Eberhard Nieschlag, Dorothee Büchter, Sigrid von Eckardstein, Katrin Abshagen, Manüela Simoni and Hermann M. Behre
Institute of Reproductive Medicine of the University, Münster, Germany
Prof. Dr E. Nieschlag, Institute of Reproductive Medicine of the University, Domagkstr.il, D-48149 Munster, Germany. Fax: + 49 251835 6093; E-mail: nieschl@uni-muenster.de.
Abstract
OBJECTIVE To investigate the suitability of intramuscular testosterone undecanoate (TU) injections for substitution therapy in hypogonadal men.
STUDY DESIGN Clinical, open-label, non-randomized trial of 13 hypogonadal men receiving 4 intramuscular injections of 1000mg TU in 4-ml castor oil at 6-week intervals. General wellbeing, sexual parameters, clinical chemistry, hormone levels, prostate size and prostate-specific antigen (PSA) were evaluated over 24 weeks and compared with baseline values.
RESULTS Testosterone serum levels were never found below the lower limit of normal and only briefly after the 3rd and 4th injection above the upper limit of normal, while peak and trough values increased over the 24-week observation period. Oestradiol and dihydrotestosterone followed this pattern, not exceeding the normal limits. No serious side-effects were noted. Slight increases in body weight, haemoglobin, hae- matocrit, prostate volume and PSA, suppression of gonadotrophins as well as increased ejaculation frequency occurred as signs of adequate testosterone substitution.
CONCLUSION Testosterone undecanoate is well tolerated by the patients. The injection intervals can be extended even beyond the 6-week periods chosen in the present study. Altogether, intramuscular testosterone undecanoate appears to be well suited for long-term substitution therapy in hypogonadism and hormonal male contraception.
Introduction
In male hypogonadism, testosterone (T) substitution is required to prevent or reverse the symptoms of androgen deficiency. For this purpose a range of T preparations is available, of which testosterone enanthate (TE) and testosterone cypionate (TC) are most widely used. Intramuscular injections of 200-250 mg have to be administered every 2 weeks to achieve serum T levels above the lower limit of normal (Synder & Lawrence, 1980; Nieschlag & Behre, 1998). Patients dislike the relatively frequent injections and feel uncomfortable due to the high serum T levels occurring shortly after the injections and the relatively low serum T levels before the next injections. While subdermal T implants may last for 4-6 months, they are not well accepted since they require minor surgery for insertion and are occasionally extruded (Jockenhovel et al., 1996; Nieschlag, 1996; Handelsman, 1998). T buciclate has been demonstrated to provide constant serum T levels in the lower normal range for at least 12 weeks in hypogonadal men (Behre & Nieschlag, 1992) and in contraceptive trials (Behre et al., 1995). However, despite its favourable pharmacokinetics and lack of side- effects, its development towards a marketable product lacks progress. Orally administered testosterone undecanoate (TU) provides short-lived serum T levels so that 3 daily doses are required to ensure substitution of hypogonadism (Behre & Nieschlag, 1998). Transdermal T provides physiological serum levels and has demonstrated its suitability for long-term substitution (Behre et al., 1999b). It has particular advantages for the treatment of older hypogonadal men (Nieschlag, 1998). However, patients may dislike the visibility of the patches and the attention this treatment requires. Therefore, a long-acting T preparation is lacking in the spectrum of clinically available substitution modalities.
From studies in China (Wang, 1991) and single-dose pharmacokinetic studies in monkeys (Partsch et al., 1995) and in men (Behre et al., 1999a) it appeared that TU injected intramuscularly might represent such a long-acting T preparation. We report here the results of repeated TU injections in hypogonadal men.
Subjects and methods
Patients
Fourteen hypogonadal men aged 19-57 years were enrolled in the study which was approved by the Ethics Committee of the University and the State Medical Board, Münster. The study was conducted in agreement with the Declaration of Helsinki and in accordance with Good Clinical Practice (GCP). Written informed consent was obtained from each patient.
Baseline serum T levels were below 10 nmol/l in all patients. Previous androgen replacement therapy in 10 of 14 patients was discontinued at least 4 weeks before the study was begun (Table 1). Clinically relevant abnormalities in blood biochemistry, haematology, urinalysis or severe acute or chronic illnesses in the general medical history or alcohol/drug abuse served as exclusion criteria.
