Hikmet Hassa, M.D., Huseyin Mete Tanir, M.D., and Nazan Ardic, M.D.
Eskisehir Osmangazi University School of Medicine, Department of Obstetrics and Gynecology, Meselik Kampusu, Eskisehir, Turkey
H. Mete Tanir, M.D., Eskisehir Osmangazi University School of Medicine, Department of Obstetrics and Gynecology, Meselik Kampusu, 26480, Eskisehir, Turkey ; E-mail: mtanir@superonline.com.
Abstract
Objective: To investigate the cross-sectional associations of hysterectomy and oophorectomy status, chronological age, and body mass index with early postoperative plasma levels of total and free T, DHEAS, and sex hormone-binding globulin (SHBG).
Design: A cross-sectional study.
Setting: University hospital.
Patient(s): Ninety-two women age 35-47 years who were scheduled for hysterectomy and/or oophorectomy, advocated for benign gynecological pathologies.
advocated for benign gynecological pathologies. Intervention(s): Ninety-two eligible premenopausal women underwent hysterectomy and/or oophorectomy, with plasma T, DHEAS, and SHBG levels assayed before surgery and during the postoperative period.
Main Outcome Measure(s): Effects of time X operation and age X operation interactions between oophorecto- mized and nonoophorectomized groups and within-subject main effect of time on plasma androgen levels.
Result(s): Of 92 women, hysterectomy alone was performed in only 49 (53.3%) cases. Oophorectomy, either unilateral or bilateral, was performed in 35.8% of cases. Age X within-group interactions exhibited an important difference (P= .03) in total T levels. The time X between- and within-group interaction effects on plasma DHEAS levels of postoperative day 7, compared with day 1, were statistically significant (P < .001). The effect of time X group interaction was remarkable, in terms of SHBG levels during the postoperative period. Age X oophorectomy interaction exhibited a statistically significant change of decline in DHEAS levels on postoperative day 7 (P=.05).
Conclusion(s): The present study demonstrated a time and operation effect decline in plasma DHEAS levels. In contrast, the time X operation interaction on SHBG levels exhibited an increase toward postoperative day 7.
Key Words: Hysterectomy, oophorectomy, testosterone, sex hormone-binding globulin, DHEAS
Introduction
Hysterectomy is a commonly performed gynecologic op-eration. Bilateral oophorectomy is nearly always an elective procedure performed concurrently with hysterectomy and is indeed considered a prophylactic measure for ovarian cancer among certain high-risk women (1). Pathological processes and iatrogenic interventions that affect adrenal and/or ovarian function may reduce circulating androgen levels, compared with those of young healthy women (2). Overall, the absolute decline in both circulating T and adrenal DHEAS production becomes apparent in the decade preceding menopause (3, 4).
An overwhelming majority of studies suggest that T is the major androgen secreted by the postmenopausal ovary (5, 6). On the basis of other studies, there remains no compelling evidence that a decrease exists in the peripheral levels of T following oophorectomy (7, 8). A gradual decline in DHEAS has been proposed as the result of attenuated adrenal 17-20 desmolase activity in later life, and not related to gonadal function in the adult. Conversely, women who have undergone oophorectomy have one-half of the circulating levels of intact age-matched women, suggesting a role for ovarian communication with adrenals (9, 10).
The present study was conducted in an attempt to eluci-date the cross-sectional influence of hysterectomy with and without oophorectomy, chronological age, and body mass index (BMI) on plasma levels of total and free T, DHEAS, and SHBG on postoperative days 1 and 7.
Materials and methods
The present study was undertaken at a university hospital over a 3-year period, from January 2000 to January 2003. It included a total of 92 women, age 35-54 years, undergoing hysterectomy with or without adnexal removal at the De-partment of Obstetrics and Gynecology, Osmangazi Univer-sity Hospital, Eskisehir, Turkey. Following the approval of the institutional review board, the informed consent of each participant was obtained. The main indications for hysterec-tomy were leiomyomas, chronic pelvic pain, and benign adenomatous hyperplasia of the endometrium. Eligibility criteria included: [1] intact uterus and ovaries, [2] >1 men-strual period in the previous 3 months, [3] no use of hor-monal medication affecting ovarian function for >6 months before the study, [4] absence of endocrinopathies such as diabetes mellitus, thyroid, and adrenal disorders, [5] status of nonsmoker, and [6] absence of treatment with lipid- or glucose-lowering agents. The BMI (kg/m2) was used as an estimate of obesity. Cases were categorized as oophorecto- mized and nonoophorectomized on the basis of the type of operation. Concomitant unilateral salpingo-oophorectomy cases were included in nonoophorectomized group.
