C. Mircioiu1, A. Perju1, E. Griu1, G. Calin1, A. Neagu1, D. Enachescu2 and D.S. Miron1
1Faculty of Pharmacy, Carol Davila University of Medicine and Pharmacy, Bucharest, Romania.
2Faculty of Mathematics, University of Bucharest, Bucharest, Romania.
Received for publication : July 10, 1997
Please send reprint requests to: Dr C. Mircioiu, Faculty of Pharmacy, Carol Davila University of Medicine and Pharmacy, Str. Traian Vuia 6, Bucharest, Romania.
Abstract
Progesterone was administered percutaneously to postmenopausal women in topical applications on the breast and chest areas in a hydrophilic (gel), lipophilic and an emulsion type base. Venous blood samples were taken 2, 4, 6, 24, 48 and 72 h following administration. The plasma levels were evaluated by radioimmunoassay. Time of maximum concentration (tmax) was, in all cases, in the neighborhood of 4 h. Mean peak plasma concentrations were: 1 ng/ml for the lipophilic, 1.24 ng/ml for the hydrophilic and 2.26 ng/ml for the emulsion type base. The areas under the curves (AUCs) were practically equivalent for the first two methods, but higher values were obtained for administration in the emulsion type base. The elimination was slow, with a half-time varying in the range of 30-40 h for all three types of base, a value that was much higher than those obtained after administration of progesterone via vaginal suppositories. The AUCs were parallel with the peak plasma concentrations: almost 2-fold higher for emulsion than for the gel and lipophilic base. Fit for plasma levels using mono-, bi- and tricompartmental models furnished acceptable results only in the case of monocompartmental model, which raises a number of physiological and physico-chemical considerations. A ‘pseudomonocompart-mental’ model was constructed to explain this ‘anomaly’.
Keywords : Progesterone, pharmacokinetics, percutaneous administration.
Introduction
Several authors have reported a disequilibrium in the normal levels of oestrogen-progesterone in women with benign breast diseases and an improvement in the patients’ clinical status after local administration of progesterone (1). The advantage of percutaneous administration of progesterone is first of all that its accumulation in the skin assures extended constant release, i.e. a natural system of controlled release. The other reason for this type of administration is to avoid a first pass effect. In addition, due to the delayed absorption resulting from the barrier function of the stratum comeum, excessively high peak plasma levels can also be avoided. Studies on the pharmacokinetics of progesterone following oral, vaginal and rectal administration have shown a high plasma profile dependence on the affinity of the active substance toward the non-active components of the pharmaceutical base (2-5). Consequently, in the present study we examined the influence of three types of ointment base (hydrophilic, lipophilic and polyphasic) on the evolution of plasma levels of progesterone over time and compared this with a previous study on the pharmacokinetics of progesterone following different vaginal applications.
Materials and methods
Progesterone (90 mg) was administered to 32 postmenopausal women in a single 6 g dose via three different bases: lipophilic (7 patients), an oil/water emulsion (16 patients) and Carbopol gel as the hydrophilic base (9 patients). The respective ointments were applied to the breast and chest areas. The women had received no hormonal treatment for 6 months prior to the experiment. Blood samples were taken 2, 4, 6, 24, 48 and 72 h following administration of the treatment products.
Plasma levels were evaluated by radioimmunoassay using a CEA-Sorin (Biomed, Vienna, Austria) kit containing tritiated progesterone and a Tricarb (Hewlett-Packard) scintillation camera.
Analysis of the experimental data was made via TopFit 2 (Sobering AG, Germany) software (6) and by programs developed in our laboratory.
Results and discussion
Biodisposition
The plasma levels of progesterone following administration of the three treatments are shown in Figures 1-3. It can be seen that for the lipophilic base the variability in the experimental data is greater in the ascending part than in the final part of the curves, where a thin bundle of parallel curves can be seen. The maxima were situated in the range of 0.7-2 ng/ml for the hydrophilic base and 0.6-1.5 ng/ml for the lipophilic base.

Figure 1. Plasma levels of progesterone after administration in Carbopol gel.

Figure 2. Plasma levels of progesterone after percutaneous administration in lipophilic base.

