Marcel E. de Gooyer , Hendrika M. Oppers-Tiemissen, Dirk Leysen, Herman A.M. Verheul, Helenius J. Kloosterboer
N.V Organon, Research & Development Laboratories, Molenstraat 110, PO Box 20, 5340 BH, Oss, The Netherlands Received 9 July 2002; received in revised form 15 August 2002; accepted 26 August 2002
M.E. de Gooyer; E-mail: marcel.degooyer@organon.com.
Abstract
To exclude that aromatization plays a role in the estrogenic activity of tibolone, we studied the effect tibolone and metabolites on the aromatization of androstenedione and the aromatization of tibolone and its metabolites to 7α-methyl-17α-ethynylestradiol (7α-MEE) by human recombinant aromatase. Testosterone (T), 17α-methyltestosterone (MT), 19-nortestosterone (Nan), 7α-methyl-19-nortestosterone (MENT) and norethisterone (NET) were used as reference compounds. Sensitive in vitro bioassays with steroid receptors were used to monitor the generation of product and the reduction of substrate. LC-MSMS without derivatization was used for structural confirmation.
A 10 times excess of tibolone and its metabolites did not inhibit the conversion of androstenedione to estrone by human recombinant aromatase as determined by estradiol receptor assay whereas T, MT, Nan, and MENT inhibited the conversion for 75, 53, 85 and 67%, respectively. Tibolone, 3α- and 3β-hydroxytibolone were not converted by human aromatase whereas the estrogenic activity formed with the Δ4-isomer suggests a conversion rate of 0.2% after 120 min incubation. In contrast T, MT, Nan, and MENT were completely converted to their A-ring aromates within 15 min while NET could not be aromatized. Aromatization of T, MT, Nan and MENT was confirmed with LC-MSMS. Structure/function analysis indicated that the 17α-ethynyl-group prevents aromatization of (19-nor)steroids while 7α-methyl substitution had no effect.
Our results with the sensitive estradiol receptor assays show that in contrast to reference compounds tibolone and its metabolites are not aromatized.
Keywords: Tibolone (Org OD 14); Livial; Aromatase; 19-Norsteroids; ERα-, ERβ-, AR-, PR-bioassays; Steroid; 7α-Methyl-ethynylestradiol
Introduction
In humans tibolone displays tissue-specific effects and is used for the treatment of climacteric complaints and the prevention of osteoporosis: it acts as an estrogen on bone, central nervous system and on vagina while no estrogenic stimulation could be found on breast or endometrium [1-6]. After oral application tibolone is rapidly converted to 3α- and 3β-hydroxytibolone and the Δ4-isomer without detecting phenolic A-ring metabolites [7-10]. The observed estrogenic activities can be mediated by the 3α- and 3β-hydroxytibolones which are shown to bind to the ERα and ERβ at about 30% of the potency of estradiol (E2) [11]. Despite the low binding compared to E2 the estrogenic effects on bone can be explained by the tissue-specific activation of the large amounts of circulating inactive sulfated estrogenic metabolites [10,11]. However, we also want to investigate to what extent the estrogenic activities of ti- bolone are due to aromatization of the A-ring of tibolone or the Δ4-isomer by the enzyme aromatase, leading to 7α-methyl-17α-ethynylestradiol (7α-MEE).
The enzyme aromatase belongs to the cytochrome P450 superfamily, located in the microsomal fraction and formed from the CYP19 gene [12]. The enzyme complex is composed of two polypeptides, aromatase cytochrome P450 and an NADPH-cytochrome c reductase [13,14]. CYP19 converts the androgens, androstenedione and testosterone to the phenolic A-ring derivatives, estrone and estradiol, respectively. The aromatization of C19 steroids takes place in three sequential oxidative steps. The first step is the hydroxylation of the C19-methyl group followed by a second hydroxylation on the C19-methyl group resulting in the formation of a 19-oxo-compound. The last step is the cleavage of the bond between C10 and C19 resulting in the formation of formic acid and the aromatized A-ring analogue with specific loss ofthe 1β- and 2β-hydrogen atoms [15,16]. CYP19 is widely expressed in human tissues and is found in placenta, ovary, endometrium, bone, and brain [17] but not in human adult liver [18].
