Susan Parker and Mary Armitage
Diabetes and Endocrine Unit, Royal Bournemouth Hospital, Bournemouth, UK.
Correspondence: Susan Parker, Department of Endocrinology Royal Bournemouth and Christchurch Hospitals NHS Trust, Castle Lane East, Bournemouth, Dorset BH7 7DW, UK. Fax: +44 (0)1202 704623.
Summary
BACKGROUND: None of the existing options for longterm testosterone replacement therapy (TRT) for hypogonadal men are ideal. Depot replacement at frequent intervals and implants are effective but invasive and inconvenient for the patient. Oral therapy results in poor hormone levels. Both are associated with undesirable metabolic changes. A transdermal formulation therefore represents a potential therapeutic advance for testosterone replacement.
OBJECTIVE: To carry out a clinical audit of the acceptability and efficacy as a treatment for hypogonadism of the first transdermal testosterone therapy available in the UK (Andropatch, SmithKline Beecham) compared with existing androgen replacement options.
PATIENTS AND MEASUREMENTS: Serum testosterone and questionnaire data on treatment efficacy, side-effects, therapy preference, sexual dysfunction and partner's attitudes to therapy were obtained from 50 hypogonadal men prescribed long-term testosterone replacement.
RESULTS Eighty: per cent of the men returned analy- sable questionnaires. Eighty-four per cent experienced adverse effects with transdermal therapy, most commonly dermatological problems; 22% of the sample elected to continue with transdermal therapy, 72% returned to depot and 5% returned to oral therapy. The reservoir patches were judged to be too large, uncomfortable, visually obtrusive and noisy. Testosterone levels were comparable to those obtained with depot replacement with the added advantage of a more physiological pharmacokinetic profile. Men taking oral preparations were consistently under-replaced.
CONCLUSIONS: Adverse events were substantially higher than reported from clinical trials but in keeping with the spectrum of yellow card reports received by the Committee on Safety of Medicines. The pharmacokinetic advantages are thus largely outweighed by low patient acceptability. In its present form transdermal therapy remains an expensive option for those who cannot tolerate depot testosterone replacement.
Hypogonadism is the most common hormone deficiency in men affecting five in every 1000 men of all ages (Wu, 1996). There are currently approximately 34 000 patients receiving testosterone replacement therapy (TRT) in the UK (IMS, 1997); 43% is in the form of intramuscular depot injections at 2- or 3-weekly intervals, 24% oral replacement, 23% implants and 10% transdermal. All treatment modalities have disadvantages. Oral TRT has poor bioavailability even with frequent daily dosing. Intramuscular injections are inconvenient, uncomfortable and result in widely fluctuating levels of testosterone and its metabolites (dihydroxytestosterone and oestradiol) over the dosing interval. Implants produce well-sustained testosterone levels but involve a minor surgical procedure and risk of extrusion, infection or scarring. They are not offered widely outside urology clinics. Endocrinologists tend to recommend depot replacement, with oral replacement most widely prescribed in general practice. Conventional TRT is associated with a reduction in HDL cholesterol, polycythaemia from increased erythropoesis and changes in insulin sensitivity—all of which raise the cardiovascular risk index. Transdermal therapy (Fig. 1) was introduced into the UK in August 1996 and promised to redress many of these disadvantages. It is designed to deliver normal circulating hormone levels with one or, more usually, two daily patches applied in the evening. This results in the theoretically advantageous delivery of testosterone in a physiological diurnal pattern free of associated metabolic disturbances (Meikle et al., 1996).
Figure 1. Andropatch (SmithKline Beecham).
However, the reported clinical trials were conducted over relatively small numbers of volunteers. We were keen, therefore, to assess the efficacy and compliance rate in a clinical population. The transdermal route is expensive and we felt we needed to demonstrate clear superiority over other treatment options to justify its recommendation.
