Nicola Pluchinoa, Filippo Ninnia, Massimo Stomatib, Letizia Freschia, Elena Casarosaa, Valeria Valentinoa, Stefano Luisic, Alessandro D. Genazzanid, Elena Potib, Andrea R. Genazzania,⚹
aDepartment of Reproductive Medicine and Child Development, Division of Gynecology and Obstetrics, University of Pisa, Via Roma 35, 56100 Pisa, Italy. bOperative Unit of Obstetrics and Gynecology, “D. Camberlingo” Hospital, Francavilla Fontana, Brindisi, Italy. cDepartment of Pediatric Obstetrics and Reproductive Medicine, Division of Obstetrics and Gynecology, University of Siena, Siena, Italy. dDepartment of Obstetrics and Gynecology, University of Modena, Modena, Italy.
A.R. Genazzani; Tel.: +39 050 503985; fax: +39 050 553410; E-mail: a.genazzani@obgyn.med.unipi.it.
The purpose of this study was to evaluate the effects on hormonal milieu of 1-year therapy with 10mg/day oral dehy- droepiandrosterone (DHEA) or 50 μg transdermal estradiol plus 100mg/day oral micronized progesterone in a group of 20 healthy postmenopausal women (age = 50-58 and years since menopause (ysm) = 1-6) and also the effects observed by combining these two therapies in a group of 12 postmenopausal women (age = 54-61 and ysm = 6-10) characterized by lower baseline DHEA and DHEAS levels ( < 2.40 and < 0.55 |xg/ml, respectively).
DHEA produced a significant rise in androgens levels, whereas HRT did not. Moreover, DHEA alone induced a significantly lower increase in estrogens and beta-endorphin levels and a higher decrease in cortisol levels than HRT. DHEA and HRT also produced a significant similar increase in allopregnanolone levels.
DHEA plus HRT induced a significantly higher increase in testosterone and estradiol and a lower increase in allopregnanolone and beta-endorphin levels and a significantly lower decrease in cortisol levels than HRT alone treated group. A similar increase was observed in progesterone and SHBG levels in all groups.
These results suggest that 10-mg DHEA seems to be the proper dose to replace androgen deficiency in subjects with reduced Delta-5 androgens plasma levels. However, the aging process and the number of years since menopause may further modulate the effects of hormone therapy on hormonal milieu.
Keywords: DHEA replacement therapy; HRT; Postmenopausal women; Sex steroids; Androgenic deficiency; Neurosteroids.
Introduction
Dehydroepiandrosterone (DHEA) and its sulphate ester (DHEAS) are steroid hormones secreted by adrenal glands, totalling 90-95% of the overall pro-duction, with a characteristic age-associated pattern of secretion [1], reaching maximum levels during the third decade of life and steadily declining to 10-20% by around the age of 70 years [2-4]. In contrast, the adrenal glucorticoid and mineralcorticoid secretion rates are maintained unchanged throughout the human lifespan [5]. This process commonly named “adrenopause” is mainly attributed to impairment in 17, 20 desmolase activity within the adrenal zona reticularis [6] and to a reduction in the size of the zona reticularis itself [7].
The age-related decreases in DHEA and DHEAS levels and the resulting increased cortisol/DHEA ratio [8] have been hypothesized to be at the basis of the pathophysiology of the so-called “cortisol-potentiated” diseases, such as diabetes, obesity, osteoporosis, glaucoma and neurodegenerative disorders [9].
Recently, renewed interest has arisen in DHEA as a new strategic tool for hormonal replacement therapy also in postmenopausal women [10] as a result of its ability to exert a positive modulation on several endocrine [11-15] and metabolic [11-19] parameters. In addition, we demonstrated that DHEA supple-mentation in postmenopausal women (6-12 months) was effective in stimulating the synthesis of neu-roactive steroids, in particular allopregnanolone, a 3a-5a-reduced metabolite of progesterone, and some neuropeptides such as beta-endorphin, which are cru-cial in the modulation of mood, memory and feeling of well being, during the reproductive aging [20,21,13].
