Hermann M. Behre, Sigrid von Eckardstein, Sabine Kliesch and Eberhard Nieschlag
Institute of Reproductive Medicine of the University (WHO Collaborating Centre for Research in Human Reproduction), Münster, Germany
Prof. Dr E. Nieschlag, Institute of Reproductive Medicine of the University, Domagkstr. 11, D-48129 MUnster, Germany. Fax: + 49 251835 6093; E-mail: nieschl@uni-muenster.de.
Abstract
OBJECTIVE Testosterone (T) substitution of hypogonadal men by conventional intramuscular injection of T esters is not considered optimal because it induces unphysiologically fluctuating serum T levels. In contrast, scrotal T patches produce normal serum (T) levels mimicking diurnal variations. In order to assess the quality of this new form of T substitution we followed hypogonadal men treated by transdermal T up to 10 years.
PATIENTS Eleven men aged 35 9 ± 9 8 years (mean ± SD) at the beginning of the study were treated with transscrotal T patches (Testoderm®) because of primary (n= 4) or secondary (n = 7) hypogonadism. Clinical examinations were performed every 3 months during the first 5 years and every 6 months thereafter. All 11 patients were seen for 7 years and some for longer periods: eight for 8 years, six for 9 years and four for 10 years.
MEASUREMENTS AND RESULTS With daily application of one patch T levels rose from 5 3 ± 13nmol/l (mean ± SE) to 16 7 ± 2 6nmol/l at month 3 and remained in the normal range throughout treatment. Serum 5α-dihydrotestosterone (DHT) rose from 13 ± 0 4nmol/l to 3 9 ± 14nmol/l and oestradiol from 52 3 ± 9 3 to 713 ± 9 6 pmol/l and remained stable without significant variations throughout the observation period. Patients reported absence of local side- effects except for occasional itching. No relevant changes occurred in clinical chemistry, including total cholesterol levels and triglycerides. Haemoglobin and erythrocyte counts remained normal. Bone density measured by QCT increased slightly from 1136 ± 54 to 1297±93mg/cm3 during the observation period (P = 0 028). In the nine patients aged < 50 years prostate volumes showed a small but insignificant increase from 168 ± 15 to 188±21ml during transscrotal T therapy. In the two older patients prostate volume remained constant or decreased slightly during T therapy after an initial increase in the previously untreated patient. Prostate specific antigen levels were constantly low in all patients.
CONCLUSION Transscrotal testosterone patches are well-accepted and safe in long-term testosterone sub-stitution therapy for male hypogonadism.
Introduction
Testosterone (T) replacement therapy is usually life-long in hypogonadal men. Although these patients are seen regularly by the attending endocrinologists over many years, only few reports on the long-term follow-up of hypogonadal men on T substitution have been published. In such reports ‘long-term’ refers to periods as short as 3 months (Vermeulen & Deslypere, 1985) and not longer than 3 years (Burris et al, 1992; Arver et al., 1997; Hajjar et al., 1997). Most publications on T treatment deal with pharmacokinetics of conventional or new preparations and follow patients for only weeks or up to a year (for review see Nieschlag & Behre, 1998; Behre & Nieschlag, 1998). From the lack of real long-term follow-up of hypogonadal men it could be speculated that T treatment presents no problems and can be regarded as safe therapy; there appears to be no reason for scrutinizing patients over many years or reporting side-effects after long-term use. One longterm study, covering a 10-year (and thus the longest) observation period, was designed to monitor possible side- effects of T undecanoate then recently introduced and orally effective; indeed, it showed that there were no abnormalities in clinical chemistry and urine flow from patients receiving 80200 mg T undecanoate daily during follow-up (Gooren, 1994).
