E. J. GILTAY AND L. J. G. GOOREN
Research Institute for Endocrinology, Reproduction and Metabolism, University Hospital Vrije Universiteit, 1007 MB, Amsterdam, The Netherlands
Erik J. Giltay, M.D., Department of Endocrinology, Division of Andrology, University Hospital Vrije Universiteit, P.O. Box 7057, 1007 MB, Amsterdam, The Netherlands; E-mail: giltay@dds.nl.
Abstract
To investigate androgen effects on the skin pilosebaceous unit, we studied 21 male-to-female transsexuals and 17 female-to-male transsexuals receiving cross-sex hormones. At baseline and after 4, 8, and 12 months, hair growth was evaluated by the Ferriman-Gallwey score; acne by the Leeds classification; hair growth rate, density, and shaft diameter by image analysis; and sebum production by Sebutape.
In males, estrogens and antiandrogens reduced plasma testosterone to below 1.0 nmol/L. Though all parameters of hair growth and sebum production declined, facial hair growth continued. After 4 months, the decrease in shaft diameter had reached its maximum and seemed inversely associated with changes in hair growth length and density. In females, testosterone increased hair growth rate and sebum production. After 12 months, hairs on the cheek and abdomen had not yet reached diameters found in males. 5α-Androstane-3α,17β-diol glucuronide levels were only weakly associated with hair growth and sebum production. In conclusion, administration of estrogens and antiandrogens affects length and diameter of hairs at different rates. In the virtual absence of androgens, hair growth continues but at a slower rate. In women, after 12 months of androgen administration, hair diameters have not reached values of adult men.
Introduction
SEX STEROIDS (in particular androgens, but also estrogens) have profound effects on the skin pilosebaceous unit: both the epithelial cells of the sebaceous gland and the mesenchymal cells of the hair follicle dermal papilla contain androgen receptors (1). For most of its actions on the skin, testosterone is converted into 5α-dihydrotestosterone by 5α- reductase. Only a small fraction of 5α-dihydrotestosterone reenters the plasma, whereas a larger portion is converted to 5α-androstane-3α,17β-diol glucuronide (Adiol G) (2), which is considered an indicator of peripheral tissue androgen action and metabolism.
Two major clinical conditions of the skin (hirsutism and acne) may result from an excess peripheral androgenic activity and can be treated with antiandrogenic medication (3-7). Hirsutism, an excessive body hair growth with an adult male pattern affecting approximately 5% of women, can be idiopathic (without elevated peripheral androgen levels), drug-induced, or associated with excessive ovarian and/or adrenal androgen production (8). Acne vulgaris, a skin disease affecting nearly 80 percent of persons at some time between the ages of 11 and 30 yr (6), is characterized by increased sebum production, cornification (obstructing the pilosebaceous follicle by desquamated epithelial cells), mi-crobes (e.g. Propionibacterium acnes), and inflammation (6, 9). It may occur predominantly on the face (99%) and, to a lesser extent, on the back (60%) and chest (15%) (9). Sebum pro-duction by the sebaceous glands is under androgen regulation, clearly demonstrated by the lack of sebum production in androgen-insensitive subjects (10) but does not completely depend on the conversion of testosterone into 5α-dihydrotes- tosterone, evidenced by the lack of suppression in subjects with 5α-reductase deficiency (10). Many studies, but not all (11), have found associations between elevated levels of Adiol G and hirsutism and acne scores in women (12-15), and chest hairiness and acne scores in men (16). Possible explanations for the correlation found between these disorders and this raised androgen conjugate are increased levels of 5α-reductase (17, 18) and (adrenal) androgen precursors (11), or lower levels of cytochrome P-450 aromatase (18), which converts testosterone into 17β-estradiol in the skin pilosebaceous unit. Additional variability in clinical expression may relate to differences in the number and properties of androgen receptors, which may increase skin sensitivity to androgens (19, 20).
We were able to monitor, in detail, the effects of androgen deprivation in male-to-female (M->F) and androgen admin-istration in female-to-male (F->M) transsexuals (21), who requested hormonal induction of secondary sex characteristics of the opposite sex. We sought to clarify: 1) the effects of sex steroids on objective parameters of hair growth and sebum production; 2) their relationship in time after androgen deprivation/administration; and 3) the relationship between these parameters and Adiol G levels.