Hormonal Assays
Plasma levels of T, free T, SHBG, and DHEAS were mea-sured before surgery and on days 1 and 7 after surgery. Blood samples for hormone assay were obtained at 7:00-9:00 AM after a requested 12-hour fast. Plasma was separated and frozen at -70°C.
The SHBG was measured by automated enzyme immu-noassay using the Immulite system purchased in kit form from Diagnostic Products Corporation (Los Angeles, CA). Free T was determined by specific direct radioimmunoassay (Diagnostic Systems Laboratories, Webster, TX). The DHEAS (μg/dL, conversion factor: μg/dL X 0.02714 pmol/L) and total T (ng/dL, conversion factor: ng/dL X 0.00347 = nmol/L) levels were measured using elec-trochemiluminescence immunoassay (Roche-Mannheim, Mannheim, Germany). Corresponding intraassay and in-terassay coefficients of variation were 7.7% and 13% for SHBG; 6.2% and 9.7% for free T; 2.1% and 2.5% for T; and 2.6% and 2.7% for DHEAS.
All participants in this study had no financial conflict of interest that existed between any commercial entity’s prod-ucts that are described, evaluated, or compared in this article.
Statistical Analysis
The results were reported as means ± standard error of the mean (SEM) because whole data were not representative of a total population. Repeated measures analysis of variance (ANOVA) was used to determine the change in primary endpoints over time. The time points of interest (the repeated measures factor) were defined as follows: [1] preoperative, 1 day before surgery; [2] postoperative 1, 1 day after surgery; [3] postoperative 7, 7 days after surgery. The main param-eters of interest were circulating levels of T, free T, SHBG, and DHEAS at the preceding time points. The ANOVA included a main effect for time, a main effect for operation type, and a time X operation type interaction. The main effect of time was used to test whether the endpoint changed between the baseline and postoperative values in the sample as a whole. The time X operation interaction tested whether mean changes differed between the oophorectomized and nonoophorectomized group.
To control confounding factors, such as age, time, and BMI, we added these variables as continuous covariates in ANOVA model. The Huynh-Feldt e value was used to compensate for the absence of sphericity by adjusting the associated degrees of freedom.
The Shapiro-Wilks test was applied to test the normal distribution of the data. A log transformation was applied to all hormone variables and to BMI to overcome the skewness of data. Paired t tests were performed to compare changes at follow-up from baseline on all outcome measures, despite the fact that data were not presented. Differences (%) of postoperative hormone levels from preoperative levels were calculated for each individual case. Comparisons of differ-ences (%) of hormone levels, chronological age, and BMI between women in the oophorectomized and nonoophorec- tomized groups were performed with the use of the Mann-Whitney U test and Student’s t-test where appropriate. The Pearson’s correlation analysis (rp) was performed for the analysis of continuous variables.
Original values were used in the tables and box plots. Box plots display the median value (dark line in the interior of the boxes), with the 25th and 75th percentiles indicated by the lower and upper boundaries of the box, respectively. The whiskers extend to the largest and smallest observed values within 1.5 box lengths, and outlying values are indicated by circles or, if more extreme, by asterisks. Statistical analysis was performed using SPSS Statistical Software for Windows, version 12 (SPSS Inc., Chicago, IL) on a Pentium-based computer. A value of P<.05 was considered statistically significant.
Results
The mean age did differ significantly between the nonoopho- rectomized (46.2 ± 3.0 years) and the oophorectomized group (41.7 ± 3.5 years, P<.001). Furthermore, the BMI of the oophorectomized group was high (28.2 ± 4.5 kg/m2) compared with the nonoophorectomized group (26.3 ± 3.7 kg/m2, P<.05). Ninety-six percent of all hysterectomies were performed via abdominal route. Oophorectomy was present in 35.8% (n = 35) of all cases. Surgical indications were myoma uteri (80.4%), chronic pelvic pain (12.0%), and benign adenomatous hyperplasia (7.6%).
Participants were divided into three age groups: < 40 years (n = 15), 40-45 years (n = 26), and >45 years (n = 51). None of the women under the age of 40 had undergone oophorec-tomy, whereas removal of the ovaries was a part of the surgical procedure in 73.1% of the 40-45 years group and 17.6% of women >45 years, respectively. All oophorectomies were performed due to benign ovarian cysts and uncontrolled bleeding during periovarian tissue dissections of dense adhesions.
