis of testosterone concentrations rising above the physiological range, if intermittently. These include acne and weight gain with high-dose TE (254) and may be prevented by appropriate physiological testosterone replacement in a combination regime, although some may be induced by a progestogen component. Other potentially serious adverse effects are either difficult to accurately determine in relatively shortterm studies, e.g., effects on bone (231) and prostate function (255), or are merely markers for complex disease processes, e.g., changes in serum lipoproteins as indicators of future risk of cardiovascular disease (212, 256). Limitations of interpretation are increased by many studies effectively being observational pilot studies inadequately powered even to detect differences in the prevalence of azoospermia between regimens, an increasing problem with the improved efficacy of recently investigated regimens. Thus, the apparently reassuring lack of changes, e.g., in prostate volume or markers of bone metabolism, may be unreliable although appropriate at this stage of development when a wide range of potential drugs and regimens are being studied without any one being clearly better than others. Although biochemical measurements can only be indirect markers of the long-term risk of disease, the ideal regimen should be at worst metabolically neutral and should at best reduce the incidence of cardiovascular and prostatic disease.
In conclusion, the combination of testosterone with pro-gestogen is currently the most promising approach to hor-monal male contraception. The progestogen component al-lows a reduction in the dose of testosterone with, at least in the case of certain progestogens, more rapid and effective spermatogenic suppression. Results of studies using newer progestogens, e.g., desogestrel, are encouraging, and there continue to be advances in progestogen development that may be of value (257). Several recent studies have compared different doses of various progestogens, particularly levonorgestrel and desogestrel (Fig. 5). Although these studies have demonstrated the dose dependency of the effect of the gestagen, they have also served to highlight the importance of the testosterone formulation that is likely to be of greater importance to the efficacy of the combination than relatively minor differences between the gestagens. It is to be hoped that more direct comparisons between androgen preparations will be performed in the near future. Advances in testosterone formulation, by providing longer-acting preparations with nearer zero-order absorption, will no doubt increase the effectiveness of these combinations even further, as illustrated by data from studies using testosterone pellets. The appropriate dose of testosterone also needs to be more rigorously determined: it is unclear whether small overall increases or decreases in testosterone may have adverse or even beneficial effects and, thus, whether they may have health benefits.
F.Future directions in androgen delivery
In many of its physiological roles, testosterone acts as a prohormone. This is well illustrated in the several experi-ments of nature involving abnormalities of testosterone me-tabolism, most strikingly in the phenotypes of individuals with 5αR deficiency (258) and mutations of ERα (259) and the enzyme P450 aromatase (260). Individuals with these abnor-malities have normal circulating testosterone concentrations, but phenotypic abnormalities include incomplete develop-ment of the external genitalia and prostate (5αR deficiency) or unfused epiphyses and osteoporosis (ER and aromatase mutations). Furthermore, different androgen-dependent tis-sues and responses such as sexual function and muscle mass have different testosterone dose-response relationships (46).
Synthetic androgens subject to selective metabolism might therefore have the advantages of tissue selectivity and im-proved risk-benefit ratios. Increased potency would also re-quire a smaller quantity of drug, which might allow improved transdermal administration or implant formulations with longer duration of action. 7α-Methyl-19-nortestosterone (MENT) is a synthetic androgen that is approximately 10 times more potent than testosterone in anabolic bioassays and as a suppresser of gonadotropin secretion, but it is resistant to 5α reduction (261) and thus has relatively low potency in bioassays such as stimulation of prostate size in castrated animals (262, 263). MENT can be converted by aromatase to an active estrogen (264); thus, it maybe effective in the maintenance of bone mass, although this has yet to be demonstrated. This androgen was initially developed many years ago (265), but detailed human data remain limited to pharmacokinetic and pharmacodynamic studies (266). MENT is not bound by sex hormone-binding globulin and is rapidly cleared from the circulation. MENT acetate can, however, be prepared in the form of implants for sc insertion, thus giving the potential for long-term replacement therapy or treatment. These implants have recently been demonstrated to support mood and sexual behavior in hypogonadal men in a fashion similar to conventional testosterone replacement (267)and to suppress gonadotropin secretion in normal men (268). MENT also has progestogenic activity, which might be advantageous in the context of male contraception, and longer- term studies of spermatogenic suppression are underway.
The use of DHT as androgen replacement has the theoretical advantage of increased potency relative to testosterone. Because the effect of testosterone is normally amplified by conversion to DHT in the prostate, this will be avoided; thus, DHT may be paradoxically regarded as prostate sparing (170). This has been confirmed by the demonstration of no change in prostate volume in a placebo-controlled study in older, partially androgen-deficient men during transdermal administration of DHT (269). However, investigation of DHT gel with LNG im-plants showed very limited suppression of spermatogenesis (270), with no men achieving azoospermia and only 33% showing suppression to less than 20 X 106/ml. These results may reflect the limited effect of DHT on gonadotropin suppression, in particular FSH, which is likely to reflect the lack of aromatization. It remains possible that DHT will be of value as replacement in combination with the use of a GnRH antagonist.
A group of molecules has been recently identified that has selectivity and specificity for the androgen receptor (271), and further modification of these selective androgen receptor modulators may lead to them displaying agonist, antagonist, or partial effects (272). Not only may this be of great benefit in the area of male hormonal contraception, but this discovery may also have more widespread clinical applications in the treatment of hypogonadism, androgen-dependent malignancy, and in the development of hormone replacement therapy in ageing men. Similarly, the development of nonsteroidal progesterone receptor ligands (273) may replace conventional progestogens as an adjuvant in male contraceptive strategies.
V.Nonhormonal Testicular and Posttesticular Agents
The nonhormonal and posttesticular approaches have a number of potential advantages over the hormonal approach. These include potential rapidity of onset and lack of interference with nonreproductive androgen-dependent function. The meiotic division and dramatic differentiation of spermatogonia into motile spermatozoa with subsequent release from the Sertoli cell make spermatogenesis potentially vulnerable to specific intervention. Progress has been hampered by lack of understanding of the molecular regu-lation of spermatogenesis; however, potential targets are emerging. These include interference with the adhesion of germ cells to Sertoli cells (274), but none are in clinical de-velopment. The few nonhormonal agents investigated clin-ically include gossypol, a phenolic compound found in the seed, stem, and roots of the cotton plant, whose antifertility effects were first identified in the 1950s. Gossypol inhibits lactate dehydrogenase, found only in the testis, and inhibits spermatogenesis and sperm motility without affecting Leydig cell function. Large clinical studies carried out in China and involving more than 8000 men demonstrated the ability of gossypol to induce oligozoospermia in more than 90% of men (275, 276). However, azoospermia was found to be irreversible in approximately 20% of men who had taken gos- sypol for prolonged periods (277). Other serious side effects were also reported, including hypokalemia and occasional periodic paralysis (278). These effects of gossypol are dose dependent, and recent data indicate that low doses may provide effective yet reversible inhibition of spermatogenesis (279). Conversely, the irreversibility of the effect of gossypol has been proposed as providing a chemical alternative to vasectomy (280). Gossypol also shows activity as a vaginal contraceptive (281), and its effects on cell cycle regulation and antitumor activity are being investigated for the treatment of malignant conditions including refractory breast cancer (282).
The Chinese herbal medicine Trypterigium wilfordii is used in the treatment of arthritis and psoriasis. Multiglycosides extracted from this plant result in infertility in the rat, an effect initially attributed to an epididymal site of action as its major impact was on sperm motility, which was reversible without apparent toxicity (283). Similar effects were noted in a small group of men (284), and subsequent to a systematic approach to fractionated extracts (285), triptolide was isolated, administration of which to rodents resulted in rapid declines in sperm motility and fertility with later effects on spermatogenesis. Testicular volume was markedly reduced after 80 d of administration, and irreversible infertility re-sulted (286, 287). Triptolide has immunosuppressive activity, probably accounting for its activity in skin and joint disease (288). It remains unclear whether triptolide at lower doses will result in a selective postmeiotic effect, but both gossypol and triptolide indicate the potential for novel approaches to male contraception.
The location of the testes in the scrotum maintains them at lower than core body temperature. Even short-term scrotal heating has marked effects of spermatogenesis in the rodent (289, 290) with increased germ cell apoptosis, and although testosterone concentrations are maintained, higher LH levels indicate a greater drive to the testis (291). This has been explored in clinical studies but with variable results (292294). In one study, azoospermia was achieved in all 14 subjects and was maintained for 1 yr. Full reversibility was indicated by recovery of sperm density in the ejaculate and by successful pregnancy thereafter (293). In a second study, 21 men wore one of three variants of polyester-lined athletic supports for 52 wk (294). These supports modestly increased scrotal temperature toward core temperature but had no effect on sperm concentration or function. The application of heat has been demonstrated to increase the degree of suppression of spermatogenesis in rats during testosterone administration, with the two effects acting at different stages of spermatogenesis (295), but this “two-hit” concept has yet to be tested in a clinical trial.
Spermatozoa undergo a maturational process in the epi-didymis, where they are stored before ejaculation. Interference with epididymal function could be a useful approach to contraception. Within the epididymis, contraceptive effects could be mediated on the spermatozoa directly, via the ep-ididymal epithelium on epididymal fluid composition or on epididymal peritubular muscle. All three of these aspects of epididymal function have been investigated as potential con-traceptive targets, but none have thus far been translated into clinical studies. Identification of novel receptors specific to the epididymis provides a further target for pharmacotherapy (296). Attempts to influence epididymal epithelium function have included the inhibition of a-glucosidase, reducing epididymal carnitine concentrations, and immunological approaches to specific proteins secreted by the epididymis. Interference with acidification of the epididymal fluid is also a possible target (297). The potential for successful interference with maturation of spermatozoa within the epididymis is suggested by the effect of the c-ros tyrosine kinase knockout in mice (105). This results in failure of development of the proximal epididymis and infertility, with the mice being otherwise normal. The spermatozoal flagellum shows a marked angulation similar to that observed in association with infertility in some species of domestic animals (“Dag Defect”; Ref. 298), which may reduce sperm functional motility although in vitro motility assessment appears normal.
The most widely clinically studied agents acting on the epididymis are the 6-chloro-6-deoxysugars and a-chlorohy- drin (299). The antifertility activity of these and related com-pounds such as ornidazole (300) has been shown to reside in the chlorinated side chain (301). These compounds act on epididymal spermatozoa by inhibition of glycolytic activity taking advantage of the inability of spermatozoa enzymes to distinguish between chlorinated and phosphorylated com-pounds (302). Glyceraldehyde-3-phosphate dehydrogenase is inhibited limiting ATP production from glucose, thus reducing sperm motility. Neurotoxicity was, however, a problem with these compounds in both mice and nonhuman primates (303), limiting further development. However, the significant differences between sperm glycolytic enzymes and those found elsewhere in the body mean that the development of compounds that specifically target these processes remains a possibility.
A cation channel specific for sperm motility has recently been identified and demonstrated to be specifically expressed on the sperm tail, targeted disruption of which reduced spermatozoal motility and abolished the ability of sperm to penetrate the zona pellucida and fertilize the egg but had no other apparent effect (304). This or similar molecules would be ideal candidates for pharmacological or immunological contraception.