For the most widely used T treatment, the injectable T esters, T enanthate and cypionate, which have been in clinical use since the 1950s, safety and biological effectiveness were ascertained by experience. However, this situation is different for new T preparations exploiting various routes of application and resulting in patterns of steroid metabolites unlike those produced by conventional preparations. For example, the transdermal T patch applied to scrotal skin has raised concern because, relative to the low- to medium-range serum T levels, high serum 5α-dihydrotestosterone (DHT) levels are produced, probably caused by high local 5α-reductase activity. While the low- to medium-range T levels mimicking the physiological diurnal rhythm of serum T (Bals-Pratsch etal, 1986;Findlay etal., 1987) are a desirable feature of this treatment modality, it was speculated that the relatively high serum DHT levels may affect the prostate adversely (Editorial, 1989) and that the circulating androgen levels would not be sufficient to induce and maintain normal bone density. We therefore took the opportunity to follow 11 hypogonadal men continuously treated with the transdermal testosterone system Testoderm® for 7-10 years and paid special attention to prostate function and bone mineral density.
Patients and methods
Study design
The study was performed as an open, prospective investigation. Detailed information about the study was provided, and written informed consent was obtained before commencement of the study. The protocol was approved by the Ethics Committee of the University of Munster and the State Medical Board and was conducted in accordance with the principles of the Declaration of Helsinki.
Patients
Eleven hypogonadal men (age: 35 9 ± 9 8 years (mean ± SD); height: 180 ± 9 cm; weight: 79 7 ± 14 2 kg; body mass index: 24 6 ± 3 8 kg/m2) participated in the long-term study (Table 1). Five of the 11 patients had completed a preliminary 12-week study (Bals-Pratsch et al, 1986) and a 1-year study (Bals- Pratsch et al., 1988) with transscrotal T. Some of the first-year data of these studies are included here for the sake of completeness. Seven of the 11 patients had been treated with intramuscular testosterone enanthate, two with hCG, one with oral testosterone undecanoate before initiation of transscrotal T therapy, one patient was untreated. Eight of the 11 patients continue to be treated with the testosterone patch. Three patients discontinued treatment: one because of a change to hCG/hMG treatment for induction of spermatogenesis, one because he moved away and one committed suicide following the death of his wife. Meanwhile five additional patients entered the study but are not reported because their duration of treatment was less than 5 years.
Table 1. Patients’ characteristics at the beginning of transscrotal testosterone treatment.

Following two baseline control examinations after complete wash-out from previous testosterone therapy (6 weeks after intramuscular T injections, 2 weeks after oral T and intramuscular hCG) clinical examinations were performed every 3 months during the first 5 years and every 6 months thereafter. All 11 patients completed the 7-year study period. However, some patients were treated for up to 10 years (7 5 years: nine patients; 8 years: eight patients; 8 5 years: seven patients; 9 years: six patients; 9 5 years: four patients; 10 years: four patients). Because of varying group sizes data beyond 7 years of treatment were not included in the statistical analysis of variance for repeated measures, but are displayed in the figures for sake of completeness.
Medication
Transdermal patches loaded with T (Testoderm®) were developed by Alza Corp. (Palo Alto, CA, USA) and provided by Stada (Bad Vilbel, Germany). T patches were applied to the scrotum for 22 h per day. The T patches were 40 and 60 cm2 in size and on average released 2 4 and 3 6mg/d of testosterone, respectively. Patients who achieved serum levels of T higher than 21 nmol/l during the first 2 weeks of treatment were given the 2 4 mg patch (n = 5 patients), while the others received the 3 6 mg patch (n = 6 patients) (Table 1). Patients were instructed to clip their scrotal hair approximately every 2 weeks to ensure proper adhesion of the patch to the scrotal skin. Patients were encouraged to wear closely fitting underwear.
Bloodsamples
In general, blood samples were collected between 0800 h and 1400 h, 3-6 h after application of the testosterone patch. For determination of serum levels of hormones samples were separated at 800 x g and stored at — 20°C until assayed.
Immunoassays
T and DHT were separated in extracted serum samples by high performance liquid chromatography (HPLC) before measurement by RIA. The detection limits for T and DHT were 0 28 and 014 nmol/l, respectively. The intra- and inter-assay coefficients of variation for T were 6 6% and 9 8%, respectively, and for DHT 72% and 12 3%, respectively. In our laboratory the normal range for T after separation by HPLC is 10-35 nmol/l and the upper normal limit for DHT is 2 9 nmol/l. Oestradiol was measured by RIA (Sorin Biomedica, Saluggia, Italy). The detection limit was 37 pmol/l. The intra- and interassay coefficients of variation for oestradiol were 6 8% and 8 2%, respectively. The upper normal limit is 250pmol/l.