However, controversial results has been reported about the effects of DHEA therapy on some symp-toms observed in postmenopausal women, such as loss of libido and/or sexual desire, arousal and excitability [18-22], but the addition of an androgen molecule to conventional estroprogestin therapies seems to be more beneficial than HRT alone to improve some aspects of the psychosexual sphere and thus of quality of life [23-25].
On these bases, we evaluated the effects exerted by 1-year low-dose oral DHEA supplementation (10 mg/day) alone or in addition to a conventional estroprogestin replacement regimen in postmenopausal women, in order to assess the DHEA impact on estrogenic, progestogenic, glucocorticoid and androgenic milieu respect to standard HRT.
Materials and methods
Subjects and study protocol
32 postmenopausal women (50-61 years) from the outpatients referred from the Department of Obstetrics and Gynecology, University of Pisa, Italy were enrolled in the study. All subjects had natural menopause and were healthy. Excluding criteria for patient enrolment were: previous or current endocrine disorders, such as thyroid or adrenal dysfunction and altered prolactin circulating levels; treatments for cardiovascular dis-eases, hypertension or psychiatric disorders; previous or current hormonal treatments known to influence endocrine function (including HRT); smoking; pres-ence of any kind of pelvic and breast disease. Natural menopause was defined retrospectively after 12 con-secutive months without natural menstrual periods and age at menopause was the age at last menstruation.
Each patient was followed monthly by the same physician throughout the study. The Local Committee of the University of Pisa approved the study protocol and written informed consent was obtained from each subject before beginning the study.
On these bases patients were divided in two groups according only to their DHEA and DHEAS plasma lev-els, i.e. higher than or lower than 2.40 ng/ml for DHEA and 0.55 μg/ml for DHEAS.
These values were chosen arbitrarily, according to the age-related decrease of DHEA and DHEAS levels [26].
The first group (n = 20), characterized by levels of DHEA and DHEAS above this cut-off value, was fur-ther divided randomly in two subgroups, groups A and B. Group A (n = 10; age = 50-55 years) received an oral 10 mg/day DHEA supplementation (10 mg, Rottapharm, Monza, Italy) and group B (n =10; age = 52-58 years) received a continuous combined HRT regimen consisting of a twice weekly transdermal 50 μg estradiol (TE) patch (Dermestril 50, Rottapharm) plus oral micronized progesterone (mP) 100mg/day (Prometrium 100, Rottapharm). The second group of subjects (n = 12; age= 54-61 years), presenting DHEA and DHEAS plasma levels under the cut-off value, named group C (Table 1), was administered the same continuous combined HRT regimen as group B plus an oral DHEA supplementation at 10mg/day (10 mg, Rottapharm, Monza, Italy). Randomization was made using a computer-generated block random-permutation procedure. Compliance was checked by pill counts at monthly intervals. The study protocol was prospective and the treatment lasted 12 months for all study subjects.
Table 1. Hormonal baseline characteristics of the three groups of treatment.

Each subject underwent a thorough clinical and hormonal evaluation at baseline and at 1, 3, 6, 9 and 12 months of treatment. After overnight fasting, blood samples were obtained from each participant at 8:00 a.m. before the assumption of each hormonal treatment in order to assess the levels of DHEA, DHEAS, androstenedione (A4-A), testosterone (T), progesterone (P), estrone (E1), estradiol (E2), sex hormone-binding globulin (SHBG), cortisol (F), allopregnanolone (3alpha, 5alpha-THP) and beta- endorphin (beta-EP).
Then all blood samples were immediately cen-trifuged and stored at -20 °C until required for the assay.