In the literature a controversy exists about the aromatization of 19-norsteroids. Since these synthetic steroids lack the C19-methyl, required for the initial step for aromatization, some authors claim that 19-norsteroids cannot be aromatized by (human) aromatase in in vitro systems [19-22] while other authors claim that aromatization is possible [23-26]. It is suggested that another type of aromatase enzyme could be involved [19,27] or that the 19-norsteroids are irreversible or suicide inhibitors of aromatase [28-30]. It is also not clear whether the 17α-substituted progestagen norethisterone (17α-ethynyl-19-nortestosterone, NET) can be aromatized. In menopausal women some conversion of NET to ethynyl estradiol (EE) has been reported to a degree varying from 0.35 to 2.3%. These conversion rates were considered to be of little clinical significance [31] or small but significant [32], respectively. In a study with postmenopausal women on HRT (2 mg estradiol, 1 mg estriol, and 1 mg NET), a conversion rate of 0.35% of NET to EE was found [33]. In some in vitro systems NET inhibited the aromatase activity [34-37] whereas in other in vitro systems cell cultures NET could be aromatized to EE [38-40]. In addition, a recently published study reported that tibolone could be converted to 7α-MEE in young pre-menopausal women [41]. The common detection techniques in these in vitro and in vivo studies were, thin layer chromatography, HPLC, gas chromatography, and radio immuno assays. Gas chromatography requires derivatization of the steroids which may lead to chemical aromatization of some steroids as demonstrated by the conversion of norethynodrel to EE [42]. Therefore, we wanted to investigate whether assays measuring in vitro biological activity would yield more sensitive detection methods. The detection limit of the recently developed analytical assay, LC-MSMS without derivatiza- tion, is in the nanomolar range. The bioassays are expected to detect activities in the (sub)picomolar range [11]. We used CHO cells stably transfected with human steroid receptors and a luciferase reporter gene to detect both the reduction and generation of hormonal activities in the cell cultures. LC-MSMS detection was used as the golden standard ana-lytical assay for detection of phenolic A-ring derivatives.
This study investigates whether tibolone, its metabolites, 19-norsteroids and 17α-substituted steroids can interfere with the aromatization of androstenedione or whether these steroids can be aromatized. To detect the reduction in levels of test compounds and the generation of the phenolic A-ring analogue, we have used two different, sensitive, detection methods, bioassays and the conventional analytical LC-MSMS without derivatization.
2.Experimental
2.1.Materials
The following compounds were supplied by the Department of Medicinal Chemistry of N.V. Organon, Oss, The Netherlands: Tibolone (Org OD 14) [(7α,17α)-17-hydroxy- 7-methyl-19-norpregn-5(10)-en-20-yn- 3-one]; Δ4 -tibolone [(7α,17α )-17-hydroxy-7-methyl-19-norpregn- 4-en- 20-yn- 3-one];3α-hydroxytibolone [(3α,7α,17α)-7-methyl-19-norpregn-5(10)- en-20-yne-3,17-diol]; 3 P-hydroxytibolone [(3 P,7α,17α)-7-methyl-19-norpregn-5(10)-en-20-yne-3,17- diol]; norethisterone (NET); estradiol (E2); 17α-ethynyl- estradiol (EE); 17α-methylestradiol (17α-ME); 7α-methyl- estradiol (7α-ME); 7α-MEE; testosterone (T); 17α-methyl- testosterone (MT); 19-nortestosterone (nandrolone, Nan); 7α-methyl-19-nortestosterone (MENT); 5α-dihydrotesto- sterone (DHT); and the aromatase inhibitor, Org 33201. Purified recombinant human aromatase was obtained from GenTest (Woburn, MA, USA), 1β[3H]-androstenedione from New England Nuclear (Boston, USA), and NADPH from Boehringer-Mannheim (Mannheim, Germany).
The structures of tibolone and its metabolites are displayed in Fig. 1.

Figure 1. The chemical structure of tibolone and its metabolites.
2.2.Cell lines
The CHO cells stably transfected with the steroid receptors and culture conditions are described by de Gooyer et al. [11].
2.3.Inhibition studies of human aromatase
The method described by Geelen et al. [43] was used with slight modifications. In brief, purified recombinant human aromatase (0.05 nmol/ml) was resuspended in a phosphate buffer (100mmol/l, pH 7.4) and compounds were added as ethanolic solution (final concentration: 0.1%). The final 1β-[3H]androstenedione concentration was 1 μmol/l; tibolone, its metabolites and T, MT, Nan, and MENT were tested at 10 μmol/l. The non-steroidal aromatase inhibitor Org 33201 was tested at 2nmol/l. The final incubation volume was 1 ml. The incubations were terminated by the addition of 100 μl trichloroacetic acid (1 g/ml). The aromatase activity was measured by the production of tritiated water during an incubation time of 20 min.
2.4.Conversion studies by human aromatase
Human aromatase (0.05 nmol/ml) was resuspended in phosphate buffer (100 mmol/l, pH 7.4) and compounds were tested at a concentration of 100 nmol/l. The reaction was started with the addition of NADPH (1mmol/l) and terminated after an incubation period of 15, 30, 60, and 120 min by an extraction with ethylacetate. The ethylac- etate was evaporated and the residue was dissolved in 1 ml DMEM/HAM F-12 medium. The remaining parent compound and formed A-ring analogue were determined with LC-MSMS and bioassays for estrogenic, androgenic, and/or progestagenic activities.
Tibolone, Δ4-isomer, and NET were incubated during 60 min at concentrations of 100 and 1000 nmol/l. The generation or reduction of ERβ- or AR-activity was measured with the respective bioassay.