Subjects and Methods
Subjects
We included 21 M->F (all white; median age, 30 yr; range, 20 to 44 yr) and 17 F->M transsexuals (14 white; median age, 25 yr; range, 18 to 37 yr). At baseline, the body mass index (BMI) was 22.0 ± 3.1 kg/m2 (mean ± SD) in M->F and 23.9 ± 4.3 kg/m2 in F->M transsexuals; 1 M->F and 2 F->M transsexuals were overweight (BMI > 28.0 kg/m2).
A complete medical history and physical examination revealed no endocrine diseases, except for one M->F transsexual, who was treated with insulin injections because of insulin-dependent diabetes mellitus. Hair growth and sebum production measurements were performed before and again after 4,8, and 12 months of cross-sex hormone administration, all by a single observer (E. J. Giltay). M->F transsexuals were treated with oral ethinyl estradiol, 100 μg/day (Lynoral, Organon, Oss, The Netherlands; n = 10) or transdermal 17β-estradiol (Estraderm TTS 100, Ciba-Geigy,Basel,Switzerland;n = 11),both incombinationwith cypro- terone acetate (CA), 100 mg/day (Androcur, Schering AG, Berlin, Germany), which is a progestational compound with androgen receptorblocking capacities. F->M transsexuals were all treated with im testosterone esters (Sustanon, Organon), 250 mg/2 weeks. One M->F transsexual reported intake of several tablets of ethinyl estradiol before baseline. To suppress their menstruation, 1 F->M transsexual had used oral contraception pills continuously until baseline, and 1 F->M transsexual had used oral contraception pills continuously until V2 yr before baseline; in all other subjects, there was no clinical or laboratory evidence of use of sex hormones for 3 yr or more before baseline. All but one of the F->M transsexuals had had regular menstrual cycles (26-35 days) before cross-sex hormone administration; endocrine measurements were performed in the follicular phase of the menstrual cycle (4-13 days after the onset of the preceding menstrual period) at baseline. Eight- and 12-month measurements were not obtained in 1 M->F and 1 F->M transsexual, and some other measurements could not be obtained successfully for failed compliance with the shaving protocol or absence of terminal hairs on prefixed skin areas. The lean body mass and the total body fat were estimated using bioelectrical impedance analysis (BIA 101/S, RJL Systems, Clinton Twp, Detroit, MI), using the manufacturer's sex-specific equations. The investigation conformed with the principles outlined in the Declaration of Helsinki. Informed consent was obtained from all subjects, and the study was approved by the Ethical Review Committee of the University Hospital Vrije Universiteit.
Endocrine measurements
In all subjects, fasting venous blood samples were taken in the morning, between 0900 h and 1200 h, at baseline and after 4 and 12 months of cross-sex hormone administration. Standardized RIAs were used to determine serum levels of testosterone (Coat-A-Count, Diagnostic Products Corporation, Los Angeles, CA) and 17β-estradiol (Sorin Biomedica, Saluggia, Italy). To assess peripheral androgen activity, we measured the serum level of AdiolG (2) by an RIA (DSL, Webster, TX). Immunometric luminescence assays were used to determine levels of FSH (Amerlite, Amersham Pharmacia Biotech, UK) and LH (Amerlite, Little Chalfont, UK).
Hirsutism and hair growth evaluation
Degree of hair growth and distribution were subjectively assessed according to the Ferriman and Gallwey method (22) with which 11 sites (lip, chin, chest, upper back, sacroiliac region, upper and lower abdomen, arm and back of forearm, thigh, and leg) were graded (0 = none, 1 = slight, 2 = moderate, 3 = dense, and 4 = very dense). These were performed in conjunction with the endocrine measurements at baseline and after 4, 8, and 12 months of cross-sex hormone administrations. Forearm and leg skin scores are presented separately as the so-called nonhormonal areas, whereas the Ferriman and Gallwey score results from the summation of the other 9 scores, indicating the androgen- dependent area (22). A score for the androgen-dependent area of more than 7 was considered indicative for hirsutism.
