C. WANG, D. R. EYRE, R. CLARK, D. KLEINBERG, C. NEWMAN, A. IRANMANESH, J. VELDHUIS, R. E. DUDLEY, N. BERMAN, T. DAVIDSON, T. J. BARSTOW, R. SINOW, G. ALEXANDER, AND R. S. SWERDLOFF
Departments of Medicine, Pediatrics, and Radiology, Harbor-University of Californiα-Los Angeles Medical Center (C.W., N.B., T.D., T.J.B., R.S., R.S.S.), Torrance, California 90509; the Department of Orthopedics, University of Washington (D.R.E.), Seattle, Washington 98195; the Department of Medicine, Duke University Medical Center (R.C.), Durham, North Carolina 27710; the Department of Medicine, New York University and New York Veterans Administration Medical Center (D.K., C.N.), New York, New York 10010; Medicine Service, Salem Veterans Administration Medical Center (A.I.), Salem, Virginia 24153; the Department of Medicine, University of Virginia Health Sciences Center (J.V.), Charlottesville, Virginia 22908; BioTechnology General Corp. (R.E.D.), Iselin, New Jersey 08830; and the Department of Psychology, University of New Orleans (G.A.), New Orleans, Louisiana 70148
* This work was supported by grants from BioTechnology General Corp. and NIH Grants M01-RR-00425, RR-00097, and RR-00847 to the General Clinical Research Centers at Harbor-University of CaliforniaLos Angeles Medical Center, New York University Medical Center, and University of Virginia Health Sciences Center, respectively.
Christina Wang, M.D., Clinical Study Center, Box 16, Harbor-UCLA Medical Center, 1000 West Carson Street, Torrance, California 90509-2910; E-mail: WANG@HARBOR6.HUMC.EDU.
Abstract
To study the effects of androgen replacement therapy on muscle mass and strength and bone turnover markers in hypogonadal men, we administered sublingual testosterone (T) cyclodextrin (SLT; 5 mg, three times daily) to 67 hypogonadal men (baseline serum T, < 8.4 nmol/L) recruited from 4 centers in the U.S.: Torrance (n = 34), Durham (n = 12), New York (n = 9), and Salem (n = 12). Subjects who had received prior T therapy were withdrawn from injections for at least 6 weeks and from oral therapy for 4 weeks. Body composition, muscle strength, and serum and urinary bone turnover markers were measured before and after 6 months of SLT. We have shown previously that this regimen for 60 days will maintain adequate serum T levels and restore sexual function.
Total body (P = 0.0104) and lean body mass (P = 0.007) increased with SLT treatment in the 34 subjects in whom body composition was assessed. There was no significant change in total body fat or percent fat. The increase in lean body mass was mainly in the legs; the right leg lean mass increased from 8.9 ± 0.3 kg at 0 months to 9.2 ± 0.3 kg at 6 months (P = 0.0008). This increase in leg lean mass was associated with increased leg muscle strength, assessed by leg press (0 months, 139.0 ± 4.0 kg; 6 months, 147.7 ± 4.2 kg; P = 0.0038).
SLT replacement in hypogonadal men led to small, but significant, decreases in serum Ca (P = 0.0029) and the urinary calcium/ereat- inine ratio (P = 0.0066), which were associated with increases in serum PTH (P = 0.0001). At baseline, the urinary type I collagen-cross linked iV-telopeptides/creatinine ratio [75.6 ± 7.9 nmol bone collagen equivalents (BCE)/mmol] was twice the normal adult male mean (41.0 ± 3.6 nmol BCE/mmol) and was significantly decreased in response to SLT treatment at 6 months (68.2 ± 7.7 nmol BCE/mmol; P = 0.0304) without significant changes in urinary creatinine. Serum skeletal alkaline phosphatase did not change. In addition, SLT replacement caused significant increases in serum osteocalcin (P = 0.0001) and type I procollagen (P = 0.0012). Bone mineral density did not change during the 6 months of SLT treatment.
We conclude that SLT replacement therapy resulted in increases in lean muscle mass and muscle strength. Like estrogen replacement in hypogonadal postmenopausal females, androgen replacement therapy led to decreased bone resorption and urinary calcium excretion. Moreover, androgen replacement therapy may have the additional benefit of increasing bone formation. A longer term study for several years duration would be necessary to demonstrate whether these changes in bone turnover marker levels will result in increased bone mineral density, decreased fracture risks, and reduced frailty in hypogonadal men. (J Clin Endocrinol Metab 81: 3654-3662, 1996).
Introduction
IN MEN WITH androgen deficiency, long term loss of bone and muscle mass may lead to physical frailty, increased risk of fracture, and inactivity. Androgen receptors are present in osteoblasts, and androgens exert direct effects on proliferation, cytokine / growth factor production, and bone matrix production in bone cells (1-10). Reduced bone mass, mainly cortical bone loss, occurs in patients with delayed pubertal development, as in Klinefelter's syndrome, idiopathic hypogonadotropic hypogonadism, and constitutional delayed puberty (11-15). Decreased bone mineral density (BMD), usually more marked in vertebral bone, and increased fracture risks occur in postpubertal androgen deficiency states such as castration, hyperprolactinemia, anorexia, and acquired hypogonadism in long distance runners (16-19). Androgen replacement therapy after the onset of puberty in hypogonadal men results in small to moderate increases in BMD (19-22), but may not restore bone mass to the normal range (23, 24). In these prior studies, parenteral testosterone (T) has been the mainstay of androgen replacement. The changes in bone resorption and formation markers in response to androgen replacement have not been com-prehensively studied.