Assays
All hormonal determinations were carried out dur-ing the same assay. Plasma DHEA, DHEAS, Δ4-A, T, F, P, E1, E2 and SHBG concentrations were determined using commercially available radioimmunoassays kits (Radim, Pomezia, Rome, Italy). The intra-assay and interassay coefficients of variation (CV) and the sensitivity of the assay were: 7.8 and 8.3% and 0.02ng/ml for DHEA, 6.8 and 8.5% and 0.02 ng/ml for DHEAS, 4.2 and 7.6% and 0.03 ng/ml for A4-A, 3.8 and 8.7% and 0.017 ng/ml for T, 4.9 and 7.9% and 0.9 μg/l for F, 6.6 and 11.7% and 0.12ng/ml for P, 4.4 and 6.0% and 4.5pg/ml for E1, 4.6 and 8.5% and 4.7pg/ml for E2, 3.8 and 4.4% and 0.26 nmol/l for SHBG, respectively.
Allopregnanolone (3alpha, 5alpha-THP) evaluation was performed after ether extraction and chromatography partition on Sep-Pak C18 cartridges using a previously described radioimmunoassay method [27]. The sensitivity of the assay, expressed as the minimal amount of allopregnanolone distinguishable from the zero sample with 95% probability, was 20 pg/tube and the intra-assay and interassay coefficients of variation (CV) were 7.2 and 9.1%, respectively.
The beta-EP concentrations were determined after extraction and chromatography partition on Sep-Pak C18 cartridges and using a previously described radioimmunoassay method [28]. The sensitivity of the assay was 2.5 pg/ml and the intra-assay and interassay coefficients of variation (CV) were 6.0 and 9.0%, respectively.
Statistical analysis
Data are expressed as mean ± S.E.M. and as delta of increase or decrease in comparison to baseline values. Statistical between group comparison of basal levels of DHEA, DHEAS, Delta4-A and beta-EP was achieved by using a Student’s t-test for paired data.
One- and two-way analysis of variance (ANOVA) was used to compare hormonal levels during followup among the three groups of patients. Bonferroni’s multiple comparison test was used to compare the hormonal levels at all the follow-up times for all groups of therapy. Alpha value for Bonferroni’s test was set at 0.05. Statistical analysis was performed with NCSS 2001 software (Number Cruncher Statistical Systems, Kaysville, UT, USA).
Results
Patient characteristics
All the patients enrolled in the study completed the follow-up, without any adverse events. The subjects in group C had a greater menopausal age than those in groups A and B (p < 0.01) (7.50 ± 0.60 years since menopause (ysm) for group C vs. 3.70 ± 0.67 ysm for group A and 4.20 ± 0.64 ysm for group B). Group C patients also presented a greater chronological age in comparison to group A (p < 0.001) (56.70±2.17 vs. 52.70 ± 1.95). No significant difference was observed in terms of BMI (27.65 ± 1.84 vs. 28.65 ± 2.04 vs. 27.97 ± 0.82) (Table 1).
Endocrine evaluation
Baseline status
Besides the lower circulating levels of DHEA and DHEAS, group C patients showed significantly lower plasma levels of Δ4-A (0.43 ± 0.10) than those observed in group B (0.66 ± 0.17) and in group A (0.70 ± 0.09) and also lower plasma levels of beta-EP (18.96 ± 2.75) than those observed in group B (22.81 ± 5.05). Furthermore, the baseline cortisol levels observed in group C (252.74 ± 25.43) were significantly higher than those in group A (216.72 ± 10.02) (p < 0.001) (Table 2).
Table 2. Patients characteristics of the three groups of treatment.

Post-treatment evaluation
Androgens (DHEA, DHEAS, Delta4-A and T) and estrogens. In both the DHEA-treated groups, DHEA serum levels showed a progressive increase during the entire treatment period with a significant rise starting from the 3rd month for group A and from the 6th month for group C (p < 005 for both groups vs. baseline). No difference of DHEA serum levels was observed in HRT group throughout all 12 months of evaluation (group B). This progressive rise observed in group C abolished DHEA baseline difference between groups B and C from the 6th month of treatment, with-out affecting the difference between groups A and C.