A. Immunological approach to male contraception
The concept of harnessing the power of the immune system to the development of contraception has parallels in nature, as antisperm antibodies may contribute to subfertility in both men and women. Immunocontraception using anti- spermatozoal antigens may be effective in both men and women; alternatively, immunoneutralization can be used to prevent the trophic effects of hormones. Indeed, the first immunocontraceptive to reach clinical studies has been an anti-jS chorionic gonadotropin vaccine for women (305). This approach also avoids the potential pitfalls of steroid admin-istration, although the safety considerations are, if anything, greater. Potential targets for male-directed contraception in-clude FSH and GnRH, specific sperm antigens, and epididymal proteins. The application of microsequencing methodology has the potential to identify numerous sperm-specific proteins that may be candidates for immunocontraception (107). However, few have been developed to the stage of clinical testing. The possibility that anti-FSH immunization might result in selective antispermatogenic activity without affecting testosterone production by the testis was investigated in nonhuman primates. Although it was clear that testosterone alone could maintain spermatogenesis in the rat, the evidence in the human was unclear and to some extent remains so (Section II.C). Passive immunization resulted in a decline in sperm concentration but did not lead to azoospermia (306, 307), confirming the importance of FSH in the maintenance of spermatogenesis in the adult primate. Active immunization, however, also showed incomplete efficacy, with some monkeys achieving inconsistent azoospermia but sperm concentrations in others remaining within the normal range (306, 308). More recent studies using an ovine FSH vaccine have indicated fewer nonresponders (309) and lower fertility than might have been anticipated on the basis of the degree of oligozoospermia induced.
A pilot study of active immunization against ovine FSH in humans demonstrated antibody production in all five subjects and resulted in a decline in sperm concentrations (310). Although the study appears not to have been of sufficient duration to fully investigate the degree of achievable sup-pression of spermatogenesis, the reported decline (33- 65%) is much less than achievable by hormonal suppression. No adverse effects were reported. Future work may improve the consistency and titer of antibody production, but at present it appears unlikely that this approach will result in the consistent degree of suppression of spermatogenesis required for effective contraception.
Immunization against LH might be expected to be similarly efficacious, although by reducing testosterone production, this approach requires the concomitant administration of testosterone to prevent hypogonadal symptoms, as with the hormonal approach. Marked inhibition of spermatogenesis was achieved in nonhuman primates by active immunization against ovine LH (311). Muscle wastage was apparent in some immunized animals, to a greater extent than was expected based on the decline in testosterone concentrations, and this approach has not been further pursued.
The possibility that GnRH might prove to be a more ef-fective antigen and might avoid the difficulties due to the incomplete spermatogenic suppression with FSH, immuno- neutralization has been investigated (reviewed in Ref. 312). Clinical trials in subjects with prostate cancer have been conducted, and infertility has been induced in nonhuman primates, although data are scanty (313). Frequent admin-istration of the antigen was also required.
A number of spermatozoal antigens have been investigated as immunological targets in animal models, some with promising results (314). Immunization against one such an-tigen, PH-20, induced reversible infertility in all male guinea pigs treated, with infertility lasting longer than 1 yr in some cases (315). Some spermatogenic antigens are proteins ac-quired by the spermatozoa during their passage through the epididymis and may be required for fertilization (316). The identification of human proteins with similar roles (317) raises the possibility for clinical studies in both men and women. The identification of these specific epididymal proteins and elucidation of their functions also raises the potential for their targeting by pharmacological agents. One problem specific to epididymal antigens is that the blood- testis barrier may prevent adequate titers from reaching the epididymal lumen. However, it appears that sperm antibodies (and other proteins) do in fact accumulate within the epididymis after systemic administration (318), although the prolonged time required reduces the potential advantage of this approach to targeting the epididymis.
Thus, although there is no shortage of potential targets for immunization to prevent pregnancy, the immunological ap-proach to contraception has not been enthusiastically pursued by either the public or private sector. Concerns include the possibility of provoking autoimmunity, variability in both the degree and duration of response among individuals, and reversibility. In addition, political concern over the potential abuse of long-term methods has made it unlikely that the immunological approach will be the basis of a product for commercial development.
VI.Acceptability of Male Contraception
Because contraceptive failure has far greater personal con-sequences for women than for men, it is hardly surprising that “family-planning” organizations have been mainly orientated toward providing services and methods for women. It has been argued that men are unlikely to accept a major responsibility for contraceptive methods and that, even if an effective method for men were available, women would not trust their partners to use it (2). However, surveys of the prevalence of methods of contraception in different countries have revealed that up to 50% of couples use condoms or vasectomy, despite reservations about their efficacy and/or convenience (146, 319). It seems likely that, in many countries, some individuals would find a new male contraceptive method would meet their needs. Moreover, there is an in-creasing awareness that men should share, to a greater extent, responsibility for contraception (320).
Recent surveys of attitudes of men and women regarding the use of novel hormonal male methods have confirmed this suggestion (3, 321). More than 400 men and women of re-productive age were asked about their current methods of contraception and whether they thought they or their partners would use a new method of male contraception. The centers sampled were in countries with a high contraceptive prevalence. There were large differences among the centers in the types of contraception used. For example, oral con-traception was used by 41% of couples in Edinburgh compared with 0% in Shanghai, where the intrauterine device was used by 62%. Despite these differences, there was significant support for a male hormonal method, and 44 - 83% of men surveyed would use a male pill if it were available (Table 3).
Table 3. Percentages of men and women who would definitely/ probably use a male contraceptive pill.

In a separate survey in the same centers, women were asked what they thought about the use of a male hormonal method (321). One third or more of women who currently had a partner, in all centers except that in Hong Kong, said that they would use a hormonal male method now, and more than 70% of women in Shanghai and Edinburgh and white women in South Africa indicated that they would use it in the future (Table 3). It is interesting that the acceptability was lowest among both men and women in Hong Kong, where condoms are the commonest current method. These studies suggest that male hormonal contraception would be acceptable to many couples and support the findings of a randomized telephone survey of 1005 Americans aged 18 yr or more. More than 70% of both men and women agreed that men should play a greater role in using contraception, and 45% of women thought that men would take a male pill (322). Approval of a hypothetical method of contraception is unlikely to be an accurate measure of the actual use in practice when a method is marketed. However, these surveys confirm that a hormonal method would be attractive to a proportion of contraceptive users.
VII.Conclusions
Contraception differs from most medications in that it is used by healthy individuals for prevention rather than cure. Tolerance of side effects is therefore low. The apparent sat-uration of the market in developed countries by cheap, ef-fective, hormonal female-based methods obscures the high rate of method change, which is a clear index of dissatisfaction. Furthermore, perhaps surprisingly, use of traditional, often male-oriented methods is in fact higher in developed than in developing countries (319). Developing countries have an overwhelming need to increase usage of methods to control fertility. Coupled with changes in gender roles, the time appears ripe for the introduction of a novel male method. The hormonal approach appears close to producing a real product, and the pharmaceutical industry has at last made a small if tangible contribution to development. However, it may well be that the current explosion in our understanding of the molecular basis of reproductive function will reveal the real fruits and allow men to contribute more equally to the freedom from excessive fertility.
References
Fathalla MF 1999 Contraception and the unmet needs of women. Gynaecol Forum 4:25-27
Potts M 1996 The myth of a male pill. Nat Med 2:398-399
Martin CW, Anderson RA, Cheng L, Ho PC, van der Spuy Z, Smith KB, Glasier AF, Everington D, Baird DT 2000 Potential impact of hormonal male contraception: cross-cultural implications for development of novel preparations. Hum Reprod 15:637-645
United Nations Population Fund (UNFPA) 1994 Report of the International Conference on Population and Development. United Nations Annual Conference 171/13, New York
World Health Organization 1998 World health day 1998 fact sheets-prevent unwanted pregnancy. Geneva: World Health Or-ganization
Harrison PF, Rosenfield A, eds. 1996 Contraceptive research and development. Looking to the future. Washington, DC: National Academy Press
McCullagh EP, McGurl FJ1939 Further observations on the clinical use of testosterone propionate. J Urol 42:1265-1267
Heckel NJ 1939 Production of oligospermia in a man by the use of testosterone propionate. Proc Soc Exp Biol Med 40:658- 659
Themmen APN, Huhtaniemi IT 2000 Mutations of gonadotropins and gonadotropin receptors: elucidating the physiology and pathophysiology of pituitary-gonadal function. Endocr Rev 21:551-583
Plant TM, Marshall GR 2001 The functional significance of FSH in spermatogenesis and the control of its secretion in male primates. Endocr Rev 22:764-786
Santen RJ, Bardin CW 1973 Episodic luteinizing hormone secretion in man: Pulse analysis, clinical interpretation, physiologic mechanisms. J Clin Invest 52:2617-2628
Veldhuis JD, King JC, Urban RJ, Rogol AD, Evans WS, Kolp LA, Johnson ML 1987 Operating characteristics of the male hypo- thalamo-pituitary-gonadal axis: pulsatile release of testosterone and follicle-stimulating hormone and their temporal coupling with luteinizing hormone. J Clin Endocrinol Metab 65:929 -941
Levine JE, Pau KYF, Ramirez VD, Jackson GL 1982 Simultaneous measurement of luteinizing hormone-releasing hormone and lu-teinizing hormone release in unanesthetized, ovariectomized sheep. Endocrinology 111:1449 -1455
Clarke IJ, Cummins JT 1982 The temporal relationship between go-nadotropin releasing hormone (GnRH) and luteinizing hormone (LH) secretion in ovariectomized ewes. Endocrinology 111:1737-1739