Figure 3. Plasma levels of progesterone after administration in emulsion type base.
The emulsion provided the best bioavailability, with cmax values in the range of 0.64—5.20 ng/ml. It is to be observed that, in this case, the variability was also greater (coefficient of variation, CV = 54%) compared to that of the lipophilic (CV = 30%) and Carbopol base (CV = 40%). However, the most significant finding was that the plasma levels were one order of magnitude lower than those that had usually been observed following intravaginal (7) or oral (8) administration of the same quantity of progesterone.
Regarding the percutaneous administration of progesterone, it appears that the nature of the base influences first the extent and, to a lesser degree, the rate of absorption, the time of maximum concentration remaining practically constant. The higher concentrations in plasma observed after percutaneous application of alcohol-based solutions (3) are probably due to a better absorption and to the occlusion of the administration site.
Determination of the mean plasma levels for the three groups is shown in Figure 4. The mean cmax , as can be seen in Figure 4A, is: 0.99 for the lipophilic, 1.24 for the hydrophilic and 2.26 ng/ml for the emulsion type base. The corresponding areas under curves (AUCs) were, respectively, calculated to be: 42, 50.3 and 82.4 ng x h/ml, which is approximately in the same ratio with the cmax values. A ratio in the same range for peak plasma concentrations and AUC for bases with a different affinity toward progesterone was obtained for vaginal suppositories (4). The greater AUC for the hydrophilic (Carbopol) than for the lipophilic base appears normal if we consider the lower affinity of the hydrophobic progesterone for the hydrophilic base than for the lipophilic base. The approximately 2-fold higher bioavailability assured by the emulsion type base could be the result of a ‘global’ transfer of progesterone through the cutaneous tissue in oil droplet form.

Figure 4. (A) Plasma levels of progesterone after administration in different bases (E = emulsion; L = lipophilic; and H = hydrophilic). (B) Plasma levels of progesterone after administration in different bases, emulsion data divided by 1.83.
Elimination
In all cases, interindividual variations in the final parts of the curves were sufficiently small to justify a pharmacokinetic analysis based on the mean blood concentrations of the groups studied.
The elimination was slow, with a half-life in the range of 30-40 h. Consequently, one day after the initial administration, the plasma level was 2-fold the value before treatment. The half-life of 25-29 min reported in the first hour following i.v. administration (9) results from distribution in the second compartment and metabolism, while our data mainly regards renal clearance.
Following vaginal application of progesterone, the elimination constant was 2-fold the value obtained after percutaneous administration. As renal elimination is independent of administration route, this result is compatible with the hypothesis of ‘dose-dependent metabolism’ the hypothesis put forward to explain the dependence of the elimination constant on the suppository base reported in our previous paper. If the plasma levels are of the same order of magnitude, the pharmacokinetic parameters do not differ significantly, as can be seen in Figure 4B, where dividing the data for emulsion with a constant leads to a practical superposition of the three curves. Further, due to its high affinity for the stratum corneum, the progesterone accumulates at this level, assuring a ‘delayed absorption’.
Pharmacokinetic modeling
The results of fitting the mean data for progesterone administered as a hydrophilic (Carbopol gel) and as a lipophilic base with monocompartmental model solutions are presented in Figure 5.

Figure 5. Fitting of the mean data for progesterone administered as Carbopol gel (B) and fat base (A) with monocompartmental model solutions.
An apparently better solution is obtained after fitting with bi- and tricompartmental models. However, the transfer parameters obtained are inconsistent with physico-chemical and physiological restrictions. For instance, the transfer coefficients between the blood and lipid compartments are approximately equal, in contradiction with the octanol/water partition coefficient for progesterone of 3.9. In addition, a lack of uniqueness (more solutions satisfying the same least square criterion) and stability (different solutions obtained following minor differences in initial data) appeared.
Regardless of the mathematical models available, two contradictory but significant findings should be taken into consideration: (i) the model adopted for progesterone pharmacokinetics must take into consideration skin, blood and lipids as compartments, leading to solutions with at least four exponentials; and (ii) the biexponential solutions obtained both after percutaneous and intravaginal administrations, which almost met requirements.
To clarify these contradictions, a degenerated three compartmental model was considered (see Annex 1) on the basic assumption that the lipids and the stratum corneum belong to the same compartment. It was also taken into account, as experiments with in vitro transfer of steroids have suggested (10), that the uptake of progesterone in the bloodstream starts after stratum corneum saturation. In this case, the number of exponentials in the solution is reduced to two, thereby pharmacokinetics displaying a ‘pseudomonocompart- mental’ behaviour.
The hypothesis that the stratum corneum acts as a ‘reservoir’ is not difficult to accept, but it is not so easy to understand such behaviour for the vaginal mucosa. Although, using data very similar to that obtained by us in a previous study, other authors (11) have considered such a possibility. Since a number of problems arose regarding the pharmacokinetics of progesterone, additional experimental data and a more in-depth mathematical analysis is advocated.
Conclusions
It was concluded that the nature of the base influences the cmax and the AUC, which can be explained, at least qualitatively, by differences in the affinity of progesterone toward the pharmaceutical form. The effect of the route of administration was much more significant, with blood levels after percutaneous application that were 10-fold lower than following intravaginal administration.
The elimination was slow, with a half-life in the range of 30-40 h for all three types of base, a value which was much higher than those obtained after administration of progesterone via vaginal suppositories and those reported following oral, rectal, i. m. and i.v. administration, i.e. apparently reflecting dose-dependent kinetics. To explain this phenomenon, both the ‘reservoir’ function of the stratum corneum and the dependence of the metabolic rate on plasma levels and route of administration could be taken into account.
To explain the biexponential goodness of fit of the experimental data, the construction of a three compartmental model, which is ‘degenerated’ due to the ‘confounding’ of the stratum corneum and lipid compartments, can be considered.
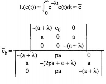
Annex 1
Mathematical degenerated tricompartmental model of the pharmacokinetics of lipophilic drugs after percutaneous administration
Hypothesis
l.The lipophylic active substances transfer from the pharmaceutical form in the stratum corneum and the transfer into blood begins after its ‘saturation’: (cs(0) = c0).
2. The transfer coefficients between stratum corneum and blood are equal to the transfer coefficients between lipids and blood.
3. The ratio of the transfer coefficients between two compartments equals the partition coefficient of the active substance (kjj/kji = Pj).