Serum LH, FSH, SHBG and prostate specific antigen (PSA) were determined by specific fluoroimmunoassays (Pharmacia, Freiburg, Germany). The lower detection limits for FSH, LH, and SHBG were 025 IU/l, 012 IU/l and 63 nmol/l, respectively. The intra- and inter-assay coefficients ofvariation for LH were 4 5% and 6 4%, for FSH 3 7% and 5 4% and for SHBG 4 8% and 7 4%, respectively. In our laboratory the normal range for LH is 2-10 IU/l, for FSH 1-7 IU/l, and for SHBG 11-71 nmol/l. The lower detection limit for PSA is 0 5 mg/l and the upper reference limit is 4 mg/l. The intra- and inter-assay coefficients of variation for PSA were 5 8% and 11-7%.
Clinical chemistry and haematology
Clinical chemistry analysis included glutamic-oxalacetic (GOT) and glutamic-pyruvic-transaminases (GPT), g-glutamyl transpeptidase, bilirubin, creatinine, urea, inorganic phosphate, calcium, cholesterol and triglycerides. Haematological analysis included erythrocytes, haemoglobin and haematocrit. Samples were analysed by standard methods on the respective study days.
Bone mineral density
Measurements of bone mineral density were not included in the initial evaluation of hypogonadal men but were gradually introduced at follow-up examinations. Control intervals at first were fixed individually in patients and ranged between 2 and 3 years; since 1993 a yearly schedule of bone mineral density determination has become part of the routine protocol. Bone mineral density was obtained by single-energy QCT performed with a Tomoscan 350 (Philips, Best, The Netherlands) until April 1993 and thereafter with a Tomoscan LX (Philips). Ten- millimetre-thick mid-vertebral slices of L2, L3 and L4 were obtained using a low dose technique which has been described in detail previously (Behre et al., 1997). The results were included in part in an earlier publication encompassing a larger group of hypogonadal men (Behre et al., 1997), but are shown here again for the sake of completeness.
Prostate ultrasonography
Between 1988 and 1990 evaluation of the prostate by rectal digital examination was extended by transrectal ultrasonography (TRUS). Since 1992 annual examinations have been included in the follow-up protocol. TRUS was performed with a 7 5-MHz sector scanner (Endo-P, Siemens, Erlangen, Germany) (Behre et al., 1994). Prostate structure is evaluated in transverse and longitudinal scans. Volume determination is based on the ellipsoid method scans (Behre et al., 1995).
Statistics
As stated above, statistical analysis by analysis of variance covered the 7-year treatment period which was completed by all 11 hypogonadal patients. Significant variations over time were evaluated by multi-factor analysis of variance for repeated measures. In case of a general effect over time, values at single time points were analysed in more detail using the Duncan multiple comparison test for repeated measures. The respective values of the second pre-study control examination were considered as baseline values. Bone mineral density and prostate volume values at the first and last examination were tested by paired t-test. When necessary, analysis was performed on logarithmically transformed data. P-values < 0 05 were considered significant. Computations were performed using the statistical software package SPSS, version 613 (SPSS, Inc., Chicago, IL, USA) and Statgraphics Plus, version 71 (STSC, Inc., Rockville, MD, USA). Unless otherwise stated, results are given as mean ± SE.
Results
Clinical examinations revealed no signs of acne, no occurrence of gynaecomastia nor any enlargement or soreness of the liver or oedema. Compliance was excellent in the 11 patients as validated by systematic inquiry and checking of the remaining study medication and all wished to continue with the transscrotal T therapy (except for the three patients leaving the study for the reasons described). Between onset of therapy and the last examination there was an insignificant increase in BMI from 24 5 ± 3 8 to 25 4 ± 3 2kg/m2. Except for occasional itching there were no local side-effects.
Serum hormone levels
Basal serum levels of T before initiation of therapy were 5 3 ± 13 nmol/l (Fig. 1). Treatment with transscrotal T increased serum levels of T significantly (P < 0 001) to mean values continuously in the normal range (16 7 ± 2 6 nmol/l at month 3, 17 4 ± 2 0 nmol/l after 7 years). During the 7-year substitution therapy statistical analysis revealed no significant change of T levels over time.