2.5.In vitro receptor bioassays
CHO cells stably transfected with the human estrogen receptor a (ERα), human estrogen receptor p (ERβ), human androgen receptor (AR) or human progesterone receptor (PR), a promotor gene, and a luciferase reporter gene were seeded into a 96-well plate at a density of 3 x 104 cells per well and diluted samples (100 times (time course) or 1000 times (concentration range)) of the test cultures with the test compounds were added. After incubation during 16 h in DMEM/HAM F-12 medium with 5% charcoal-treated supplemented defined bovine calf serum at 37 °C in humidified atmosphere of air supplemented with 5% CO2, 200 μl of the total 250 μl incubation volume were removed and 50 μl LucLite (Canberra Packard, Meridan, USA) were added for cell lysis and luciferase measurement in a Topcount luminescence counter (Canberra Packard, Meridan, USA).
2.6.LC-MSMS detection
Sample pretreatment was performed using on-line solid phase extraction (C18, 8 μm) with a Prospekt automatic SPE cartridge exchanger equipped with an Endurance autosampler (Spark, Holland, Emmen, The Netherlands). Following HPLC (Shimadzu LC10Advp binary LC system, Duisburg, Germany) employing a Waters Symetry C18 HPLC column (30 mm x 2mm, 3.5 μm, Milford, MA, USA), elution was performed with a linear gradient of 40-100% of methanol in 10 mmol/l ammonium formiate in 3 min at a flow rate of 1 ml/min and a Sciex API 4000 MSMS detector (Toronto, Canada). The detection limits for all compounds tested were 1-2 nmol/l, except for tibolone which cannot be detected with LC-MSMS.
2.7.Statistical analysis
The mean ± S.D. were calculated and Student’s t-test was performed to calculate statistical significance (two-tailed unpaired).
Results
3.1.Inhibition studies of human aromatase
The results are summarized in Table 1. The conversion of 1 μmol/l 1β-[3H]androstenedione by human aromatase was 59pmol/20min. The aromatase inhibitor Org 33201 inhibited aromatase activity 55% at a concentration of 2 nmol/l. T, MT, Nan, and MENT showed significant (P < 0.005) inhibitory activities at 10 μmol/l of 75, 53, 85, and 67%, respectively. Tibolone and its metabolites did not significantly inhibit the aromatase activity at a concentration of 10 μmol/l.
Table 1. Inhibition of purified recombinant human aromatase with various compounds.

3.2.Conversion studies with human aromatase
Fig. 2 shows the activity of the phenolic A-ring analogues in the in vitro receptor bioassays with CHO cells stably transfected with ERα and ERβ. The compounds E2,7α-ME, 17α-ME, EE, and 7α-MEE are able to activate both ERα and ERβ. The detection limits for both ERα and ERβ in these bioassays (0.01-0.1 nmol/l) are well below those of LC-MSMS for EE (1 nmol/l) and 7α-MEE (1.6nmol/l).

Figure 2. Activation of human estrogen receptors a and p (ERα and ERβ) by estradiol (E2), 17α-methylestradiol (17α-ME), 7α-methylestradiol (7α-ME), 17α-ethynylestradiol (EE), and 7α-methyl-17α-ethynylestradiol (7α-MEE). The agonistic activation curves are determined as described by de Gooyer et al. [11].
The aromatization time curves for the reference compounds T, MT, Nan, MENT, and NET, all at a concentration of 100 nmol/l, as shown in the receptor bioassays are shown in Fig. 3. The activities found at t = 0 reflect the activities of the test compounds before being subjected to the aromatase enzyme. The compounds T, MT, Nan, and MENT are completely converted by human aromatase within 15 min. For, e.g. T, this is shown by a decrease of activation via AR and simultaneous increase in the ERα and ERβ activation. The data in the bioassay are confirmed by LC-MSMS (Table 2). NET could not be metabolized by human aromatase during an incubation period of 120 min as shown with receptor bioassays and LC-MSMS. After 15 min a slight decrease of NET was found.
Table 2. Inhibition of purified recombinant human aromatase with various compounds.


Figure 3. Conversion of the reference compounds testosterone, 17α-methyltestosterone, nandrolone, 7α-methylnandrolone, and norethisterone (left panel) and tibolone and its metabolites (right panel) by purified recombinant human aromatase detected with in vitro receptor bioassays. Compound concentration was 100nmol/l. Data represent inhibition ± S.D. (n = 2).
The results with the reference compounds also show that under these conditions the resulting, 7α-ME (from MENT) and EE activate both the ERα and ERβ confirming the results of the concentration curves (Fig. 2).
The results with tibolone and its metabolites are shown in Fig. 3 and Table 2. Tibolone, 3α- and 3β-hydroxytibolone (100 nmol/l) are not converted by human aromatase during an incubation period of 120 min as shown in the in vitro receptor bioassays and by LC-MSMS. The estrogenic activity found with 3α- and 3β-hydroxytibolone is already present before incubation with the aromatase enzyme (t = 0) and is exclusively mediated through ERα. With the Δ4-isomer (100 nmol/l), a slight increase in activity exclusively through the ERα is observed after an incubation for 30 min and longer. No ERβ activity can be measured and no aromatic A-ring could be detected by LC-MSMS.