Similarly, DHEAS levels increased only in DHEA- treated groups (groups A and C). Baseline difference of DHEAS levels disappeared between groups B and C after 6 months of treatment (Fig. 1).
Figure 1. Mean ± S.D. plasma DHEA, DHEAS, androstenedione, testosterone, E1 and E2 levels at the baseline and at 1, 3, 6, 9 and 12 months. White column: group A (50-55 years). Grey column: group B (52-58 years). Black column: group C (54-61 years) (*) differences between the three groups (*p < 0.05; **p < 0.005; ***p < 0.001); (°) steroid concentration at each time point vs. baseline levels in group A (°p < 0.05; °°p < 0.005; °°°p < 0.001); (§) steroid concentration at each time point vs. baseline levels in group B (§p < 0.05; §§p < 0.005; §§§p < 0.001); (+) steroid concentration at each time point vs. baseline levels in group C (+p < 0.05; ++p < 0.005; +++p < 0.001).
Delta4-androstenedione levels increased slowly and progressively in both DHEA-treated groups, with a significant rise from the 3rd month for group A and from the 6th month for group C (p < 0.01 and p < 0.001, respectively) maintaining the baseline difference between these two groups throughout all the study period (p < 0.001). The increase in Delta4- androstenedione levels observed in group C removed baseline differences versus group B from the 9th month (Fig. 1).
Testosterone levels increased progressively from the 1st month of treatment in patients receiving only DHEA and since the 3rd month in DHEA-HRT treated group (p < 0.05 vs. baseline for both groups). Group B receiving conventional HRT showed no changes in circulating testosterone levels throughout all the follow-up period (Fig. 1). Testosterone levels in subjects receiving only DHEA were higher than group B from the 1st month (p < 0.05) and than group C from the 3rd month of therapy (p < 0.001).
There was also a progressive rise in E1 levels in all groups; subjects treated with DHEA-HRT showed higher E1 levels in comparison to those receiving DHEA alone from the 6th month of therapy (p < 0.001 vs. group B and p < 0.01 vs. group C); no significant difference was observed between HRT-treated groups (groups B and C) during all period of analysis (Fig. 1).
E2 levels showed a significant increase in all groups starting from the 3rd month in group A (p < 0.01) and in group C (p < 0.001) and from the 6th month in group B (p < 0.001) with significant between group differences from the 9th month (p < 0.001 A vs. C and p < 0.05 B vs. C) whereas patients receiving DHEA-HRT showed highest levels of E2 (Fig. 1).
Progesterone, allopregnanolone, cortisol and beta-endorphin and SHBG. Progesterone levels showed a significant increase in all groups, starting from the 1st month for group A (p < 0.05) and from the 6th month for groups B and C (p < 0.05 and p < 0.01, respectively), without significant differences between groups throughout the whole study period.
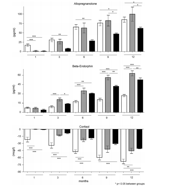
Allopregnanolone levels showed a progressive increase in all groups, which became significant at the 3rd month in group A and in group B (p < 0.01 and p < 0.05 vs. baseline, respectively) and at the 9th month in group C (p < 0.01 vs. baseline). Allopregnanolone levels in subjects receiving only DHEA (group A) and conventional HRT (group B) were higher than group C from the 3rd month (p < 0.05) (Fig. 2). Furthermore, the delta of increase in group A and in group B was sig-nificantly higher than that reached in group C (p < 0.05, respectively) (Fig. 3).
Figure 2. Mean ± S.D. plasma progesterone, allopregnanolone, cortisol, beta-endorphin and SHBG at the baseline and at1,3, 6,9 and 12 months. White column: group A (50-55 years). Grey column: group B (52-58 years). Black column: group C (54-61 years) (*) differences between the three groups (*p < 0.05; **p < 0.005; ***p < 0.001); (°) steroid concentration at each time point vs. baseline levels in group A (°p < 0.05; 00p < 0.005; 000p < 0.001); (§) steroid concentration at each time point vs. baseline levels in group B(§p < 0.05; §§p < 0.005; §§§p < 0.001); (+) steroid concentration at each time point vs. baseline levels in group C (+p < 0.05; ++p < 0.005; +++p < 0.001).