Androgen deficiency also leads to decreased muscle mass and strength. In normal men, lean body mass, muscle mass, and muscle protein synthesis increased with T treatment (25-27). In young as well as elderly hypogonadal men, replacement doses of T resulted in positive nitrogen retention and increases in lean body mass, muscle strength, and skeletal muscle protein synthesis (28-31). All of these studies used parenteral T enanthate as androgen replacement.
To further examine the effects of T replacement on bone and muscle, T was administered in the form of sublingual T cyclodextrin (SLT) to 67 hypogonadal men. In this preparation, T complexed with 2-hydroxypropyl-β-cyclodextrin, a compound with a macro-ring structure that has a backbone composed of glucopyranose units. When dissolved in saliva, the cyclodextrin permits the solubilization of T, which is then absorbed by the oral mucosa. We have previously reported pharmacokinetic and bioefficacy data in hypogonadal men treated with sublingual T for a 2-month period (32). In the present study, the effects of SLT replacement on serum and urine markers of bone formation and resorption and on bone mineral density, muscle strength, and body composition were assessed before and during a 6-month treatment period.
Subjects and Methods
Subjects
Sixty-seven hypogonadal men (75% Caucasian, 9% Black, 6% Asian, and 10% Hispanic), aged 19-60 yr, were recruited from four centers [Harbor-University of Californiα-Los Angeles (UCLA) Medical Center, n = 34; Duke University Medical Center, n = 12; New York University and V.A. Medical Center, n = 9; and Salem V.A. Medical Center, n = 12]. The admission criteria required a baseline serum T concentration of less than 8.7 nmol/L (250 ng/dL). Other than hypogonadism, the patients were in good health. To qualify for admission, all patients had a serum prostatic-specific antigen (PSA) level less than 4 mg/L, a maximum urine flow of over 13 mL/ s, and a digital rectal examination that showed no irregularities or nodules. Twenty-six patients had testicular disease (e.g. Klinefelter's syndrome, anorchia, and postorchidectomy), 27 had hypothalamic-pituitary disease (Kallman's syndrome, pituitary tumor, and hypothalamic-pituitary dysfunction), and the remaining 14 had low T and normal gonadotropin levels. The precise cause of hypogonadism in these 14 patients was not clear. Of the 67 patients, 10 had never received T treatment. The remaining 57 patients were withdrawn from their parenteral or transdermal preparation for at least 6 and 4 weeks, respectively. Twenty-five of the 67 patients participated in a previous pharmacokinetic study of SLT (32) at least 1 yr before the current study. After admission to the study, all subjects received SLT (Biotechnology General Corp., Iselin, NJ; 5 mg, three times per day) for 6 months. The SLT tablets were administered usually 1 h before or after a meal.
Study design
The patients were assessed clinically (including digital rectal examination and urine flow measurements) before treatment and 3 and 6 months after treatment with 5.0 mg SLT, three times a day. Prostate ultrasonography was performed on all subjects at 0 and 6 months, and all films were read by a single radiologist (R.S.). Anthropometric measurements, including height, weight, skin-fold thickness (measured with a Lange caliper at the triceps and subscapular sites), and body circumferences (chest, right mid upper arm, waist, hip, and right thigh), were assessed by trained dietitians or nurses at 0, 3, and 6 months.
Blood samples for T, free T, dihydrotestosterone (DHT), and estradiol (E2) were drawn at each of the visits 30,15, and 0 min before and 30, 60, and 120 min after SLT administration. Samples for FSH and LH determinations were drawn at 0 and 120 min. Complete blood count, clinical chemistry, lipid profile, PSA, sex hormone-binding globulin (SHBG), and 3α-androstanediol glucuronide (3α-diol G) levels were measured at time zero (fasting) at each visit. Serum for measurements of bone turnover markers, including PTH, bone-specific alkaline phosphatase, osteocalcin, and type I procollagen, and 2-h fasting timed urine collections for calcium, creatinine, and type I collagen cross-linked N-telopeptides (N-telopeptides) determinations were obtained at 0, 3, and 6 months.
For the subjects assessed at the Harbor-UCLA Medical Center (n = 34) several additional tests were performed at 0 and 6 months. Total as well as regional body composition and BMD were assessed by dual energy x-ray absorptiometry (DEXA), using Hologic QDR 2000 (Hologic, Waltham, MA). The one-repetition maximum technique was used to measure arm and leg muscle strength in bench press and seated leg press exercises. Twenty-four-hour urine collections for creatinine and 3-methyl-histidine assays were assessed after 3 days of a meat-free diet in the home environment.
Sexual function was assessed by questionnaires answered daily by the patients for 7 consecutive days before and at monthly intervals after SLT treatment. The subjects rated their levels of sexual desire, enjoyment, and performance using a seven-point Likert-type scale, previously described (32). All questionnaires were processed at a single center.
The study protocol was approved by the institutional review board of each of the centers. Written consent was obtained from each subject.
Assays
All complete blood counts and clinical chemistry samples were measured by the hospital laboratory at each center. All serum hormone assays and bone turnover markers were measured at Harbor-UCLA Medical Center, except when indicated. Serum T and E2 were measured by sensitive RIA, using reagents from ICN (Costa Mesa, CA). Serum DHT was measured after extraction followed by Celite column chromatography with reagents from ICN. Serum free T was measured by the same sensitive RIA after equilibrium analysis. Serum SHBG was measured by RIA, and serum FSH and LH were measured by fluoroimmu- noassays with reagents from Delfia (Wallac, Gaithersburg, MD). Serum 3α-diol G levels were measured using a RIA kit from DSL (Webster, TX). Serum PTH and osteocalcin were measured by two-site immunoradio- metric assay kits from Nichols's Institute (San Juan Capistrano, CA). Serum skeletal alkaline phosphatase was measured by immunoradio- metric assay using the Tandem-R-Ostase kit from Hybritech (San Diego, CA). Serum type I procollagen was measured using a RIA kit from Incstar Corp. (Stillwater, MN). Urinary N-telopeptides were measured by a specific immunoassay developed in Dr. Eyre's laboratory (33). All samples from a single subject were measured in the same assay. The coefficients of variation for all hormone and bone turnover marker assays were: intraassay, 4-10%; and interassay, 7-15%. Samples containing low or high hormone or bone marker levels were reassayed after increasing sample volume or adjusting sample dilution to ensure that all levels measured would have the best possible precision and accuracy.