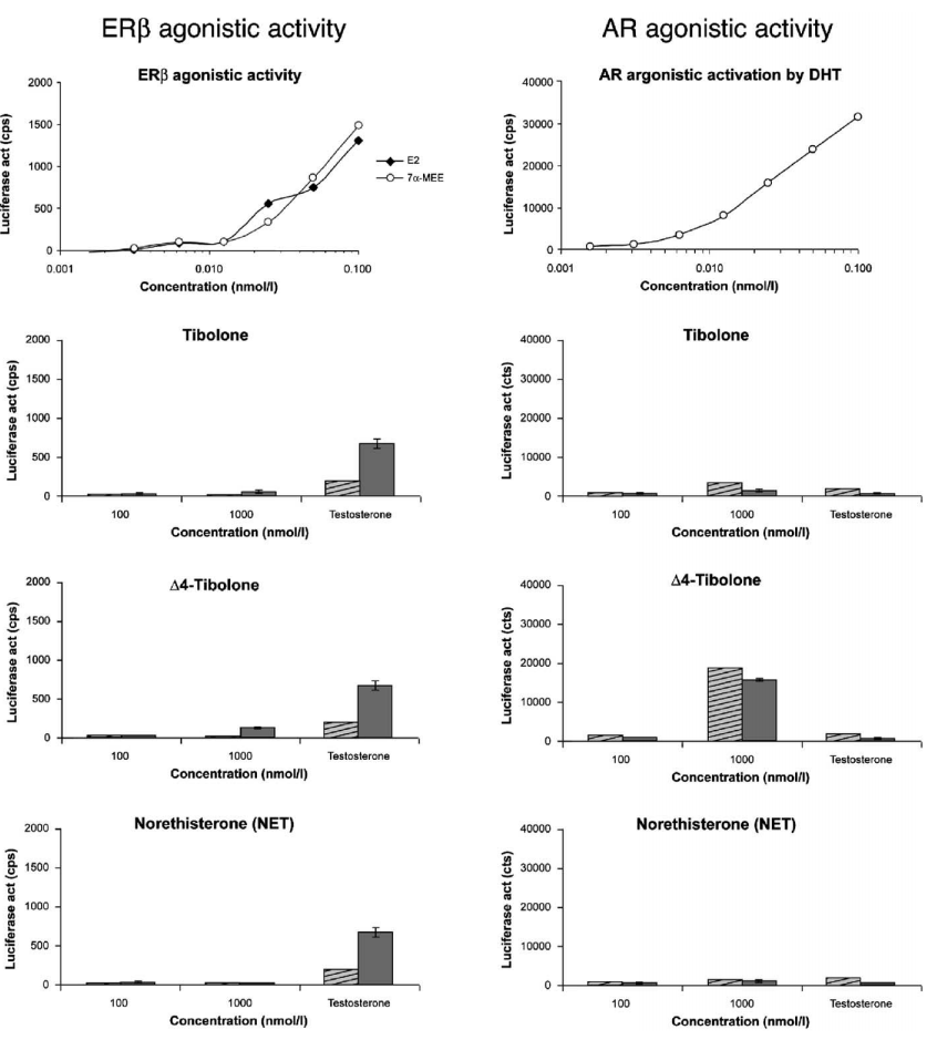
To further study the possible conversion by aromatase ti- bolone, Δ4-tibolone, and NET were incubated at 100 and 1000 nmol/l for 60 min and analyzed with the in vitro receptor bioassay for ERβ to detect the generation of 7α-MEE and for AR to detect the reduction of the androgenic activity of the test compound. Testosterone is used as positive control. Incubations of test compounds and aromatase without NADPH were used as negative controls. In these assays concentration curves of E2, 7α-MEE, and 5α-DHT were used as controls for receptor activation. Fig. 4 shows that incubation of testosterone generates ERβ activation and reduce AR activity. In contrast, at a concentration of 100 nmol/l, no conversion can be found for tibolone, Δ4-isomer, and NET. At a 10 times higher concentration (1000 nmol/l), only the Δ4-isomer showed some activation of the ERβ.

Figure 4. Tibolone, Δ4-isomer, and norethisterone (NET) were incubated with recombinant purified human aromatase at 100 and 1000nmol/l and the conversion was measured with in vitro receptor bioassays for ERβ (left panel) or AR (right panel). Testosterone was used as positive control at a concentration of 0.1 pmol/l. Data are expressed as inhibition ± S.D. (n = 2). Hatched bars represent control incubations without NADPH.