Table 1. Age, diagnosis and previous testosterone treatment of hypogonadal men receiving repeated injections of 1000mg TU.

Thirteen patients completed the study while 1 had to interrupt therapy due to reasons unrelated to T treatment. Seven of these patients had primary hypogonadism due to Klinefelter’s syndrome (n = 2), anorchidism after orchidectomy due to bilateral testicular tumours (n = 4) or testicular failure following atrophy (n = 1). The remaining patients had secondary hypogonadism resulting from exstirpation of a craniopharyn-gioma (n = 1), hypopituitarism (n = 2) Kallmann’s syndrome (n = 2) or idiopathic hypogonadotrophic hypogonadism (n = 1) (Table 1).
Testosterone preparation
TU was administered in castor oil at a concentration of 250 mg/ ml. Each injection of 1000 mg (4 ml) was administered intramuscularly. The preparation was provided by Jenapharm GmbH & Co. KG, Jena, Germany (Behre et al., 1999a).
Study design
The study was an open-label, clinical, non-randomized study. During the screening phase all patients were examined 2 weeks and 1 week before treatment started. In addition to physical and genital examination, blood samples were drawn for biochemical, haematological and hormonal investigations. Furthermore, sonography of both testes was performed in the non-orchiectomized patients and all patients underwent sonography of the prostate. A sexual questionnaire provided information about wellbeing and sexual activity before the study. During the treatment phase 1000 mg TU were administered intramuscularly in the musculus gluteus medius on days 0, 42, 84 and 126. The 4-ml injections were given slowly in order to avoid discomfort. Patients were seen at weekly intervals from week 0 to week 30. Blood samples for hormonal measurements were drawn weekly. One week before each injection biochemical blood parameters, haematology and clotting were monitored. On injection days transrectal sonography of the prostate was performed. One week after each dose the injection site was inspected. The observation interval after the 4th injection of 1000 mg testosterone undecanoate lasted for 6 weeks (day 168 of the study) with visits at weekly intervals. After day 168 a detailed hnal examination was performed with physical and genital examination and prostate sonography.
Measurements and assays
Venous blood samples were taken at the intervals described. Samples were separated at 800 g and serum stored at — 20°C for endocrine determinations. Biochemical parameters, haematology and urinalysis were evaluated at the Central Laboratory of the University of Munster.
Serum levels of LH, FSH, SHBG and PSA were determined by highly specihc time-resolved fluoroimmunoassays (Delha, Pharmacia, Freiburg, Germany). The lower detection limits for LH, FSH, SHBG and PSA were 0-12 IU/l, 0-25 IU/l, 6-3 nmol/l and 0-5 μg/l, respectively. The intra- and inter-assay coefficients of variation for LH were 2-1% and 5-6%, FSH 1-6% and 3-8%, for SHBG 1% and 9-7% and for PSA 2-2% and 10-2%, respectively. The normal range in our laboratory for LH is 210 IU/l and for FSH 1-7 IU/l. Serum T was determined using a commercial radioimmunoassay (DSL-4100, Diagnostic Systems Laboratories, Sinsheim, Germany). Intra- and inter-assay coefficients of variation were 5-0 and 12-6%, respectively. The normal range for unextracted serum T is 12-35 nmol/l. DHT was measured by radioimmunoassay (DSL 9600) with intra- and inter-assay coefficients of variation of 4-7% and 5-4%. Oestradiol was measured by highly specific time-resolved fluoroimmunoassays (DELFIA, Pharmacia, Freiburg, Germany) with a lower detection limit of 37 pmol/l. Intra- and inter-assay coefficients of variation were 3-8% and 5-8%, respectively. The upper normal range for oestradiol is 250 pmol/l. All analytical methods were executed and documented in accordance with the principles of Good Laboratory Practice (GLP).
Evaluation of wellbeing and sexual function
For evaluation of psychosexual effects of the treatment, our previously described questionnaire on frequency of morning erections and ejaculations was used (Behre et al., 1992).
Prostate
Prostate size and pattern was assessed before and after the study and on the injection days by transrectal sonography with a 7-5 MHz sector scanner (Siemens Endo-P scanner) (Behre et al., 1994).