Statistical analyses
The overall study design was a one-way repeated measures ANOVA with between two and seven levels of the repeated measure, time. Before analysis, each variable was examined to determine whether it conformed to a normally distributed variable. If the variable was normally distributed or could be transformed, the standard parametric ANOVA was used. If only two time points were recorded, then paired t tests were used. If the ANOVA was significant, then two sets of contrasts were run: first comparing all subsequent values to the initial time point, then a "profile" analysis comparing adjacent time points. If the data could not be transformed to fit a normal distribution, Friedman's test was used, followed by pairwise comparison using least square means or rank. As the subjects were recruited from four different sites, the differences between sites were tested using a one-way ANOVA or Kruskal-Wallis test on the initial measurement of each variable. Scheffe's method was used for multiple comparisons after a parametric ANOVA; otherwise, pairwise contrasts on rank were computed following a method outlined by Marscuilo and McSweeney (34, 35). Contrasts were computed if the overall ANOVA effect was significant. The dichotomous variables were compared using a x2 test. In general, there were no significant differences among study centers for the compound measured at Harbor-UCLA Medical Center, but some differences in the clinical chemistry measurements were noted that were probably the result of interlaboratory variations. These differences were not considered to be clinically significant, so the data from the four centers were analyzed and reported as a group.
The area under the curve (AUC) described by serum hormone levels (T, free T, DHT, and E2) was computed using the trapezoidal method from the samples taken 30, 15, and 0 min before (these three samples were pooled) and 30, 60, and 120 min after the administration of 5 mg SLT at 0, 3, and 6 months. All statistical analyses were performed using the Statistical Analysis System (SAS Institute, Cary, NC) version 6.08 for Windows. The significance level for each test was set at 0.05. All data in the tables and figures are expressed as the mean of the raw data ± SEM.
Results
Serum hormone levels
The mean levels and AUCs of serum T, free T, DHT, and E2 before and after the first dose of 5.0 mg SLT and subsequent sampling before and after the morning dose at 3 and 6 months are shown in Table 1. The administration of 5.0 mg SLT led to abrupt increases in T, free T, DHT, P, DHT / T ratio, and E2. The mean AUC of serum T, free T, and DHT during the 2 h after the SLT dose did not change with time. The AUCs described by E2 levels at 3 and 6 months were significantly higher than those on day 1 (P = 0.0001). As shown in Table 2, androgen replacement with SLT led to small, but significant, suppression of LH levels in both hypergonadotropic (P = 0.0007) and hypogonadotropic patients (P = 0.0123). Similarly, serum FSH levels were significantly suppressed with SLT treatment (hypergonadotropic, P = 0.0169; hypogonadotropic, P = 0.0001). SHBG levels decreased (P = 0.0001) and 3α-diol G levels increased (P = 0.0001) significantly at 3 and 6 months of SLT treatment.
Table 1. Serum T, free T, DHT, and Eαlevels and area under the curve (AUC) before and after SLT treatment in hypogonadal men (n = 67 subjects).

Table 2. Serum LH, FSH, SHBG, and 3α-diol-G levels before and after SLT treatment in hypogonadal men (n = 67 subjects).

Anthropometry, body composition, and muscle strength (Table 3)
Table 3.Effect of SLT treatment on anthropometric measurements (n = 67 subjects).

Body weight and body mass index increased with T re-placement. Both parameters were significantly higher at 3 and 6 months (P = 0.0001 for both) than before treatment. The body circumferences measured at the chest, waist, thigh, and midarm showed significant increases after treatment compared to baseline (chest, P = 0.029; waist, P = 0.023; thigh, P = 0.0104; midarm, P = 0.030). The waist to hip ratio was also increased at 3 and 6 months (P = 0.0076). The subscapsular skin-fold thickness showed a very small increase (P = 0.0024).
As shown in Table 4, the total body mass, as measured by DEXA, increased significantly with T treatment (P = 0.0104), confirming the results from the weight measurements. This increase was due mainly to an increase in lean body mass (P = 0.007). The regional lean body mass in the legs was significantly increased after 3 months of SLT replacement (month 0: left leg, 8.6 ± 0.3 kg; right leg, 8.9 ± 0.3 kg; month 6: left leg, 8.8 ± 0.5 kg; right leg, 9.2 ± 0.3 kg; P = 0.012 and P = 0.0008 for left and right legs, respectively), but that in the arms was not. The total body fat and percent fat showed no significant change with treatment. Bone mineral density (total body, hip, and spine) showed no significant change during the 6-month treatment with SLT. Twenty-four-hour urinary creatinine and 3-methylhistidine also showed no significant change. Muscle strength with leg press, as assessed by the one-repetition method, was significantly in-creased at 6 months (P = 0.0038), whereas there was no change in the upper body strength assessed by arm press (Table 4). There was no significant correlation between the increase in lean mass and the increase in muscle strength in the legs in each subject.
Table 4.Effect of SLT treatment on body composition, BMD, muscle strength, and mass (n = 34 subjects).