Subjects and methods
Hypogonadal men receiving long-term TRT were recruited from both the pituitary clinic of the Endocrine Unit at the Royal Bournemouth Hospital and the psychosexual medicine clinic of the East Dorset Healthcare Trust. We wrote to referring GPs sending full details of the new transdermal therapy and invited their co-operation in offering a change of therapy. Fifty consecutive clinic attenders were provided with information about Andropatch and, where both GP and patient consented to a change in therapy, these volunteers were asked to complete a confidential questionnaire and to provide a blood sample for testosterone and SHBG assays after 3 months on therapy, earlier if therapy was interrupted for any reason. LH and FSH were not checked routinely as many of the men were hypophysectomized. Data about pretreatment hormone levels and testosterone levels achieved by previous treatments were obtained (where these existed) by searching clinic case notes and GP medical records. We notified all respondents and their GPs of the outcome of assays with advice about ongoing therapy either by letter or, where appropriate, by clinic follow-up.
A two-page questionnaire was devised by the authors and piloted in this project. It was semistructured with several open- ended questions to allow for a wide spectrum of responses, particularly about the reasons for treatment preferences and problems with all treatment options. Respondents were asked about duration of therapy, previous therapies, problems with therapy, treatment preference, partner's response to treatment, symptoms of androgen deficiency and treatment efficacy.
Results
Response rate
Forty of the 50 men (80%) agreed to participate and returned completed questionnaires which formed the basis for the analysis. Three GPs were unwilling to prescribe Andropatch and seven men did not respond to our correspondence on two occasions and were then omitted from the project.
Pretreatment
All men had biochemically established hypogonadism with pretreatment testosterone levels between 2 and 6nmol/l. Gonadotrophins were raised in 24 men with primary hypo-gonadism but not in 16 men with pituitary dysfunction or hypophysectomy. Table 1 shows diagnoses and Fig. 2 shows the age distribution of the sample.
Figure 2. Age distribution of hypogonadal men.
Duration of therapy
Nine men (24%) had been diagnosed and treated for less than 6 months, 10 (26%) for 6-18 months, 13 (34%) for 19 months- 5 years and six (16%) for longer than 5 years.
Previous therapy
Thirty-six men were transferred from depot androgens, seven had previous experience with oral replacement and one man transferred directly from oral to transdermal therapy. All 40 men tried Andropatch. Three men were newly diagnosed and started Andropatch as their first replacement regime.
Duration of therapy with Andropatch
Thirteen of 40 (32%) continued with transdermal therapy for the full 3 months under review. Three men stopped therapy within 2 weeks due to perceived lack of efficacy (no testosterone levels available); 24/40 (60%) dropped out between 4 and 8 weeks of therapy because of worsening skin reactions. There were no drop-outs between 8 and 12 weeks.
Ongoing therapy
Twenty-nine of 40 (72%) returned to depot androgens for ongoing therapy, 9/40 (22%) continued to use transdermal replacement and 2/40 (5%) abandoned all therapy as being unsatisfactory. Eight of the nine men who continued with patches had been transferred from an alternative long-term TRT. One of three newly diagnosed men for whom Andropatch was their first experience of TRT continued with patches.
Problems with therapy
Only 16% of men reported they were problem-free with Andropatch compared with 52% problem-free with depot preparations. Tables 2 and 3 show the relative frequency of reported adverse effects. Of the 7/40 men who had tried oral therapy the only complaint was of low replacement levels. Many men commented they would prefer oral therapy.
Sexual dysfunction
Twelve of 40 men did not complete any questions about sexual dysfunction. The remaining 28 respondents all reported sexual dysfunction increasing in severity over time (Table 4). Lack of libido was a problem for 42%, ejaculatory changes, most frequently ejaculatory failure for 75%, and all respondents experienced disturbances of erectile dysfunction and consequently in the frequency of sexual intercourse. More than half the respondents reported no improvements in sexual dysfunction after TRT (Table 5). The apparent bias in favour of depot replacement is difficult to interpret, given the relatively short treatment interval with transdermal therapy.
Adverse effects
Two-thirds of respondents found the Andropatch unsatisfactory. Patches were variously described as noisy, visually indiscreet, embarrassing, unpleasant to apply and remove and generally to be socially unacceptable. They fell off in swimming pools and showers, attracted ribald comments from sporting partners and left bald red marks over trunk and limbs. Dogs, wives and children were distracted by noise of the patches with body movements. Those with poor mobility or manual dexterity (and several were over 70 years of age) found it difficult to remove packaging and apply patches dorsally.