Discussion
The conversion of tritium-labeled androstenedione to estrone could be effectively inhibited by the aromatase inhibitor Org 33201, the reference compounds T, MT, Nan, and MENT as expected and confirmed by literature data for MT [44] and MENT [25,26]. Tibolone and its metabolites do not inhibit the aromatase activity at concentrations which are 10 times higher than the androstenedione concentration and 5000 times higher than Org 33201 indicating that the affinity of tibolone and its metabolites for the active site of aromatase is very low, if any. This could be due to structural elements of tibolone and its metabolites. The 10 μmol/l concentra-tions used in this assay are very high compared to the circulating levels of tibolone (< 10 nmol/l) and the Δ4-isomer ( < 2 nmol/l) found in the circulation after treatment with Livial® [10]. Also, the 3α- and 3β-hydroxytibolones do not inhibit the conversion of androstenedione. The concentrations of these metabolites ( < 50 and < 15 nmol/l for 3α- and 3β-hydroxytibolone, respectively) in circulation are much higher than that of tibolone [10] but well below the concentrations used in our in vitro assays. The Δ4-isomer of tibolone does not show any inhibitory effects in contrast to the effects of NET reported in [15,35]. These results indicate that the affinity of tibolone and its metabolites for the aromatase enzyme is very low, if any.
In our newly developed test system, compounds are incubated with human aromatase and the formation of active estrogenic phenolic A-ring derivatives are detected with in vitro receptor bioassays for ERα and/or ERβ. As a complementary check the decrease of the AR and/or PR activity of the parent compound is monitored with in vitro receptor bioassays. The test systems have been validated with T, MT, Nan, MENT, and NET. The compounds and reaction products are also monitored with the analytical method, LC-MSMS. Our results indicate that EE and 7α-MEE are able to activate both the ERα and ERβ with a level of detection in the 0.01-0.1 nmol/l range. This implies that the formation of 7α-MEE after aromatization of a steroid would result in activation of both receptors. In addition, the conversion in our system of the reference compounds to E2, 7α-ME, or 17α-ME is very rapid and is complete in about 15 min. The formation of estradiol from testosterone derivatives is higher than from Nan. This indicates that 19-norsteroids are less susceptible for aromatase than C19-steroids, as has been previously reported [23-27]. The observation that 19-norsteroids act as inhibitors of aromatase activity also confirms our results [28-30].
After incubation of tibolone and its metabolites with the aromatase enzyme, no aromatic structures could be detected by LC-MSMS without derivatization, which has a detection limit in our hands of 1.0 and 1.6 nmol/l for EE and 7α-MEE, respectively. In the 10-100 times more sensitive in vitro receptor bioassays, no conversion with tibolone and the 3α- and 3 β-hydroxymetabolites has been found, as measured by the generation of estrogenic activity. With 100 nmol/l of the Δ4-isomer, a slight activity is found only in the in vitro ERα bioassays and only after an incubation of over 30 min, whereas in the ERβ assay no activity could be detected. In contrast, all reference compounds after aromatization showed both ERα and ERβ activity and a complete conversion after 15 min incubation with aromatase. These differences may indicate that the low estrogenic activity found with the Δ4-isomer is not due to conversion by aromatase and that other mechanisms e.g. hydroxylation at C3 are involved. This is in agreement with our previous findings that after oral application of tibolone no aromatic metabolites of tibolone could be found in animals [9] and humans [10]. The reported unknown metabolites by Vos [10] do not correspond to the 7α-MEE (Delbressine, personal communication). It is concluded that the estrogenic effects of tibolone cannot be attributed to the formation of 7α-MEE.
Recently, it was claimed that 7α-MEE is a newly discovered metabolite of tibolone [41,45] and it was suggested that the 7α-MEE would be responsible for the estrogenic effects observed with tibolone in women [45]. Our data with human aromatase, however, prove that the 7α-MEE is not formed by conversion of tibolone or its metabolites in a sufficient quantity to explain the estrogenic effects. It should be noted, however, that for the determination of estrogens the detection method is very important, since e.g. NET and NED can be chemically aromatized during the derivatiza- tion procedure for gas chromatography [32,42]. This chemical conversion of NET and NED has been attributed to the heating step during GC-MS. The discrepancy between our results and the recently reported formation of 7α-MEE in an in vivo study [41] may well be due to these artifacts in the GC-MS analysis. We are currently investigating this possibility. Therefore, in our study, we did not use GC-MS to determine the amount of EE or 7α-MEE formed during the incubations, but used bioassays and LC-MSMS without derivatization which do not employ heating steps. Instead, our assays measure the steroids directly in the culture media.
The results reported by Wiegeratz [41] indicate that tibolone is converted very rapidly, suggesting a first pass effect. However, the aromatase enzyme is found in the human ovary, testis, placenta, adipose tissue, osteoblast cells, endometrium and brain but not in healthy human adult liver [17,18]. Therefore, the formation of 7α-MEE must have been formed locally but not in the liver, resulting in a different time-concentration curve. In addition, the formation in vivo of 7α-MEE from tibolone as claimed by Wiegeratz [41] is very unlikely since the pharmacodynamic profile of tibolone is different from that of EE and EE + NET. Oral EE alone increases in postmenopausal women [57] while tibolone decreases sex hormone binding globulin (SHBG) levels [54-56]. In addition, tibolone does not affect the levels of cortisol binding globulin (CBG) which is solely affected by estrogens [46-55]. EE has strong reducing effects on follicle stimulating hormone whereas tibolone is less affective [56,58]. Assuming that the pharmacodynamic profile of 7α-MEE is similar to that of EE, these pharmacodynamic data show that tibolone in vivo is not converted to 7α-MEE in clinically relevant amounts. Therefore, the estrogenic activities of tibolone in vivo are exclusively mediated by 3α- and 3β-hydroxytibolone.