Cortisol levels showed a progressive reduction in all groups of treatment, reaching statistical significance for group A at the 3rd month (p < 0.01), for group B at the 6th month (p < 0.05) and for group C at the 9th month (p < 0.01). Baseline difference between group A and group C remained unchanged throughout the entire observation period (p < 0.001). We observed lower cortisol levels in subjects receiving only DHEA than in subjects receiving only HRT (group B) already from the 1st month (p < 0.001) and subjects of group B showed lower cortisol levels than group C from the 3rd month (p < 0.05) (Fig. 2). Delta decrease (A) was significantly higher in group A versus the other two groups at the end of the study period (p < 0.01 vs. group B and p < 0.001 vs. group C) (Fig. 3).
Figure 3. Delta of increase and decrease of allopregnanoione, beta-endorphin and cortisol plasma levels at 1, 3, 6, 9 and 12 months. White column: group A (50-55 years). Grey column: group B (52-58 years). Black column: group C (54-61 years) (*) differences between the three groups (*p < 0.05; **p < 0.005; ***p < 0.001).
Beta-endorphin levels showed a progressive increase in all groups, reaching statistical significance for group A already at the 1st month and for the other two groups at the 3rd month (p < 0.001). In addition, we observed significantly higher levels in group B than in groups A and C from the 3rd month (p < 0.01) (Fig. 2). Delta increase (A) was significantly higher in group B versus the other two groups at the end of the follow-up period (p < 0.001 vs. group A and p < 0.01 vs. group C) (Fig. 3).
SHBG levels increased slowly and progressively in all groups, with a significant rise in both DHEA- treated groups from the 6th month (groups A and C) (p < 0.001) and from the 9th month for HRT group (p < 0.01). No significant differences in SHBG levels resulted between groups throughout the follow-up period.
Discussion
In the past years, several trials have reported sig-nificant hormonal changes after DHEA administration in postmenopausal women [11-15,29]. However, short follow-ups and supraphysiological doses of DHEA (50 mg/day or higher) hampered these studies. Admin-istration of a lower dose (25 mg/day) of DHEA produce positive effects on hormonal milieu and on quality of life in early and late postmenopausal women, restoring estrogenic, progestogenic and androgenic tone. Con-ventional HRT (estrogen or estrogen plus progestin) did not affect [30] or even decrease androgen plasma lev-els [31,32]. This is probably the reason why HRT fails to improve some domains of female sexual function which are associated to the menopause-related andro-gen deficiency, such as loss of libido and/or sexual desire, arousal and excitability [24,25].
The different impact of HRT and DHEA therapy on androgenic tone was confirmed in the present study in which DHEA supplementation at 10mg/day was shown to increase plasma androgen levels whereas the estrogen-progestin therapy alone did not. In addition, 10 mg/day of DHEA was sufficient to enhance plasma level of estrone, estradiol and progesterone, to posi-tively modify adrenal synthesis of cortisol (reduction) and allopregnanolone (increase) and to increase plasma concentration of beta-endorphin. Moreover, the addition of 10 mg/day of DHEA to the estrogen-progestin preparation in Δ5-androgens deficient and older postmenopausal women was able to restore circulating DHEA/S to levels in the range of younger subjects that received only HRT, abolishing any age-related difference of Δ5-androgens levels. Similarly, age- related baseline difference of Delta4-androstenedione (between groups B and C) resulted abolished with the addition of 10-mg DHEA to a standard HRT. We previously evidenced that 1-year therapy with DHEA (25 mg/day) was able to affect adrenal steroidogenesis, inducing an increase in baseline and ACTH-stimulated secretion of Delta-4, Delta-5 androgens and progesterone, both in early and late postmenopausal women [14]. Thus, the present results suggest that DHEA therapy, even at 10 mg/day, might enhance the adrenal synthesis of Delta-4 and androgens, since DHEA/S levels continued increasing over the study time.