The most serious adverse effects related to skin reactions which ranged from mild irritation to persisting rashes, blistering and burns. Most skin reactions developed after 3 weeks and gradually worsened over 4-6 weeks. All tended to persist for days to weeks after removing the patches and were sufficiently noxious to terminate therapy. The authors did not personally see all the skin complaints reported in the questionnaires, most of which were managed by general practitioners. In those men who were followed-up in the endocrine clinic red, macular areas were still visible on legs and trunk in a few cases up to 2 months after termination of transdermal therapy. One respondent reported the development of a transient, itchy, macular red rash at patch sites when he drank alcohol 6 months after stopping Andropatch.
Partner’s response to therapy
Comments ranged from ‘no difference’ to ‘great improvement in husband’s wellbeing’ and tended to refer to androgen replacement in general. Three women thought their partners were more even-tempered on transdermal therapy. Sexual performance was rarely noted to have improved. On the whole, partners remained uninvolved with therapy or were actively excluded from therapy decisions. Both men and their partners had a limited understanding of the aims and benefits of TRT beyond the hormone’s association with sexual function.
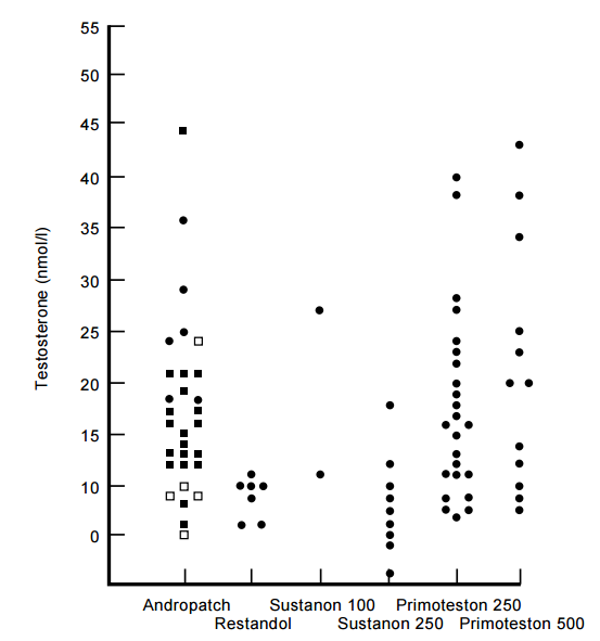
Testosteronelevels
All men on two patches and those who had previously had depot testosterone oenanthate 250-500 mg (Primoteston, Schering) were adequately replaced (Fig. 3). The wide range of values recorded for all depot formulations reflects the difference between peak and trough serum testosterone levels. Our preference, in the hospital endocrine clinic, is to measure peak levels mid-dose but monitoring is not standardized among general practitioners. The testosterone levels achieved with transdermal therapy cluster more closely together consistent with a regular daily delivery. Variations in level bore no consistent relationship with skin irritation or hirsutism. The highest level achieved (44·3 nmol) was recorded from a man with severe skin irritation and another patient with widespread icthyosis had levels of 21·4 nmol. One patient showed us a selection of used patches with varying amounts of gel remaining in the central reservoir, suggesting that anatomical site is the main determinant of absorption rate in some men. The nine men who chose to remain on Andropatch achieved the highest circulating testosterone levels and the least skin irritation. Only one was newly diagnosed and had no previous experience of other TRT. Depot mixed testosterone esters (Sustanon 250, Organon) delivered a much lower range of levels roughly equivalent to oral replacement with testosterone undecanoate 160 mg (Restandol, Organon) or a single testosterone patch.
Figure 3. Comparison of serum testosterone levels with depot, oral and transdermal TRT. □ One patch; ■ Two patches; • Continuing with therapy.