Figure 1. Testosterone and DHT concentrations in 11 hypogonadal men before and during trearment with transscrotal testosterone patches. Values are expressed as mean ± SEM. Statistical analysis (ANOVA) covers years 0-7. Values thereafter refer to patients followed-up for 10 years. □, Testosterone; X, DHT (nmol/l). Normal ranges testosterone; — DHT.
Serum levels of DHT increased significantly from 13 ± 0 4 nmol/l to 3 4 ± 0 4 nmol/l at month 3. These levels did not change significantly throughout treatment and remained at the upper limit of normal (3 0 ± 0 4 nmol/l after 7 years of therapy) (Fig. 1). Accordingly, the DHT/T ratio did not change significantly during therapy.

Figure 2. oestradiol concentrations in 11 hypogonadal men before and during treatment with transscrotal testosterone patches. Values are expressed as mean ± SEM. □, oestradiol (pmol/l) normal range.
Substitution therapy with transscrotal T increased serum levels of oestradiol significantly (P = 0 023) from 52 3 ± 9 3 pmol/l at baseline to 713 ± 96 pmol/l at month 3 (Fig. 2). According to analysis of variance for repeated measures these values remained unchanged throughout the 7-year treatment period. No significant change compared to baseline and throughout therapy was seen for serum levels of SHBG. Similarly, no significant change of LH and FSH was detected in the four patients with primary hypogonadism.
Clinical chemistry and haematology
Analysis of variance for repeated measures did not reveal any significant change over time for glutamic-oxalacetic (GOT), glutamic-pyruvic-transaminases (GPT), γ-glutamyl transpeptidase, bilirubin, creatinine, urea, inorganic phosphate, calcium, cholesterol, triglycerides, erythrocytes, haemoglobin and haematocrit.
Bone mineral density
As QCT measurements were introduced in our clinic only after initiation of the study and therefore values of BMD are not available at all time-points, results are displayed individually (Fig. 3). During transscrotal T substitution for 71 ± 0 6 years (duration of treatment between first and last BMD measurements in the individual patients) BMD increased significantly from 113 6 ± 5 4mg/cm3 to 129 7 ± 93mg/cm3 (n = 11; P = 0 028). At the last QCT measurement BMD was in the normal range (> 110mg/cm3) in nine patients and in another patient near that range (104mg/cm3). The patient with primary hypogonadism and ankylosing spondylitis had BMD values in the intermediate range without significant variation over time (Fig. 3).

Figure 3. Individual bone mineral densities in 11 hypogonadal nem during treatment with transscrotal testosterone patches. X, Patient with ankylosing spondylitis.
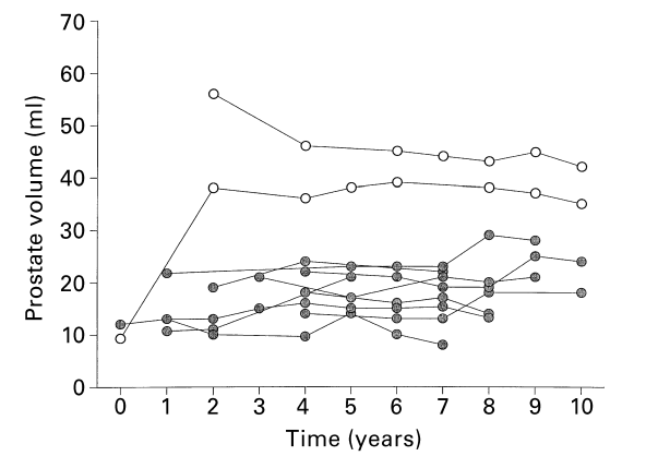
Prostate volume and PSA
As values of prostate volume are not available for all timepoints, results are displayed individually (Fig. 4). Pre-study baseline examinations were only available in two patients. In one patient aged 25 2 years at initiation of therapy prostate volume rose from 12 ml to 13 ml during the first year of treatment and remained constant during his 8-year treatment period (13 ml at last examination). The other patient, aged 518 years at initiation of therapy, was the only patient who had never been treated with testosterone before. His prostate volume increased from 9 3 ml to 38 ml after 2 years of treatment. Thereafter his prostate volume remained constant and was 35 ml at the last examination after 10 years of transscrotal T therapy. The older patient (aged 55 6 years at initiation of therapy) had been treated with 250 mg testosterone enanthate injections every 3 weeks for 4 5 years prior to transscrotal testosterone application. In this patient prostate volume declined from 56 ml after 2 years to 42 ml after 10 years of transscrotal testosterone therapy. On average, prostate volume at the first examination during T therapy (22 3 ± 41 ml; n = 11) was not significantly different (P = 0 98) from prostate volume at the last examination 6 3 ± 0 5 years later (22 4 ± 3 0 ml; n = 11). If patients under 50 years were considered as a separate group, a small but insignificant increase of prostate volume was seen in these men (16 8 ± 15 ml to 18 8 ± 21 ml; n = 9; P = 0 25).