Statistics
Significant variations over time of any variable were evaluated by analysis of variance for repeated measures. In case of a general effect over time, values at single time points were analysed in more detail using the Bonferroni multiple comparison test. When necessary, analysis was performed on logarithmically transformed data. P-values < 0-05 were considered significant. Unless otherwise stated, results are given as mean ± SEM.
Results
All patients tolerated the injections well despite the large injection volume. No patient reported any swelling or any induration at the injection site. One patient observed slight redness at the injection site once on day 7 and 2 further patients mentioned mild tenderness on day 49 (7 days after 2nd injection) and on day 91 (7 days after 3rd injection), respectively. No patient observed spontaneous pain, dysfunction or impaired wellbeing. Two patients developed slight facial acne and 1 also on the breast. One patient developed a very mild gynaecomastia and 2 patients observed tenderness of the breasts without gynaecomastia. Three previously untreated patients altered their infantile appearance by development of beard and other sexual hair growth or experienced breaking of the voice.
Testosterone
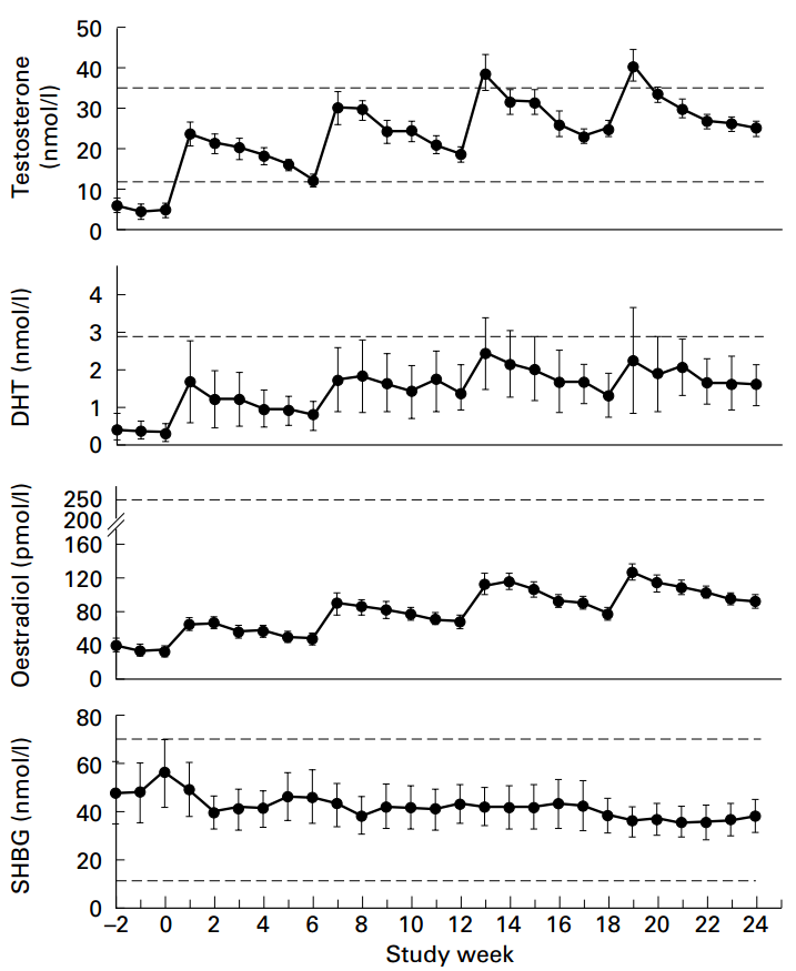
Serum levels of T increased significantly from baseline of 5-3 ± 0-9 nmol/l (day 0) to T levels of 24-3 ± 2-9 nmol/l 1 week after the 1st TU injection (P < 0-001). Thereafter, T levels decreased continuously to 12-4 ± 1-2 nmol/l in week 6 directly before the 2nd injection of TU. Maximal T levels 1 week after the 3rd (37-2 ± 3-9nmol/l) and 4th TU injection (40-8 ± 3-8nmol/l), respectively, were not significantly different. Serum levels 6 weeks after the 3rd (25-0 ± 2-0 nmol/l) and 4th TU injections (25-6 ± 2-1 nmol/l), respectively, were also not significantly different (Fig. 1).

Figure 1. Serum testosterone, dihydrotestosterone (DHT), oestradiol and SHBG serum levels in 13 hypogonadal men before and during substitution therapy with intramuscular testosterone undecanoate. Injections of 1000mg were given at weeks 0, 6, 12 and 18. Values are given as mean ± SEM.