Initial conditions:
cc(0) =c0
cs(0) =c1(0) = 0
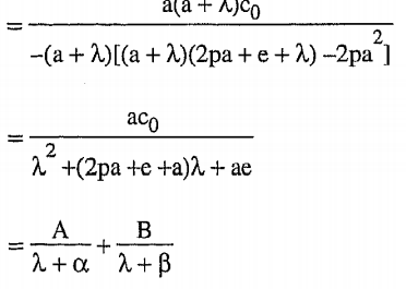
Applying Laplace transform



Applying the inverse Laplace transform , we obtain for the blood concentration:
cb(t) = A (e-αt - e-βt)
i.e. a biexponential solution as in the case of the monocompartmental model.
Abbreviations:
- cc = progesterone cone, in stratum comeum
- cb = progesterone cone, in blood
- cl = progesterone cone, in lipid
- p = water/octanol partition coefficient
- a = absorption constant
References
Mauvais-Jarvis P., Vickers C.F.H., Wepierre J. (Eds) (1980) : Percutaneous absorption of steroids. London: Academic Press.
Kind F.A., Ciaccio L.A., Benagiano G. (1978) : Increasing oral bioavailability of progesterone by formulation. J. Steroid Biochem., 9, 83-84.
Nillius S.J., Johansson E.D.B, (1971) : Plasma levels of progesterone after vaginal, rectal or intramuscular administration of progesterone. Am. J. Obstet. Gynecol., 110, 470-477.
Maddocks S., Hahn P., Moller F., Reid R.L. (1986): A double-blind placebo-controlled trial of progesterone vaginal suppositories in the treatment of premenstrual syndrome. Am. J. Obstet. Gynecol., 154,573-576.
Mircioiu C., Perju A., Griu E., Câlin G., Neagu A., Enachescu D. (1998) : Pharmacokinetics of progesterone in postmenopausal women. 1. Pharmacokinetics following intravaginal administration. Eur. J. Drag Metab.
Pharmacokinet., 23, 391-396.
Heinzel G., Woloszczak R., Thomann P. (1993) : Pharmacokinetic and pharmacodynamic data analysis system. Stuttgart: Gustav Fischer.
Mircioiu C., Perju A., Enachescu D., Griu E., Neagu A. (1993) : Biodisposition and pharmacokinetics of percutaneous and intravaginal progesterone. Correlation with in vitro measurements. Third International Conference on Prediction penetration, La Grande Motte , France, 14-16 April 1993.
Morville R., Dray F., Regnier J., Barrat J, (1982) : Biodisponibilité de la Progesterone naturelle administré par voie orale. Mesuré de la conc. Du steroid dans le plasma, l’endometre et la tissue mammaire. J. Gynecol. Obstet. Biol. Reprod., 11, 55-63.
Thijssen J.H., Zander J. (1966) : Progesteron 4C and its metabolites in the blood after intravenous injections into woman. Acta Endocrinol., 51, 563-567.
Siddiqui 0., Roberts M., Polack A.E. (1989) : Percutaneous absorption of steroids: relative contributions of epidermal penetration and dermal clearance, J. Pharmacokinet. Biopharmacol., 17, 405-424.
Archer D.F., Fahy G.E., Viniegra-Sibal A. (1995) : Initial and steady-state pharmacokinetics of a vaginally administered formulation of progesterone. Am. J. Obstet. Gynecol., 173, 471-478