In addition, 5 days before each assessment, the patient was asked to shave, in the morning, prefixed skin areas in front of the left ear and above the umbilicus, at home, using a safety-razor. During the evaluation, photographs were taken of those two skin areas with a camera (Chinon, CM-5, Suwa City, Japan) fitted with a macro lens (SMC Pen- tax-A, Macro, 1:2.8, 50 mm) (Fig. 1). The area, the date, and the patient reference code were printed at the bottom of each picture (by Chinon, Info back-2, DP-520). The magnified photographs were scanned by Viewstation AS6E (v1.3.2., Ultima International, Artec Electronics GmbH, Berlin, Germany) into a personal computer (AuthenticAMD, AMD-K6 3D processor). The averaged length of 10 flattened hairs was divided by the shaving interval (normally 5 days) to calculate the hair growth rate per day. We measured the number of terminal hair follicles (using the marquee option) and the length of hairs (using the measure tool in Photoshop, v5.0; Adobe Systems Incorporated, San Jose, CA) and, subsequently, converted the area size into actual square centimeters and the hair length into actual millimeters. The number of terminal hair follicles was divided by the surface of the area (of approximately 2 cm2) to yield the hair density per square centimeter.

Figure 1. The photo camera used for hair growth and sebum production measurements had a plastic plate fixed ± 8 cm in front of the lens by means of a frame fitted to the camera assembly to flatten the hairs. As a standard reference, the plastic plate had a ruler on the surface in contact with the skin. Two flashlights were fixed on the frame at an angle of 45 degrees to the plastic plate.
From the same prefixed areas, in front of the left ear and above the umbilicus, 5 or more hairs were shaven and fixed by cyanoacrylate (Sicomet, Henkel, Germany) to glass slides for later analysis. The shaft diameters of these 5 randomly chosen hairs were measured at the largest diameter and then averaged. This was done semiautomatically with a microscope equipped with a drawing tube (Leitz, Wetzlar, Germany), cursor and digitizing tablet, connected to a personal computer (Carl Zeiss, Oberkochen, Germany) using Osteoplan software (Carl Zeiss Kontron Instruments Ltd. Image Analysis Division, Oberkochen, Germany). The intraobserver variability of 10 hair measurements, assessed on randomly chosen time-points and in randomly chosen subjects, was: 6.5% and 10.1% for the hair growth rate on the cheek and upper abdomen; 15.7% and 13.6% for the hair density on the cheek and upper abdomen; and 9.5% and 12.1% for the hair diameter on the cheek and upper abdomen, respectively.
Acne and sebum production evaluation
Clinical assessment of acne was performed on the subjects' face and back (posterior part of the neck down to the waist) according to the Leeds' classification (23) (0-10); grades 0.25-0.75 represent physiological acne, and grades 1.0 and above represent clinical acne. TheSebutape technique (CuDerm Corp., Dallas, TX) (24, 25) provides information about sebaceous gland function. It consists of a hydrophobic, polymeric film that measures sebum production through the use of air-filled microspores. When each active sebaceous gland pours out a certain amount of sebum, the film becomes transparent because the numerous tiny air-filled microspores in the film become filled with sebum. After thorough cleaning with alcohol swabs, areas in the midline of the forehead, nose, chin, and back were tested because, at these sites, sebaceous glands are largest and most numerous (9). A sebutape patch was affixed for exactly 1 h. Afterwards, sebutape patches were photographed, with black background, by the camera described above (Fig. 1), and the pattern of sebum droplet depositions was scored according to the reference card (grades 0 -5 with increasing sebum levels). Because skin temperature may influence sebum excretion rate (25), an electronic ther-mometer (MD3040, Beckmann + Egle, Kernen, Germany) was used to assess skin temperature on the forehead, and sebum production was measured in a temperature-controlled room.
Statistical analysis
Data are mean ± SD or median (interquartile range), based on available cases. All other analyses are based on complete cases. In the M->F and the F->M groups separately, the ANOVA test for repeated measurements or Friedman's two-way ANOVA was used to explore the effects of cross-sex hormones on variables of interest. To compare 12- month values in F->M transsexuals with baseline values in M->F transsexuals, Student's t tests for independent samples were used. Absolute changes, between base-line and 12 months, were correlated using partial correlation coefficients, adjusted for the biological sex (and testosterone levels).