Operation type-stratified preoperative hormone distribu-tions are listed in Table 1. Controlling age as a confounder, preoperative hormone levels did not significantly differ be-tween women in the oophorectomized and nonoophorecto- mized groups (P>.05). Operation type- and time-stratified distributions of hormones are listed in Table 2. Postoperative day 7 levels of DHEAS in the oophorectomized group were lower compared with nonoophorectomized group (P=.03). Another striking finding was the fact that the SHBG level was remarkably higher in the oophorectomized group (58.9 nmol/L) compared with the nonoophorectomized group (50.1 ± 3.9 nmol/L).
Table 1.

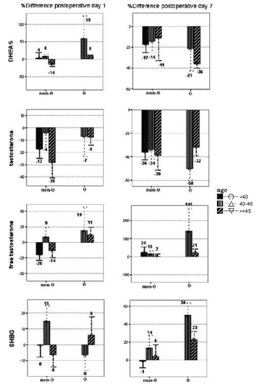
Figure 1 depicts the preoperative and postoperative day 1 and 7 hormone levels among the three age groups (< 40, 40-45, and >45 years) in both the oophorectomized and nonoophorectomized groups. When age as a confounding factor was controlled, the effect of time interaction on total T levels remained statistically significant (F = 59.3, P<.001), despite no relevant association in between-group X time interactions (F = 0.3, P>.05), as depicted in Figure 1. However, the within-group main effect of time revealed a significant decline of plasma T on postoperative day 7 compared with postoperative day 1 levels (F = 36, P=.002). No significant changes in total T levels were observed among the nonoophorectomized and oophorecto- mized groups, as presented in Table 1. The time effect (F = 0.2, P>.05), time X group interaction (F = 0.4, P>.05), and time X age X group interactions (F = 0.2, P>.05) remained statistically nonsignificant, as depicted in Figure 1. Percent differences of total T values during postoperative follow-ups are also presented in Figure 2. As depicted in Figure 2, no statistically significant percentage changes were present among the two groups, on either postoperative day 1 or 7. As illustrated in Figure 3, considering age as a covariable, time X within- and between-group interactions indicated an important difference (F = 3.3, P=.03) in total T levels.
Table 2.

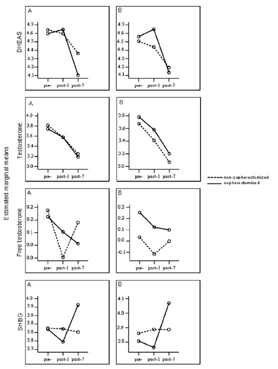
In terms of free T level changes, time X age X between- group interactions (F = 0.2, P=0.44) and time X group (F = 0.1) and time (F = 0.5) interactions were not found to be significant, as depicted in Figure 1. Percentage changes from preoperative hormone levels on postoperative days 1 and 7 did not differ among the two groups, as illustrated in Figure 2. Similar to the total T level changes, there was a statistically significant within-subject main effect of time (F = 3.7, P=.04), as illustrated in Figure 3. No statistically relevant correlation existed between free T and SHBG levels on postoperative days 1 and 7 (rp = 0.12, P=.35), irrespective of oophorectomy status. Oophorectomy did affect free T level changes but not those of SHBG, as illustrated in Figure 3.

Figure 1. Hormone levels before surgery (preoperative) and on postoperative days 1 and 7 among three age groups ( < 40, 40-45, and >45 years) in both oophorectomized (O) and nonoophorectomized (non-O) groups. Box plots display the median value (dark line in the interior of the boxes), with the 25th and 75th percentiles indicated by the lower and upper boundaries of the box, respectively. The whiskers extend to the largest and smallest observed values within 1.5 box lengths, and outlying values are indicated by asterisks. Time parameters are depicted in different colors. The Y-axis delineates the original hormone levels.
As illustrated in Figure 1, in all three age groups, the within- group effects of time interactions remained significant (F = 0.5, P=.05). Given age as a covariable, further analysis demonstrated that time (F = 0.4, P=.42), time X group interactions (F = 0.1, P=.53), and time X group X age interactions (F = 0.5, P=.36) were statistically nonsignificant. Percentage changes on postoperative day 7 were remarkably higher, compared with those on postoperative day 1, as demonstrated in Figure 2.