Crowley Jr WF, Whitcomb RW, Jameson JLJ, Weiss J, Finkelstein JS, O'Dea LSL 1991 Neuroendocrine control of human reproduction in the male. Recent Prog Horm Res 47:27-67
Pawson AJ, Katz A, Sun YM, Lopes J, Illing N, Millar RP, Davidson JS 1998 Contrasting internalization kinetics of human and chicken gonadotropin-releasing hormone receptors mediated by C-terminal tail. J Endocrinol 156:R9 -R12
Sherins RJ, Loriaux DL 1973 Studies on the role of sex steroids in the feedback control of FSH concentrations in men. J Clin Endocrinol Metab 36:886 - 893
Baird DT, Galbraith A, Fraser IS, Newsam JE 1973 The concentration of oestrone and oestradiol-17|8 in spermatic venous blood in man. J Endocrinol 57:285-288
Santen RJ 1975 Is aromatization of testosterone to estradiol required for inhibition of luteinizing hormone secretion in men? J Clin Invest 56:1555-1563
Winters SJ, Janick JJ, Loriaux DL, Sherins RJ 1979 Studies on the role of sex steroids in the feedback control of gonadotropin con-centrations in men. II. Use of the estrogen antagonist, clomiphene citrate. J Clin Endocrinol Metab 48:222-227
Matsumoto AM, Bremner WJ 1984 Modulation of pulsatile go-nadotropin secretion by testosterone in man. J Clin Endocrinol Metab 58:609 -614
Balzano S, Migliari R, Sica V, Scarpa RM, Pintus C, Loviselli A, Usai E, Balestrieri A 1987 The effect of androgen blockade on pulsatile gonadotrophin release and LH response to naloxone. Clin Endocrinol (Oxf) 27:491-499
Urban RJ, Davis MR, Rogol AD, Johnson ML, Veldhuis JD 1988 Acute androgen receptor blockade increases luteinizing hormone secretory activity in men. J Clin Endocrinol Metab 67:1149 -1155
Veldhuis JD, Urban RJ, Dufau ML 1992 Evidence that androgen negative feedback regulates hypothalamic gonadotropin-releasing hormone impulse strength and the burst-like secretion of biologically active luteinizing hormone in men. J Clin Endocrinol Metab 74:1227-1235
Urban RJ, Dahl KD, Padmanabhan V, Beitins IZ, Veldhuis JD 1991 Specific regulatory actions of dihydrotestosterone and estradiol on the dynamics of FSH secretion and clearance in humans. J Androl 12:27-35
Bagatell CJ, Dahl KD, Bremner WJ 1994 The direct pituitary effect of testosterone to inhibit gonadotrophin secretion in men is partially mediated by aromatization to estradiol. J Androl 15:15-21
Wang C, Iranmanesh A, Berman N, McDonald V, Steiner B, Ziel F, Faulkner SM, Dudley RE, Veldhuis JD, Swerdloff RS 1998 Comparative pharmacokinetics of three doses of percutaneous di-hydrotestosterone gel in healthy elderly men—a clinical research center study. J Clin Endocrinol Metab 83:2749-2757
Rittmaster RS, Lemay A, Zwicker H, Capizzi TP, Winch S, Moore E, Gormley GJ 1992 Effect of finasteride, a 5α-reductase inhibitor, on serum gonadotropins in normal men. J Clin Endocrinol Metab 75:484-488
Finkelstein JS, O'Dea LSL, Whitcomb RW, Crowley Jr WF 1991 Sex steroid control of gonadotropin secretion in the human male. II. Effects of estradiol administration in normal and gonadotropin-releasing hormone-deficient men. J Clin Endocrinol Metab 73:621-628
Hayes FJ, DeCruz S, Seminara SB, Boepple PA, Crowley Jr WF 2001 Differential regulation of gonadotropin secretion by testosterone in the human male: absence of a negative feedback effect of testosterone on follicle-stimulating hormone secretion. J Clin En-docrinol Metab 86:53-58
Heller CG, Laidlaw WM, Harvey HT, Nelson WO 1958 Effects of progestational compounds on the reproductive processes of the human male. Ann NY Acad Sci 71:649 - 665
Lauber AH, Romano GJ, Pfaff DW 1991 Gene expression for estrogen and progesterone receptor mRNAs in rat brain and possible relations to sexual dimorphic functions. J Steroid Biochem Mol Biol 40:53-62
Turner AI, Tilbrook AJ, Clarke IJ, Scott CJ 2001 Progesterone and testosterone in combination act in the hypothalamus of castrated rams to regulate the secretion of LH. J Endocrinol 169:291-298
Schneider JS, Sleiter NC, Levine JE, Endocrine abnormalities in male mice carrying a null mutation for the progesterone receptor gene. Program of the 81st Annual Meeting of the Endocrine Society, San Diego, CA, 1999, p 284 (Abstract P2-17)
Wu FCW, Balasubramanian R, Mulders TMT, Coelingh-Bennink HJT 1999 Oral progestogen combined with testosterone as a po-tential male contraceptive: additive effects between desogestrel and testosterone enanthate in suppression of spermatogenesis, pi-tuitary-testicular axis, and lipid metabolism. J Clin Endocrinol Metab 84:112-122
Brady B, Anderson RA, Kinniburgh D, Baird DT 2002 Demon-stration of progesterone receptor mediated gonadotrophin sup-pression in men. J Endocrinol 3(Suppl):OC37
McCullagh DR 1932 Dual endocrine activity of the testes. Science 76:19 -20
Ling N, Ying S-Y, Ueno N, Denoroy L, Guillemin R 1985 Isolation and partial characterization of a Mr 32,000 protein with inhibin activity from porcine follicular fluid. Proc Natl Acad Sci USA 82:7217-7221
Robertson DM, Foulds LM, Leversha L, Morgan FJ, Hearn MTW, Burger HG, Wettenhall REH, de Kretser DM 1985 Isolation of inhibin from bovine follicular fluid. Biochem Biophys Res Commun 126:220 -226
Illingworth PJ, Groome NP, Byrd W, Rainey WE, McNeilly AS, Mather JP, Bremner WJ 1996 Inhibin-B: a likely candidate for the physiologically important form of inhibin in men. J Clin Endocrinol Metab 81:1321-1325
Anawalt BD, Bebb RA, Matsumoto AM, Groome NP, Illingworth PJ, McNeilly AS, Bremner WJ 1996 Serum inhibin B levels reflect Sertoli cell function in normal men and men with testicular dys-function. J Clin Endocrinol Metab 81:3341-3345
Anderson RA, Wallace EM, Groome NP, Bellis AJ, Wu FCW 1997 Physiological relationships between inhibin B, FSH and spermat-ogenesis in normal men and response to gonadotrophin suppression by exogenous testosterone. Hum Reprod 12:746-751
Roberts FFG 1998 Testosterone: an overview of biosynthesis, trans-port, metabolism and nongenomic actions. In: Nieschlag E, Behre HM, eds. Testosterone: action, deficiency, substitution. 2nd ed. Berlin: Springer-Verlag; 1-31
Anderson RA, Bancroft J, Wu FCW 1992 The effects of exogenous testosterone on sexuality and mood of normal men. J Clin Endocrinol Metab 75:1503-1507
Buena F, Swerdloff RS, Steiner BS, Lutchmansingh P, Peterson MA, Pandian MR, Galmarini M, Bhasin S 1993 Sexual function does not change when serum testosterone levels are pharmacologically varied within the normal male range. Fertil Steril 59:1118-1123
Bhasin S, Woodhouse L, Casaburi R, Singh AB, Bhasin D, Ber-man N, Chen X, Yarasheski KE, Magliano L, Dzekov C, Bross R, Phillips J, Sinha-Hikim I, Shen R, Storer TW 2001 Testosterone dose-response relationships in healthy young men. Am J Physiol Endocrinol Metab 281:E1172-E1181
Horton R 1978 Sex steroid production and secretion in the male. Andrologia 10:183-194
Anderson RA, Wallace AM, Wu FCW 1996 Comparison between testosterone enanthate-induced azoospermia and oligozoospermia in a male contraceptive study. III. Higher 5α-reductase activity in oligozoospermic men administered supraphysiological doses of testosterone. J Clin Endocrinol Metab 81:902-908
Vierhapper H, Nowotny P, Waldhausl W 1997 Determination of testosterone production rates in men and women using stable iso- tope/dilution and mass spectrometry. J Clin Endocrinol Metab 82:1492-1496
Handelsman DJ 1996 Androgen delivery systems: testosterone pellet implants. In: Bhasin S, Gabelnick HL, Speiler JM, Swerdloff RS, Wang C, Kelly C, eds. Pharmacology, biology and clinical applications of androgens: current status and future prospects. New York: Wiley-Liss; 459 -469
Meikle AW, Mazer NA, Moellmer JF, Stringham JD, Tolman KG, Sanders SW, Odell WD 1992 Enhanced transdermal delivery of testosterone across nonscrotal skin produces physiological concen-trations of testosterone and its metabolites in hypogonadal men. J Clin Endocrinol Metab 74:623- 628
Plymate SR, Tenover JS, Bremner WJ 1989 Circadian variation in testosterone, sex hormone-binding globulin, and calculated nonsex hormone-binding globulin bound testosterone in healthy young and elderly men. J Androl 10:366-371
Behre HM, Bohmeyer J, Nieschlag E 1994 Prostate volume in testosterone-treated and untreated hypogonadal men in comparison to age-matched normal controls. Clin Endocrinol (Oxf) 40: 341-349
Behre HM, Kliesh S, Leifke E, Link TM, Nieschlag E 1997 Long-term effect of testosterone therapy on bone mineral density in hypogonadal men. J Clin Endocrinol Metab 82:2386-2390
Smith PE 1927 The disabilities caused by hypophysectomy and their repair. JAMA 88:158-161
Greep RO, Febold HL, Hisaw FL 1936 Effects of two hypophyseal gonadotrophic hormones on reproductive system of male rat. Anat Rec 65:261-269
Dierich A, Sairam MR, Monaco L, Fimia GM, Gansmuller A, LeMeur M, Sassone-Corsi P 1998 Impairing follicle-stimulating hormone (FSH) signaling in vivo: targeted disruption of the FSH receptor leads to aberrant gametogenesis and hormonal imbalance. Proc Natl Acad Sci USA 95:13612-13617
Abel MH, Wootton AN, Wilkins V, Huhtaniemi I, Knight PG, Charlton HM 2000 The effect of a null mutation in the follicle- stimulating hormone receptor gene on mouse reproduction. En-docrinology 141:1795-1803
Tapanainen TS, Aittomaki K, Min J, Vasivko T, Huhtaniemi IT 1997 Men homozygous for an inactivating mutation of the follicle- stimulating hormone (FSH) receptor gene present variable suppression of spermatogenesis and fertility. Nat Genet 15:205-206
Phillip M, Arbelle JE, Segev Y, Parvari R 1998 Male hypogonad-ism due to a mutation in the gene for the β-subunit of follicle- stimulating hormone. N Engl J Med 338:1729 -1732
Lindstedt G, Nystrom E, Matthews C, Ernest I, Janson PO, Chat-terjee K 1998 Follitropin (FSH) deficiency in an infertile male due to FSH|8 gene mutation. A syndrome of normal puberty and vir-ilization but underdeveloped testicles with azoospermia, low FSH but high lutropin and normal serum testosterone concentrations. Clin Chem Lab Med 36:663-665
Kumar TR, Palapattu G, Wang P, Woodruff TK, Boime I, Byrne MC, Matzuk MM 1999 Transgenic models to study gonadotropin function: the role of follicle-stimulating hormone in gonadal growth and tumorigenesis. Mol Endocrinol 13:851-865
Zhang FP, Poutanen M, Wilbertz J, Huhtaniemi I 2001 Normal prenatal but arrested postnatal sexual development of luteinizing hormone receptor knockout (LuRKO) mice. Mol Endocrinol 15: 172-183
Matsumoto AM, Karpas AE, Bremner WJ 1986 Chronic human chorionic gonadotrophin administration in normal men: evidence that follicle-stimulating hormone is necessary for the maintenance of quantitatively normal spermatogenesis in man. J Clin Endocrinol Metab 62:1184-1192
Matsumoto AM, Paulsen CA, Bremner WJ 1984 Stimulation of sperm productionby human luteinizing hormone in gonadotropin- suppressed normal men. J Clin Endocrinol Metab 59:882-887
Matsumoto AM, Bremner WJ 1985 Stimulation of sperm produc-tion by human chorionic gonadotrophin after prolonged gonado-trophin suppression in normal men. J Androl 6:137-143
World Health Organization Task Force on Methods for the Reg-ulation of Male Fertility 1995 Rates of testosterone-induced sup-pression to severe oligozoospermia or azoospermia in two multi-national clinical studies. Int J Androl 18:157-165
Anderson RA, Wu FCW 1996 Comparison between testosterone enanthate-induced azoospermia and oligozoospermia in a male contraceptive study. II. Pharmacokinetics and pharmacodynamics of once-weekly administration of testosterone enanthate. J Clin Endocrinol Metab 81:896-901
Zhengwei Y, Wreford NG, Schlatt S, Weinbauer GF, Nieschlag E, McLachlan RI 1998 Acute and specific impairment of spermato- gonial development by GnRH antagonist-induced gonadotrophin withdrawal in the adult macaque (Macaca fascicularis). J Reprod Fertil 112:139 -147