In addition, conversion of DHEA into more active steroids, such as androstenedione, testosterone, dihydrotestosterone and estrogens depends on the activity of tissue-specific steroidogenic and metabolizing systems such as 3β-hydroxysteroid dehydroidrogenase/Δ5-Δ4-isomerase and aromatase [33]. However, the aging process and the concomitant administration of estroprogestin treatment may modify the metabolism and the effect of DHEA therapy on hormonal milieu. In fact, the increase of testosterone levels after 12 months of DHEA treatment result higher in younger women with elevated baseline DHEA/S than in older women with lower baseline DHEA/S receiving the combination DHEA-HRT.
On the contrary, an additive effect of DHEA on HRT was evaluated for circulating estrogen levels (E1 and E2) that resulted higher in subjects receiving both treatments.
Cortisol plasma levels decreased in all treatment groups throughout the 12 months, confirming previous data [12-14,20,21,30]. Furthermore, 10mg/day of DHEA are much more effective in reducing cortisol than HRT in young postmenopausal women. DHEA-HRT regimen determined a lower cortisol decrease with respect to HRT alone, suggesting that in older postmenopausal women with DHEA/S deficiency, the metabolic pathway leading to this reduction of cortisol is probably less responsive to DHEA therapy.
In previous studies, we observed that both DHEA supplementation and estrogen-progestin treatments in postmenopausal women could increase plasma levels of progesterone and its metabolite, allopregnanolone [34,35]. On these bases, we expected the addiction of a low-dose of DHEA to a continuous combined HRT regimen to have a synergistic effect on allopreg- nanolone plasma levels. However, in group C patients, who received the same dosage of progestin as group B, we observed a significantly lower increase in allo- pregnanolone plasma levels. This suggests that the addition of DHEA to an estrogen-progestin treatment cannot further modulate the biosynthetic activity of the adrenal gland, which is the main source of circulating allopregnanolone in postmenopausal women [34-36]. Moreover, we observed significantly higher allopreg- nanolone levels in younger subjects who received DHEA supplementation at 10 mg/day than in older subjects treated with HRT in combination with the same dose of DHEA. Aging seems to negatively affect adrenal DHEA synthesis/release as well as the response of adrenal steroidogenesis to hormonal treatments, highlighting the importance of timing for HRT and/or DHEA therapy to reverse adrenal ageing and to obtain the most positive hormonal results.
Similar considerations may apply to the increase in beta-endorphin plasma levels throughout the observa-tion period. The higher response of beta-endorphin to HRT therapies (groups B and C) respect to group A might be related to the higher increase of circulating estrogens (E1 and E2) of groups B and C, since central and peripheral content of this opioid are strictly dependent on the estrogen level [37,38]. However, the additive effect of DHEA-HRT respect to HRT alone, evaluated for estrogens, did not induce a similar response for beta-endorphin, suggesting again that the aging process might negatively affect the synthe- sis/release of this opioid to estrogen stimuli.
In conclusion, our data lead to some considerations. First, a daily dosage of only 10 mg of DHEA, alone or in combination to a HRT regimen is able to restore the androgenic milieu and also has a positive impact on the estrogenic tone in postmenopausal women. Second, menopausal age and “adrenal age” might explain different results of these three treatments on hormonal milieu, evidencing that timing of therapy deeply affects the results of HRT and/or DHEA treatment. Finally, additional studies, using a larger population, are needed to evaluate the combination of estrogen-progestin ther-apies plus DHEA as a new additional therapeutical strategy for postmenopausal women.
Acknowledgements
This work was partially supported by a grant from the Fondazione Cassa Di Risparmio Di San Miniato, San Miniato, Pisa, Italy.