Figure 2. Percentage changes in postoperative day 1 and 7 hormone levels compared with preoperative values among oophorectomized (O) and nonoophorectomized (non-O) groups. Values are mean ± SEM. Percentage changes (*) of each hormone are marked on the Y-axis.
Time X between-group (F = 48.1, P<.001) and time interaction (F = 5.9, P<.01) effects on plasma DHEAS levels remained statistically significant, as illustrated by Figure 3. In other words, hysterectomy with or without oophorectomy had a declining trend for DHEAS levels during the early postoperative course.

Figure 3. Estimated marginal mean values of DHEAS, T, free T, and SHBG presented as time x group interactions without (A) and with age taken as a covariable (B). All values were transformed into logarithmic data. The X-axis indicates the time interaction at the preoperative (pre-), postoperative day 1 (post-1), and postoperative day 7 (post-7) time points.
Time effects remained insignificant regarding the changes in SHBG levels (F = 2.6, P>.05), but time X group interactions were statistically relevant (F = 3.8, P=.02). Taking Table 2 and Figure 1 into consideration, time, time X group, and time X group X age interactions were nonsignificant if age was considered as a covariate. As depicted in Figure 2 and Figure 3, in the oophorectomized group, plasma SHGB levels tended to increase. Percentage changes were also statistically significant between values of postoperative days 7 and 1 (P < .01).
Obesity is one of the confounding factors that absolutely affects SHBG. However, all the results presented so far were uncontrolled for BMI. Taking BMI as a covariable into the model, although not presented in a separate figure, time (F = 2.0, P = .56), time X group (F = 1.8, P = .34), and time X BMI interactions (F = 1.9, P = .76) did not reach statistical significance. No significant correlations were present between plasma levels of T, DHEAS, and free T changes and BMI.
Discussion
This study reported a cross-sectional influence of hysterec-tomy with or without oophorectomy on endogenous hor-mone levels in premenopausal and perimenopausal women. Important findings of this study can be summarized as: [1] decreasing hormone levels over time, irrespective of the operation type, [2] a remarkable decline in DHEAS levels in the oophorectomized group, [3] a close interaction of chro-nological age with hormone level changes, and finally [4] an increase in SHBG levels in the oophorectomized group.
Hysterectomy is a commonly performed gynecologic op-eration. Under such circumstances, ovarian function may be adversely affected, most probably due to reduced arterial blood flow to the ovaries (11, 12). Our results were in accordance with previous studies indicating the fact that, even in the nonoophorectomized group, plasma T levels decreased. Riedel et al. (13) claimed that the extent of interference with the ovarian metabolism caused by hyster-ectomy is largely dependent on the blood supply type in the fraction of women reacting with ovarian failure and may vary with each investigated case. During data processing, we also observed such individual deviations of hormone levels.
Several lines of evidence had conflicting results regarding the effect of the menopausal transition on circulating andro-gen levels (3, 14, 15). In the study of Laughlin et al. (14), plasma T levels were 40% lower in women with oophorec-tomies than in intact postmenopausal women. Longcope et al. (3) failed to demonstrate any change in T over 80 months after the final menstrual period (FMP), whereas Rannevik et al. (15) documented a small but significant decline (-15%) in T and androgen levels within the 6-month period encompassing the FMP.
A major limitation of the present study is that the postop-erative hormone levels were measured on day 7, which is much too soon to assume that these findings are permanent. Nevertheless, our analysis revealed that not only in the oophorectomized group, but also in the nonoophorectomized group, there was a decline in total T levels after surgery. Eventually, chronological age was found to have an influencing role on this decline together with operation effect per se, as depicted in Figure 1.
Despite age-related changes in DHEA and DHEAS, plasma cortisol levels vary little with age, implying the existence of a selective control mechanism above and be-yond ACTH (16). Several studies have addressed the issue of gonadal-adrenal interaction with contradictory results, suggesting that gonadal dysfunction does not alter adrenal function (7, 17, 18). Meanwhile, Lasley et al. (18) argued that a consistent change in ovarian function is related to circulating adrenal steroid levels in some middle-aged women, offering a logical explanation that supports the premise of a gonadal- adrenal interaction.
The result of present study also emphasized the fact that in both non- and oophorectomized women, a de crease in DHEAS levels were observed, more remarkably in the oophorectomized group. Understandably, this previously mentioned observation may appear to be in accordance with the gonadal-adrenal interaction hypothesis. Several studies postulated that the ovary is not the androgen-producing organ, pointing out the lack of gonadotropin receptors and steroidogenic enzymes in the postmenopausal women (8, 19, 20). Unfortunately, ovarian steroidogenesis was not evaluated entirely in the present study. Furthermore, some studies indicated that higher estrogen (E) levels from the premenopausal ovary may reduce adrenal androgen concentration (21, 22).