To explore changes over time in relation to Adiol G levels, we created mean standard deviation scores for hair growth and for sebum production for each subject. This approach was used to reduce the influences of biological variability of each measure and to reduce the number of associations explored (26). For each subject, each absolute change (baseline vs. 12 months) was expressed as standard deviations of difference from the mean. If values were missing, the mean was substituted. The scores were calculated as the mean of these standard deviation scores as follows: hair growth score = (Ferriman & Gallwey score +cheek hair growth rate + upper abdomen hair growth rate + cheek hair density + upper abdomen hair density + cheek hair diameter + upper abdomen hair diameter)/7; and sebum production score = (Leeds acne-score of face + Leeds acne-score of back + forehead sebutape score + nose sebutape score + chin sebutape score + back sebutape score)/6.
If terminal hairs were absent on prefixed skin areas, hair growth rate and hair density were considered zero. If hormonal values were below the lower limit of detection, the value of that lower limit was used for statistical calculations (for testosterone, 1.0nmol/L;for LH, 0.3 IU/L;for FSH, 0.5 IU/L). A two-tailed P-value of less than 0.05 was considered statistically significant. The software used was SPSS, Inc. for Windows 8.0 (Chicago, IL).
Results
Endocrine and body composition measurements
After estrogen plus antiandrogen administration to M->F transsexuals, serum levels of total testosterone, Adiol G, LH, and FSH were significantly suppressed, mostly to undetectable levels for testosterone, LH, and FSH (Table 1). The ethinyl estradiol that had been administered could not be detected by the assay used, but there were clear physical signs of estrogenic effects (as gynecomastia) and strong changes in body composition, as evidenced by an increased BMI and total body fat (Table 1) in these subjects. After parenteral testosterone administration to F->M transsexuals, the serum levels of total testosterone and Adiol G significantly increased, which was paralleled by an increased BMI and lean body mass (Table 2). Serum levels of 17ß-estradiol, LH, and FSH were significantly suppressed (Table 2).
Table 1. Body composition, endocrine, hair, and sebum parameters at baseline and after cross-sex hormone treatment in 21 M->F transsexuals.

Hirsutism and hair growth
After estrogen plus antiandrogen administration to male subjects, male hair growth subsided in all subjects. The Fer- riman and Gallwey score decrease progressively from median 21 (at baseline) to 10 (after 12 months) (Table 1), yet only three subjects (15%) had scores of 7 or less. The hair diameter fell sharply within 4 months and remained rather constant thereafter, whereas the median growth rate and density on the cheek and upper abdomen dropped only slowly but progressively(Fig. 2 and Table 1). There was no statistically significant difference in any of the endocrine or hair mea-surements between the groups of M->F transsexuals treated with either oral ethinyl estradiol or transdermal 17β-estra- diol, who both received treatment with the antiandrogen CA.
Table 2. Body composition, endocrine, hair, and sebum parameters at baseline and after cross-sex hormone treatment in 17 F->M transsexuals.

After androgen administration to female subjects, facial and body hair growth increased in all subjects, with a considerable variability of response. The Ferriman and Gallwey score increased progressively from median 2 (at baseline) to 16 (after 12 months), with the absolute change ranging from 6-21 (Table 2). After 4 months of testosterone treatment, already 14 of 17 F->M transsexuals (82%) had scores above 7, which indicates hirsutism in biological women. After 12 months, 15 F->M transsexuals (94%) had scores above 7. Especially the skin areas that already exhibited terminal hairs at baseline showed a marked and fast (within 4 months) increase in hairiness scores: leg, from median 1 to 3; and forearm, from median 1 to 2. The median hair growth rate, density, and diameter increased progressively over the 12 months (Fig. 3 and Table 2).

Figure 2. Photographs obtained from a 41-yr-old M->F transsexual subject who was treated with estrogens plus antiandrogens (oral ethinyl estradiol, 100 μg/day; plus CA, 100 mg/day). Hair growth (5 days after shaving) and skin sebum production (by Sebutape) parameters can be assessed at baseline and after 4, 8, and 12 months of estrogens plus antiandrogens administration.