Allan CM, Haywood M, Swaraj S, Spaliviero J, Koch A, Jimenez M, Poutanen M, Levallet J, Huhtaniemi I, Illingworth P, Han- delsman DJ 2001 A novel transgenic model to characterize the specific effects of follicle-stimulating hormone on gonadal physi-ology in the absence of luteinizing hormone actions. Endocrinology 142:2213-2220
Anderson RA, Sharpe RM 2000 Regulation of inhibin production in the human male and its clinical applications. Int J Androl 23: 136 -144
Biichter D, von Eckardstein S, von Eckardstein A, Kamischke A, Simoni M, Behre HM, Nieschlag E 1999 Clinical trial of transder-mal testosterone and oral levonorgestrel for male contraception. J Clin Endocrinol Metab 84:1244 -1249
Martin CW, Riley SC, Everington D, Groome NP, Riemersma RA, Baird DT, Anderson RA 2000 Dose-finding study of oral deso- gestrel with testosterone pellets for suppression of the pituitary- testicular axis in normal men. Hum Reprod 15:1515-1524
Zhengwei Y, Wreford NG, Royce P, de Kretser DM, McLachlan RI 1998 Stereological evaluation of human spermatogenesis after suppression by testosterone treatment: heterogeneous pattern of spermatogenic impairment. J Clin Endocrinol Metab 83:1284-1291
McLachlan RI, O'Donnell L, Stanton PG, Balourdos G, Fryden- berg M, de Kretser DM, Robertson DM 2002 Effects of testosterone plus medroxyprogesterone acetate on semen quality, reproductive hormones, and germ cell populations in normal young men. J Clin Endocrinol Metab 87: 546-556
Sharpe RM 1994 Regulation of spermatogenesis. In: Knobil E, Neill JD, eds. The physiology of reproduction. 2nd ed. New York: Raven Press; 3823-3831
Lubahn DB, Joseph DR, Sullivan PM, Willard HF, French FS, Wilson EM 1988 Cloning of human androgen receptor comple-mentary DNA and localization of the X-chromosome. Science 240: 327-330
Turner TT, Ewing LL, Jones CE, Howards SS, Zegeye B 1985 Androgens in various fluid compartments of the rat testis and epididymis after hypophysectomy and gonadotropin supplemen-tation. J Androl 6:353-358
Sharpe RM, Bartlett JMS 1985 Stimulation of Leydig cell function by a polypeptide present in testicular interstitial fluid. Med Biol 63:245-250
O'Donnell L, Pratis K, Stanton PG, Robertson DM, McLachlan RI 1999 Testosterone-dependent restoration of spermatogenesis in adult rats is impaired by a 5α-reductase inhibitor. J Androl 20: 109-117
Morse HC, Horike N, Rowley MJ, Heller CG 1973 Testosterone concentrations in testes of normal men: effects of testosterone pro-pionate administration. J Clin Endocrinol Metab 37:882-888
Dehennin L 1993 Secretion by the human testis of epitestosterone, with its sulfoconjugate and precursor androgen 5-androstene- 3ß,17α-diol. J Steroid Biochem 44:171-177
Kicman AT, Coutts SB, Cowan DA, Handelsman DJ, Howe CJ, Burring S, Wu FC 1999 Adrenal and gonadal contributions to urinary excretion and plasma concentration of epitestosterone in men— effect of adrenal stimulation and implications for detection of testosterone abuse. Clin Endocrinol (Oxf) 50:661-668
Dehennin L, Matsumoto AM 1993 Long-term administration of testosterone enanthate to normal men: alterations of the urinary profile of androgen metabolites potentially useful for detection of testosterone misuse in sport. J Steroid Biochem 44:179 -189
Anderson RA, Wallace AM, Kicman AT, Wu FCW 1997 Com-parison between testosterone enanthate-induced azoospermia and oligozoospermia in a male contraceptive study. IV. Suppression of endogenous testicular and adrenal androgens. Hum Reprod 12: 1657-1662
Rivarola MA, Podesta EJ 1972 Metabolism of testosterone-14C, by seminiferous tubules of mature rats: formation of 5α androstan-3a, 17ß-diol-14C. Endocrinology 90:618 - 623
Nayfeh SN, Coffey JC, Hansson V, French FS 1975 Maturational changes in testicular steroidogenesis: hormonal regulation of 5α-reductase. J Steroid Biochem 6:329 -335
Payne AH, Kawano A, Jaffe RB 1973 Formation of dihydrotes-tosterone and other 5α-reduced metabolites by isolated seminiferous tubules and suspension of interstitial cells in a human testis. J Clin Endocrinol Metab 37:448-453
Rivarola MA, Podesta EJ, Chemes HE, Aguilar D 1973 In vitro metabolism of testosterone by whole human testis, isolated sem-iniferous tubules and interstitial tissue. J Clin Endocrinol Metab 37:454-460
Rivarola MA, Podesta EJ, Chemes HE, Calandra RS 1975 Andro-gen metabolism and concentration in the seminiferous tubules at different stages of development. J Steroid Biochem 6:365-369
Thigpen AE, Silver RI, Guileyardo JM, Casey ML, McConnell JD, Russell DW 1993 Tissue distribution and ontogeny of steroid 5α-reductase isoenzyme expression. J Clin Invest 92:903-910
Viger RS, Robaire B 1995 Steady state steroid 5α-reductase mes-senger ribonucleic acid levels and immunocytochemical localization of the type 1 protein in the rat testis during postnatal development. Endocrinology 136:5409 -5415
Pratis K, O'Donnell L, Ooi GT, McLachlan RI, Robertson DM 2000 Enzyme assay for 5α-reductase type 2 activity in the presence of 5α-reductase type 1 activity in rat testis. J Steroid Biochem Mol Biol 75:75-82
Ahmad N, Haltmeyer GC, Eik-Nes KB 1973 Maintenance of sper-matogenesis in rats with intratesticular implants containing tes-tosterone or dihydrotestosterone (DHT). Biol Reprod 8:411-419
Chen H, Chandrashekar V, Zirkin BR 1994 Can spermatogenesis be maintained quantitatively in intact adult rats with exogenously administered dihydrotestosterone? J Androl 15:132-138
O'Donnell L, Stanton P, Wreford NG, Robertson DM, McLachlan RI 1996 Inhibition of 5α-reductase activity impairs the testosterone- dependent restoration of spermiogenesis in adult rats. Endocrinology 137:2703-2710
Pratis K, O'Donnell L, Ooi GT, McLachlan RI, Robertson DM, Differential regulation of 5α-reductase type 1 and type 2 activity in rat testis. 11th International Congress of Endocrinology, Sydney, Australia, 2000, Abstract P197
McLachlan RI, McDonald J, Rushford D, Robertson DM, Garrett C, Baker HWG 2000 Efficacy and acceptability of testosterone implants, alone or in combination with a 5α-reductase inhibitor, for male contraception. Contraception 62:73-78
Kinniburgh D, Anderson RA, Baird DT 2001 Suppression of sper-matogenesis with desogestrel and testosterone pellets in not en-hanced by addition of finasteride. J Androl 22:88-95
Dorrington JH, Armstrong DT 1975 Follicle-stimulating hormone stimulated oestradiol-17|8 synthesis in cultured Sertoli cells. Proc Nat Acad Sci USA 72:2677-2681
Tsai-Morris CH, Aquilano DR, Dufau ML 1985 Cellular localiza-tion of rat testicular aromatase activity during development. En-docrinology 116:38 - 46
O'Donnell L, Robertson KM, Jones ME, Simpson ER 2001 Estro-gen and spermatogenesis. Endocr Rev 22:289 -318
Saunders PTK, Millar MR, Macpherson S, Irvine DS, Groome NP, Evans LR, Sharpe RM, Scobie GS 2002 ER|81 and the ER|82 splice variant (ER^cx/182) are expressed in distinct cell populations in the adult human testis J Clin Endocrinol Metab 87:2706-2715
Cooper TG 1992 Epididymal proteins and sperm maturation. In: Nieschlag E, Habenicht U-F, eds. Spermatogenesis-fertilization- contraception. Molecular, cellular and endocrine events in male reproduction. Berlin: Springer-Verlag; 285-318
Sonnenberg-Riethmacher E, Walter B, Riethmacher D, Godecke S, Birchmeier C 1996 The c-ros tyrosine kinase receptor controls regionalization and differentiation of epithelial cells in the epidid-ymis. Genes Dev 10:1184 -1193
Kirchhoff C 1999 Gene expression in the epididymis. Int Rev Cytol 188:133-202
Shetty J, Diekman AB, Jayes FC, Sherman NE, Naaby-Hansen S, Flickinger CJ, Herr JC 2001 Differential extraction and enrichment of human sperm surface proteins in a proteome: identification of immunocontraceptive candidates. Electrophoresis 22:3053-3066
Wolner-Hanssen P, Svensson L, Mardh PA, Westrom L 1985 Laparoscopic findings and contraceptive use in women with signs and symptoms suggestive of acute salpingitis. Obstet Gynecol 66:233-238
Plummer FA, Simonsen JN, Cameron DW, Ndinya-Achola JO, Kreiss JK, Gakinya MN, Waiyaki P, Cheang M, Piot P, Ronald AR 1991 Cofactors in male-female sexual transmission of human immunodeficiency virus type 1. J Infect Dis 163:233-239
Baeten JM, Nyange PM, Richardson BA, Lavreys L, Chohan B, Martin Jr HL, Mandaliya K, Ndinya-Achola JO, Bwayo JJ, Kreiss JK 2001 Hormonal contraception and risk of sexually transmitted disease acquisition: results from a prospective study. Am J Obstet Gynecol 185:380 -385
Cates Jr W 1999 Estimates of the incidence and prevalence of sexually transmitted diseases in the United States. American Social Health Association Panel. Sex Transm Dis 26:S2-7
Lytle CD, Routson LB, Seaborn GB, Dixon LG, Bushar HF, Cyr WH 1997 An in vitro evaluation of condoms as barriers to a small virus. Sex Transm Dis 24:161-164
Lawson ML, Maculuso M, Bloom A, Hortin G, Hammond KR, Blackwell R 1998 Objective markers of condom failure. Sex Transm Dis 25:427-432
Macaluso M, Lawson L, Akers R, Valappil T, Hammond K, Black-well R, Hortin G 1999 Prostate-specific antigen in vaginal fluid as a biologic marker of condom failure. Contraception 59:195-201
Walsh TL, Frezieres RG, Nelson AL, Wraxall BG, Clark VA 1999 Evaluation of prostate-specific antigen as a quantifiable indicator of condom failure in clinical trials. Contraception 60:289 -298
Fu H, Darroch JE, Haas T, Ranjit N 1999 Contraceptive failure rates: new estimates from the 1995 National Survey of Family Growth. Fam Plann Perspect 31:56- 63
Bankole A, Darroch JE, Singh S 1999 Determinants of trends in condom use in the United States, 1988-1995. Fam Plann Perspect 31:264-271
Catania JA, Canchola J, Binson D, Dolcini MM, Paul JP, Fisher L, Choi KH, Pollack L, Chang J, Yarber WL, Heiman JR, Coates T 2001 National trends in condom use among at-risk heterosexuals in the united states. J Acquir Immune Defic Syndr 27:176-182
Piccinino LJ, Mosher WD 1998 Trends in contraceptive use in the United States: 1982-1995. Fam Plann Perspect 30:4-10, 46
Sonenstein FL, Ku L, Lindberg LD, Turner CF, Pleck JH 1998 Changes in sexual behavior and condom use among teenaged males: 1988 to 1995. Am J Public Health 88:956-959
Catania JA, Osmond D, Stall RD, Pollack L, Paul JP, Blower S, Binson D, Canchola JA, Mills TC, Fisher L, Choi KH, Porco T, Turner C, Blair J, Henne J, Bye LL, Coates TJ 2001 The continuing HIV epidemic among men who have sex with men. Am J Public Health 91:907-914
Department of Health 2001 NHS contraceptive services, England: 2000-01. London: Department of Health; http://www.doh.gov.uk/ public/sb0127.htm
Ranjit N, Bankole A, Darroch JE, Singh S 2001 Contraceptive failure in the first two years of use: differences across socioeconomic subgroups. Fam Plann Perspect 33:19 -27
Sparrow MJ, Lavill K 1994 Breakage and slippage of condoms in family planning clients. Contraception 50:117-129
Frezieres RG, Walsh TL, Nelson AL, Clark VA, Coulson AH 1998 Breakage and acceptability of a polyurethane condom: a random-ized, controlled study. Fam Plann Perspect 30:73-78
Frezieres RG, Walsh TL, Nelson AL, Clark VA, Coulson AH 1999 Evaluation of the efficacy of a polyurethane condom: results from a randomized, controlled clinical trial. Fam Plann Perspect 31: 81-87
Macaluso M, Kelaghan J, Artz L, Austin H, Fleenor M, Hook III EW, Valappil T 1999 Mechanical failure of the latex condom in a cohort of women at high STD risk. Sex Transm Dis 26:450 -458
Steiner MJ, Cates Jr W, Warner L 1999 The real problem with male condoms is nonuse. Sex Transm Dis 26:459 -462
Fleming DT, Wasserheit JN 1999 From epidemiological synergy to public health policy and practice: the contribution of other sexually transmitted diseases to sexual transmission of HIV infection. Sex Transm Infect 75:3-17
Davis KR, Weller SC 1999 The effectiveness of condoms in reducing heterosexual transmission of HIV. Fam Plann Perspect 31: 272-279
National Institute of Allergy and Infectious Diseases, National Institutes of Health, Department of Health and Human Services