Within this context, several plausible and competing hy-potheses have been proposed. The hypotheses are that E, through dopaminergic neurons in the brain, actually de-creases bioavailable ACTH production, or may inhibit pro-lactin bioactivity, or act via some inhibitory molecule known as cortical adrenal-stimulating hormone (22). At the present time, another controversial issue is whether the postmeno-pausal ovary is a major source for androgens.
In contrast, the presence of E receptors in the adrenal cortex of several animal species, including primates, suggests that E2 is, most probably, a physiologically important regulator of adrenal steroidogenesis, and several investiga-tors have suggested that menopause-associated E deficiency may further suppress adrenal androgens (23, 24). Almost all our surgical indications were attributed to myoma uteri or hyperplasia of the endometrium, which are associated with hyperestrogenic milieu. Moreover, we did not correlate the androgen hormone levels with E levels (preoperatively and postoperatively) and neither did we measure the intraovarian steroidogenesis that reflects a direct ovarian contribution. Obviously, these limitations hampered a robust interpretation of the data.
On the basis of the present study, it is worth noting that SHBG levels were influenced by ovarian status. As clearly illustrated in Figure 3, SHBG levels increased only in the oophorectomized group. Obviously, SHBG is an indirect measure of the T-E ratio and has been used as a marker for androgen status. In fact, the question of whether sex steroids can regulate SHBG, even in physiologic conditions, is still under debate, because physiologic changes in sex steroid levels do not always correlate with changes in SHBG. On the basis of our results, SHBG was negatively correlated with BMI, waist-to-hip ratio, and insulin and T levels in both premenopausal and postmenopausal women, whereas in the premenopausal group, E2 levels were positively correlated with SHBG.
In particular, there appears to be a threshold level for which E2 is an important determinant of SHBG blood concentrations (25, 26). Among the oophorectomized and nonoophorectomized groups, SHBG levels did not vary with age. The BMI X group interactions resulted in significant findings only in SHBG levels. As presented in Figure 2 and Figure 3, the high postoperative SHBG levels found in the present study are contradictory to some studies that supported a decline in SHBG levels with advancing age (7, 26, 27).
It is noteworthy that even a simple hysterectomy for a benign condition may result in reduced plasma androgens of both ovarian and adrenal origin. Thus, especially hysterec-tomized premenopausal women should be regularly assessed in terms of these endocrine effects, and more conservative or less radical surgeries should be contemplated. Androgen deficiency in women after natural or surgical menopause may lead to accelerated bone loss, libido loss, and impaired sexual function together with psychological sequelae that adversely affect the quality of life (25). The latter issue is now part of our future research agenda.
In addition to the aforementioned findings, given the short time frame of evaluation, the comparison between oopho- rectomized and nonoophorectomized groups may be premature and reflect acute vascular insult. Last but not least, a long-duration follow-up is required before making such conclusions regarding the effect of hysterectomy and/or oophorectomy on ovarian androgen production; this merits further research.
References
Rinaudo P, Strauss JF III. Endocrine function of the postmenopausal ovary. Endocrinol Metab Clin North Am 2004;33(4):661-74.
Miller KK. Androgen deficiency in women. J Clin Endocrinol Metab 2001;86(6):2395-401.
Longcope C, Franz C, Morello C, Baker K, Johnston CC Jr. Steroid and gonadotropin levels in women during the peri-menopausal years. Ma- turitas 1986;8(3):189-96.
Zumoff B, Strain GW, Miller LK, Rosner W. Twenty-four-hour mean plasma testosterone concentration declines with age in normal premenopausal women. J Clin Endocrinol Metab 1995;80(4):1429-30.
Dowsett M, Cantwell B, Lal A, Jeffcoate SL, Harris AL. Suppression of postmenopausal ovarian steroidogenesis with the luteinizing hormonereleasing hormone agonist goserelin. J Clin Endocrinol Metab 1988; 66(4):672-7.
Longcope C, Hunter R, Franz C. Steroid secretion by the postmeno-pausal ovary. Am J Obstet Gynecol 1980;138(5):564-8.
Burger HG, Dudley EC, Cui J, Dinnerstyein L, Hopper JL. A prospective longitudinal study of serum testosterone, dehydroepi- androsterone sulfate, and sex hormone-binding globulin levels through the menopausal transition. J Clin Endocrinol Metab 2000; 85(8):2832-8.