References
Orentreich N, Brind JL, Rizer RL, Vogelman JH. Age changes and sex differences in serum dehydroepiandrosterone sulphate concentration throughout adulthood. J Clin Endocrinol Metab 1984;59(3):551-5.
Arlt W. Dehydroepiandrosterone and ageing. Best Pract Res Clin Endocrinol Metab 2004;18(3):363-80.
Labrie F, Belanger A, Cusan L, Gomez JL, Candas B. Marked decline in serum concentrations of adrenal C19 sex steroids precursors and conjugated androgen metabolites during aging. J Clin Endocrinol Metab 1997;82(8):2396-402.
Harper AJ, Buster JE, Casson PR. Changes in adrenocortical function with aging and therapeutic implications. Semin Reprod Endocrinol 1999;17(4):327-38.
Laughlin GA, Barrett-Connor E. Sexual dimorphism in the influence of advanced aging on adrenal hormone levels: the Brancho Bernardo study. J Clin Endocrinol Metab 2000;85(10):3561-8.
Liu CH, Laughlin GA, Fischer UG, Yen SS. Marked attenuation of ultradian and circadian rhythms of dehydroepiandrosterone in postmenopausal women: evidence for a reduced 17, 20 desmolaseactivity. J ClinEndocrinol Metab 1990;71(4):900-6.
Parker Jr CR, Mixon RL, Brissie EM, Grizzle WE. Aging alters zonation in the adrenal cortex of men. J Clin Endocrinol Metab 1997;82(11):3898-901.
Davison SL, Bell R, Donath S, Montalto JG, Davis SR. Androgen levels in adult females: changes with age, menopause and oophorectomy. J Clin Endocrinol Metab 2005;90(7):3847-53.
Swaab DF, Bao AM, Lucassen PJ. The stress system in the human brain in depression and neurodegeneration. Ageing Res Rev 2005;4(2):141-94.
Genazzani AD, Lanzoni C, Genazzani AR. Might DHEA be a beneficial replacement therapy in the elderly? Drugs Aging 2007;24(3):173-85.
Mortola JF, Yen SCC. The effects of oral dehydroepiandros- terone on endocrine-metabolic in postmenopausal women. J Clin Endocrinol Metab 1990;71(3):696-704.
Morales AJ, Nolan JJ, Nelson JC, Yen SCC. Effects of replacement dose of dehydroepiandrosterone in men and in women of advancing age. J Clin Endocrinol Metab 1994;78(6):1360-7.
Genazzani AR, Pluchino N, Begliuomini S, et al. Longterm low-dose oral administration of dehydroepiandrosterone modulates response to adrenocorticotropic hormone in early and late postmenopausal women. Gynecol Endocrinol 2006;22(11):627-35.
Genazzani AR, Inglese S, Lombardi I, et al. Long term low-dose dehydroepiandrosterone replacement therapy in aging males with partial androgen deficiency. Aging Male 2004;7(2):133-43.
Nair KS, Rizza RA, O’Brien P, et al. DHEA in elderly women and DHEA or testosterone in elderly men. N Engl J Med 2006;355(16):1647-59.
Simoncini T, Genazzani AR. Dehydroepiandrosterone, the endothelium and cardiovascular protection. Endocrinology 2007;148(7):3065-7.
Libe R, Barbetta L, Dall’Asta C, Salvaggio F, Gala C, Beck-Peccoz P. Effects of dehydroepiandrosterone (DHEA) supplementation on hormonal, metabolic and behavioural status in patients with hypoadrenalism. J Endocrinol Invest 2004;27(8):736-41.
Barnhart KT, Freeman E, Grisso JA, et al. The effect of dehydroepiandrosterone supplementation to symptomatic per- imenopausal women on serum profiles, lipid parameters, and health related quality of life. J Clin Endocrinol Metab 1999;84(11):3896-902.