Figure 3. Photographs obtained from a 24-yr-old F->M transsexual subject who was treated with testosterone (testosterone esters, 250 mg/2 weeks, im). Hair growth (5 days after shaving) and skin sebum production (by Sebutape) parameters can be assessed at baseline and after 4, 8, and 12 months of testosterone administration.
After 12 months of testosterone administration to F->M transsexuals, the mean hair-shaft diameter on the cheek and abdomen had not reached those values of M->F transsexuals at baseline (for both, P < 0.001 by f-tests). Compared with baseline values in M->F transsexuals, the hair growth rate and hair density were slightly lower on the cheek (P = 0.01 and P = 0.04) but did not significantly differ (P = 0.16 and P = 0.51) on the abdomen in F->M transsexuals after 12 months of treatment.
Acne and sebum production
After 4 months of estrogen plus antiandrogen administration to male subjects, acne subsided in all six subjects with physiological acne at baseline. The sebutape scores decreased sharply in all four skin areas in all subjects already within 4 months (Fig. 2 and Table 1). None of the acne or sebum production scores showed statistically significant differences between the groups of M->F transsexuals treated with either oral ethinyl estradiol or transdermal 17β-estradiol.
At baseline, 5 F->M transsexuals had facial physiological acne and 3 F->M transsexuals had physiological acne on the back, according to the Leeds classification. After 4 months of androgen administration to female subjects, facial physio-logical acne was present in 15 (94%). Most remarkable was the acne development on the back at 4 months, which was in the physiological range in 14 (88%) and clinical in 1 subject. Sebutape scores slowly and progressively increased in all subjects (Fig. 3 and Table 2). Skin temperature increased moderately over time (Table 2), but absolute changes in skin temperature did not correlate significantly with any change in sebutape scores.
Intercorrelations and correlations with serum Adiol G levels
Intercorrelation data of absolute changes in hair parameter in both M->F and F->M transsexuals are shown in Table 3. In both groups, changes in hair growth rate and hair density correlated positively. After antiandrogen plus estrogen ad-ministration in M->F transsexuals, hair growth declined; but correlations between (on the one hand) hair growth rate and hair density and (on the other) hair-shaft diameter were less strong or even inverse (Table 3). Changes in the subjective Ferriman and Gallwey score were only weakly and, in M->F transsexuals, inconsistently associated with changes in ob-jective parameters of hair growth.

Figure 4. Scatter plots showing the association between the absolute changes, at 12 months vs. baseline, of serum level of Adiol G and those absolute changes of hair growth rate, density, and diameter. Partial correlation coefficients, adjusted for biological sex, suggest that hair growth rate and hair density are, but hair diameter is not, related to Adiol G.
Table 3. Intercorrelation data of absolute changes, at 12 months, of hair parameters in M->F transsexuals and in F->M transsexuals.

Figures 4 and 5 show the partial correlation coefficients between absolute changes of 12-month vs. baseline values in serum Adiol G levels and in parameters of hair growth and sebum production. The partial correlation coefficients, ad-justing for the biological sex, of the absolute change in Adiol G levels showed weak associations, with the absolute changes in the hair growth score (partial r = 0.29; r2 = 8,3%; P = 0.097) and the sebum production score (partial r = 0.30; r2 = 9.0%; P = 0.086). The changes in the hair growth and sebum production scores were not significantly associated (partial r = 0.12; P = 0.49).
The changes in serum levels of Adiol G and testosterone were strongly intercorrelated (partial r = 0.92; r2 = 85%; P < 0.001). When adjusting for both the biological sex and testosterone levels in partial correlation coefficients, the association of changes in Adiol levels with changes in the hair growth score was weakened (partial r = 0.23; P = 0.20), whereas the association with changes in the sebum production score was somewhat strengthened (partial r = 0.34; P = 0.061).