Discussion
The aim of this audit exercise was to acquire sufficient experience with a new therapy to enable us to respond to queries from GPs and patients and to form a rational basis for our own prescribing practise. Hormone assays confirmed the adequacy of androgen replacement but our main interest focused on the patients’ response to a novel TRT. For most men the comparison was between a long-established parenteral therapy and a new therapy. Whatever bias this may have introduced, the main reason for poor compliance with the new therapy was painful skin reactions at the patch sites. Whether this would have occurred so frequently in those who had no prior experience of parenteral TRT remains to be seen, as only three of our sample were newly diagnosed. None of our respondents had tried testosterone implants and only seven of 40 had tried oral replacement. Nevertheless, we feel our survey is an accurate reflection of clinical practice in that most hypogonadal men are currently receiving parenteral replacement and, although they would prefer transdermal therapy in principle, they will be unable or unwilling to tolerate the skin patch prescribed during this audit.
Andropatch is a large reservoir patch requiring daily application. Like cellophane paper, it is noisy when deformed. Overall it was found to be too conspicuous, audible and uncomfortable for long-term use and the daily rotation of sites was problematical for the high proportion of men who developed skin sensitivity, rashes, burns or itchiness. Three- quarters of our sample expressed a preference for a modified form of transdermal therapy but elected to return to parenteral therapy. Similar problems were encountered with the first transdermal oestrogen patches for women and were overcome by developing the technologically superior matrix delivery system (Ross etal, 1997). Compared with the small matrix patches now available for oestrogen and progestogen replacement in women Andropatch is a disappointing development.
The incidence of skin reactions sufficiently noxious to interrupt therapy (52%) was higher than that reported from clinical trials in which only 9 8% discontinued treatment. The skin reactions varied in severity, but were a very significant deterrent to compliance. Of 39 yellow cards received to date (9/ 6/97) by the CSM, 34 adverse events related to skin reactions (ADROIT et al. 1997). Overall usage is still low, so this is clearly the major disadvantage of therapy. Once skin reactions had occurred they persisted over time, gradually becoming worse. The magnitude of the problem had not been anticipated at the outset of our audit so we did not recommend the use of prophylactic skin treatments. More recently it has been suggested that the skin eruptions may be responsive to hydrocortisone cream 1% or triamcinolone, but our own experience is too limited to comment.
Good levels of testosterone replacement are achieved and compare favourably with depot testosterone oenanthate (Primo- teston). Depot mixed testosterone esters (Sustanon) has a lower bioavailability but is still superior to oral replacement, which consistently produced low plasma testosterone ( < 6nmol/l), and as such cannot be recommended for men with genuine hypogonadism.
Conclusions
Transdermal therapy has much to recommend it if the technical problems can be overcome. Its superior pharmacokinetic profile, convenience and the accuracy with which therapy can be monitored by plasma assays are all major advantages. In its present formulation it is unlikely to make a major contribution to testosterone replacement therapy because of its adverse skin reaction profile and low patient acceptibility. It remains an option, perhaps, for newly diagnosed hypogonadism and certainly for those who cannot tolerate depot replacement. As an alternative to established parenteral therapy it is less likely to be successful. The recent launch of a single 5-mg reservoir patch is an improvement, but only when an alternative delivery system is available will the transdermal route for men achieve the widespread popularity of the matrix oestrogen patch for replacement therapy in women.
Acknowledgements
We thank SmithKline Beecham for their financial support of this audit.
References
ADROIT (1997) CSM, Drug Analysis Print 9/6/97.
Intercontinental Medical Statistics (IMS) (1997) MediPlus. 30 April. Meikle, W.A., Arver, S., Dobs, A.S., Sanders, S.W., Rajaram, L. & Maze, N.A. (1966) Pharmacokinetics and metabolism of a permeation enhanced testosterone transdermal system in hypogonadal men. Journal of Clinical Endocrinology and Metabolism, 81, 1832-1840.
Ross, D., Rees, M., Godfree, V., Cooper, A., Hart, D., Kingsland, C. & Whitehead, M. (1997) Randomised crossover comparison of skin irritation with two transdermal oetradiol patches. British Medical Journal, 315, 288.
Wu, F.C.W. (ed.) (1996) Testosterone Replacement Therapy. Journal of Endocrinology Ltd, Bristol.