2001 Workshop summary: scientific evidence on condom effec-tiveness for sexually transmitted disease (STD) prevention.
Wald A, Langenberg AG, Link K, Izu AE, Ashley R, Warren T, Tyring S, Douglas Jr JM, Corey L 2001 Effect of condoms on reducing the transmission of herpes simplex virus type 2 from men to women. JAMA 285:3100-3106
Frezieres RG, Walsh TL 2000 Acceptability evaluation of a natural rubber latex, a polyurethane, and a new non-latex condom. Con-traception 61:369 -377
Cornish K, Lytle CD 1999 Viral impermeability of hypoallergenic, low protein, guayule latex films. J Biomed Mater Res 47:434 -437
Grimes DA, Cates WJ 1990 Family planning and sexually trans-mitted disease. In: Holmes KK, Mardh PA, Sparling PF, eds. Sex-ually Transmitted Diseases. 2nd ed. New York: McGraw-Hill; 1087-1099
Miller CJ, Alexander NJ, Gettie A, Hendrickx AG, Marx PA 1992 The effect of contraceptives containing nonoxynol-9 on the genital transmission of simian immunodeficiency virus in rhesus macaques. Fertil Steril 57:1126-1128
Zekeng L, Feldblum PJ, Oliver RM, Kaptue L 1993 Barrier con-traceptive use and HIV infection among high-risk women in Cam-eroon. AIDS 7:725-731
Roddy RE, Cordero M, Cordero C, Fortney JA1993 A dosing study of nonoxynol-9 and genital irritation. Int J STD AIDS 4:165-170
Kreiss J, Ngugi E, Holmes K, Ndinya-Achola J, Waiyaki P, Rob-erts PL, Ruminjo I, Sajabi R, Kimata J, Fleming TR 1992 Efficacy of nonoxynol 9 contraceptive sponge use in preventing heterosexual acquisition of HIV in Nairobi prostitutes. JAMA 268:477-482
Roddy RE, Zekeng L, Ryan KA, Tamoufe U, Tweedy KG 2002 Effect of nonoxynol-9 gel on urogenital gonorrhea and chlamydial infection: a randomized controlled trial. JAMA 287:1117-1122
Schwingl PJ, Guess HA 2000 Safety and effectiveness of vasec-tomy. Fertil Steril 73:923-936
Schlegel PN, Goldstein M1993 Vasectomy. In: Sharpe D, Haseltine FP, eds. Contraception. New York: Springer-Verlag; 181-191
Sharlip ID 1993 What is the best pregnancy rate that may be expected from vasectomy reversal? J Urol 149:1469 -1471
Forste R, Tanfer K, Tedrow L 1995 Sterilization among currently married men in the United States, 1991. Fam Plann Perspect 27: 100-107
Chandra A 1998 Surgical sterilization in the United States: prev-alence and characteristics, 1965-95. Vital Health Stat 23:1-33
Oddens BJ, Visser AP, Vemer HM, Everaerd WT, Lehert P 1994 Contraceptive use and attitudes in Great Britain. Contraception 49:73-86
Touleman L, Leridon H 1998 Contraceptive practices and trends in France. Fam Plann Perspect 30:114 -120
Sneyd MJ, Cox B, Paul C, Skegg DC 2001 High prevalence of vasectomy in New Zealand. Contraception 64:155-159
Goldstein M 1997 Surgical management of male infertility and other scrotal disorders. In: Walsh PC, Retik AB, Vaughan ED, Weir AJ, eds. Campbell's urology. Philadelphia: WB Saunders; 1338-1344
Davis LE, Stockton MD 1997 No-scalpel vasectomy. Prim Care 24:433-461
Lohiya NK, Manivannan B, Mishra PK, Pathak N 2001 Vas deferens, a site of male contraception: an overview. Asian J Androl 3:87-95
Chen C, Postvasectomy pregnancies in China. Family Health In-ternational and Engender Health, Durham, NC, 2001
Haldar N, Cranston D, Turner E, MacKenzie I, Guillebaud J 2000 How reliable is a vasectomy? Long term follow-up of vasectomised men. Lancet 356:43-44
Peterson H, Xia Z, Hughes J, Wilcox L, Taylor L, Trussel T 1996 The risk of pregnancy after tubal sterilization: findings from the U.S. Collaborative Review of Sterilization. Am J Obstet Gynecol 174:1161-1170
Kendrick J, Gonzales B, Huber D, Grubb G, Rubin G 1987 Com-plications of vasectomies in the United States. J Fam Pract 25:245-248
Nirapathpongporn A, Huber DH, Krieger JN 1990 No-scalpel vasectomy at the King's birthday vasectomy festival. Lancet 335: 894-895
Balogh K, Argenyi Z 1985 Vasitis nodosa and spermatic granuloma of the skin: a histological study of a rare complication of vasectomy. J Cutan Pathol 12:528-533
Rumke P, Hellinga G 1959 Autoantibodies against spermatozoa in sterile men. Am J Clin Path 32:357-363
Ansbacher R 1971 Sperm-agglutinating and sperm-immobilizing antibodies in vasectomized men. Fertil Steril 22:629 - 632
Silber SJ 1989 Pregnancy after vasovasostomy for vasectomy re-versal: a study of factors affecting long-term return of fertility in 282 patients followed for 10 years. Fertil Steril 31:309 -315
Clarkson TB, Alexander NJ 1980 Long-term vasectomy: effects on the occurrence and extent of atherosclerosis in rhesus monkeys. J Clin Invest 65:15-25
Alexander N, Clarkson T, Morgan T 1988 Atherosclerosis of cyno- molgus hyper- and hyporesponsive to dietary cholesterol. Lack of effect of vasectomy. Arteriosclerosis 8:488 -498
Goldacre M, Holford T, Vessey J 1983 Cardiovascular disease and vasectomy: findings from two epidemiological studies. N Engl J Med 308:805- 808
Healy B 1993 Does vasectomy cause prostate cancer? JAMA 269: 2620
Peterson H, Howards S 1998 Vasectomy and prostate cancer: the evidence to date. Fertil Steril 70:201-203
Heller CG, Nelson WO, Hill IC, Henderson E, Maddock WO, Jungck EC 1950 The effect of testosterone administration upon the human testis. J Clin Endocrinol Metab 10:816
Reddy PR, Rao JM 1972 Reversible antifertility action of testosterone propionate in human males. Contraception 5:295-301
Steinberger E, Smith KD 1977 Effect of chronic administration of testosterone enanthate on sperm production and plasma testoster-one, follicle-stimulating hormone, and luteinizing hormone levels: a preliminary evaluation of a possible male contraceptive. Fertil Steril 28:1320-1328
Patanelli DJ 1977 Hormonal control of male fertility. Washington, DC: Department of Health Education and Welfare, publication no. 78-1097
Swerdloff RS, Campfield LA, Palacios A, McClure RD 1979 Sup-pression of human spermatogenesis by depot androgen: potential for male contraception. J Steroid Biochem 11:663-670
World Health Organization Task Force on Methods for the Reg-ulation of Male Fertility 1990 Contraceptive efficacy of testoster-one-induced azoospermia in normal men. Lancet 336:955-959
World Health Organization Task Force on Methods for the Reg-ulation of Male Fertility 1996 Contraceptive efficacy of testoster-one-induced azoospermia and oligozoospermia in normal men. Fertil Steril 65:821-829
Hargreave TB, Elton RA 1986 Fecundability rates from an infertile male population. Br J Urol 58:194-197
Wallace EM, Aitken RJ, Wu FCW1992 Residual sperm function in oligozoospermia induced by testosterone enanthate administered as a potential male contraceptive. Int J Androl 15:416 -424
Arsyad KM 1993 Sperm function in Indonesian men treated with testosterone enanthate. Int J Androl 16:355-361
Zhang G-Y, Gu Y-Q, Wang X-H, Cui Y-G, Bremner WJ 1999 A clinical trial of injectable testosterone undecanoate as a potential male contraceptive in normal Chinese men. J Clin Endocrinol Metab 84:3642-3647
World Health Organization Task Force on Methods for the Reg-ulation of Male Fertility 1993 Comparison of two androgens plus depot-medroxyprogesterone acetate for suppression to azoospermia in Indonesian men. Fertil Steril 60:1062-1068
Handelsman DJ, Farley TMM, Peregoudov A, Waites GMH, WHO Task Force on Methods for the Regulation of Male Fertility 1995 Factors in nonuniform induction of azoospermia by testosterone enanthate in normal men. Fertil Steril 63:125-133
Anderson RA, Kelly RW, Wu FCW 1997 Comparison between testosterone-enanthate-induced azoospermia and oligozoospermia in a male contraceptive study. V. Localization of higher 5α-reduc- tase activity to the reproductive tract in oligozoospermic men ad-ministered supraphysiological doses of testosterone. J Androl 18: 366-371
Lookingbill DP, Demers LM, Wang C, Leung A, Rittmaster RS, Santen RJ 1991 Clinical and biochemical parameters of androgen action in normal healthy Caucasian versus Chinese subjects. J Clin Endocrinol Metab 72:1242-1248
Wang C, Berman NG, Veldhuis JD, Der T, McDonald V, Steiner B, Swerdloff RS 1998 Graded testosterone infusions distinguish gonadotropin negative-feedback responsiveness in Asian and white men—a Clinical Research Center study. J Clin Endocrinol Metab 83:870 -876
Sinha Hikim AP, Wang C, Lue Y, Johnson L, Wang XH, Swerdloff RS 1998 Spontaneous germ cell apoptosis in humans: evidence for ethnic differences in the susceptibility of germ cells to programmed cell death. J Clin Endocrinol Metab 83:152-156
Santner SJ, Albertson B, Zhang GY, Zhang GH, Santulli M, Wang C, Demers LM, Shackleton C, Santen RJ 1998 Comparative rates of androgen production and metabolism in Caucasian and Chinese subjects. J Clin Endocrinol Metab 83:2104-2109
Handelsman DJ, Mackey MA, Howe C, Turner L, Conway AJ 1997 An analysis of testosterone implants for androgen replacement therapy. Clin Endocrinol (Oxf) 47:311-316
Handelsman DJ, Conway AJ, Boylan LM 1992 Suppression of human spermatogenesis by testosterone implants. J Clin Endocrinol Metab 75:1326-1332
Fujioka M, Shinohara Y, Baba S, Irie M, Inoue K 1986 Pharma-cokinetic properties of testosterone propionate in normal men. J Clin Endocrinol Metab 63:1361-1364