Discussion
In M->F transsexuals, the pilosebaceous unit was inhibited in its function on estrogen plus antiandrogen administration, as has been shown in hirsute women (7, 27). Estrogen plus anti-androgen administration decreases hirsutism scores, hair growth rate, and hair density. Interestingly, the decrease in hair-shaft diameter had already reached its maximum after 4 months and did not progress any further. Similar changes, over time, were found in hair growth measurements on the abdomen (as a measure of the truncal hair growth) and on the cheek (as a measure of facial hair growth), as evidenced by strong intercorrelations (Table 3). The clinical observation that beard growth, as compared with the hair growth on the abdomen, is relatively resistant to androgen suppression may be explained by the larger facial hair density and hair-shaft diameter, and, therefore, most patients find facial hair reduction upon androgen deprivation rather slow. Remarkably enough, whereas androgen deprivation led to a decrease of hair diameter, growth of hair length was relatively preserved, pointing to a differential regulation of growth of hair length and hair width. Although skin sebum production dropped quickly to almost undetectable levels, male hair growth nevertheless remained substantial (even after 12 months), in spite of the rapid and considerable suppression of androgenicity in M->F transsexuals. Thus, circulating androgens do not seem necessary to sustain some degree of male hair growth once it has been established. This is consistent with our clinical observation in M->F transsexuals, who (years after orchiectomy) continue to have beard growth, with thinner hairs though.
In F->M transsexuals, testosterone administration induced hirsutism in most subjects already within 4 months, though with a wide range of variation. Our findings indicate that virilization probably occurs rather rapidly in women with an androgen-secreting adrenal or ovarian tumor. The relatively slow increase in hair diameter in F->M transsexuals, on testosterone administration, is reminiscent of the developing beard growth in male puberty. Beard hairs are initially rather thin as well (so-called baby fuzz). Physiolog-ical acne developed in most F->M transsexuals, remarkably enough to a similar extent in the face and on the back, which may be ascribed to androgenic stimulation of sebocyte dif ferentiation, proliferation, turn-over, and lipogenesis (9, 28). However, sebum production scores were much lower on the back, as compared with the face, which may point to the importance of the other factors [cornification, microbes, and inflammation (9)] in the etiology of acne and may relate to putative immunomodulatory effects of androgens (29).

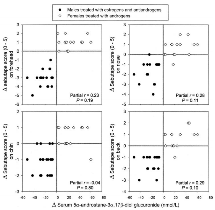
Figure 5. Scatter plots showing the association between the absolute changes, at 12 months vs. baseline, of serum level of Adiol G and those absolute changes of sebum production (by Sebutape). Partial correlation coefficients, adjusted for biological sex, suggest that sebum production on the nose and back are related to Adiol G.
The pilosebaceous unit in the skin is sensitive to androgens and can convert testosterone into its 5α-reductase product 5α- dihydrotestosterone and, subsequently, into Adiol G (17, 30). Serum levels of Adiol G are considered a marker of this pe-ripheral metabolic pathway (12-16). However, Adiol G levels were only weakly, or even inconsistently (11), associated with scores for hirsutism in most studies. Accordingly, in our study, changes in Adiol G were only weakly associated with both changes in hair growth and sebum production parameters, indicating that, besides the above mentioned metabolic path-way, other (possibly androgen receptor and postreceptor) mechanisms play a more important role in the sex steroid sen-sitivity of the pilosebaceous unit. Our experimental data show that serum levels of Adiol G may predict only about 8% of the variability in hair growth and 9% in sebum production. More-over, the strong association between serum testosterone and Adiol G levels, in our population of healthy, relatively young, transsexual men and women, suggests that an increased or a decreased availability of precursor androgens (i.e. testosterone) largely determined androgen metabolism in peripheral tissue. In addition, changes in adrenal androgens (31), not measured in the present study, may account for the changes found in Adiol G levels (11).