DHT and oestradiol
Serum levels of DHT and oestradiol increased significantly after TU injections (P < 0-001) and essentially followed the serum T pattern. During the entire observation period mean serum levels of both steroids never exceeded the upper limits of normal (Fig. 1).
SHBG
Serum levels of SHBG decreased significantly from 56-4 ± 13-8 nmol/l to 38-1 ± 6-6 nmol/l at the end of the study (P < 0-001) (Fig. 1).
Gonadotrophins
In the 7 patients with primary hypogonadism FSH serum levels were significantly suppressed from 40-0 ± 6-7 U/l on day 0 to 3-1 ± 1-6 U/l at the end of the study (P < 0-001). In parallel, LH levels decreased significantly from 25-5 ± 4-8 U/l on day 0 to 1-5 ± 0-7 U/l at the end of the study (P < 0-001).
Clinical chemistry and haematology
Values from routine clinical chemistry (sodium, potassium, calcium, chloride, albumin, total protein, glucose, alkaline phosphatase, creatinine, ASAT, ALAT, gamma GT, total bilirubin and uric acid as well as prothrombin time and Quick test as clotting tests) did not show clinically relevant changes during the study period. Serum levels of cholesterol (P = 0-01) and HDL cholesterol (P < 0-001) were lowered significantly during testosterone therapy. Triglycerides and LDL cholesterol remained unchanged throughout the study.
Haemoglobin increased significantly from a baseline level of 142 ± 3 g/l to 154 ± 4g/l at the end of the study (P — 0-001). Similarly, haematocrit increased significantly from 42-5 ± 1-1% to 45-7 ± 1-0% (P — 007). Erythrocytes increased significantly from 4-8 ± 0-1X 10~12/l to 5-1 ± 0-1X 10~12/l (P — 0-001).
Body weight
Body weight increased significantly from an initial mean of 82-3 ± 3-8kg (day 0) to 85-8 ± 3-7kg at the end of the study (P < 0-001) (Fig. 2).

Figure 2. Body weight of 13 hypogonadal patients during intramuscular testosterone undecanoate injections, 1000mg given every 6 weeks.
Sexual function
During detailed interviews at each visit patients expressed the subjective impression of improved wellbeing and sexual function. They particularly reported improved emotional stability. According to the standardized questionnaire there was a significant increase of morning erections (2-7 ± 0-7 per week at baseline, 4-4 ± 0-7 at the end of the study; P = 0-003) and ejaculations (1-3 ± 0-4 per week at baseline, 4-5 ± 1-0 at the end of the study; P < 0-001) (Fig. 3).

Figure 3. Mean number of ejaculations per week from 13 hypogonadal men before and during intramuscular testosterone undecanoate injections, 1000mg every 6 weeks.
Prostate
There was a slight, but statistically significant, increase in prostate volume from an initial size of 13-6 ± 2-4 ml to 15-7 ± 2-0 ml at the end of trial (P = 0-031) (Fig. 4). In parallel, PSA levels increased significantly from 0-6 ± 0-3 μg/l on day 0 to maximal levels of 1-2 ± 0-7 μg/l in study week 19 and 1-1 ± 0-6 μg/l at the end of the study (P = 0-003).

Figure 4. Prostate volumes from 13 hypogonadal men before and during intramuscular testosterone undecanoate injections, 1000mg every 6 weeks.
Discussion
In a previous phase-I pharmacokinetic study we found a terminal half-life for serum testosterone of 33-9 ± 4-9 days (mean ± SEM) following the intramuscular injection of 1000 mg TU (Behre et al., 1999a). Extrapolating from these single TU injections we estimated that 6-week injection intervals would be required to substitute hypogonadal patients sufficiently with 1000 mg intramuscular TU injections. The results of the present study show that this dosage scheme provides serum T levels always above the lower limit of normal. In fact, the slowly increasing serum T levels at the end of the injection intervals and just following the next injection indicate that the intervals can be extended even further, probably up to 10 weeks and more. The drastically reduced frequency of the injections, in comparison to TE, makes intramuscular TU a very desirable modality for T substitution, since patients on conventional TE complain most about the inconveniently short intervals between injections. In comparison to the Chinese TU preparations in tea seed oil (Zhang et al., 1998; Behre et al., 1999a), the preparation in castor oil used in the present study provides a longer half-life (i.e. 33-9 ± 4-9 days vs. 23-7 ± 2-7 days) and therefore makes this preparation more desirable than the tea seed oil preparation.