Buvat J. Androgen therapy with dehydroepiandrosterone. World J Urol 2003;21(5):346-55.
Stomati M, Monteleone P, Casarosa E, et al. Six oral months dehydroepiandrosterone supplementation in early and late menopause. Gynecol Endocrinol 2000;14(5):342-63.
Genazzani AD, Stomati S, Bernardi F, Pieri M, Rovati L, Genazzani AR. Long term low-dose dehydroepiandrosterone oral supplementation in early and late postmenopausal women modulates endocrine parameters and synthesis of neuroactive steroids. Fertil Steril 2003;80(6):1495-501.
Panjari M, Davis S. DHEA therapy for women: effect on sexual function and wellbeing. Hum Reprod Update 2007;13(3):239-48.
Sarrel P, Dobay B, Wiita B. Estrogen and estrogen-androgen replacement in postmenopausal women dissatisfied with estrogen-only therapy. Sexual behaviour and neuroendocrine responses. J Reprod Med 1998;43(10):847-56.
Dobs AS, Nguyen T, Pace C, Roberts CP. Differential effects of oral estrogen versus oral estrogen-androgen replacement therapy on body composition in postmenopausal women. J Clin Endocrinol Metab 2002;87:1509-16.
Denise von Muhlen GA, Laughlin, Kritz-Silverstein D, Barrett- Connor E. The dehydroepiandrosterone and wellness (DAWN) study: research design and methods. Contemp Clin Trials 2007;28:153-68.
Davison SL, Bell R, Donath S, Montalto JG, Davis SR. Androgen levels in adult females: changes with age, menopause, and oophorectomy. J Clin Endocrinol Metab 2005;90(7):3847-53.
Genazzani AR, Bernardi F, Petraglia F, et al. Circulating levels of allopregnanolone in humans: gender, age and endocrine influences. J Clin Endocrinol Metab 1998;83(6):1-5.
Stomati M, Bersi C, Rubino S, et al. Neuroendocrine effects of different oestradiol-progestin regimens in postmenopausal women. Maturitas 1997;28(2):127-35.
Labrie F, Luu-The V, Belanger A, et al. Is dehydroepiandrosterone ahormone? J Endocrinol 2005;187(2):169-96.
Castelo-Blanco C, Martinez De Osaba MJ, Fortuny A, Igle- sias X, Gonzalez-Merlo J. Circulating hormone levels in menopausal women receiving different hormone replacement therapy regimens. A comparison. J Reprod Med 1995;40(8):556-60.
Doren M, Riibig A, Coelingh Bennink HJ, Holzgreve W. Differential effects on the androgen status of postmenopausal women treated with tibolone and continuous combined estradiol and norethindrone acetate replacement therapy. Fertil Steril 2001;75(3):554-9.
Casson PR, Elkind-Hirsch KE, Buster JE, Hornsby PJ, Carson SA, Snabes MC. Effect of postmenopausal estrogen replacement on circulating androgens. Obstet Gynecol 1997;90(6):995-8.
Labrie F, Luu-The V, Labrie C, Simard J. DHEA andits transformation into androgens and estrogens in peripheral target tissues: intracrinology. Front Neuroendocrinol 2001;22(3):185-212.
Paul SM, Purdy RH. Neuroactive steroids. FASEB J 1992;6(6):2311-22.
Robel P, Baulieu EE. Neurosteroids: biosynthesis and function. Crit Rev Neurobiol 1995;9(4):383-94.
Stoffel-Wagner B. Neurosteroid metabolism in the brain. Eur J Endocrinol 2001;145(6):669-79.
Piva F, Limonta P, Dondi D, Pimpinelli F, Martini L, Maggi R. Effects of sex steroids on brain opioid system. J Steroid Biochem Mol Biol 1995;53(6):343-8.
Genazzani AR, Pluchino N, Luisi S, Luisi M. Estrogen, cognition and female ageing. Hum Reprod Update 2007;13(2):175-87.