Some limitations of our study should be noted. We did not include a control group because of the nature of the treatment indication, and that clinical evaluation could not be done blinded. Differentiation between vellus and terminal hairs was difficult to assess, especially in the F->M transsexuals, and the duration of the anagen phase and the degree of pigmentation and medullation were not measured. Furthermore, we asked the M->F transsexuals to refrain from hair removal (by shaving, tweezing, waxing, or electrolysis) for 3 days or more before their visit to the clinic, but their compliance cannot always be guaranteed. The absence of more strong and statistically significant correlations between Adiol G and hair and sebum measurements may be attributable to a type-2 statistical error, in view of the small number of subjects tested, and to the marked variability of hair and sebum measurements. Adiol G is also produced by sources other than the pi- losebaceous unit, such as the adrenals and the liver; he-patic 5α-reductase is the major determinant of the conversion of precursors to Adiol G (2). There are differences of opinion about the value of photography in assessment of hirsutism, but some studies report satisfactory results (27,32). However, this is, to the best of our knowledge, the first experimental study that reports on the effects of androgen administration, in women, on the pilosebaceous unit in the skin. Moreover, measurements of hair growth and sebum production were performed by a single observer.
In conclusion, estrogens plus antiandrogens in biological males block circulating androgens and sebum production almost completely, but inhibit hair growth only slowly. A strong reduction in hair-shaft diameter was the first sign of androgen deprivation, reaching its maximum already after 4 months. Changes in hair-shaft diameter were inversely as-sociated with hair growth rate. Testosterone administration to biological females increases sebum production and induces hirsutism and physiological acne already after 4 months. After 12 months of androgens exposure, the hair diameter had not yet reached the value found in adult eugo- nadal men. The facial and body hair diameter is particularly sensitive to androgen deprivation, whereas only prolonged androgen administration (>12 months) might produce an adult male hair diameter. We showed experimentally that there is a wide range of sensitivity of the pilosebaceous unit to androgens; changes in serum levels of Adiol G predict only a small fraction of this variability of the sensitivity of the pilosebaceous unit to androgens.
Acknowledgements
We thank Jos A. J. Megens for his excellent assistance in the logistics of this study, the staff of the Endocrinology Laboratory (head: Dr. Corrie Popp-Snijders) for performing endocrine measurements, and Cor P. Klok (Department of Clinical Physics and Informatics) for assembly of the photo camera.
References
Choudhry R, Hodgins MB, Van Der Kwast TH, Brinkmann AO, Boersma WJA.lisation of androgen receptors in human skin by immunohis-tochemistry: implications for the hormonal regulation of hair growth, sebaceous glands and sweat glands. J Endocrinol. 133:467-475.
Rittmaster RS. 1993 Androgen conjugates: physiology and clinical significance. Endocr Rev. 14:121-132.
Marynick SP, Chakmakjian ZH, McCaffree DL, Herndon JH. 1983 Androgen excess in cystic acne. N Engl J Med. 308:981-986.
Azziz R, Ochoa TM, Bradley EL, Potter HD, Boots LR. 1995 Leuprolide and estrogen vs. oral contraceptive pills for the treatment of hirsutism: a prospective randomized study. J Clin Endocrinol Metab. 80:3406-3411.
Heiner JS, Greendale GA, Kakakami AK, et al. 1995 Comparison of a go-nadotropin-releasing hormone agonist and a low dose oral contraceptive given alone or together in the treatment of hirsutism. J Clin Endocrinol Metab. 80:3412-3418.
Leyden JJ. 1997 Drug therapy: therapy for acne vulgaris. N Engl J Med. 336:1156-1162.
Venturoli S, Marescalchi O, Olombo FM, et al. 1999 A prospective randomized trial comparing low dose flutamide, finasteride, ketoconazole, and cypro- terone acetate-estrogen regimens in the treatment of hirsutism. J Clin Endocrinol Metab. 84:1304-1310.
Rittmaster RS, Loriaux DL. 1987 Hirsutism. Ann Intern Med. 106:95-107.
Ebling FJG, Cunliffe WJ. 1992 Disorders of the sebaceous glands. In: Champion RH, Burton JL, Ebling FJG, eds. Textbook of dermatology. 5th ed. Oxford: Blackwell Scientific Publications; 1699-1744.
Imperato-McGinley J, Gautier T, Cai L-Q, Yee B, Epstein J, Pochi P. 1993 The androgen control of sebum production. Studies of subjects with dihydrotestosterone deficiency and complete androgen insensibility. J Clin Endocrinol Metab. 76:524-528.