It should be realized that despite the levels of the 3α- and 3 β-hydroxytibolone in the circulation of postmenopausal women no stimulation of breast tissue was found as shown by the lack of increase in breast tenderness or density [1-3]. This lack of estrogenic effects on the breast is explained by the interaction of tibolone and its metabolites on sulfa- tase and sulfotransferase enzymes resulting in a prevention of the formation of the active estrogenic compounds from the circulating pool of sulfated compounds in breast cells [1,59,60].
We have also evaluated the structure activity relationship of the aromatization of steroids. Comparison of Nan and MENT show that introduction of a 7α-methyl group substituent does not block the formation of phenolic A-ring derivatives. Introduction of a 17α-methyl group in T (resulting in MT) causes no inhibition whereas a 17α-ethynyl group in Nan (resulting in NET) completely block the conversion.
We conclude that in vitro receptor bioassays are approximately 10-100 times more sensitive for the detection of steroids than the conventional LC-MSMS without deriva- tization and that these bioassays are suitable to monitor the generation of estrogenic compounds after incubation with human recombinant aromatase. The 19-norsteroids can be aromatized, introduction of 7α-methyl substituent does not inhibit aromatization whereas a 17α-ethynyl substituent completely blocks the aromatase enzyme. Tibolone and the 3α- and 3β-hydroxytibolone are not metabolized by human aromatase to 7α-MEE. In view of the low circulating levels of the Δ4-isomer after oral application of 2.5 mg tibolone the production in vivo of 7α-MEE is negligible.
Acknowledgements
We would like to thank Dr. Evan Simpson, Prince Henry’s Institute of Medical Research, Melbourne, Australia, forcrit- ical reviewing of the manuscript and his suggestions.
References
Kloosterboer HJ. Tibolone: a steroid with a tissue-specific mode of action. J Steroid Biochem Mol Biol 2001;76:231-8.
Palacios S. Tibolone: what does tissue specific activity mean? Maturitas 2001;37:159-65.
Lundstrôm E, Christow A, Svane G, Azavedo E, Sôderqvist G, Kersemaekers W, et al. Effects of tibolone and a continuous combined HRT regimen on mammographic breast density. Am J Obstet Gynecol 2002;186:717-26.
Tang B, Markiewicz L, Kloosterboer HJ, Gurpide E. Human endo-metrial 3-beta-hydroxysteroid dehydrogenase/isomerase can locally reduce estrogenic/progestagenic activity ratios of a steroidal drug (Org OD 14). J Steroid Biochem Mol Biol 1993;45:345-51.
Markiewicz L, Gurpide E. In vitro evaluation of estrogenic estrogen: antagonistic and progestagenic effects of a steroidal drug (tibolone) and its metabolites on human endometrium. J Steroid Biochem 1990;35:535-1.
Christodoulakis GE, Lanbrinoudaki IV, Vourtsi AD, Passoutis KP, Kelekis DA, Creatsas GC. Mammagraphic changes associated with raloxifene and tibolone therapy in postmenopausal women: a prospective study. Menopause 2002;9:110-6.
Visser de J, Coert A, Feenstra H, Vies van der J. Endocrinological studies with (7α, 17α)-17-hydroxy-7-methyl-19-nor-pregn5(10)-en- 20-yn-3-one tibolone. Arzneim Forsch 1984;34:1010-7.
Tax L, Goorisssen EM, Kicovic PM. Clinical profile of tibolone. Maturitas 1987;1(Suppl):3-13.
Verhoeven CHJ, Vos RME, Delbressine LPC. The in vivo metabolism of tibolone in animal species. Eur J Metabol Pharmacokin 2002;27:1- 10.
Vos RME, Krebbers SFM, Verhoeven CHJ, Delbressine LPC. The in vivo human metabolism of tibolone. Drug Metab Dispos 2002;30:106-12.
de Gooyer ME, Deckers GH, Schoonen WGEJ, Verheul HAM, Kloosterboer HJ. Receptor profiling and endocrine interactions of tibolone. Steroids 2003;68:21-30.
Nelson DR, Koymans L, Kamataki T, Stegeman JJ, Freyereisen R, Waxman DJ, et al. P450 superfamily: update on new sequences, gene mapping, accession numbers, and nomenclature. Pharmacogenetics 1996;6:1-42.
Brodie AMH. Recent advances in studies on estrogen biosynthesis. J Endocr Invest 1979;2:445-60.
Ryan JR. Biochemistry of aromatase: significance to female reproductive physiology. Cancer Res 1982;42:3342-4.
Osawa Y, Shibata K, Rohrer D, Weeks C, Duax WL. Letter: reassignment of the absolute configuration of 19-substituted 19- hydroxysteroids and stereomechanism of estrogen biosynthesis. J Am Chem Soc 1975;97:4000-2.