The positive effects of T on mood and emotion are well documented (Hubert, 1990; Wang et al., 1996). Although the repeated TU injections do not result in constant serum T levels as considered ideal for substitution purposes (Nieschlag et al., 1992) the patients on TU did not complain about mood-swings as under TE, but were emotionally stabilized. Similarly, patients substituted by T implants do not complain about emotional instability although T implants produce initially high serum T levels steadily declining thereafter (Handelsman, 1998). Apparently, patients are sensitive to the short kinetic fluctuations produced by TE, but tolerate more extended swings in serum T much better.
Minimal side-effects were noted during the study. Two patients complained about mild acne, 1 in addition about minimal gynaecomastia and 2 further patients about breast tenderness. Serum oestradiol levels increased in parallel to serum T levels and might be responsible for these complaints although serum oestradiol did not exceed the upper limit of normal. With injection intervals extended further the serum oestradiol levels should remain lower and the oestrogenic effects should disappear. The increase in body weight is due to the anabolic effect of T and most probably reflects an increase in lean body mass (Bhasin et al., 1998). Similarly, the slight but significant increase in prostate volume is a specific androgen effect. Since prostate volumes were below the normal range at the beginning of the study, TU resulted in a normalization of prostate volumes, but prostate volumes still remained low. Even longer treatment with TU should not result in supranormal prostate volumes, since long-term treatment with T (Behre et al., 1994; 1999b) or anabolic steroid misuse (Jin et al., 1996) did not cause prostate hypertrophy. It should also be noted that PSA increased only slightly within the normal range, reflecting the normalized function of the organ as seen in other patients on effective substitution (Behre et al., 1994). Similarly, the increase in red blood cell parameters can be interpreted as a shift to normality (von Eckardstein & Nieschlag, 1998). SHBG levels are lower in normal than in hypogonadal men (Anderson, 1974). It is therefore not surprising that effective T substitution of hypogonadal men results in decreased SHBG serum levels. The decrease in SHBG in the presence of high serum T levels indicates that the free serum T probably increases even more than total serum T and that injection intervals in future trials could be extended further.
Summarizing the results of the present study, intramuscular testosterone undecanoate shows an effective therapeutic profile justifying its further development towards a new modality for testosterone substitution in hypogonadal men. The characteristics described here and the prolonged injection intervals also make intramuscular testosterone undecanoate an attractive candidate for hormonal male contraception.
Acknowledgements
We are grateful to Prof. M. Oettel and Dr D. Hubler, Jenapharm GmbH & Co. KG, Jena, Germany, for providing testosterone undecanoate. We thank Nicole Terwort, Martina Niemeier and Karin Fehmer for technical assistance and Susan Nieschlag MA for language editing of the manuscript.
References
Anderson, D.C. (1974) Sex-hormone-binding globulin. Clinical Endocrinology, 3, 69-96.
Bhasin, S., Bross, R., Storer, T.W. & Casaburi, R. (1998) Androgens and muscles. In: Testosterone: action, deficiency, substitution. 2nd edn (eds E. Nieschlag & H.M. Behre), pp. 209-228.
Springer, Berlin. Behre, H.M. & Nieschlag, E. (1992) Testosterone buciclate (20 Aet-1) in hypogonadal men: pharmacokinetics and pharmacodynamics of the new long acting androgen ester. Journal of Clinical Endocrinology and Metabolism, 75, 1204-1210.
Behre, H.M. & Nieschlag, E. (1998) Comparative pharmacokinetics of testosterone esters. In: Testosterone: action, deficiency, substitution. 2nd edn (eds E. Nieschlag & H.M. Behre), pp. 329-348. Springer, Berlin.
Behre, H.M., Nashan, D., Hubert, W. & Nieschlag, E. (1992) Depot gonadotropin-releasing hormone-agonist blunts the androgen- induced suppression of spermatogenesis in a clinical trial of male contraception. Journal of Clinical Endocrinology and Metabolism, 74, 84-90.