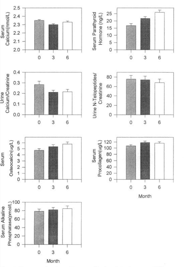
Serum calciotropic hormone and bone turnover markers (Figs. 1 and 2)
Serum calcium levels decreased significantly at both 3 and 6 months with SLT replacement compared with baseline levels (P = 0.0029). Mean baseline PTH levels (16.7 ± 1.4 ng/L) were within the normal adult range (2-62 ng/L). Compensatory increases in serum PTH occurred with the decreasing serum calcium levels. Serum PTH levels were significantly higher at 3 and 6 months compared with baseline levels (P = 0.0001); the PTH level at 6 months was significantly higher than that at 3 months. Urinary markers of bone resorption were measured in fasting 2-h timed urine collections and expressed as urinary calcium/creatinine and N-telopeptide/ creatinine ratios. With SLT treatment, the urinary calcium / creatinine ratio decreased significantly (P = 0.0066). The mean baseline mean urinary N-telopeptide/ creatinine ratio [75.6 ± 7.9 nmol bone collagen equivalents (BCE)/mmol creatinine] in the hypogonadal men was about twice the mean in normal adult men (41.0 ± 3.6 nmol BCE/ mmol). There was a significant decrease in the urinary N- telopeptide/creatinine ratio after 6 months of SLT replacement (P = 0.0304) compared with the baseline value. The decrease in the urinary N-telopeptide/creatinine ratio was not due to increases in urinary creatinine, but mainly to decreases in the excretion of N-telopeptides. There were significant negative correlations between all the above parameters at baseline and the changes at 3 and 6 months (Fig. 2). Subjects with the highest serum calcium, urinary calcium/ creatinine ratio, and urinary N-telopeptide/creatinine ratio at baseline showed the largest decrease in these markers of bone resorption with SLT treatment. Subjects with the lowest PTH level showed the largest elevation of PTH with SLT treatment. The changes in serum PTH levels and urinary calcium/creatinine or N-telopeptide/creatinine ratios after SLT therapy did not show significant correlation with each other.
The mean basal osteocalcin level in the hypogonadal men (4.7 ± 0.3 mg/L) was within the normal adult male range (1-8 mg/L; Fig. 1) Serum osteocalcin showed a significant increase with time of SLT treatment (P = 0.0001). The levels at 3 and 6 months were higher than values before treatment and that at 6 months was significantly higher than that at 3 months. Before treatment, mean serum type I procollagen in hypogonadal men (107 ± 5 mg/L) was within the range for normal adult men (58-268 mg/L). Serum type I procollagen levels showed significant increases with treatment (P = 0.0012). The levels at 3 and 6 months were significantly higher than that at 0 months. Serum bone-specific alkaline phosphatase at baseline (10.7 ± 0.8 mg/L) was within the normal adult male range (1-19 mg/L) and showed no significant change with SLT replacement. Regression analyses showed a negative correlation between the change in type I procollagen at 3 and 6 months from the baseline level (Fig. 2). This indicates that the lower the initial type I procollagen levels, the greater the increase with SLT treatment. Changes in serum osteocalcin had no relationship with the baseline levels. The changes in serum levels of osteocalcin after SLT treatment were significantly correlated with the changes in serum type I procollagen (r = 0.34; P = 0.0043) and alkaline phosphatase levels (r = 0.38; P = 0.0013), and the serum levels of the latter two bone formation markers were also significantly correlated with each other (r = 0.34; P = 0.0045).

Figure 1.. Serum and urinary bone marker levels in hypogonadal men before (0 months; hatched bar) and after 3 months (shaded bar) and 6 months (open bar) of SLT (5.0 mg, three times per day) treatment. See text for significance levels. The urinary calcium/creatinine ratio is expressed as millimoles/millimoles, and the urinary N-telopeptide/ creatinine ratio is expressed as nanomoles of BCE/millimoles of creatinine.

Figure 2. Correlation between baseline serum and urinary bone marker levels and the changes in these parameters after replacement therapy with SLT (5.0 mg three times per day) for 3 months (baseline) in hypogonadal men (r = regression coefficient). The urinary calcium/ creatinine ratio is expressed as millimoles/millimoles, and the urinary N-telopeptide/creatinine ratio is expressed as nanomoles of BCE/millimoles of creatinine.
Further examination of the data from each patient did not identify subjects that could be classified as responders (i.e. with most changes in both bone resorption and bone formation markers) or nonresponders. The subjects with the greatest decreases in the N-telopeptide / creatinine ratio were not the same ones who had the greatest changes in other bone turnover markers. Furthermore, these patients could not be distinguished by their age, diagnosis, or previous replacement history. None of these bone resorption or formation markers was correlated with the baseline T levels or the increase in AUC described by the serum T levels after the administration of SLT.
Sexual function
There were significant increases in the scores for sexual desire (month 0, 2.67 ± 0.17; month 3, 4.00 ± 0.18; month 6, 3.72 ± 0.19; P = 0.0001), enjoyment of sex with partner (month 0, 3.24 ± 0.24; month 3, 4.27 ± 0.26; month 6, 4.64 ± 0.28; P = 0.0032), enjoyment of sex without partner (month 0,2.54 ± 0.23; month 3,3.83 ± 0.22; month 6,3.85 ± 0.26; P = 0.0004), number of erections (month 0, 0.32 ± 0.04; month 3, 0.48 ± 0.04; month 6, 0.49 ± 0.05; P = 0.0046), satisfaction with the duration of erection (month 0,3.56 ± 0.24; month 3, 4.63 ± 0.25; month 6,4.58 ± 0.22; P = 0.0019), and the number of ejaculations (month 0, 0.10 ± 0.02; month 3, 0.20 ± 0.02; month 6, 0.22 ± 0.03; P = 0.0087). The sexual motivation summary score (mean scores of sexual desire, sexual daydream, anticipation of sex, and flirting by subject) increased from 0.81 ± 0.05 at 0 months to 1.25 ± 0.06 at 1 month, 1.22 ± 0.06 at 3 months, and 1.12 ± 0.06 at 6 months (P = 0.0001). The sexual performance summary score (mean score of number of erections, ejaculations, and orgasm) also increased from 0.17 ± 0.02 at 0 months to 0.32 ± 0.03 at 1 month, 0.28 ± 0.02 at 3 months, and 0.29 ± 0.03 at 6 months (P = 0.0001).