Figure 4. Individual values for prostate volume in 11 hypogonadal men treated with transscrotal testosterone patches. X, Patients aged < 50 years; O, patients aged > 50 years.
PSA levels were constantly low and individual levels did not exceed the upper normal limit for our laboratory of 4 mg/l. Mean serum levels of PSA did not change significantly during the 7- year observation period (P = 0 89). No clinical signs of benign prostatic hypertrophy (BPH) occurred and no prostate biopsy had to be performed.
Discussion
There is consensus among experts that the major goal of T substitution is ‘to replace T levels at as close to physiological concentrations as is possible’ (Nieschlag etal., 1992). This goal is certainly not reached by conventional treatment with injected T esters causing supraphysiological serum T levels after injection which then decline to low levels before the next injection (Behre & Nieschlag, 1998). These swings in serum T levels are perceived by the patient as changes in mood, general wellbeing and sexual activity. The high serum T levels paralleled by increases in oestradiol are also considered the reason for acne and gynaecomastia occurring in some patients and for polycythaemia, occasionally encountered especially in older patients on injectable T esters (Hajjar et al., 1997; Sih et al., 1997). An elegant modality avoiding the peaks and troughs of esters is provided by transdermal T application, which became available for clinical use in the USA in 1994 and in Germany in 1998. Our early involvement in the development of this treatment allowed us to conduct the current study and to follow patients on transscrotal T for up to 10 years.
The study shows that transscrotal T treatment is well accepted by the patients and leads to excellent adjustment of all parameters considered important in monitoring T substitution therapy (Nieschlag etal., 1992; Nieschlag & Behre, 1998). The unusual site of application and the necessity to occasionally remove hair from the scotal skin (by clipping or shaving) in order to ensure that proper adherence does not deter patients from using Testoderm. The serum androgen levels remaining constant over so many years reflect the patients’ perception.
During the study period, covering 96 patient years, no serious or milder side-effects were encountered such as acne, gynaecomastia, undue weight gain or polycythaemia. Osteo-porosis is a common feature of hypogonadism (Finkelstein, 1998). It is therefore important to point out that the bone mineral density of our patients was maintained in the normal range and even showed a slight, but steady increase. This underlines the fact that the high serum T and oestradiol levels resulting from T enanthate or cypionate injections are not required for normal bone function in hypogonadal men (Behre etal, 1997; Leifke et al, 1998). Since eugonadal men suffering from ankylosing spondylitis have decreased BMD (Bronson et al, 1998), it is not surprising that our patient with this additional disease continued to show low BMD despite normalized serum T levels.