van der Vies J 1985 Implications of basic pharmacology in the therapy with esters of nandrolone. Acta Endocrinol Suppl (Copenh) 271:38-44
Behre HM, Nieschlag E 1992 Testosterone buciclate (20 Aet-1) in hypogonadal men: pharmacokinetics and pharmacodynamics of the new long-acting androgen ester. J Clin Endocrinol Metab 75: 1204-1210
Behre HM, Baus S, Kleisch S, Keck C, Simoni M, Nieschlag E1995 Potential of testosterone buciclate for male contraception: endocrine differences between responders and nonresponders. J Clin Endocrinol Metab 80:2394 -2403
Zhang GY, Gu YQ, Wang XH, Cui YG, Bremner WJ 1998 A pharmacokinetic study of injectable testosterone undecanoate in hypogonadal men. J Androl 19:761-768
Gu Y, Wang X, Zhang G, Clinical study of domestic injectable testosterone undecanoate preparation for male contraception. 4th International Conference on Reproductive Endocrinology, Beijing, China, 2001 (Abstract OP30)
Behre HM, Abshagen K, Oettel M, Hubler D, Nieschlag E 1999 Intramuscular injection of testosterone undecanoate for the treat-ment of male hypogonadism: phase I studies. Eur J Endocrinol 140:414-419
Kamischke A, Venherm S, Ploger D, von Eckardstein S, Nies-chlag E 2001 Intramuscular testosterone undecanoate with norethisterone enanthate in a clinical trial for male contraception. J Clin Endocrinol Metab 86:303-309
Nieschlag E, Buchter D, von Eckardstein S, Abshagen K, Simoni M, Behre HM 1999 Repeated intramuscular injections of testos-terone undecanoate for substitution therapy in hypogonadal men. Clin Endocrinol (Oxf) 51:757-763
Atkinson LE, Chang Y-L, Snyder PJ 1998 Long-term experience with testosterone replacement through scrotal skin. In: Nieschlag E, Behre HM, eds. Testosterone: action, deficiency, substitution. Berlin: Springer-Verlag; 365-388
Wang C, Swerdloff RS, Iranmanesh A, Dobs A, Snyder PJ, Cun-ningham G, Matsumoto AM, Weber T, Berman N 2001 Effects of transdermal testosterone gel on bone turnover markers and bone mineral density in hypogonadal men. Clin Endocrinol (Oxf) 54: 739 -750
Hair WM, Kitteridge K, O'Connor DB, Wu FCW 2001 A novel male contraceptive pill-patch combination: oral desogestrel and transdermal testosterone in the suppression of spermatogenesis in normal men. J Clin Endocrinol Metab 86:5201-5209
Gonzalo IT, Swerdloff RS, Nelson AL, Clevenger B, Garcia R, Berman N, Wang C 2002 Levonorgestrel implants (Norplant II) for male contraception clinical trials: combination with transdermal and injectable testosterone. J Clin Endocrinol Metab 87:3562-3572
Jordan Jr WP1997 Allergy and topical irritation associated with transdermal testosterone administration: a comparison of scrotal and nonscrotal transdermal systems. Am J Contact Dermat 8:108 -113
Bennett NJ 1998 A burn-like lesion caused by a testosterone trans-dermal system. Burns 24:478-480
Satyaswaroop PG, Gurpide E 1978 A direct effect of medroxy-progesterone acetate on 17beta-hydroxysteroid dehydrogenase in adult rat testis. Endocrinology 102:1761-1765
El-Hefnawy T, Huhtaniemi 1 1998 Progesterone can participate in down-regulation of the luteinizing hormone receptor gene expression and function in cultured murine Leydig cells. Mol Cell Endocrinol 137:127-138
El-Hefnawy T, Manna PR, Luconi M, Baldi E, Slotte JP, Huh- taniemi I 2000 Progesterone action in a murine Leydig tumor cell line (mLTC-1), possibly through a nonclassical receptor type. En-docrinology 141:247-255
Frick J 1973 Control of spermatogenesis in men by combined ad-ministration of progestin and androgen. Contraception 8:191-206
Coutinho EM, Melo JF 1973 Successful inhibition of spermatogenesis in man without loss of libido: a potential new approach to male contraception. Contraception 8:207-217
Johansson EDB, Nygren K-G 1973 Depression of plasma testosterone levels in men with norethindrone. Contraception 8:219 -226
Schearer SB, Alvarez-Sanchez F, Anselmo G, Brenner P, Coutinho EM, Lathen-Faundes A, Frick J, Heinild B, Johansson EDB 1978 Hormonal contraception for men. Int J Androl Suppl 2:680-712
Barfield A, Melo J, Coutinho E, Alvarez-Sanchez F, Faundes A, Brache V, Leon P, Frich J, Bartsch G, Weiske W, Brenner P, Mishell D, Bernstein G, Oritz A 1979 Pregnancies associated with sperm concentrations below 10 million/ml in clinical studies of a potential male contraceptive method, monthly depot medroxyprogesterone acetate and testosterone esters. Contraception 20:121-127
Schumeyer T, Knuth UA, Belkien L, Nieschlag E 1984 Reversible azoospermia induced by the anabolic steroid 19-nortestosterone. Lancet 1:417- 420
Knuth UA, Yeung CH, Nieschlag E 1989 Combination of 19- nortestosterone-hexylphenylpropionate (Anadur) and depot- medroxyprogesterone acetate (Clinovir) for male contraception. Fertil Steril 51:1011-1018
Bebb RA, Anawalt BD, Christensen RB, Paulsen CA, Bremner WJ, Matsumoto AM 1996 Combined administration of levonorg- estrel and testosterone induces more rapid and effective suppression of spermatogenesis than testosterone alone: a promising male contraceptive approach. J Clin Endocrinol Metab 81:757-762
Wallace EM, Wu FCW 1990 Effect of depot medroxyprogesterone acetate and testosterone oenanthate on serum lipoproteins in man. Contraception 41:63-71
Handelsman DJ, Conway AJ, Howe CJ, Turner L, Mackey M-A Establishing the minimum effective dose and additive effects of depot progestin in suppression of human spermatogenesis by a testosterone depot. J Clin Endocrinol Metab 81:4113-4121
Fraser IS, Weisberg E 1981 A comprehensive review of injectable contraception with special emphasis on depot medroxyprogesterone acetate. Med J Aust 1:3-19
Soufir J-C, Jouannet P, Marson J, Soumah A 1983 Reversible inhibition of sperm production and gonadotrophin secretion in men following combined oral medroxyprogesterone acetate and percutaneous testosterone treatment. Acta Endocrinol (Copenh) 102:625-632
Guerin JF,RolletJ 1988 Inhibition of spermatogenesis in men using various combinations of oral progestogens and percutaneous or oral androgens. Int J Androl 11:187-199
Delanoe D, Fougeyrollas B, Meyer L, Thonneau P 1984 Androgeni- sation of female partners of men on medroxyprogesterone acetate/ percutaneous testosterone contraception. Lancet 1:276 (letter)
Morse HC, Leach DR, Rowley MJ, Heller CG 1973 Effect of cypro- terone acetate on sperm concentration, seminal fluid volume, tes-ticular cytology and levels of plasma and urinary ICSH, FSH and testosterone in normal men. J Reprod Fertil 32:365-378
Foegh M, Corker CS, Hunter WM, McLean H, Philip J, Schou G, Skakkebaek NE 1979 The effects of low doses of cyproterone acetate on some functions of the reproductive system in normal men. Acta Endocrinol (Copenh) 91:545-552
Wang C, Yeung RTT 1980 Use of low-dosage cyproterone acetate as a male contraceptive. Contraception 21:245-269
Roy S, Chatterjee S, Prasad MR, Poddar AK, Pandey DC 1976 Effects of cyproterone acetate on reproductive functions in normal human males. Contraception 14:403-420
Meriggiola MC, Bremner WJ, Paulsen CA, Valdiserri A, Incorvaia L, Motta R, Pavani A, Capelli M, Flamigni C 1996 A combined regimen of cyproterone acetate and testosterone enanthate as a potentially highly effective male contraceptive. J Clin Endocrinol Metab 81:3018-3023
Meriggiola MC, Bremner WJ, Costantino A, Di Cintio G, Flami-gni C 1998 Low dose of cyproterone acetate and testosterone en- anthate for contraception in men. Hum Reprod 13:1225-1229
Meriggiola MC, Bremner WJ, Costantino A, Pavani A, Capelli M, Flamingi C 1997 An oral regimen of cyproterone acetate and tes-tosterone undecanoate for spermatogenic suppression in men. Fer- til Steril 68:844 -850
Fotherby K, Davies JE, Richards DJ, Bodin M 1972 Effects of low doses of synthetic progestins in testicular function. Int J Fertil 17:113-119
Foegh M, Nichol M, Leterson IB, Schou G 1980 Clinical evaluation of long-term treatment with levo-norgestrel and testosterone en- anthate in normal men. Contraception 21:631- 640
Anawalt BD, Bebb RA, Bremner WJ, Matsumoto AM 1999 A lower dosage levonorgestrel and testosterone combination effectively suppresses spermatogenesis and circulating gonadotropin levels with fewer metabolic effects than higher dosage combinations. J Androl 20:407-414
Kamischke A, Ploger D, Venherm S, von Eckardstein S, von Eckardstein A, Nieschlag E 2000 Intramuscular testosterone un-decanoate with or without oral levonorgestrel: a randomized pla-cebo-controlled feasibility study for male contraception. Clin En-docrinol (Oxf) 53:43-52
Gao E, Lin C, Gui Y, Li L, He C 1999 Inhibiting effects of Sino- implant plus testosterone undecanoate (TU) on spermatogenesis in Chinese men. Shengzhi Yu Biyun 10:98-105
Anawalt BD, Herbst KL, Matsumoto AM, Mulders TM, Coel- ingh-Bennink HJ, Bremner WJ 2000 Desogestrel plus testosterone effectively suppresses spermatogenesis but also causes modest weight gain and high-density lipoprotein suppression. Fertil Steril 74:707-714
Kinniburgh D, Zhu H, Cheng L, Kicman AT, Baird DT, Anderson RA 2002 Oral desogestrel with testosterone pellets induces con-sistent suppression of spermatogenesis to azoospermia in both Caucasian and Chinese men. Hum Reprod 17:1490-1501