Side-effects of SLT replacement
There was no increased acne or gynecomastia or change in body hair with SLT treatment. Systolic BP showed no change, but diastolic BP decreased from 78.9 ±1.3 mm Hg at baseline to 76.5 ±1.4 and 74.9 ±1.2 mm Hg at 3 and 6 months, respectively (P = 0.0034). Hematocrit and hemoglobin levels did not increase with treatment. Serum urea nitrogen (month 0, 5.5 ± 0.3; month 3, 5.2 ± 0.2; month 6, 4.8 ± 0.2 nmol/L; P = 0.0007), phosphate (month 0,1.19 ± 0.02; month 3,1.09 ± 0.02; month 6, 1.01 ± 0.02 nmol/L; P = 0.0001), alanine amino-transaminase (month 0,45.5 ± 4.3; month 3,33.1 ± 2.2; month 6, 32.8 ± 2.2 U/L; P = 0.0001), and aspartate amino- transaminase (month 0, 31 ± 3.0; month 3, 28.9 ± 1.5; month 6, 22.9 ± 1.3 U/L; P = 0.0001) significantly decreased with treatment. Serum cholesterol, low density lipoprotein cho-lesterol, high density lipoprotein cholesterol, and triglycerides showed small and nonsignificant decreases with SLT replacement (high density lipoprotein cholesterol: month 0, 1.01 ± 0.04; month 3, 0.97 ± 0.03; month 6, 0.95 ± 0.03 nmol/L; P = 0.074, not significant).
The maximum urine flow rate decreased with treatment over time (P = 0.0010; Table 5). Urine flow rates at baseline were higher than at 3 and 6 months. Serum PSA levels showed a small, but significant, increase with T replacement (P = 0.0039). Serum PSA levels at baseline were significantly lower than those at 3 and 6 months; however, the levels were not different between 3 and 6 months. Ultrasonography of the prostate gland showed small, but significant, increases in length (P = 0.0033), width (P = 0.0001), and volume (P = 0.0001). One of the 67 subjects complained of urgency and frequency at the 3 month visit after the onset of SLT treatment. At his pretreatment visit, his digital rectal examination showed a mildly enlarged prostate with no other abnormality. The maximum urine flow was 13.9 mL / s, serum PSA was 3.4 mg/ L, and ultrasonography showed an enlarged prostate measuring 5.4 X 5.6 X 3.7 cm consistent with benign prostate hypertrophy. At his 3 month visit, he complained of urgency and marked increased frequency. His maximum urine flow was 13.7 mL/s, and his PSA was 11.3 mg/L. T treatment was withdrawn, and he was referred to a urologist, who diagnosed prostatitis. After treatment with a course of antibiotics, his symptoms markedly improved, and serum PSA fell to 6.1 mg/L. Needle biopsy of the prostate showed benign prostatic hypertrophy. None of the other subjects had any symptoms or signs of prostate disease before or during SLT replacement.
Table 5. Effect of SLT treatment on markers of prostate function (n = 67 subjects).

Discussion
Our studies confirmed our previous observation (32) that SLT administration at 5 mg led to marked increases in serum T, free T, DHT, and E2 within 30 min, and repeated sublingual administration gave the same pharmacokinetic profile. The serum hormone levels attained in this study were similar to those previously reported (32). The bioefficacy of SLT administration as a form of androgen replacement was ev-idenced by the small, but significant, suppression of FSH, LH, and SHBG levels. Such small decreases in gonadotropin and SHBG levels could be related to the short residence time of T in plasma after SLT replacement. Moreover, clinical efficacy was evident from the marked improvement in sexual motivation (sexual desire and enjoyment of sex with and without partner) and sexual performance (number of erections, satisfaction with erections, ejaculation, and intercourse). More importantly, this study showed that SLT administration had significant positive effects on muscle and bone within a 6-month period.