Before TRUS and PSA became available, monitoring of the prostate by rectal examination alone was subjective and ambiguous. The additional sonographic visualization and measurement of the entire organ together with PSA serum levels improved prostate monitoring significantly. Using these techniques development of BPH or prostate cancer was not observed in any of our patients. There was no need for a biopsy in any of the patients. Volumes remained in the normal range for eugonadal men of respective ages or for hypogonadal men being treated with other transdermal or injectable T preparations (Behre et al., 1994; Meikle et al., 1997). The unchanged serum levels of PSA in this long-term study are reassuring as a significant rise of PSA over time is regarded as a sensitive and specific early clinical marker for the development of prostate cancer (Carter et al., 1992; De Biasi et al., 1996). In addition, high serum DHT levels have little effect on androgen target organs such as prostate wherein tissue DHT levels are significantly higher than the respective serum levels (Krieg & Tunn, 1990). Thus, it appears that the DHT levels slightly exceeding the upper limit of normal for eugonadal men do not cause undue prostate growth or dysfunction. This confirms findings in patients on oral T undecanoate treatment who showed similarly elevated DHT levels, but no decrease in urine flow over 10 years of continued treatment (Gooren, 1994).
In summary, transscrotal testosterone application appears to be a safe and well-accepted modality for long-term testosterone therapy. In particular, the physiological serum testosterone pattern appears to be an advantageous feature of transscrotal testosterone application. This is, however, a general characteristic of transdermal testosterone application and is also seen with treatment with testosterone patches applied to the torso (for review see Meikle, 1998). Since these patches require the addition of enhancers to allow permeation of testosterone in sufficient amounts through the non-genital skin, they may cause skin irritation, forcing some patients to abandon this mode of therapy (Jordan, 1997). Nevertheless, transdermal testosterone therapy has become a valuable addition to the limited possibilities for treatment of hypogonadism. The possibility of immediate withdrawal, if necessitated by untoward effects, makes them specifically attractive for replacement therapy in older hypogonadal men (Nieschlag, 1998).
Acknowledgements
This study was consecutively supported by Stada AG, Bad Vilbel, Germany, ALZA Corp., Palo Alto, CA, USA, and Ferring AB, Malmo, Sweden. The QCT measurements were performed at the Institute of Diagnostic Radiology (Director: Prof. Dr E. Peters) of the University of Munster. We are grateful to Susan Nieschlag MA for language editing of the manuscript.
References
Arver, S., Dobs, A.S., Meikle, A.W., Caramelli, K.E., Rjaram, L., Sanders, S.W. & Mazer, N.A. (1997) Long-term efficacy and safety of a permeation-enhanced testosterone transdermal system in hypogonadal men. Clinical Endocrinology, 47, 727-737.
Bals-Pratsch, M., Knuth, U.A., Yoon, Y.-D. & Nieschlag, E. (1986) Transdermal testosterone substitution therapy for male hypogonadism. Lancet, II, 943-946.
Bals-Pratsch, M., Langer, K., Place, V.A. & Nieschlag, E. (1988) Substitution therapy of hypogonadal men with transdermal testosterone over one year. Acta Endocrinologica, 118, 7-13.
Behre, H.M., Bohmeyer, J. & Nieschlag, E. (1994) Prostate volume in testosterone-treated and untreated hypogonadal men in comparison to age-matched normal controls. Clinical Endocrinology, 40, 341349.
Behre, H.M., Kliesch, S., Leifke, E., Link, T.M. & Nieschlag, E. (1997) Long-term effect of testosterone therapy on bone mineral density in hypogonadal men. Journal of Clinical Endocrinology and Metabolism, 82, 2386-2390.
Behre, H.M., Kliesch, S., Schadel, F. & Nieschlag, E. (1995) Clinical relevance of scrotal and transrectal ultrasonography in andrological patients. International Journal of Andrology, 18 (Suppl. 2), 27-31.
Behre, H.M. & Nieschlag, E. (1998) Comparative pharmacokinetics of testosterone esters. In: Testosterone: Action, Deficiency, Substitution (eds E. Nieschlag & H.M. Behre), 2nd edn. pp. 329-348. Springer, Heidelberg.
Bronson, W.D., Walker, S.E., Hillman, L.S., Keisler, D., Hoyt, T. & Allen, S.H. (1998) Bone mineral density and biochemical markers of bone metabolism in ankylosing spondylitis. Journal of Rheumatology, 25, 929-935.
Burris, A.S., Banks, S.M., Carter, C.S., Davidson, J.M. & Sherins, R.J. (1992) A long-term, prospective study of the physiologic and behavioral effects of hormone replacement in untreated hypogonadal men. Journal of Andrology, 13, 297-304.