Behre, H.M., Bohmeyer, J. & Nieschlag, E. (1994) Prostate volume in testosterone-treated and untreated hypogonadal men in comparison to age-matched normal controls. Clinical Endocrinology, 40, 341349.
Behre, H.M., Baus, S., Kliesch, S., Keck, C., Simoni, M. & Nieschlag, E. (1995) Potential of testosterone buciclate for male contraception: endocrine differences between responders and nonresponders. Journal of Clinical Endocrinology and Metabolism, 80, 2394-2403.
Behre, H.M., Abshagen, K., Oettel, M., Hubler, D. & Nieschlag, E. (1999a) Intramuscular injection of TU for the treatment of male hypogonadism: phase I-studies. European Journal ofEndocrinology, 140, 414-419.
Behre, H.M., von Eckardstein, S., Kliesch, S. & Nieschlag, E. (1999b) Long-term substitution therapy ofhypogonadal men with transscrotal testosterone over seven to ten years. Clinical Endocrinology, 50, 629-635.
Handelsman, D.J. (1998) Clinical pharmacology of testosterone pellet implants. In: Testosterone: action, deficiency, substitution. 2nd edn (eds E. Nieschlag & H.M. Behre), pp. 349-364. Springer, Berlin.
Hubert, W. (1990) Psychotropic effects of testosterone. In: Testosterone: action, deficiency, substitution (eds E. Nieschlag & H.M. Behre), pp. 51-72.
Springer, Berlin. Jin, B., Turner, L., Walters, W.A.W. & Handelsman, D.J. (1996) Androgen or estrogen effects on human prostate. Journal of Clinical Endocrinology and Metabolism, 81, 4290-4295.
Jockenhovel, F., Vogel, E., Kreutzer, M., Reinhardt, W., Lederbogen, S. & Reinwein, D. (1996) Pharmacokinetics and pharmacodynamics of subcutaneous testosterone implants in hyogonadal men. Clinical Endocrinology, 45, 61-71.
Nieschlag, E., Wang, C., Handelsman, D.J., Swerdloff, R.S., Wu, F., Einer-Jensen, N. & Waites, G. (1992) Guidelines for the Use of Androgens. WHO, Geneva.
Nieschlag, E. (1996) Testosterone replacement therapy: something old, something new (Editorial). Clinical Endocrinology, 45, 261-262.
Nieschlag, E. (1998) If testosterone, which testosterone? Which androgen regimen should be used for supplementation in older men? Formulation, dosing, and monitoring issues. In: Therapeutic Perspective - issues in testosterone replacement in oldermen (eds. S. Bhasin, C.J. Bagatell, W.J. Bremner et al.) Journal of Clinical Endocrinology and Metabolism, 83, 3443-3445.
Nieschlag, E. & Behre, H.M. (1998) Pharmacology and clinical uses of testosterone. In: Testosterone: action, deficiency, substitution. 2nd edn (eds E. Nieschlag & H.M. Behre), pp. 293-328. Springer, Berlin.
Partsch, C.J., Weinbauer, G.F., Fang, R. & Nieschlag, E. (1995) Injectable testosterone undecanoate has more favourable pharmacokinetics and pharmacodynamics than testosterone enanthate. European Journal of Endocrinology, 132, 514-519.
Snyder, P.J. & Lawrence, D.A. (1980) Treatment of male hypogonadism with testosterone enanthate. Journal of Clinical Endocrinology and Metabolism, 51, 1335-1339.
von Eckardstein, S. & Nieschlag, E. (1998) Pharmacology, pharmacokinetics and effects/side-effects of different androgen preparations. Aging Male, 1, 28-34.
Wang, L.Z. (1991) The therapeutic effect of domestically produced testosterone undecanoate in Klinefelter syndrome. New drugs. Market, 8, 28-32.
Wang, C., Alexander, G., Berman, N., Salehian, B., Davidson, T., McDonald, V., Steiner, B., Hull, L., Callegari, C. & Swerdloff, R.S. (1996) Testosterone replacement therapy improves mood in hypogonadal men — a clinical research center study. Journal of Clinical Endocrinology and Metabolism, 81, 3578-3583.
Zhang, G.-Y., Gu, Y.-Q., Wang, X.-H., Cui, Y.-G. & Bremner, W.J. (1998) A pharmacokinetic study of injectable testosterone undecanoate in hypogonadal men. Journal of Andrology, 19, 761-768.