There was a weight gain of an average of less than 2 kg. The weight gain was accompanied by very small increases (0.5-1 cm) in arm, thigh, chest, and waist circumferences. There was a very small increase in subcapsular skinfold thickness (~1 mm). The overall assessment by anthropometry showed a generalized increase in both lean and fat mass values. Objective and more precise assessment of body mass by DEXA confirmed the increase in total body mass and demonstrated that this increase was mostly due to an increase in lean body mass. Neither the total body fat nor the percent body fat was significantly changed by SLT treatment. The lean body mass showed an increase of about 1 kg. Most of the increase in lean body mass was in the legs. The markers of muscle mass (urinary creatinine excretion) and muscle metabolism (3-methylhistidine) were not affected by SLT administration. The urine collections were performed after a 3-day meat-free diet while the subjects were free-living at home. The compliance of the subjects with the dietary requirement could have influenced the significance of these data. Using one-repetition maximum measurements for leg and arm press as an assessment of muscle strength, we found significant increases in strength in the legs of about 7-8 kg, on the average. In a preliminary report, Bhasin et al. (28) studied the effects of 10 weeks of weekly im injection of T enanthate in five hypogonadal men. Using underwater weighing and deuterium water methods, these investigators showed a mean increase of 6 kg in lean body mass, whereas body fat decreased by 4%. Magnetic resonance imaging studies in these five men showed increases in the cross-sectional area of both arm and thigh muscles. The more marked increase in muscle mass demonstrated in this preliminary study could be due to the difference in the methods of assessment of lean body mass. DEXA allows the noninvasive precise assessment of body composition, which is the more practical and accurate method of measurement in a study involving a sample size of over 30 subjects. The lesser decrease in percent body fat and increase in lean body mass found in the present study were more likely due to the dose and form of T replacement. In this study, androgen replacement was given as SLT (5 mg, three times a day), whereas in Bhasin's study, T enanthate (100 mg weekly; 300 mg/21 days) was administered. In our previous study (32) we showed that the AUC described by the serum T levels over a 20-day period after a single im injection of 200 mg T enanthate was 2-fold higher than that produced by the administration of 5.0 mg SLT, three times a day. Thus, the less marked effect of SLT on body composition can probably be ascribed to either the lower or the less sustained levels of serum T achieved with SLT compared to T enanthate. Fifty- seven of 67 subjects were withdrawn from T replacement before participation in the study. The withdrawal period of 4-6 weeks might not have allowed adequate time for reversal of body composition to the basal hypogonadal levels. Associated with the small increase in lean body mass induced by SLT replacement was the increase in muscle strength, especially in the legs, where the increase in lean body mass was maximum. The increase in muscle mass induced by androgens is most likely the result of enhanced muscle protein synthesis (25). It is not known whether prolonged treatment with SLT will lead to further increases in lean body mass and muscle strength and decreases in body fat that are associated with the administration of higher doses of parenteral testosterone in hypo- or eugonadal men (25-28).
In addition to the positive effect on muscle, SLT admin-istration in hypogonadal men led to significant and consistent decreases in serum calcium, urinary calcium, and N- telopeptide excretion associated with increases in serum PTH levels. These changes in bone resorption markers parallel the alterations of these parameters in hypogonadal postmenopausal women after estrogen replacement therapy. In postmenopausal women, bone resorption induced by estrogen deficiency leads to small transient increases in serum calcium, decreases in PTH secretion, and decreases in tubular resorption of calcium. Estrogen replacement therapy reverses these changes, leading to decreases in total serum calcium, increases in serum PTH, and decreases in urinary calcium and pyridinoline excretion (36-40). Estrogens cause increases in renal tubular reabsorption of calcium as a result of the elevation of serum PTH that occurred with estrogen inhibition of bone resorption (40). SLT is converted to a small, but significant, extent to estrogen. Thus, the action of SLT on decreasing bone resorption markers could be mediated via the conversion to estrogens.
Our data also showed that SLT replacement in hypogonadal men resulted in significant increases in osteocalcin and type I procollagen, although no significant change in skeletal alkaline phosphatase was noted. Osteocalcin, an osteoblastic-specific noncollagenous protein; type 1 procollagen peptides released during the processing of collagen; and serum skeletal alkaline phosphatase are considered to reflect osteoblastic activities and are markers of bone formation (41— 43). Our data suggest that androgens, in the form of SLT in this study, in addition to decreasing bone resorption cause an increase in bone formation. This finding is similar to the recent reports showing that in postmenopausal women, 19- nor-testosterone (nandrolone) as well as methyltestosterone in combination with estrogen resulted in increases in bone formation markers, whereas estrogens alone suppressed these markers of bone formation (44, 45). It should also be noted that the changes in bone markers were most marked in subjects who had the highest bone resorption and lowest bone formation markers. The decreases in serum calcium and urinary calcium and N-telopeptide excretion were most marked in subjects who had highest baseline values. These subjects did not have any distinctive clinical characteristics, such as age, diagnosis, or T withdrawal period compared to those in the other patients. Similarly, the increases in PTH and osteocalcin were most marked in subjects who had the lowest baseline levels. Possibly because this was only a 6-month study, despite the decreases in bone resorption markers and increases in bone formation markers, no significant increase or decrease in BMD was observed. This was not unexpected, as the effects of hormone replacement in previous studies in hypogonadal men or women were not evident by BMD measurement until after at least 1 yr of treatment. Moreover, as most of our hypogonadal subjects had received prior T therapy and the wash-out period was relatively short (4-6 weeks), regression of BMD to the hypogonadal state may not have occurred by the time of institution of SLT treatment. Thus, it might be even more difficult to demonstrate any increase in BMD in our subjects compared to that in subjects with previously untreated hypogonadism.
Androgen replacement therapy administered three times a day as SLT (5.0 mg) did not lead to significant increases in acne or gynecomastia. There were no adverse effects on kidney or liver function or the hematocrit. There were slight, but nonsignificant, decreases in serum high density lipoprotein cholesterol. As expected, prostate size was slightly increased, and serum PSA levels rose with androgen replacement therapy at 3 months, but remained within the normal range for adult men. At 6 months, there were no further increases in PSA levels. The increase in prostate volume was similar to those previously reported for T replacement in hypogonadal men (46). One subject was discontinued from the study because of a marked increase in urinary symptoms at the 3 month visit. Treatment with antibiotics relieved his symptoms and decreased his serum PSA levels. This history was suggestive of an acute episode of prostatitis. Biopsy of the prostate showed the presence of benign prostatic hyperplasia, with no evidence of malignancy.