Carter, H.B., Pearson, J.D., Metter, E.J., Brant, L.J., Chan, D.W., Andres, R., Fozard, J.L. & Walsh, P.C. (1992) Longitudinal evaluation of prostate-specific antigen levels in men with an without prostate disease. Journal of the American Medical Association, 267, 2215-2220.
De Biasi, F., Londero, D., Praturlon, S., Di Donna, A., Feruglio, G.A. & Guerra, U.P. (1996) Longitudinal evaluation of prostate-specific antigenlevelsinacase-control study. European Urology, 29,184-188.
Editorial (1989) Transdermal testosterone. Lancet, 1, 652-653.
Findlay, J.C., Place, V.A. & Snyder, P.J. (1987) Transdermal delivery of testosterone. Journal of Clinical Endocrinology and Metabolism, 64, 266-268.
Finkelstein, J.S. (1998) Androgens and bone metabolism. In: Testosterone: Action, Deficiency, Substitution (eds E. Nieschlag & H.M. Behre), 2nd edn, pp. 187-207. Springer, Heidelberg.
Gooren, L.J. (1994) A ten-year safety study of the oral androgen testosterone undecanoate. Journal of Andrology, 15, 212-215.
Hajjar, R.R., Kaiser, F.E. & Morley, J.E. (1997) Outcomes of long-term testosterone replacement in older hypogonadal males: a retrospective analysis. Journal of Clinical Endocrinology and Metabolism, 82, 3793-3796.
Jordan, W.P. (1997) Allergy and tropical irritation associated with transdermal testosterone administration: a comparison of scrotal and nonscrotal transdermal systems. American Journal of Contact and Dermatology, 8, 108-113.
Krieg, M. & Tunn, S. (1990) Androgens and human benign prostatic hyperplasia (BPH). In: Testosterone: Action, Deficiency, Substitution (eds E. Nieschlag & H.M. Behre), pp. 219-244. Springer, Heidelberg.
Leifke, E., Korner, H.-Ch., Link, T.M., Behre, H.M., Peters, P.E. & Nieschlag, E. (1998) Effects of testosterone replacement therapy on cortical and trabecular bone mineral density, vertebral body area and paraspinal muscle area in hypogonadal men. European Journal of Endocrinology, 138, 51 -58.
Meikle, W.A. (1998) A permeation-enhanced non-scrotal testosterone transdermal system for the treatment of male hypogonadism. In: Testosterone: Action, Deficiency, Substitution (eds E. Nieschlag & H.M. Behre), 2nd edn. pp. 389-422. Springer, Heidelberg.
Meikle, A.W., Arver, S., Dobs, A.S., Adolfsson, J., Sanders, S.W., Middleton, R.G., Stephenson, R.A., Hoover, D.R., Rajaram, L. & Mazer, N.A. (1997) Prostate size in hypogonadal men treated with a nonscrotal permeation-enhanced testosterone transdermal system. Urology, 49, 191-196.
Nieschlag, E., Wang, C., Handelsman, D.J., Swerdloff, R.S., Wu, F., Einer-Jensen, N. & Waites, G. (1992) Guidelines for the Use of Androgens. WHO, Geneva.
Nieschlag, E. & Behre, H.M. (1998) Pharmacology and clinical uses of testosterone. In: Testosterone: Action, Deficiency, Substitution (eds E. Nieschlag & H.M. Behre), 2nd edn, pp. 293-328. Springer, Heidelberg.
Nieschlag E. (1998) If testosterone, which testosterone? Which androgen regimen should be used for supplementation in older men? Formulation, dosing, and monitoring issues. Journal of Clinical Endocrinology and Metabolism, 83, 3443-3445.
Sih, R., Morley, J.E., Kaiser, F.E., Perry, H.M., Patrick, P. & Ross, C. (1997) Testosterone replacement in older hypogonadal men: a 12- month randomized controlled trial. Journal of Clinical Endocrinology and Metabolism, 82, 1661-1667.
Vermeulen, A. & Deslypere, J.P. (1985) Long-term transdermal dihydrotestosterone therapy: effects on pituitary gonadal axis and plasma lipoproteins. Maturitas, 7, 281 -287.