Brodie HJ, Kripalani KJ, Possanza GJ. Studies on the mechanism of estrogen biosynthesis. Part VI. The stereochemistry of hydrogen elimination at C-2 during aromatization. J Am Chem Soc 1969; 91:1241-2.
Sasano H, Harada N. Intratumoral aromatase in human breast endometrial and ovarian malignancies. Endocrine Rev 1998;19:593- 607.
Simpson ER, Clyne C, Rubin G, Boon WC, Robertson K, Britt K, et al. Aromatase - a brief overview. Annu Rev Physiol 2002;64:93-127.
Tan L, Muto N. Purification and reconstitution properties of human placental aromatase A cytochrome P-450-type monooxygenase. Eur J Biochem 1986;156:243-50.
Silberzahn P, Gaillard JL, Quincey D, Dintinger T, Al-Timimi I. Aromatization of testosterone and 19-nortestosterone by a single enzyme from equine testicular microsomes: differences from human placental microsomes. J Steroid Biochem 1988;29:119-25.
Dintinger T, Gaillard JL, Moslemi S, Zwain I, Silberzahn P Androgen and 19-norandrogen aromatization by equine and human placental microsomes. J Steroid Biochem 1989;33:949-54.
Amri H, Gaillard JL, Al-Timimi I, Zilberzahn P. Equine ovarian aromatase: evidence for a species specificity. Biochem Cell Biol 1993;71:296-302.
Khalil MW, Chung N, Morley P, Glasier MA, Armstrong DT Formation and metabolism of 5(10)-estrene-3 beta, 17 beta-diol, a novel 19-norandrogen produced by porcine granulosa cells from C19 aromatizable androgens. Biochem Biophys Res Commun 1988;155:144-50.
Raeside JI, Renaud RL, Friendship RM. Aromatization of 19-nor- androgens by porcine Leydig cells. J Steroid Biochem 1989;32:729- 35.
Sundaram K, Kumar N, Bardin CW. 7-Alpha-methyl-19-nortestoste- rone: an ideal androgen for replacement therapy. Rec Prog Hormone Res 1994;49:373-6.
LaMorte A, Kumar N, Bardin CW, Sundaram K. Aromatization of 7 alpha-methyl-19-nortestosterone by human placental microsomes. J Steroid Biochem Mol Biol 1994;48:297-304.
Dintinger T, Gaillard JL, Zwain I, Bouhamidi R, Silberzahn P Synthesis and aromatization of 19-norandrogens in stallion testis. J Steroid Biochem 1989;32:537-44.
Sheean LA, Meigs RA. Inhibitor specificity of the placental microsomal oxidase system responsible for the aromatization of epitestosterone (17-alpha-hydroxy-4-androst-3-one). Steroids 1983;41:225-41.
Tseng L, Tseng JK, Mann WJ, Chumas JC, Stone ML, Mazella J, et al. Endocrine aspects of human uterine sarcoma: a preliminary study. Am J Obstet Gynecol 1986;155:95-101.
Perel E, Daniilescu D, Kharlip L, Blackstein M, Killinger DW. Steroid modulation of aromatase activity in human cultured breast carcinoma cells. J Steroid Biochem 1988;29:393-9.
Kuhnz W, Heuner A, Humpel M, Seifert W, Michaelis K. In vivo conversion of norethisterone and norethisterone acetate to ethinyl estradiol in postmenopausal women. Contraception 1997;56:379-85.
Reed MJ, Ross MS, Lai LC, Ghilchik MW, James VH. In vivo conversion of norethisterone to ethynylestradiol in perimenopausal women. J Steroid Biochem Mol Biol 1990;37:301-3.
Klehr-Bathmann I, Kuhl H. Formation of ethinylestradiol in postmenopausal women during continuous treatment with a combination of estradiol, estriol and norethisterone acetate. Maturitas 1995;21:245-50.
Osawa Y, Yarborough C, Osawa Y. Norethisterone a major ingredient of contraceptive pills is a suicide inhibitor of estrogen synthesis. Science 1982;215:1249-51.
Covey DF, Hood WF, McMullan PC. Studies of the inactivation of human placental aromatase by 17 alpha-ethynyl-substituted 10-beta-hydroperoxy and related 19-nor steroids. Biochem Pharmacol 1986;35:1671-4.
Johnston JO, Wright CL, Leeson GA. Regioselectivity of metabolic activation of acetylynic steroids by hepatic cytochrome P450 isozymes. Steroids 1991;56:180-4.
Yamamoto T, Taumura T, Kitawaki J, Osawa Y, Okada H. Suicide inactivation of aromatase in human placenta and uterine leiomyoma by 5 alpha-dihydronorethindrone, a metabolite of norethindrone, and its effect on steroid-producing enzymes. Eur J Endocrinol 1994;130:634-40.
Barbieri PL, Petro Z, Canick JA, Ryan KJ. Aromatization of norethindrone to ethinyl estradiol by human placental microsomes. J Clin Endocrinol Metab 1983;57:299-303.