We conclude from this study that short term (6-month) administration of SLT (5 mg three times per day) to hypogo- nadal men resulted in restoration of relatively normal sexual function. In addition, despite the lower T level achieved (compared to parenteral T) and the short residence time in plasma (several hours), SLT was able to increase lean body mass, improve muscle strength, reduce serum and urinary markers of bone resorption, and increase serum markers of bone formation. Although it has been perceived by many clinicians that androgen replacement therapy should provide a steady and constant level of serum T (47), these data on positive effects of SLT on bone, muscle, and sexual function suggest that intermittent high pulses of T can be effective therapy. Furthermore, it is not known whether androgen replacement should provide serum T levels in the low normal or midnormal range. Low normal levels of T have been shown to restore adequate sexual function in hypogonadal men (48, 49). Whether similar lower levels of T will maintain bone and muscle mass is unclear. T undecanoate, an orally active T ester not available in the United States, but with a similar pharmacokinetic profile as SLT, has been shown to increase fat-free mass and height velocity in adolescent boys with constitutional delayed puberty (50). Longer term studies will be necessary to demonstrate whether such changes in muscle mass and strength and bone turnover markers will result in increased physical activity and BMD, and reduction of the fracture risks and frailty present in elderly hypogonadal men.
Acknowledgements
We thank Barbara Steiner, R.N., for her assistance with the organization of the study; the nurses at the Clinical Study Center for their help with the clinical studies; A. Leung and S. Baravarian for their help with the assays; L. Hull for volunteering her time and effort for data management and statistical analyses; and S. Avancena for preparation of the manuscript.
References
Colvard DS, Eriksen EF, Keeting PE, et al. 1989 Identification of androgen receptors in normal human osteoblast-like cells. Proc Natl Acad Sci USA. 86:854-857.
Kasperk CH, Wegedal JE, Farley JR, Linkhart TA, Turner RT, Baylink DJ. 1989 Androgens directly stimulate proliferation of bone cells in vitro. Endocrinology. 124:1576-1578.
Orwoll ES, Stribrska L, Ramsey EE, Keenan EJ. 1991 Androgen receptors in osteoblast-like cell lines. Calcif Tissue Int. 49:182-187.
Carrascosa A, Audi L, Ferrandez MA, Ballabriga A. 1990 Biological effects of androgens and identification of specific dihydrotestosterone-binding sites in cultured human fetal epiphyseal chondrocytes. J Clin Endocrinol Metab. 70:134-140.
Kapur SP, Reddi AH. 1989 Influence of testosterone and dihydrotestosterone on bond-matrix induced endochondral bone formation. Calcif Tissue Int. 44:108-113.
Pilbeam CC, Raisz LG. 1990 Effects of androgens on parathyroid hormone and interleukin-l-stimulated prostaglandin production in cultured neonatal mouse calvariae. J Bone Miner Res. 5:1183-1188.
Kasperk C, Fitzsimmons R, Strong D, et al. 1990 Studies of the mechanism by which androgens enhance mitogenesis and differentiation in bone cells. J Clin Endocrinol Metab. 71:1322-1329.
Fukayama S, Tashjian HJ. 1989 Direct modulation by androgens of the response of human bone cells (SaOS-2) to human parathyroid hormone (PTH) and PTH-related protein. Endocrinology. 125:1789-1794.
Benz DJ, Haussler MR, Thomas MA, Speelman B, Komm BS. 1991 High- affinity androgen binding and androgenic regulation of a^IJ-procollagen and transforming growth factor-B steady state messenger ribonucleic acid levels in human osteoblast-like osteosarcoma cells. Endocrinology. 127:2723-2730.
Corvol MT, Carrascosa A, Tsagris L, Blanchard O, Rappaport R. 1987 Evidence for a direct in vitro action of sex steroids on rabbit cartilage cells during skeletal growth: influence of age and sex. Endocrinology. 120:1422-1429.
Finkelstein JS, Klibanski A, Neer RM, Greenspan SL, Rosenthal DI, Crowley Jr WF. 1987 Osteoporosis in men with idopathic hypogonadotropic hypogonadism. Ann Intern Med. 106:354-361.
Arisaka O, Arisaka M. 1991 Effect of testosterone on radial bone mineral density in adolescent male hypogonadism. Acta Paediatr Scand. 80:378-380.
Horowitz M, Wishart JM, O'Loughlin PD, Morris HA, Need AG, Nordin BE. 1992 Osteoporosis and Kleinfelter's syndrome. Clin Endocrinol (Oxf). 36:113-118.
Finkelstein JS, Neer RM, Biller BMK, Crawford JD, Klibanski A. 1992 Osteopenia in men with a history of delayed puberty. N Engl J Med.
326:600-604.
Foresta C, Ruzza G, Mioni R. 1983 Testosterone and bone loss in Klinefelter's syndrome. Horm Metab Res. 15:56-67.
Stepan JJ, Lachman M. 1989 Castrated men with bone loss: effect of calcitonin treatment on biochemical indices of bone remodeling. J Clin Endocrinol Metab. 69:523-527.
Greenspan SL, Neer RM, Ridgway EC, Klibanski A. 1986 Osteoporosis in men with hyperprolactinemic hypogonadism. Ann Intern Med. 104:777-782.
Greenspan SL, Oppenheim DS, Klibanski A. 1989 Importance of gonadal steroids to bone mass in men with hyperprolactinemic hypogonadism. Ann Intern Med. 110:526-531.
Diamond T, Stiel D, Posen S. 1991 Effects of testosterone and venesection on spinal and peripheral bone mineral in six hypogonadal men with hemochromatosis. J Bone Miner Res. 6:39-43.
Isaia G, Mussetta M, Pecchio F, Sciolla A, Di Stefano M, Molinatti GM. 1992 Effect of testosterone on bone in hypogonadal males. Maturitas. 15:47-51.
Devogelaer JP, De Cooman SX, Nagant de Deuxchaisnes C. 1992 Low bone mass in hypogonadal males: effect of testosterone substitution therapy, a densitométrie study. Maturitas. 15:17-23.
Finkelstein JS, Klibanski A, Neer RM, et al. 1989 Increase in bone density during treatment of men with idiopathic hypogonadotropic hypogonadism. J Clin Endocrinol Metab. 69:776-783.