Anderson RA, van der Spuy ZM, Dada OA, Tregoning SK, Zinn PM, Adeniji OA, Fakoya TA, Smith KB, Baird DT 2002 Investigation of hormonal male contraception in African men: suppression of spermatogenesis by oral desogestrel with depot testosterone. Hum Reprod 17:2869 -2877
Hasenack HG, Bosch AM, Kaar K 1986 Serum levels of 3-keto- desogestrel after oral administration of desogestrel and 3-keto- desogestrel. Contraception 33:591-596
Croxatto HB, Makarainen L 1998 The pharmacodynamics and efficacy of Implanon. An overview of the data. Contraception 58: 91S-97S
Anderson RA, Kinniburgh D, Baird DT 2002 Suppression of spermatogenesis by etonogestrel implants with depot testosterone: potential for long-acting male contraception. J Clin Endocrinol Metab 87:3640-3649
Ojasoo T, Raynaud JP 1983 Receptor binding profiles of proges- tins. In: Jassoni VM, Nenci I, Flamingi C, eds. Steroids and endometrial cancer. New York: Raven Press; 11-28
Kuhnz W, Heuner A, Humpel M, Seifert W, Michaelis K 1997 In vivo conversion of norethisterone and norethisterone acetate to ethinyl estradiol in postmenopausal women. Contraception 56: 379-385
Lemus AE, Enriquez J, Garcia GA, Grillasca I, Perez-Palacios G 5αlpha-reduction of norethisterone enhances its binding affinity for androgen receptors but diminishes its androgenic potency. J Steroid Biochem Mol Biol 60:121-129
Kamischke A, Diebacker J, Nieschlag E 2000 Potential of nore-thisterone enanthate for male contraception: pharmacokinetics and suppression of pituitary and gonadal function. Clin Endocrinol (Oxf) 53:351-358
Brache V, Alvarez-Sanchez F, Leon P, Schmidt F, Faundes A 1982 The effect of levonorgestrel and estrone rods on male reproductive function. Contraception 25:591-603
Handelsman DJ, Wishart S, Conway AJ 2000 Oestradiol enhances testosterone-induced suppression of human spermatogenesis. Hum Reprod 15:672-679
Nieschlag E, Behre HM, Weinbauer GF 1992 Hormonal male contraception: a real chance? In: Nieschlag E, Habenicht U-F, eds. Spermatogenesis-fertilization-contraception. Molecular, cellular and endocrine events in male reproduction. Berlin: SpringerVerlag; 477-501
Behre HM, Nashan D, Hubert W, Nieschlag E 1992 Depot gonado-trophin-releasing hormone agonist blunts the androgen-induced suppression of spermatogenesis in a clinical trial of male contra-ception. J Clin Endocrinol Metab 74:84 -90
Bhasin S, Berman N, Swerdloff RS 1994 Follicle-stimulating hormone (FSH) escape during chronic gonadotrophin-releasing hormone (GnRH) agonist and testosterone treatment. J Androl 15: 386-391
Gonzalez-Barcena D, Kastin AJ, Coy DH, Nikolics K, Schally AV 1977 Suppression of gonaotrophin release in man by an inhibitory analogue of LH-releasing hormone. Lancet 2:997-998
Weinbauer GF, Khurshid S, Fingscheidt U, Nieschlag E 1989 Sustained inhibition of sperm production and inhibin secretion induced by a gonadotrophin-releasing hormone antagonist and delayed testosterone substitution in non-human primates (Macaca fascicularis). J Endocrinol 123:303-310
Bremner WJ, Bagatell CJ, Steiner RA1991 Gonadotropin-releasing hormone antagonist plus testosterone: a potential male contracep-tive. J Clin Endocrinol Metab 73:465-469
Pavlou SN, Brewer K, Farley MG, Lindner J, Bastias MC, Rogers BJ, Swift LL, Rivier JE, Vale WW, Conn PM, Herbert CM 1991 Combined administration of a gonadotropin-releasing hormone antagonist and testosterone in men induces reversible azoospermia without loss of libido. J Clin Endocrinol Metab 73:1360-1369
Tom L, Bhasin S, Salameh W, Steiner B, Peterson M, Sokol RZ, Rivier J, Vale W, Swerdloff RS 1992 Induction of azoospermia in normal men with combined Nal-Glu gonadotropin-releasing hormone antagonist and testosterone enanthate. J Clin Endocrinol Metab 75:476 -483
Bagatell CJ, Matsumoto AM, Christensen RB, Rivier JE, Bremner WJ 1993 Comparison of a gonadotrophin releasing-hormone antagonist plus testosterone (T) versus T alone as potential male contraceptive regimens. J Clin Endocrinol Metab 77:427-432
Swerdloff RS, Bagatell CJ, Wang C, Anawalt BD, Berman N, Steiner B, Bremner WJ 1998 Suppression of spermatogenesis in man induced by Nal-Glu gonadotropin-releasing hormone antagonist and testosterone enanthate (TE) is maintained by TE alone. J Clin Endocrinol Metab 83:3527-3533
Behre HM, Kliesch S, Lemcke B, von Eckardstein S, Nieschlag E 2001 Suppression of spermatogenesis to azoospermia by combined administration of GnRH antagonist and 19-nortestosterone cannot be maintained by this non-aromatizable androgen alone. Hum Reprod 16:2570-2577
Cho N, Harada M, Imaeda T, Imada T, Matsumoto H, Hayase Y, Sasaki S, Furuya S, Suzuki N, Okubo S, Ogi K, Endo S, Onda H, Fujino M 1998 Discovery of a novel, potent, and orally active nonpeptide antagonist of the human luteinizing hormone-releasing hormone (LHRH) receptor. J Med Chem 41:4190-4195
Wu FCW, Farley TMM, Peregoudov A, Waites GMH, WHO Task Force on Methods for the Regulation of Male Fertility 1996 Effects of testosterone enanthate in normal men: experience from a multicenter contraceptive efficacy study. Fertil Steril 65:626-636
Wallace EM, Pye SD, Wild SR, Wu FCW 1993 Prostate-specific antigen and prostate gland size in men receiving exogenous tes-tosterone for male contraception. Int J Androl 16:35-40
von Eckardstein A 1998 Androgens, cardiovascular risk factors and atherosclerosis. In: Nieschlag E, Behre HM, eds. Testosterone: action, deficiency, substitution. 2nd ed. Berlin: Springer Verlag; 229 -257
Foster RH, Wilde MI 1998 Dienogest. Drugs 56:825-833
Imperato-McGinley J, Guerrero L, Gautier T, Peterson RE 1974 Steroid 5α-reductase deficiency in man: an inherited form of male pseudohermaphroditism. Science 186:1213-1215
Smith EP, Boyd J, Frank GR, Takahashi H, Cohen RM, Specker B, Williams TC, Lubahn DB, Korach KS 1994 Estrogen resistance caused by a mutation in the estrogen-receptor gene in a man. N Engl J Med 331:1056 -1061
Morishima A, Grumbach MM, Simpson ER, Fisher C, Qin K1995 Aromatase deficiency in male and female siblings caused by a novel mutation and the physiological role of estrogens. J Clin Endocrinol Metab 80:3689 -3698
Sundaram K, Kumar N, Bardin CW 1993 7α-Methyl-nortestoster- one (MENT): the optimal androgen for male contraception. Ann Med 25:199-205
Kumar N, Didolkar AK, Monder C, Bardin CW, Sundaram K1992 The biological activity of 7α-methyl-19-nortestosterone is not am-plified in male reproductive tract as is that of testosterone. Endo-crinology 130:3677-3683
Cummings DE, Kumar N, Bardin CW, Sundaram K, Bremner WJ Prostate-sparing effects in primates of the potent androgen 7α-methyl-19-nortestosterone: a potential alternative to testosterone for androgen replacement and male contraception. J Clin Endocrinol Metab 83:4212-4219
LaMorte A, Kumar N, Bardin CW, Sundaram K 1994 Aromati- zation of 7α-methyl-19-nortestosterone by human placental micro- somes in vitro. J Steroid Biochem Mol Biol 48:297-304
Segaloff A 1963 The enhanced local androgenic activity of 19-nor steroids and stabilization of their structure by 7α and 17α-methyl substituents to highly potent androgens by any route of adminis-tration. Steroids 1:299 -315
Kumar N, Suvisaari J, Tsong Y-Y, Aguillaume C, Bardin CW, Lahteenmaki P, Sundaram K1997 Pharmacokinetics of 7α-methyl- 19-nortestosterone in men and cynomolgus monkeys. J Androl 18:352-358
Anderson RA, Martin CW, Kung AWC, Everington D, Pun TC, Tan KCB, Bancroft J, Sundaram K, Moo-Young AJ, Baird DT 1999 7α- Methyl-19-nortestosterone (MENT) maintains sexual behavior and mood in hypogonadal men. J Clin Endocrinol Metab 84:3556-3562
Noe G, Suvisaari J, Martin C, Moo-Young AJ, Sundaram K, Saleh SI, Quintero E, Croxatto HB, La hteenmaki P 1999 Gonadotrophin and testosterone suppression by 7α-methyl-19-nortestosterone acetate administered by subdermal implant to healthy men. Hum Reprod 14:2200-2206
Ly LP, Jimenez M, Zhuang TN, Celermajer DS, Conway AJ, Handelsman DJ 2001A double-blind, placebo-controlled, random-ized clinical trial of transdermal dihydrotestosterone gel on muscular strength, mobility, and quality of life in older men with partial androgen deficiency. J Clin Endocrinol Metab 86:4078-4088
Pollanen P, Nikkanen V, Huhtaniemi 12001 Combination of sub-cutaneous levonorgestrel implants and transdermal dihydrotesto-sterone gel for male hormonal contraception. Int J Androl 24:369 - 380
Edwards JP, Higuchi RI, Winn DT, Pooley CL, Caferro TR, Hamann LG, Zhi L, Marschke KB, Goldman ME, Jones TK 1999 Nonsteroidal androgen receptor agonists based on 4-(trifluoro- methyl)-2H-pyrano[3,2-g]quinolin-2-one. Bioorg Med Chem Lett 9:1003-1008
Negro-Vilar A 1999 Selective androgen receptor modulators (SARMS): a novel approach to androgen therapy for the new mil-lennium. J Clin Endocrinol Metab 84:3459 -3462
Zhi L, Tegley CM, Edwards JP, West SJ, Marschke KB, Gottardis MM, Mais DE, Jones TK 1998 5-Alkyl 1,2-dihydrochromeno[3,4- f]quinolines: a novel class of nonsteroidal progesterone receptor modulators. Bioorg Med Chem Lett 8:3365-3370