Pang S, Wang M, Jeffries S, Riddick L, Clark A, Estrada E. 1992 Normal and elevated 3α-androstanediol glucuronide concentrations in women with various causes of hirsutism and its correlation with degree of hirsutism and androgen levels. J Clin Endocrinol Metab. 75:243-248.
Horton R, Hawks D, Lobo RA. 1982 3n,17ß-androstanediol glucuronide in plasma, a marker of androgen action in idiopathic hirsutism. J Clin Invest. 69:1203-1206.
Lookingbill DP, Horton R, Demers LM, Egan N, Marks JG, Santen RJ. 1985 Tissue production of androgens in women with acne. J Am Acad Dermatol. 12:481-487.
Serafini P, Lobo RA. 1985 Increased 5α-reductase activity in idiopathic hirsutism. Fertil Steril. 43:74-78.
Kirschner MA, Samojlik E, Szmal E. 1987 Clinical usefulness of plasma androstanediol glucuronide measurements in women with idiopathic hirsutism. J Clin Endocrinol Metab. 65:597-601.
Lookingbill DP, Egan N, Santen RJ, Demers LM. 1988 Correlation of serum 3u-androstanediol glucuronide with acne and chest hair density in men. J Clin Endocrinol Metab. 67:986-991.
Serafini P, Ablan F, Lobo RA. 1985 5u-Reductase activity in the genital skin of hirsute women. J Clin Endocrinol Metab. 60:349-355.
Sawaya ME, Price VH. 1997 Different levels of 5α-reductase type I and II, aromatase, and androgen receptor in hair follicles of women and men with androgenetic alopecia. J Invest Dermatol. 109:296-300.
RandallVA, Thornton MJ, Messenger AG. 1992 Cultured dermal papilla cells from androgen-dependent human follicles (e.g. beard) contain more androgen receptors then those from non-balding areas. J Endocrinol. 133:141-147.
Vottero A, Stratakis CA, Ghizzoni L, Longui CA, Karl M, Chrousos GP. 1999 Androgen receptor-mediated hypersensitivity to androgens in women with nonhyperandrogenic hirsutism: skewing of X-chromosome inactivation. J Clin Endocrinol Metab. 84:1091-1095.
Gooren L. 1990 The endocrinology of transsexualism: a review and commentary. Psychoneuroendocrinology. 15:3-14.
Ferriman D, Gallwey JD. 1961 Clinical assessment of body hair growth in women. J Clin Endocrinol Metab. 21:1440-1447.
Burke BM, Cunliffe WJ. 1984 The assessment of acne vulgaris - the Leeds technique. Br J Dermatol. 111:83-92.
Nordstrom AK, Schmus HG, McGinley KJ, Leyden JJ. 1986 Measurement of sebum output using a lipid absorbent tape. J Invest Dermatol. 87:260-263.
Pierard GE, Pierard-Franchimont C. 1992 The sebutape technique for monitoring androgen dependent disorders. Eur J Med. 1:109-112.
O'Brien PC. 1984 Procedures for comparing samples with multiple end points. Biometrics. 40:1079-1087.
Jones DB, Ibraham I, Edwards CRW. 1987 Hair growth and androgen responses in hirsute women treated with continuous cyproterone acetate and cyclical ethinyl estradiol. Acta Endocrinol (Copenh). 116:497-501.
Mesquita-Guimaraes J, Coimbra A. 1981 The effect of sexual hormones on the lipid and proteinaceous secretion of the rat preputial sebaceous gland. Arch Dermatol Res. 270:325-331.
Olsen NJ, Kovacs WJ. 1996 Gonadal steroids and immunity. Endocr Rev. 17:369-384.
Paulson RJ, Serafini PC, CatalinoJA, Lobo RA. 1986 Measurements of 3α,17ß- androstanediol glucuronide in serum and urine and the correlation with skin 5u-reductase activity. Fertil Steril. 46:222-226.
Polderman K, Gooren LJG, Van der Veen EA. 1995 Effects of gonadal androgens and oestrogens on adrenal androgen levels. Clin Endocrinol (Oxf). 43:415-421.
Holdaway IM, Fraser A, Sheeman A, Croxson MS, France JT, Ibbertson HK. 1985 Objective assessment of treatment response in hirsutism. Horm Res. 22:253-259.