Wong FHW, Pun KK, Wang C. 1993 Loss of bone mass in patients with Kleinfelter's syndrome despite sufficient testosterone replacement. Osteoporosis Int. 7:281-287.
Kubler A, Schulz G, Cordes V, Bayer J, Krause U. 1992 The influence of testosterone substitution on bone mineral density in patients with Kleinfelter's syndrome. Exp Clin Endocrinol. 100:129-132.
Griggs RC, Kingston W, Josefowicz RF, Hen BE, Forbes G, Halliday D. 1989 Effect of testosterone on muscle mass and muscle protein synthesis. Am J Appl Physiol. 66:498-503.
Welle S, Jozefowicz R, Forbes G, Gringgs RC. 1992 Effect of testosterone on metabolic rate and body composition in normal men and men with muscular dystrophy. J Clin Endocrinol Metab. 74:332-335.
Young NR, Baker HWG, Liu G, Seeman E. 1993 Body composition and muscle strength in healthy men receiving testosterone enanthate for contraception. J Clin Endocrinol Metab. 77:1028-1032.
Bhasin S, Storer T, Strakora J, et al. 1994 Testosterone increases lean body mass, muscle size and strength in hypogonadal men [Abstract]. Clin Res. 42:74A.
Urban RJ, Bodenburg YH, Gilkison C, et al. 1995 Testosterone administration to elderly men increases skeletal muscle strength and protein synthesis. Am J Physiol. 265:E820-E826.
Morley JE, Perry HM, Kaiser FE, et al. 1993 Effects of testosterone replacement therapy in old hypogonadal males: a preliminary study. J Am Geriat Soc. 41:149-152.
Tenover JS. 1992 Effects of testosterone supplementation in the aging male. J Clin Endocrinol Metab. 75:1092-1098.
Salahian B, Wang C, Alexander G, et al. 1995 Pharmacokinetics, bioefficacy and safety of sublingual testosterone cyclodextrin in hypogonadal men: comparison to testosterone enanthate. J Clin Endocrinol Metab. 80:3567-3575.
Hanson DA, Weis MAE, Bollen AM, Maslan SL, Singer FR, Eyre DR. 1992 A specific immunoassay for monitoring human bone resorption: quantitation of type I collagen cross-linked N-telopeptides in urine. J Bone Miner Res. 7:1251-1258.
Koch GG, Landis JR, Freddman JL, Freeman DH, Lehnen TG. 1977 A general methodology for the analysis of experiments with repeated measurement of categorical data. Biometrics. 33:133-158.
Marascuilo LA, Mcsweeney M. 1977 Nonparametric and distribution-free methods for the social sciences. Brooks/Cole; 306-307.
Gallagher JC, Riggs BL, Eisman J, Manstra A, Arnaud SB, DeLuca HF. 1979 Intestinal calcium absorption and serum vitamin D metabolites in normal subjects and osteoporotic patients. J Clin Invest. 64:729-736.
Gallagher JC, Riggs BL, DeLuca HF. 1980 Effect of estrogen on calcium absorption and serum vitamin D metabolites in postmenopausal osteoporosis. J Clin Endocrinol Metab. 51:1359-1364.
Sokoll LJ, Dawson-Hughes B. 1989 Effect of menopause and aging on serum total and ionized calcium and protein concentrations. Calcif Tissue Int. 44:181-185.
McKane WR, Khoola S, Burritt MF, et al. 1995 Mechanism of renal calcium conservation with estrogen replacement therapy in women in early post menopause a clinical research center study. J Clin Endocrinol Metab. 80:3458-3464.
Nordin BEC, Need AG, Morris HA, Horowitz M, Robertson WG. 1991 Evidence for a renal calcium leak in postmenopausal women. J Clin Endocrinol Metab. 72:401-407.
Charles P, Hasling C, Risteli L, Mosekilde L, Eriksen EF. 1992 Assessment of bone formation by biochemical markers in metabolic bone disease-separation between osteoblastic activity at the cell and tissue level. Calcif Tissue Int. 51:406-411.
Delmas PD. 1993 Biochemical markers of bone turnover. J Bone Miner Res. 8(SuppI 2):S549-S556.
Parviainen M, Kuronen I, Kokko H, Lakaniemi M, Savolainen K, Mononen 1994 Two-site enzyme immunoassay for measuring intact human osteocalcin in serum. J Bone Miner Res. 9:347-354.
Hassager C, Jensen LT, Pedenphant, et al. 1990 Collagen synthesis in postmenopausal women during therapy with anabolic steroid or female sex hormones. Metabolism. 39:1167-1169.
Raisz LG, Wiita B, Artis A, et al. 1995 Comparison of the effects of estrogen alone and estrogen plus androgen on biochemical markers of bone formation and resorption in postmenopausal women. J Clin Endocrinol Metab. 81:37-43.
Behre HM, Bohmeyer J, Nieschlag E. 1994 Prostate volume in testosterone- treated and untreated hypogonadal men in comparison to age-matched normal controls. Clin Endocrinol (Oxf). 40:341-349.
Bhasin S, Gabelnick HL, Spieler JM, Swerdloff RS, Wang C (eds). 1996 Pharmacology, biology, and clinical applications of androgens. New York: Wiley-Liss.
Gooren LJG. 1987 Androgen levels and sex function in testosterone treated hypogonadal men. Arch Sex Behav. 16:463-473.
Wang C, Alexander G, Berman N, et al. Testosterone replacement therapy improves mood in hypogonadal men. J Clin Endocrinol Metab. In press.
Gregory JW, Greene SA, Thompson J, Scrimgeour CM, Rennie MJ. 1992 Effects of oral testosterone undecanoate on growth, body composition, strength and energy expenditure of adolescent boys. Clin Endocrinol (Oxf). 37:207-213.