Akama TO, Nakagawa H, Sugihara K, Narisawa S, Ohyama C, Nishimura S, O'Brien DA, Moremen KW, Millan JL, Fukuda MN 2002 Germ cell survival through carbohydrate-mediated interaction with Sertoli cells. Science 295:124-127
Lieu GZ, Lyle KC, Cao J 1987 Clinical trials of gossypol as a male contraceptive drug. Part 1. Efficacy study. Fertil Steril 48:459 -461
Lieu GZ, Lyle KC, Cao J 1987 Clinical trials of gossypol as a male contraceptive drug. Part II. Hypokalemia study. Fertil Steril 48: 462-465
Meng GD, Zhu JC, Chen ZW, Wong LT, Zhang GY, Hu YZ, Ding JH, Wang XH, Qian SZ, Wang C 1988 Recovery of sperm production following the cessation of gossypol treatment: a two-centre study in China. Int J Androl 11:1-11
Waites GEH, Wang C, Griffin PD 1998 Gossypol: reasons for its failure to be accepted as a safe, reversible male antifertility drug. Int J Androl 21:8 -12
Gu ZP, Mao BY, Wang YX, Zhang RA, Tan YZ, Chen ZX, Cao L, You GD, Segal SJ 2000 Low dose gossypol for male contraception. Asian J Androl 2:283-287
Coutinho EM, Athayde C, Atta G, Gu ZP, Chen ZW, Sang GW, Emuveyan E, Adekunle AO, Mati J, Otubu J, Reidenberg MM, Segal SJ 2000 Gossypol blood levels and inhibition of spermato-genesis in men taking gossypol as a contraceptive. A multicenter, international, dose-finding study. Contraception 61:61- 67
Ratsula K, Haukkamaa M, Wichmann K, Luukkainen T 1983 Vaginal contraception with gossypol: a clinical study. Contraception 27:571-576
Van Poznak C, Seidman AD, Reidenberg MM, Moasser MM, Sklarin N, Van Zee K, Borgen P, Gollub M, Bacotti D, Yao TJ, Bloch R, Ligueros M, Sonenberg M, Norton L, Hudis C 2001 Oral gossypol in the treatment of patients with refractory metastatic breast cancer: a phase I/II clinical trial. Breast Cancer Res Treat 66:239 -248
Qian SZ, Zhong CQ, Xu Y 1986 Effect of Tripterygium wilfordii on the fertility of rats. Contraception 33:105-110
Qian SZ, Zhong CQ, Xu N, Xu Y1986 Antifertility effect of Triptery-gium wilfordii in men. Adv Contracept 2:253-254
Qian SZ, Xu Y, Zhang JW 1995 Recent progress in research on Tripterygium: a male antifertility plant. Contraception 51:121-129
Lue Y, Sinha Hikim AP, Wang C, Leung A, Baravarian S, Reutr- akul V, Sangsawan R, Chaichana S, Swerdloff RS1998 Triptolide: a potential male contraceptive. J Androl 19:479 -486
Huynh PN, Hikim AP, Wang C, Stefonovic K, Lue YH, Leung A, Atienza V, Baravarian S, Reutrakul V, Swerdloff RS 2000 Long-term effects of triptolide on spermatogenesis, epididymal sperm function, and fertility in male rats. J Androl 21:689 - 699
Wang J, Xu R, Jin R, Chen Z, Fidler JM 2000 Immunosuppressive activity of the Chinese medicinal plant Tripterygium wilfordii. I. Prolongation of rat cardiac and renal allograft survival by the PG27 extract and immunosuppressive synergy in combination therapy with cyclosporine. Transplantation 70:447-455
Kandeel FR, Swerdloff RS 1988 Role of temperature in regulation of spermatogenesis and the use of heating as a method for con-traception. Fertil Steril 49:1-23
Lue YH, Hikim AP, Swerdloff RS, Im P, Taing KS, Bui T, Leung A, Wang C 1999 Single exposure to heat induces stage-specific germ cell apoptosis in rats: role of intratesticular testosterone on stage specificity. Endocrinology 140:1709 -1717
Galil KAA, Setchell BP 1988 Effects of local heating of the testis on testicular blood flow and testosterone secretion in the rat. Int J Androl 11:73-85
Mieusset R, Grandjean H, Mansat A, Pontonnier F1985 Inhibiting effect of artificial cryptorchidism on spermatogenesis. Fertil Steril 43:589-594
Shafik A 1992 Contraceptive efficacy of polyester-induced azoospermia in normal men. Contraception 45:439-451
Wang C, McDonald V, Leung A, Superlano L, Berman N, Hull L, Swerdloff RS 1997 Effect of increased scrotal temperature on sperm production in normal men. Fertil Steril 68:334-339
Lue Y, Hikim AP, Wang C, Im M, Leung A, Swerdloff RS 2000 Testicular heat exposure enhances the suppression of spermato-genesis by testosterone in rats: the "two-hit" approach to male contraceptive development. Endocrinology 141:1414 -1424
Osterhoff C, Ivell R, Kirchhoff C 1997 Cloning of a human epi-didymis-specific mRNA, HE6, encoding a novel member of the seven transmembrane-domain receptor superfamily. DNA Cell Biol 16:379 -389
Breton S, Smith PJS, Lui B, Brown D 1996 Acidification of the male reproductive tract by a proton-pumping (H+)-ATPase. Nature Med 2:470-472
Yeung CH, Sonnenberg-Riethmacher E, Cooper TG 1998 Receptor tyrosine kinase c-ros knockout mice as a model for the study of epididymal regulation of sperm function. J Reprod Fertil Suppl 53:137-147
Ford WCL, Waites GMH 1978 Chlorinated sugars: a biochemical approach to the control of male fertility. Int J Androl Suppl 2:541-564
OberlanderG, Yeung CH, Cooper TG 1994 Induction of reversible infertility in male rats by oral ornidazole and its effects on sperm motility and epididymal secretions. J Reprod Fertil 100:551-559
Cooper TG, Yeung CH, Skupin R, Haufe G 1997 Antifertility potential of ornidazole analogues in rats. J Androl 18:431-438
Jones AR 1987 The inhibition of gycolytic enzymes in spermatozoa by chlorinated antifertility agents. In: Mohri H, ed. New horizons in sperm cell research. New York: Gordon & Breach Scientific Publications; 421-430
Jacobs JM, Ford WC 1981 The neurotoxicity and antifertility prop-erties of 6-chloro-6-deoxyglucose in the mouse. Neurotoxicology 2:405-417
Ren D, Navarro B, Perez G, Jackson AC, Hsu S, Shi Q, Tilly JL, Clapham DE 2001A sperm ion channel required for sperm motility and male fertility. Nature 413:603-609
Talwar GP 1997 Fertility regulating and immunotherapeutic vac-cines reaching human trials stage. Hum Reprod Update 3:301-310
Murty GSRC, Rani CSS, Moudgal NR, Prasad MRN 1979 Effect of passive immunization with specific antiserum to FSH on the spermatogenic process and fertility of adult male bonnet monkeys (Macaca radiata). J Reprod Fertil Suppl 26:147-163
Wickings EJ, Usadel KH, Dathe G, Nieschlag E 1980 The role of follicle stimulating hormone in testicular function of the mature rhesus monkey. Acta Endocrinol (Copenh) 95:117-128
Nieschlag E 1985 Reasons for abandoning immunization against FSH as an approach to male fertility regulation. In: Zatuchini GI, Goldsmith A, Speiler JM, Sciarra JJ, eds. Male contraception: ad-vances and future prospects. Philadelphia: Harper & Row; 395-400
Moudgal NR, Ravindranath N, Murthy GS, Dighe RR, Aravin- dan GR, Martin F1992 Long-term contraceptive efficacy of vaccine of ovine follicle-stimulating hormone in male bonnet monkeys (Macaca radiata). J Reprod Fertil 96:91-102
Moudgal NR, Murthy GS, Prasanna Kumar KM, Martin F, Suresh R, Medhamurthy R, Patil S, Sehgal S, Saxena BN 1997 Respon-siveness of human male volunteers to immunization with ovine follicle stimulating hormone vaccine: results of a pilot study. Hum Reprod 12:457-463
Suresh R, Medhamurthy R, Moudgal NR 1995 Comparative stud-ies on the effects of specific immunoneutralization of endogenous FSH or LH on testicular germ cell transformations in the adult bonnet monkey (Macaca radiata). Am J Reprod Immunol 34:35-43
Moudgal NR, Sairam MR, Krishnamurthy HN, Sridhar S, Krish- namurthy H, Khan H 1997 Immunization of male bonnet monkeys (M. radiata) with a recombinant FSH receptor preparation affects testicular function and fertility. Endocrinology 138:3065-3068
Talwar GP, Singh O, Pal R, Chatterjee N1992 Vaccines for control of fertility and hormone dependent cancers. Int J Immunophar- macol 14:511-514
Naz RK 1999 Vaccine for contraception targeting sperm. Immunol Rev 171:193-202
Primakoff P, Woolman-Gamer L, Tung KS, Myles DG 1997 Re-versible contraceptive effect of PH-20 immunization in male guinea pigs. Biol Reprod 56:1142-1146
Cohen DJ, Ellerman DA, Cuasnicti PS 2000 Mammalian sperm- egg fusion: evidence that epididymal protein DE plays a role in mouse gamete fusion. Biol Reprod 63:462-468
Cohen DJ, Ellerman DA, Busso D, Morgenfeld MM, Piazza AD, Hayashi M, Young ET, Kasahara M, Cuasnicu PS 2001 Evidence that human epididymal protein ARP plays a role in gamete fusion through complementary sites on the surface of the human egg. Biol Reprod 65:1000-1005
Bedford JM, Weininger RB, Fisher S, Rifkin J 1982 Specific IgG levels appearing in the cauda epididymis of male rabbits. Int J Androl Suppl 5:48 -52
United Nations Population Fund (UNFPA) 1998 Levels and trends of contraceptive use as assessed in 1998. New York: UNFPA; http://www.un.org/esa/population/pubsarchive/contracep- tives1998/contraceptives1998.htm
Ringheim K 1996 Whither methods for men? Emerging gender issues in contraception. Reprod Health Matters 7:79 - 89
Glasier A, Anakwe R, Everington D, Martin CW, van der Spuy Z, Cheng L, Ho PC, Anderson RA 2000 Would women trust their partners to use a male pill? Hum Reprod 15:646 -649
Henry J. Kaiser Family Foundation 1997 A new national survey on men's role in preventing pregnancy. Menlo Park, CA: Henry J. Kaiser Family Foundation
United Nations Population Fund (UNFPA) 2001 The state of world population 2001. New York: UNFPA; http://www.unfpa.org/ swp/2001/