Couzinet B, Meduri G, Lecce MG, Young J, Brailly S, Loosfelt H, et al. The postmenopausal ovary is not a major androgen secreting gland. J Clin Endocrinol Metab 2001;86(10):5060-6.
Labrie F, Luu-The V, Labrie C, Simard J. DHEA and its transformation into androgens and estrogens in peripheral target tissues: intracrinology. Front Neuroendocrinol 2001;22(3):185-212.
Leowattana W. DHEAS as a new diagnostic tool. Clin Chim Acta 2004;341(1-2):1-15.
Siddle N, Sarrel P, Whitehead M. The effect of hysterectomy on the age at ovarian failure: identification of a subgroup of women with premature loss of ovarian function and literature review. Fertil Steril 1987; 47:94-100.
Chan CC, Ng EH, Ho PC. Ovarian changes after abdominal hyster-ectomy for benign conditions. J Soc Gynecol Investig 2005;12(1): 54-7.
Riedel HH, Lehmann-Willenbrock E, Semm K. Ovarian failure phe-nomena after hysterectomy. J Reprod Med 1986;31:597-600.
Laughlin GA, Barrett-Connor E, Kritz-Silverstein D, von Muhlen D. Hysterectomy, oophorectomy, and endogenous sex hormone levels in older women: the Rancho Bernardo study. J Clin Endocrinol Metab 2000;85(2):645-51.
Rannevik G, Jeppsson S, Johnell O, Bjerre B, Laurell-Borulf Y, Svanberg L. A longitudinal study of the perimenopausal transition: altered profiles of steroid and pituitary hormones, SHBG and bone mineral density. Maturitas 1995;21(2):103-13.
Sulcova J, Hill M, Hampl R, Starka L. Age- and sex-related differences in serum levels of unconjugated dehydroepiandrosterone and its sulfate in normal subjects. J Endocrinol 1997;154:57-62.
Laughlin GA, Barrett-Connor E. Sexual dimorphism in the influence of advanced aging on adrenal hormone levels: the Rancho Bernardo Study. J Clin Endocrinol Metab 2000;85(10):3561-8.
Lasley BL, Santoro N, Randolf JF, Gold EB, Crawford S, Weiss G, et al. The relationship of circulating dehydroepiandrosterone, testosterone and estradiol to stages of the menopausal transition and ethnicity. J Clin Endocrin Metab 2002;87(8):3760-7.
Cumming DC, Rebar RW, Hopper BR, Yen SS. Evidence for an influence of the ovary on circulating dehydroepiandrosterone sulfate levels. J Clin Endocrinol Metab 1982;54:1069-71.
Sluijmer AV, Heineman MJ, De Jong FH, Evers JLH. Endocrine activity of the postmenopausal ovary: the effects of pituitary down-regulation and oophorectomy. J Clin Endocrinol Metab 1995;80:2163-7.
Davison SL, Bell R, Donath S, Montalto JG, Davis SR. Androgen levels in adult females: changes with age, menopause and oophorec-tomy. J Clin Endocrinol Metab 2005;90(7):3847-53.
Lobo RA, Goebelsmann U, Brenner PF, Mishell DR Jr. The effects of estrogen on adrenal androgens in oopherectomized women. Am J Obstet Gynecol 1982;142(4):471-8.
Slayden SM, Crabbe L, Bae S, Potter HD, Azziz R, Parker CR. The effect of 17 beta-estradiol on adrenocortical sensitivity, responsiveness, and steroidogenesis in postmenopausal women. J Clin Endocrinol Metab 1998;83(2):519-24.
Burger HG. Androgen production in women. Fertil Steril 2002; 77(suppl 4):S3-5.
Davis SR, Burger HG. Clinical review 82: androgens and the post-menopausal woman. J Clin Endocrinol Metab 1996;81(8):2759-63.
Pasquali R, Vicennati V, Bertazzo D, Casimirri F, Pascal G, Tortelli O, et al. Virgilio-Menopause-Health Group. Determinants of sex hormone-binding globulin blood concentrations in premenopausal and postmenopausal women with different estrogen status. Metab-olism 1997;46(1):5-9.
Gambera A, Scagliola P, Falsetti L, Sartori E, Bianchi U. Androgens insulin-like growth factor-I (IGF-I) and carrier proteins (SHBG, IGFBP-3) in postmenopause. Menopause 2004;11:159-66.