Yamamoto T, Yoshiji S, Yasuda J, Shiroshita K, Kitawaki J, Fujii M, et al. Aromatization of norethindrone to ethynylestradiol in human adult liver. Endocrinol Jpn 1986;33:527-31.
Yamamoto T, Kitawaki J, Shiroshita K, Urabe M, Sasaki J, Fukuoka M. The conformation of norethindrone aromatization in primairy human hepatocytes by the Vitafiber-II cell culture system. Acta Obstet Gyneacol Jpn 1988;40:87-9.
Wiegeratz I, Sanger N, Kuhl H. Formation of 7αlpha-methyl- ethinylestradiol during treatment with tibolone. Menopause 2002; 9:293-5.
Thompson RM, Horning EC. Aromatization of the A-ring of nor- ethynodrel, a steroidal oral contraceptive, during trimethylsilylation. Steroids Lipid Res 1973;4:135-42.
Geelen JAA, Deckers GH, van der Wardt JTH, Loozen HJJ, Tax LJW, Kloosterboer HJ. Selection of 19-(ethyldithio)-androst-4ene-3, 17-dione (ORG 30958): a potent aromatase inhibitor in vivo. J Steroid Biochem Mol Biol 1991;38:181-8.
Mor G, Eliza M, Song J, Wiita B, Chen S, Naftolin F. 17-Methyl testosterone is a competitive inhibitor of aromatase activity in Jar choriocarcinoma cells and macrophage-like THP-1 cells in culture. J Steroid Biochem Mol Biol 2001;79:239-6.
Bodine PVN, Harris HA, Lyttle CR, Komm BS. Estrogenic effects of 7α-methyl-17α-ethynylestradiol: a newly discovered tibolone metabolite. Steroids 2002;67:681-6.
Boyd RA, Zegarac EA, Posvar EL, Flack MR. Minimal androgenic activity of a new oral contraceptive containing norethindrone acetate and granulated doses of ethinylestradiol. Contraception 2001;63: 71-6.
Moutos D, Smith S, Zacur H. The effect of monophasic combinations of ethinyl estradiol and norethindrone on gonadotropins, androgens and sex hormone binding globuline: a randomized trial. Contraception 1995;52:105-9.
Song S, Chen JK, He ML, Fotherby K. Effect of some oral contraceptives on serum concentrations of hormone binding globulin and ceruloplasmin. Contraception 1989;39:389-99.
Tafurt CA, Sobrevilla LA, de Estrada R. Effect of progestin-estrogen combinations and progestational contraceptives on pituitary gonadotropins. Fertil Steril 1980;33:261-6.
Carol W, Borner A, Klinger G, Greinke C. Transcortin as an indicator of estrogenic potency in oral contraceptives. Endokrinologie 1980;75:167-72.
van der Vange N, Blankenstein MA, Kloosterboer HJ, Haspels AA, Thijssen JH. Effects of seven low-dose combined oral contraceptives on sex hormone binding globulin. Contraception 1990;41:345-52.
Ling WY, Johnston DW, Lea RH, Bent AE, Scott JZ, Toews MR. Serum gonadotropin and ovarian steroid levels in women during administration of a norethindrone-ethinylestradiol triphasic contraceptive. Contraception 1985;32:367-75.
Carr BR, Parker Jr CR, Madden JD, MacDonald PC, Porter JC. Plasma levels of adrenocorticotropin and cortisol in women receiving oral contraceptive steroid treatment. J Clin Endocrinol Metab 1979;49:346-9.
Kicovic PM, Cortes-Prieto J, Luisi M, Milojevic S, Franchi F. Placebo-controlled cross-over study of effects of Org OD 14 in menopausal women. Reproduction 1982;6:81-91.
Kicovic PM. New steroid for the climatric syndrome. Min Endocr 1989;14:63-7.
Dören M, Rubig A, Coelingh Bennink HJ, Holzgreve W. Differential effects on the androgen status of postmenopausal women treated with tibolone and continuous combined estradiol and norethindrone acetate replacement therapy. Fertil Steril 2001;75:554-9.
Heger-Mahn D, Entezami M, Schutt B, Kuhnz W, Richert K, Lubbert H. Östrogene Effecte nach 14tägiger Gabe von 006 mg Ethinylestradiol bei postmenopausalen Frauen. Geburtsh u Frauenheilk 1996;6:221-5.
Helgason S. Estrogen replacement therapy after the menopause. Estrogenicity and metabolic effects. Acta Obstet Gynecol Scan 1982;107(Suppl):1-29.
de Gooyer ME, Overklift Vaupel Kleyn GT, Smits KC, Ederveen AGH, Verheul HAM, Kloosterboer HJ. Tibolone: a compound with tissue specific inhibitory effects on sulfatase. Mol Cell Endocrinol 2001;183:55-62.
Chetrite G, Kloosterboer HJ, Pasqualini JR. Effect of tibolone (Org OD 14) and its metabolites on estrone sulphatase activity in MCF-7 and T-47D mammary cancer cells. Anticancer Res 1997;17:135-40.